Next Article in Journal
Solving Rescheduling Problems in Dynamic Permutation Flow Shop Environments with Multiple Objectives Using the Hybrid Dynamic Non-Dominated Sorting Genetic II Algorithm
Next Article in Special Issue
Artificial Neural Networking (ANN) Model for Drag Coefficient Optimization for Various Obstacles
Previous Article in Journal
Exponentially-Fitted Fourth-Derivative Single-Step Obrechkoff Method for Oscillatory/Periodic Problems
Previous Article in Special Issue
Computing Frequency-Dependent Hysteresis Loops and Dynamic Energy Losses in Soft Magnetic Alloys via Artificial Neural Networks
 
 
Font Type:
Arial Georgia Verdana
Font Size:
Aa Aa Aa
Line Spacing:
Column Width:
Background:
Article

Artificial Neural Networking (ANN) Model for Convective Heat Transfer in Thermally Magnetized Multiple Flow Regimes with Temperature Stratification Effects

by
Khalil Ur Rehman
1,2,*,
Andaç Batur Çolak
3 and
Wasfi Shatanawi
1,4,5,*
1
Department of Mathematics and Sciences, College of Humanities and Sciences, Prince Sultan University, Riyadh 11586, Saudi Arabia
2
Department of Mathematics, Air University, PAF Complex E-9, Islamabad 44000, Pakistan
3
Department of Mechanical Engineering, Engineering Faculty, Niğde Ömer Halisdemir University, Niğde 51240, Turkey
4
Department of Medical Research, China Medical University Hospital, China Medical University, Taichung 40402, Taiwan
5
Department of Mathematics, Faculty of Science, The Hashemite University, P.O. Box 330127, Zarqa 13133, Jordan
*
Authors to whom correspondence should be addressed.
Mathematics 2022, 10(14), 2394; https://doi.org/10.3390/math10142394
Submission received: 8 June 2022 / Revised: 29 June 2022 / Accepted: 6 July 2022 / Published: 7 July 2022
(This article belongs to the Special Issue Artificial Neural Networks: Design and Applications)

Abstract

:
The convective heat transfer in non-Newtonian fluid flow in the presence of temperature stratification, heat generation, and heat absorption effects is debated by using artificial neural networking. The heat transfer rate is examined for the four different thermal flow regimes namely (I) thermal flow field towards a flat surface along with thermal radiations, (II) thermal flow field towards a flat surface without thermal radiations, (III) thermal flow field over a cylindrical surface with thermal radiations, and (IV) thermal flow field over a cylindrical surface without thermal radiations. For each regime, a Nusselt number is carried out to construct an artificial neural networking model. The model prediction performance is reported by using varied neuron numbers and input parameters, and the results are assessed. The ANN model is designed by using the Bayesian regularization training procedure, and a high-performing MLP network model is used. The data used in the creation of the MLP network was 80 percent for model training and 20 percent for testing. The graph shows the degree of agreement between the ANN model projected values and the goal values. We discovered that an artificial neural network model can provide high-efficiency forecasts for heat transfer rates having engineering standpoints. For both flat and cylindrical surfaces, the heat transfer normal to the surface reflects inciting nature towards the Prandtl number and heat absorption parameter, while the opposite is the case for the temperature stratification parameter and heat generation parameter. It is important to note that the magnitude of heat transfer is significantly larger for Flow Regime-IV in comparison with Flow Regimes-I, -II, and -III.

1. Introduction

The solutions of polymeric melts, polymeric materials, dispersions, suspensions, and slurries exhibit complex non-Newtonian flow fields and hence one cannot narrate such flow fields by the use of Newton’s law of viscosity. In this regard, the involvement of convection heat transfer to such non-Newtonian flow fields makes the study more interesting and important. The heat transfer by way of these fluids largely depends upon geometric configuration, flow regime, and the rheology of the non-Newtonian being used. The coatings, printing inks, detergent, petrochemical, food, and chemical products are a few dominant zones where importance subject to the study of heat transfer in non-Newtonian fluids holds.
Researchers conducted various investigations to examine the heat transfer aspects in non-Newtonian fluids flows due to such importance; Pittman et al. [1], for example, investigated natural convection from a vertical electrically heated plate to Newtonian and non-Newtonian fluids under constant surface heat flux circumstances. A wide variety of viscosities, densities, and Prandtl numbers were covered for Newtonian fluids. Fluids in the range n = 0.48 to 0.81 were used to explore the influence of shear-thinning non-Newtonian behavior. The temperature distribution at the plate surface, as well as its dependency on the heat flux, were found to match theoretical expectations throughout a wide variety of conditions. The coefficient values in the well-known relationships between Prandtl, Grashof, and Nusselt numbers were assessed and contrasted favorably with theoretical predictions and experimental data from other researchers. Rao [2] investigated the circumferential wall temperatures of water and aqueous polymer solution flows across a smooth cylinder in an experimental setting. By running a direct electric current through the cylinder, it was heated. As power-law non-Newtonian fluids, aqueous solutions of Carbopol 934 and EZ1 were utilized. With an increasing polymer concentration, the peripherally averaged heat transfer coefficient for non-Newtonian fluids falls at any fixed flow rate. Here, a novel correlation was developed for forecasting the peripherally averaged Nusselt number. Pinarbasi and Ozalp [3] investigated the effect of a non-Newtonian fluid’s temperature-dependent and shear-thinning viscosity on the stability of a channel flow. The Arrhenius and Nahme laws were used to simulate the exponential dependency of viscosity on temperature. The Carreau rheological relation was owned to narrate the flow. The temperature of the channel walls was kept constant yet varied. A pseudospectral approach based on Chebyshev polynomials was used to address the steady base flow regulating boundary value problem and the stability-governing eigenvalue problem. Marginal stability curves were used to depict the findings. When both models were used on the same temperature-sensitive reference viscosity, viscosity, and temperature, it was discovered that Nahme law-obeying fluid is less stable.
Eldabe and Mohamed [4] calculated the heat and mass transfer in a non-Newtonian fluid having a temperature-dependent heat source under a blowing/suction effect. The outcomes were stated in terms of Kummer’s function for a predetermined wall temperature. For distinct variations in Schmidt number, temperature parameter, heat flux parameter, blowing parameter, suction parameter, and Prandtl number, numerical calculations were performed. Attia [5] investigated the heat transfer aspects for time-dependent non-Newtonian fluid over an endless spinning disk. The influence of thermal flow field properties was studied. The nonlinear partial differential equations that regulate hydrodynamics and energy transfer were solved numerically. Variations in viscosity were used by Kamil [6] to study the thermal convection flow field in heat exchangers. The relevance of this effect in circular pipes was described by the Tate and Sieder empirical formula. Similar modifications were made to other heat transfer concerns. Exact solutions for heat transfer in non-Newtonian and Newtonian flow fields subject to flat and circular ducts were examined under constant wall heat flux and temperature.
The use of simple generalized approaches to evaluate the heat transfer coefficient and friction was suggested. Attia [7] investigated the heat transfer properties of non-Newtonian fluid subject to porous rotating disks. Heat transfer coefficient, temperature, and velocity were investigated. Over the whole range of physical parameters, numerical solutions for the governing equations were achieved. Power-law fluid equipped in the elliptical domain was studied by Maia et al. [8]. The axial heat diffusion under a first-order boundary condition was carried out in this analysis. The Sturm–Liouville transform was used to solve the thermally evolving problem. The axes were algebraically transformed to avoid the irregular shape of the elliptical duct wall. After that, the GITT was used for the solution, as well as to acquire the previously unidentified temperature field. Numerical simulations were used by Barkhordari and Etemad [9] to investigate the non-Newtonian thermal flow field in circular microchannels. The flow was described as laminar, time-independent, incompressible, axisymmetric, and slip. The non-Newtonian fluid’s behavior was described using a power-law model. Here, constant heat flux, temperature, and thermal boundary conditions were used. The flow equations were solved by the use of the control volume finite difference method with acceptable boundary conditions. The outcomes show that the slip coefficient increases the heat transfer rate. Using power-law fluid, Yao and Molla [10] investigated heat transfer aspects in non-Newtonian fluid moving across a flat surface. The flow equations were solved by marching downstream from the leading edge, as was common for Newtonian flows. Non-Newtonian effects in shear-thinning and shear-thickening fluids were demonstrated using temperature and velocity, shear loads, and Nusselt number. The substantial impacts arise along the leading edge, with the variance in shear stresses gradually diminishing further downstream. Sahoo [11] expanded the heat transfer aspects of a magnetized non-Newtonian electrically conducting fluid. The flow problem was substantially non-linear when momentum equations are used. Numerical solutions for the governing nonlinear equations were obtained. The impact of flow variables on temperature and velocity fields was thoroughly studied and visually depicted. Since then, the past and recent developments on heat transfer aspects in non-Newtonian fluid flows can be assessed in Refs. [12,13,14,15,16,17,18,19,20,21].
In non-Newtonian fluids, there is relatively limited research on predictive correlations relevant for engineering designs having the convective heat transfer coefficient given as the local Nusselt number. Particularly for thermally magnetized Jeffrey fluid flow, we found less investigation by use of artificial neural networking. This is due to the appearing of the complicated mathematical model. Therefore, the main contribution of the present list attempts to include the following:
  • The mathematical formulation for Jeffrey fluid flow towards a flat and cylindrical surface.
  • Examination of the Nusselt number at both flat and cylindrical surfaces.
  • For both surfaces, prediction of the Nusselt number by using an artificial neural networking model.
We believe the findings on convective heat transfer by use of artificial neural networking will be helpful for researchers having an affiliation with thermal engineering.

2. Flow Formulation and Data Set

For the present analysis, we considered the dataset offered as an open source by Rehman et al. [22]. They considered Jeffery fluid flow as a non-Newtonian fluid. Two unlike stretched inclined surfaces, namely plane surface and cylindrical, are carried. The flow regimes are further established with the succeeding physical effects, namely, thermal radiations, mixed convection, stagnation point flow, heat generation, applied magnetic field, temperature stratification, and heat absorption. The domain of interest is geometrically illustrated in Figure 1. The Jeffrey model is a generalization of the Newtonian fluid model. The Newtonian model can be produced as a special case using the constitutive equation of the Jeffrey fluid. With a distinct memory time scale, the Jeffrey fluid model can explain a class of non-Newtonian fluids. The Cauchy stress tensor for the Jeffrey fluid model is represented as follows:
τ = p I + J M ,
where J M represents an extra stress tensor and is defined as
J M = μ 1 + E J (   A   1 + E 2 d   A   1 d t ) ,
where the first Rivlin–Erickson tensor is stated as:
  A   1 = gradV + ( gradV ) t * .
In light of Equations (1)–(3), the ultimate flow narrating differential equations for the flow field of Jeffrey fluid are summarized as follows:
( R U ) X + ( R V ) R = 0 ,
U U X + V U R = ν 1 + E J ( 2 U R 2 + 1 R U R ) + ν ε 2 1 + E J ( V 3 U R 3 + V R 2 U R 2 + U 3 U X R 2 + U R 2 U X R + 1 R ( V 2 U R 2 + U 2 U X R ) ) + g β J T ( T T ) c o s α J + u J u J X σ B 0 2 ρ ( U u J ) ,
U   T   X   + V   T   R   = k ρ c p 1 R   R   ( R   T   R   ) 1 ρ c p R R ( R Q R ) + Q 1 c p ρ ( T T ) ,
while the endpoint conditions are summarized as
U = u ( X ) = u 1 L X , T = T 0 + ε 3   X   L   , V = 0 ,   at   R = R 1 , U u J ( X ) = u L X , T = T 0 + ε 5   x   L   ,   when   R .
Here, Equation (4) is the equation of continuity, and it guaranties the balance of mass entering a domain to the rate at which mass leaves the domain. Equation (5) is the component form of the momentum equation. The fluid flow is two-dimensional, and flows normal to the surfaces are negligible, so we have a U-component form of momentum equation. The last three terms own mixed convection, stagnation point, and an externally applied magnetic field assumptions. Equation (6) is the energy equation. The last two terms own non-linear thermal radiations and heat generation/absorptions effects. Equation (7) is the boundary conditions representation subject to the temperature stratification effect and stagnation point flow. One can note from boundary conditions that the fluid flow is above the cylindrical surface. The vertical velocity is zero and temperature at the surface is supposed to be greater in comparison with temperatures far away from the surface.
Rehman et al. [22] introduce:
U = u 1 X L F J ( η J ) , V = R 1 R u 1 ν L F J ( η J ) , η J = R 2 R 1 2   2 R 1   ( u 1   ν L   ) 1 2 ,   ψ = ( u 1 ν X 2 L ) 1 2 R 1   F J ( η J ) , θ J ( η J ) = T T   T w T 0   ,  
by use of Equation (8) they obtain
( 1 + 2 K η J ) F J ( η J ) + ( 1 + E J ) ( F J ( η J ) F J ( η J ) ( F J ( η J ) ) 2 ) + 2 K F J ( η J ) + B J K ( F J ( η J ) F J ( η J ) 3 F J ( η J ) F J ( η J ) ) M J 2 ( F J ( η J ) A J ) + λ M θ J ( η J ) cos α J + A J 2 + B J ( 1 + 2 K η J ) ( ( F J ( η J ) ) 2 F ( η J ) F ( η J ) ) = 0 ,
( 1 + 2 K η J ) ( 1 + ( 4 / 3 ) R ) θ J ( η J ) + 2 K ( 1 + ( 4 / 3 ) R ) θ J ( η J ) + Pr ( θ J ( η J ) F ( η J ) F J ( η J ) S + θ J ( η J ) H ± θ J ( η J ) F J ( η J ) ) = 0 ,
while the reduced endpoint conditions are
  F J ( η J ) = 1 , θ J ( η J ) = 1 S ,   F ( η J ) = 0 , at η J = 0 , F J ( η J ) A J , θ J ( η J ) 0 , when η J .
Equations (9) and (10) own the following fluid effects parameters:
K = 1 R 1 ν L u 1 ,   M J = σ B 0 2 L ρ u 1 , λ M = G R Re X 2 , Pr = c p μ k , S = ε 5 ε 3 , H ± = L Q 1 u 1 ρ c p , B J = ε 2 u 1 L , A J = u u 1 , R = 4 σ * T 3 k k * , G R = g β J T ( T w T 0 ) X 3 ν 2 .
It is important to note that H± represents the heat generation/absorption parameter. To be more specific, the positive values (H+) identify the heat generation parameter, while negative values (H) show the heat absorption parameter.
In this reference study, Rehman et al. [22] considered heat transfer as a surface quantity; they examine the heat transfer rate normal to the surface in various flow regimes. The mathematical relation in this regard is summarized as follows:
N U X = X q w k ( T w T 0 ) , q w = ( k + 4 σ * T 3 3 k * ) ( T R ) R = R 1   ,
and the corresponding dimensionless form is as follows:
Nu = N U X Re X 1 / 2 = ( 1 + ( 4 / 3 ) R J ) θ J ( 0 ) .
To examine the Nusselt number in detail, we have considered four various flow regimes, namely Flow Regime-I, Flow Regime-II, Flow Regime-III, and Flow Regime-IV. Equations (4)–(7) are non-linear and difficult to solve in terms of the exact solution. Equation (8) is utilized to attain the coupled differential equations; see Equations (9) and (10). Therefore, we seek a numerical solution. For the numerical solution of Equations (9) and (10) along with boundary conditions (11), we utilized the shooting method. In this regard, firstly, the boundary value problem given by Equations (9)–(11) is transformed into six first-order ordinary differential equations as an Initial Value Problem (IVP). Such an IVP is solved by using missing conditions as an initial guess. The Runge–Kutta scheme solves the set of first-order equations, and initial estimates are improved by the use of Newton’s method. If boundary residuals are less than the tolerance error 106, the computed solution converges; otherwise, the initial guesses are updated by use of Newton’s method, and the process is repeated until the solution reaches the desired convergence threshold. The complete flow chart of the solution methodology for obtaining the numerical data of the Nusselt number is given in Figure 2.

2.1. Flow Regime-I

In this regime, Jeffrey fluid flow over an inclined stretching plane surface is considered. Mixed convection, heat generation, magnetic field, stagnation point flow, temperature stratification, and heat absorption physical effects are considered in this case. The concluding mathematical formulation for the present case can be achieved by setting K = 0 and R = 0, in Equations (9) and (10). The outcome will be
F J ( η J ) + ( 1 + E J ) ( F J ( η J ) F J ( η J ) ( F J ( η J ) ) 2 ) + M J 2 ( F J ( η J ) A J ) + λ M θ J ( η J ) cos α J + A J 2 + B J ( ( F J ( η J ) ) 2 F ( η J ) F ( η J ) ) = 0 ,
θ J ( η J ) + + Pr ( F ( η J ) θ J ( η J ) F J ( η J ) S + H ± θ J ( η J ) F J ( η J ) θ J ( η J ) ) = 0 ,
While the quantity of interest reduces to
Nu = N U X Re X 1 / 2 = ( 1 + ( 4 / 3 ) R ) θ J ( 0 ) .
For Regime-I, the impacts of Prandtl number, temperature stratification, heat generation, and absorption on the Nusselt number are examined and concluded in Table 1.

2.2. Flow Regime-II

In this regime, the flow of Jeffrey fluid is considered over a flat surface in the presence of non-linear thermal radiations. The other physical effects include magnetic field, heat generation, mixed convection, stagnation point flow, temperature stratification, and heat absorption. The concluding mathematical formulation for Regime-II can be achieved by setting K = 0 and R = 0.3, in Equations (9) and (10). The reduced equations are
F J ( η J ) + ( 1 + E J ) ( F J ( η J ) F J ( η J ) ( F J ( η J ) ) 2 ) + M J 2 ( F J ( η J ) A J ) + λ M θ J ( η J ) cos α J + A J 2 + B J ( ( F J ( η J ) ) 2 F ( η J ) F ( η J ) ) = 0 ,
( 1 + ( 4 / 3 ) 0.3 ) θ J ( η J ) + Pr ( F ( η J ) θ J ( η J ) F J ( η J ) S + θ J ( η J ) H ± F J ( η J ) θ J ( η J ) ) = 0 ,
while the quantity of interest, namely the Nusselt number, reduces to
Nu = N U X Re X 1 / 2 = ( 1 + ( 4 / 3 ) 0.3 ) θ J ( 0 ) .
For Regime-II, the impacts of Prandtl number, temperature stratification, heat generation, and absorption on the Nusselt number are examined and concluded in Table 2.

2.3. Flow Regime-III

In this regime, the flow of Jeffrey fluid is considered over a cylindrical surface in the absence of non-linear thermal radiations. The other physical effects include heat generation, mixed convection, stagnation point flow, applied magnetic field, temperature stratification, and heat absorption. The concluding mathematical formulation for Regime-III can be achieved by setting R = 0 in Equations (9) and (10). The reduced equations are
( 1 + 2 K η J ) F J ( η J ) + ( 1 + E J ) ( F J ( η J ) F J ( η J ) ( F J ( η J ) ) 2 ) + 2 K F J ( η J ) + B J K ( F J ( η J ) F J ( η J ) 3 F J ( η J ) F J ( η J ) ) M J 2 ( F J ( η J ) A J ) + λ M θ J ( η J ) cos α J + A J 2 + B J ( 1 + 2 K η J ) ( ( F J ( η J ) ) 2 F ( η J ) F ( η J ) ) = 0 ,
( 1 + ( 4 / 3 ) 0.3 ) θ J ( η J ) + Pr ( F ( η J ) θ J ( η J ) F J ( η J ) S + θ J ( η J ) H ± F J ( η J ) θ J ( η J ) ) = 0 ,
while the quantity of interest, namely the Nusselt number, reduces to
Nu = N U X Re X 1 / 2 = θ J ( 0 ) .
For Regime-III, the impacts of Prandtl number, temperature stratification, heat generation, and absorption on the Nusselt number are examined and concluded as Table 3.

2.4. Flow Regime-IV

In this regime, the flow of Jeffrey fluid is considered over a cylindrical surface in the presence of non-linear thermal radiations. The other physical effects include heat generation, mixed convection, stagnation point flow, magnetic field, temperature stratification, and heat absorption. The concluding mathematical formulation for Regime-IV is reported as Equations (9) and (10). The mathematical relation for the Nusselt number subject to Flow Regime-IV is concluded as Equation (14). By using Equation (14), the variations in Nusselt number subject to Prandtl number, temperature stratification, heat generation, and heat absorption are summarized in Table 4. The Nusselt number numerical values represent the heat transfer rate normal to the surfaces. We found that as heat generation and the Prandtl number rise, the rate of heat transfer normal to the surface also rises. The heat transfer rate is found decreasing the function of the heat generation parameter and temperature stratification parameter. Such outcomes hold for both the flat and cylindrical surfaces.

3. Formulation of ANN

An artificial intelligence approach, which was developed as an alternative to traditional mathematical models, was used to analyze the Nusselt number in four different flow regimes. The first flow regime is considered as a plane surface, with K = 0 and R = 0 (without thermal radiation). In the second flow regime, R = 0.3 (with thermal radiation) is considered. The third flow regime was evaluated under conditions of a cylindrical surface, with K = 0.3 and R = 0 (without thermal radiations). The fourth flow regime was investigated for a cylindrical surface with K = 0.3 and R = 0.3 (with thermal radiations) conditions. These models are named Flow Regime-I, Flow Regime-II, Flow Regime-III, and Flow Regime-IV, respectively. The ANN model, which is one of the important artificial intelligence algorithms, was used as the analysis methodology. ANN models are an engineering tool with high performance even in the simulations of complex structures where there is no functional relationship between them due to their advanced systematics [23,24]. In the ANN model, which is designed to estimate the Nu number, the multi-layer perceptron (MLP) network model, which has a reliable estimation capability with its strong architecture, is used [25,26,27,28]. Each layer in the topology of MLP networks is directly coupled to the layer above it [29]. Data is input into the system at the input layer, which is the first layer of an MLP network. Each MLP network has at least one hidden layer, which is the layer connected to the input layer after that. The output layer, the final layer of the MLP neural network and the layer following the hidden layer, is where simulation results are obtained. The symbolic architecture in this regard is offered in Figure 3.
In the training of MLP neural networks, previously obtained data sets were used. The MLP network model built for calculating the Nu number utilized a total of 80 numerically acquired data sets. One of the most significant phases in the design process was optimizing and organizing the data set utilized in training ANN models [30]. The data set required to create the network model was broken down into three sections: training, validation, and testing. In determining the data set used in each section, the methodology frequently preferred by the researchers and with an ideal accuracy was used [31,32,33]. Of the dataset, 56 were reserved for training the model, 12 for validation, and 12 for testing. A neuron is a fundamental computational element found in the buried layers of MLP network models [34]. One of the challenges in the design of MLP neural network models is optimizing this computational element in the hidden layer. The challenge stems from the fact that there is no standard approach for calculating the number of neurons [35]. In order to overcome this difficulty, the outputs of ANN models developed with different neuron numbers were analyzed, and the number of neurons was optimized by choosing the model with the highest accuracy. The same method was used to optimize the number of neurons to be used in the developed MLP neural network, and the model with nine neurons in the hidden layer was preferred. The diagram showing the basic structure of the ANN model developed for the optimization of the Nu number is given in Figure 4.
In the MLP network model, the Levenberg–Marquardt training algorithm was preferred as the training algorithm. The Levenberg–Marquardt training algorithm is one of the widely used training algorithms in MLP neural networks due to its advanced learning ability [36,37]. Tan-Sig and Purelin transfer functions are preferred as transfer functions in the hidden and output layers of the MLP network, respectively. The models of the transfer functions used are given below [38,39]:
f ( x ) = 1 1 + e x ,
Pureline(x) = x.
After completing the design phase of the MLP network model, it is time to analyze the training, learning, and prediction performance of the model. First of all, the training and learning accuracy of the MLP neural network was examined, and it was ensured that the training phase was completed in an ideal way. In order to ensure that the network model can accurately predict the Nu number, the compatibility of the outputs obtained from the network model with the target data was examined. Following that, the coefficient of determination (R) and Mean Squared Error (MSE) parameters, which are commonly utilized in the literature, were calculated and thoroughly studied. The formulae used to calculate the performance parameters are as follows: [40,41]:
R = 1 i = 1 N ( X num ( i ) X ANN ( i ) ) 2 i = 1 N ( X num ( i ) ) 2 ,
M S E = 1 N i = 1 N ( X num ( i ) X ANN ( i ) ) 2 .
The margin of deviation (MoD) values, which express the percentage divergence between the neural network outputs and the target data, were also calculated and evaluated to further the performance study of the ANN model. The equation used to calculate the MoD values is given below [42,43,44,45]:
MoD ( % ) = [ X num X ANN X num ] × 100 .

4. Results and Discussion

The process of making ANN models ready to make predictions by learning the relationship between the data is called the “training phase”. The training phase of an ANN model must be completed in order for the model’s prediction accuracy to be accurate. One of the data used in the analysis of the training and learning processes of ANN models is the examination of the training performance graphics of the model. In Figure 5, the training performance graph of the developed MLP neural network is given. When looking at the graph depicting the estimated MSE values for each data set divided into three parts, it is clear that the MSE values are high at the start of the ANN model’s training phase. After each epoch, it is seen that the MSE values are decreasing, and the ideal MSE value is reached at the 35th epoch. With the MSE values reaching the most ideal value, the most ideal training performance point, which is expressed with a dotted line, is reached for the three data groups.
The results obtained from the training performance graph show that the training phase of the developed MLP network model is ideally completed with the most ideal performance values.
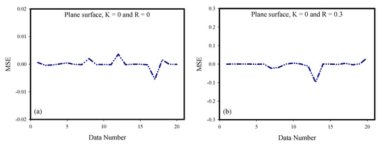
Another methodology used in the analysis of training performance is the analysis of error histograms, which show the errors obtained from the training phase. In Figure 6, the error histogram showing the errors obtained from the training phase of the MLP neural network is presented. When the error values on the x-axis of the error histogram are considered, it can be seen that the values are very low. Looking at the data histogram in which the error values are expressed for three separate data sets, it is seen that the errors are concentrated very close to the zero error line, which is symbolized by the yellow line. These results, obtained from the analysis of the error histogram, confirm that the training phase of the MLP neural network model was completed with very low errors. In Figure 7, MSE values are shown for each flow regime according to the number of data used in the training phase. Analyzing the MSE values calculated for each data is important in terms of analyzing the error values of MLP neural networks. The low error values of the models are proportional to the closeness of MSE values to zero.
The fact that the MSE values are as low as possible also shows the closeness of the outputs to be obtained from the developed ANN model to the truth. When the MSE values calculated from the data points are reviewed, the MSE values calculated for each of the four flow regimes are very near to zero. The closeness of the line denoting the MSE values to zero clearly confirms that the MLP network model has been trained to reach values very close to the truth. Analyzing the compatibility of the outputs obtained from the developed MLP neural network with the target data plays a vital role in the evaluation of the prediction performance of the neural network. In Figure 8, both values are shown on the same graph so that the harmony of output and target data can be clearly seen. When the states of the data points expressing the Nu values estimated for four different flow regimes and the Nu values calculated numerically are studied, we see that the ANN model outputs and the target data are in perfect harmony. The congruence of the output and target data for each data point shows that the designed neural network model can predict Nu values for all four flow regimes with very high accuracy.
Examining the MoD values, which express the percentage deviation between the ANN outputs and the target data, plays a vital role in determining the error rates of the model. In Figure 9, the calculated MoD values of each data used in the development of the ANN model are shown for the four flow regimes. When looking at the MoD values produced for four distinct flow regimes, it is evident that the data points are quite close to the zero error line. The closeness of the data points expressing the MoD values to the zero error line means that it is very low. These low MoD values confirm that the designed MLP neural network is capable of predicting Nu values for four different flow regimes with very low and acceptable deviations.
To investigate the ANN model error rates in greater depth, the discrepancies between the target values and the ANN model outputs were calculated for each data set utilized in the model training and displayed in Figure 10. When the difference data shown separately for each of the four flow regimes are examined, for each data point, the variations between the goal values and the ANN outputs are quite small. The fact that the differences are so low indicates that the outputs obtained from the developed MLP neural network are very close to the real data.
These results clearly prove that the developed ANN model is designed to predict the Nu number in each flow regime with very low error. For the compatibility between the Nu values obtained from the MLP neural network and the real data more clearly and to be sure of the estimation accuracy of the model, the estimation and target data were placed on different axes of the same graph, and the obtained results were evaluated. In Figure 11, Nu values obtained from the ANN model and target values for four different flow regimes are shown. When the state of the data points is analyzed, it is seen that each data point is located on the zero error line. It should also be noted that the data points remain within the ±10% error band. The results obtained from the graphs given for the four flow regimes clearly show that the developed ANN model can predict the Nu number for each flow regime with ideal accuracy.
Performance parameters were calculated and evaluated for the MLP neural network model, which was developed to estimate Nu number values for four different flow regimes. The R value calculated for the training phase of the neural network was 0.99998, the R value calculated for the validation phase was 0.99322, and the R value calculated for the testing phase was 0.99938. The R values’ proximity to zero shows that the ANN model prediction accuracy is quite high. The MSE and MoD values given in Table 5 also show that the prediction accuracy of the model is very high, and the developed ANN model is an ideal tool that can be used to estimate the Nu number in different flow characteristics. The values of the Nusselt number in comparison to Mahapatra and Gupta’s [46] are presented in Table 6. For two different examples where the Prandtl number is Pr = 1.5 and Pr = 0.5, the numerical values of the Nusselt number are obtained by altering the velocity ratio parameter. We saw a decent match in both instances, which gives us confidence in the present numerical results.

5. Conclusions

We developed artificial neural networking model for the convective heat transfer in stagnation point non-Newtonian fluid flow by using two inclined stretching surfaces, namely flat and cylindrical surfaces. The heat transfer flow field is manifested with heat generation, heat absorption, thermal radiations, magnetic field, and temperature stratification. Four different thermal flow regimes are considered and the corresponding Nusselt number is evaluated by varying thermophyiscal flow variables, namely Prandtl number, temperature stratification parameter, heat generation parameter, and heat absorption parameter. Different input parameters were used to create the feed forward back propagation multilayer perceptron network model. The training phase consumed 80% of the data set, whereas the testing phase consumed 20%. The Bayesian regularization training procedure was used to develop the network estimation performance, and the compatibility between the estimate values and the target data was investigated. The outcomes by the use of MoD and MSE admitted the accuracy of the artificial neural networking model for the estimation of convective heat transfer in various thermal flow regimes. Besides this, we have noticed R = 0.99998 for training phase, 0.99322 for validation phase, and 0.99938 for the testing phase. Such proximity to zero subject to R for the ANN model guarantees that the accuracy is quite high.

Author Contributions

Conceptualization, K.U.R. and A.B.Ç.; Data curation, A.B.Ç.; Formal analysis, K.U.R. and W.S.; Investigation, K.U.R. and A.B.Ç.; Methodology, K.U.R.; Software, W.S.; Supervision, W.S. All authors have read and agreed to the published version of the manuscript.

Funding

This research received no external funding.

Institutional Review Board Statement

Not applicable.

Informed Consent Statement

Not applicable.

Data Availability Statement

The adopted methodology can be offered upon request by readers.

Acknowledgments

The authors would like to thank Prince Sultan University, Saudi Arabia, for the technical support through the TAS research lab.

Conflicts of Interest

The authors declare no conflict of interest.

Nomenclature

EJRatio of relaxation and retardation times
VKinematic viscosity
αJAngle of inclination
U, VVelocity components
ε2Retardation time
X, RCylindrical coordinates
gGravitational acceleration
T Ambient temperature
σElectrical conductivity
B0Magnetic field constant
cPSpecific heat at constant pressure
Q1Heat generation/absorption coefficient
ε3, ε5Dimensional constants
σ*Steffan–Boltzman constant
ψ Stream function
TWSurface temperature
KCurvature parameter
MJMagnetic field parameter
λMMixed convection parameter
TFluid temperature
uJFree stream velocity
STemperature stratification parameter
HHeat absorption parameter
ρFluid density
kThermal conductivity
QRRadiative heat flux
LCharacteristic length
R1Radius of cylinder
F J ( η J ) Fluid velocity (dimensionless)
θ J ( η J ) Fluid temperature (dimensionless)
T0Reference temperature
BJDeborah number
AJVelocities ration parameter
PrPrandtl number
H+Heat generation parameter
RThermal radiation parameter

References

  1. Pittman, J.F.T.; Richardson, J.F.; Sherrard, C.P. An experimental study of heat transfer by laminar natural convection between an electrically-heated vertical plate and both Newtonian and non-Newtonian fluids. Int. J. Heat Mass Transf. 1999, 42, 657–671. [Google Scholar] [CrossRef]
  2. Rao, B.K. Heat transfer to non-Newtonian flows over a cylinder in cross flow. Int. J. Heat Fluid Flow 2000, 21, 693–700. [Google Scholar] [CrossRef]
  3. Pinarbasi, A.; Ozalp, C. Effect of viscosity models on the stability of a non-Newtonian fluid in a channel with heat transfer. Int. Commun. Heat Mass Transf. 2001, 28, 369–378. [Google Scholar] [CrossRef]
  4. Eldabe, N.T.M.; Mohamed, M.A.A. Heat and mass transfer in hydromagnetic flow of the non-Newtonian fluid with heat source over an accelerating surface through a porous medium. Chaos Solitons Fractals 2002, 13, 907–917. [Google Scholar] [CrossRef]
  5. Attia, H.A. Unsteady flow of a non-Newtonian fluid above a rotating disk with heat transfer. Int. J. Heat Mass Transf. 2003, 46, 2695–2700. [Google Scholar] [CrossRef]
  6. Wichterle, K. Heat transfer in temperature-dependent non-Newtonian flow. Chem. Eng. Process. Process Intensif. 2004, 43, 1223–1230. [Google Scholar] [CrossRef]
  7. Attia, H.A. Numerical study of flow and heat transfer of a non-Newtonian fluid on a rotating porous disk. Appl. Math. Comput. 2005, 163, 327–342. [Google Scholar] [CrossRef]
  8. Maia, C.R.M.; João, B.A.; Luiz, F.M. Heat transfer in laminar flow of non-Newtonian fluids in ducts of elliptical section. Int. J. Therm. Sci. 2006, 45, 1066–1072. [Google Scholar] [CrossRef]
  9. Barkhordari, M.; Etemad, S.G. Numerical study of slip flow heat transfer of non-Newtonian fluids in circular microchannels. Int. J. Heat Fluid Flow 2007, 28, 1027–1033. [Google Scholar] [CrossRef]
  10. Yao, L.-S.; Molla, M.M. Forced convection of non-Newtonian fluids on a heated flat plate. Int. J. Heat Mass Transf. 2008, 51, 5154–5159. [Google Scholar] [CrossRef]
  11. Sahoo, B. Effects of partial slip, viscous dissipation and Joule heating on Von Kármán flow and heat transfer of an electrically conducting non-Newtonian fluid. Commun. Nonlinear Sci. Numer. Simul. 2009, 14, 2982–2998. [Google Scholar] [CrossRef]
  12. Li, B.; Zheng, L.; Zhang, X. Heat transfer in pseudo-plastic non-Newtonian fluids with variable thermal conductivity. Energy Convers. Manag. 2011, 52, 355–358. [Google Scholar] [CrossRef]
  13. Pimenta, T.A.; Campos, J.B.L.M. Heat transfer coefficients from Newtonian and non-Newtonian fluids flowing in laminar regime in a helical coil. Int. J. Heat Mass Transf. 2013, 58, 676–690. [Google Scholar] [CrossRef] [Green Version]
  14. Rios-Iribe, E.; Cervantes-Gaxiola, M.E.; Rubio-Castro, E.; Ponce-Ortega, J.M.; González-Llanes, M.D.; Reyes-Moreno, C.; Hernández-Calderón, O.M. Heat transfer analysis of a non-Newtonian fluid flowing through a circular tube with twisted tape inserts. Appl. Therm. Eng. 2015, 84, 225–236. [Google Scholar] [CrossRef]
  15. Zhang, H.; Kang, Y.; Xu, T. Study on Heat Transfer of Non-Newtonian Power Law Fluid in Pipes with Different Cross Sections. Procedia Eng. 2017, 205, 3381–3388. [Google Scholar] [CrossRef]
  16. Mozafarie, S.S.; Javaherdeh, K. Numerical design and heat transfer analysis of a non-Newtonian fluid flow for annulus with helical fins. Eng. Sci. Technol. Int. J. 2019, 22, 1107–1115. [Google Scholar] [CrossRef]
  17. Rosa, V.d.S.; Torneiros, D.L.M.; Maranhão, H.W.d.A.; Moraes, M.S.d.; Taqueda, M.E.S.; Paiva, J.L.d.; Santos, A.R.; Júnior, D.d.M. Heat transfer and power consumption of Newtonian and non-Newtonian liquids in stirred tanks with vertical tube baffles. Appl. Therm. Eng. 2020, 176, 115355. [Google Scholar] [CrossRef]
  18. Pakhomov, M.A.; Zhapbasbayev, U.K. RANS modeling of turbulent flow and heat transfer of non-Newtonian viscoplastic fluid in a pipe. Case Stud. Therm. Eng. 2021, 28, 101455. [Google Scholar] [CrossRef]
  19. Wang, J.; Tan, G.; Wang, J.; Feng, L.-F. Numerical study on flow, heat transfer and mixing of highly viscous non-newtonian fluid in Sulzer mixer reactor. Int. J. Heat Mass Transf. 2022, 183, 122203. [Google Scholar] [CrossRef]
  20. Mahabaleshwar, U.S.; Vishalakshi, A.B.; Azese, M.N. The role of Brinkmann ratio on non-Newtonian fluid flow due to a porous shrinking/stretching sheet with heat transfer. Eur. J. Mech.-B/Fluids 2022, 92, 153–165. [Google Scholar] [CrossRef]
  21. Wang, X.; Qiao, Y.; Qi, H.; Xu, H. Numerical study of pulsatile non-Newtonian blood flow and heat transfer in small vessels under a magnetic field. Int. Commun. Heat Mass Transf. 2022, 133, 105930. [Google Scholar] [CrossRef]
  22. Rehman, K.U.; Shatanawi, W.; Al-Mdallal, Q.M. A comparative remark on heat transfer in thermally stratified MHD Jeffrey fluid flow with thermal radiations subject to cylindrical/plane surfaces. Case Stud. Therm. Eng. 2022, 32, 101913. [Google Scholar] [CrossRef]
  23. Vakili, M.; Khosrojerdi, S.; Aghajannezhad, P.; Yahyaei, M. A hybrid artificial neural network-genetic algorithm modeling approach for viscosity estimation of graphene nanoplatelets nanofluid using experimental data. Int. Commun. Heat Mass Transf. 2017, 82, 40–48. [Google Scholar] [CrossRef]
  24. Bahiraei, M.; Heshmatian, S.; Moayedi, H. Artificial intelligence in the field of nanofluids: A review on applications and potential future directions. Powder Technol. 2019, 353, 276–301. [Google Scholar] [CrossRef]
  25. Vaferi, B.; Samimi, F.; Pakgohar, E.; Mowla, D. Artificial neural network approach for prediction of thermal behavior of nanofluids flowing through circular tubes. Powder Technol. 2014, 267, 1–10. [Google Scholar] [CrossRef]
  26. Çolak, A.B.; Yıldız, O.; Bayrak, M.; Tezekici, B.S. Experimental study for predicting the specific heat of water based Cu-Al2O3 hybrid nanofluid using artificial neural network and proposing new correlation. Int. J. Energy Res. 2020, 44, 7198–7215. [Google Scholar] [CrossRef]
  27. Canakci, A.; Ozsahin, S.; Varol, T. Modeling the influence of a process control agent on the properties of metal matrix composite powders using artificial neural networks. Powder Technol. 2012, 228, 26–35. [Google Scholar] [CrossRef]
  28. Vaferi, B.; Eslamloueyan, R.; Ayatollahi, S. Automatic recognition of oil reservoir models from well testing data by using multi-layer perceptron networks. J. Pet. Sci. Eng. 2011, 77, 254–262. [Google Scholar] [CrossRef]
  29. Güzel, T.; Çolak, A.B. Artificial intelligence approach on predicting current values of polymer interface Schottky diode based on temperature and voltage: An experimental study. Superlattices Microstruct. 2021, 153, 106864. [Google Scholar] [CrossRef]
  30. Çolak, A.B. An experimental study on the comparative analysis of the effect of the number of data on the error rates of artificial neural networks. Int. J. Energy Res. 2021, 45, 478–500. [Google Scholar] [CrossRef]
  31. Esmaeilzadeh, F.; Teja, A.S.; Bakhtyari, A. The thermal conductivity, viscosity, and cloud points of bentonite nanofluids with n-pentadecane as the base fluid. J. Mol. Liq. 2020, 300, 112307. [Google Scholar] [CrossRef]
  32. Barati-Harooni, A.; Najafi-Marghmaleki, A. An accurate RBF-NN model for estimation of viscosity of nanofluids. J. Mol. Liq. 2016, 224, 580–588. [Google Scholar] [CrossRef]
  33. Rostamian, S.H.; Biglari, M.; Saedodin, S.; Esfe, M.H. An inspection of thermal conductivity of CuO-SWCNTs hybrid nanofluid versus temperature and concentration using experimental data, ANN modeling and new correlation. J. Mol. Liq. 2017, 231, 364–369. [Google Scholar] [CrossRef]
  34. Ahmadloo, E.; Azizi, S. Prediction of thermal conductivity of various nanofluids using artificial neural network. Int. Commun. Heat Mass Transf. 2016, 74, 69–75. [Google Scholar] [CrossRef]
  35. Bonakdari, H.; Zaji, A.H. Open channel junction velocity prediction by using a hybrid self-neuron adjustable artificial neural network. Flow Meas. Instrum. 2016, 49, 46–51. [Google Scholar] [CrossRef]
  36. Ali, A.; Abdulrahman, A.; Garg, S.; Maqsood, K.; Murshid, G. Application of artificial neural networks (ANN) for vapor-liquid-solid equilibrium prediction for CH4-CO2 binary mixture. Greenh. Gases Sci. Technol. 2019, 9, 67–78. [Google Scholar] [CrossRef] [Green Version]
  37. Abdul Kareem, F.A.; Shariff, A.M.; Ullah, S.; Garg, S.; Dreisbach, F.; Keong, L.K.; Mellon, N. Experimental and neural network modeling of partial uptake for a carbon dioxide/methane/water ternary mixture on 13X zeolite. Energy Technol. 2017, 5, 1373–1391. [Google Scholar] [CrossRef]
  38. Vafaei, M.; Afrand, M.; Sina, N.; Kalbasi, R.; Sourani, F.; Teimouri, H. Evaluation of thermal conductivity of MgO-MWCNTs/EG hybrid nanofluids based on experimental data by selecting optimal artificial neural networks. Phys. E Low-Dimens. Syst. Nanostructures 2017, 85, 90–96. [Google Scholar] [CrossRef]
  39. Akhgar, A.; Toghraie, D.; Sina, N.; Afrand, M. Developing dissimilar artificial neural networks (ANNs) to prediction the thermal conductivity of MWCNT-TiO2/Water-ethylene glycol hybrid nanofluid. Powder Technol. 2019, 355, 602–610. [Google Scholar] [CrossRef]
  40. Acikgoz, O.; Çolak, A.B.; Camci, M.; Karakoyun, Y.; Dalkilic, A.S. Machine learning approach to predict the heat transfer coefficients pertaining to a radiant cooling system coupled with mixed and forced convection. Int. J. Therm. Sci. 2022, 178, 107624. [Google Scholar] [CrossRef]
  41. Öcal, S.; Gökçek, M.; Çolak, A.B.; Korkanç, M. A comprehensive and comparative experimental analysis on thermal conductivity of TiO2-CaCO3/Water hybrid nanofluid: Proposing new correlation and artificial neural network optimization. Heat Transf. Res. Heat Transf. Res. 2021, 52, 55–79. [Google Scholar] [CrossRef]
  42. Khosravi, R.; Rabiei, S.; Khaki, M.; Safaei, M.R.; Goodarzi, M. Entropy generation of graphene–platinum hybrid nanofluid flow through a wavy cylindrical microchannel solar receiver by using neural networks. J. Therm. Anal. Calorim. 2021, 145, 1949–1967. [Google Scholar] [CrossRef]
  43. Soomro, F.A.; Alamir, M.A.; El-Sapa, S.; Haq, R.U.; Soomro, M.A. Artificial neural network modeling of MHD slip-flow over a permeable stretching surface. Arch. Appl. Mech. 2022, 92, 2179–2189. [Google Scholar] [CrossRef]
  44. Raja, M.A.Z.; Shoaib, M.; Hussain, S.; Nisar, K.S.; Islam, S. Computational intelligence of Levenberg-Marquardt backpropagation neural networks to study thermal radiation and Hall effects on boundary layer flow past a stretching sheet. Int. Commun. Heat Mass Transf. 2022, 130, 105799. [Google Scholar] [CrossRef]
  45. Kalkan, O.; Colak, A.B.; Celen, A.; Bakirci, K.; Dalkilic, A.S. Prediction of experimental thermal performance of new designed cold plate for electric vehicles’ Li-ion pouch-type battery with artificial neural network. J. Energy Storage 2022, 48, 103981. [Google Scholar] [CrossRef]
  46. Mahapatra, T.; Gupta, A.S. Heat transfer in stagnation-point flow towards a stretching sheet. Heat Mass Transf. 2002, 38, 517–521. [Google Scholar] [CrossRef]
Figure 1. Geometry of the problem.
Figure 1. Geometry of the problem.
Mathematics 10 02394 g001
Figure 2. Description of numerical method.
Figure 2. Description of numerical method.
Mathematics 10 02394 g002
Figure 3. An MLP network model’s symbolic architecture.
Figure 3. An MLP network model’s symbolic architecture.
Mathematics 10 02394 g003
Figure 4. The symbolic architecture of an MLP network model.
Figure 4. The symbolic architecture of an MLP network model.
Mathematics 10 02394 g004
Figure 5. The training performance graph of the developed MLP neural network.
Figure 5. The training performance graph of the developed MLP neural network.
Mathematics 10 02394 g005
Figure 6. The error histogram showing the errors obtained from the training phase of the MLP neural network.
Figure 6. The error histogram showing the errors obtained from the training phase of the MLP neural network.
Mathematics 10 02394 g006
Figure 7. MSE values for thermal Flow Regimes-I (a), -II (b), -III (c), and -IV (d) according to the number of data used in the training phase.
Figure 7. MSE values for thermal Flow Regimes-I (a), -II (b), -III (c), and -IV (d) according to the number of data used in the training phase.
Mathematics 10 02394 g007aMathematics 10 02394 g007b
Figure 8. ANN predictions and target values according to data number for thermal Flow Regimes--I (a), -II (b), -III (c), and -IV (d).
Figure 8. ANN predictions and target values according to data number for thermal Flow Regimes--I (a), -II (b), -III (c), and -IV (d).
Mathematics 10 02394 g008
Figure 9. The calculated MoD values of each data used in the development of the ANN model for thermal Flow Regimes-I (a), -II (b), -III (c), and -IV (d).
Figure 9. The calculated MoD values of each data used in the development of the ANN model for thermal Flow Regimes-I (a), -II (b), -III (c), and -IV (d).
Mathematics 10 02394 g009
Figure 10. The differences between the target values and the outputs of the ANN model for thermal Flow Regimes-I (a), -II (b), -III (c), and -IV (d).
Figure 10. The differences between the target values and the outputs of the ANN model for thermal Flow Regimes-I (a), -II (b), -III (c), and -IV (d).
Mathematics 10 02394 g010
Figure 11. Numerical and ANN outputs for thermal Flow Regimes-I (a), -II (b), -III (c) and -IV (d).
Figure 11. Numerical and ANN outputs for thermal Flow Regimes-I (a), -II (b), -III (c) and -IV (d).
Mathematics 10 02394 g011
Table 1. Nusselt number variations subject to Flow Regime-I.
Table 1. Nusselt number variations subject to Flow Regime-I.
PrSH+HNu
1.50.10.10.11.0942
1.80.10.10.11.2382
2.10.10.10.11.3716
2.20.10.10.11.4140
2.30.10.10.11.4553
3.50.00.10.11.9767
3.50.10.10.11.8910
3.50.20.10.11.8058
3.50.30.10.11.7211
3.50.40.10.11.6369
2.90.10.00.11.7733
2.90.10.10.11.6855
2.90.10.20.11.5812
2.90.10.30.11.4372
2.90.10.40.10.9810
2.40.10−0.11.6558
2.40.10−0.21.7245
2.40.10−0.31.7886
2.40.10−0.41.8492
2.40.10−0.51.9069
Table 2. Nusselt number variations subject to Flow Regime-II.
Table 2. Nusselt number variations subject to Flow Regime-II.
PrSH+HNu
1.50.10.10.11.2401
1.80.10.10.11.4033
2.10.10.10.11.5545
2.20.10.10.11.6025
2.30.10.10.11.6493
3.50.00.10.12.2403
3.50.10.10.12.1431
3.50.20.10.12.0466
3.50.30.10.11.9506
3.50.40.10.11.8552
2.90.10.00.12.0097
2.90.10.10.11.9102
2.90.10.20.11.7920
2.90.10.30.11.6288
2.90.10.40.11.1118
2.40.10−0.11.8766
2.40.10−0.21.9544
2.40.10−0.32.0271
2.40.10−0.42.0958
2.40.10−0.52.1612
Table 3. Nusselt number variations subject to Flow Regime-III.
Table 3. Nusselt number variations subject to Flow Regime-III.
PrSH+HNu
1.50.10.10.11.5494
1.80.10.10.11.6940
2.10.10.10.11.8270
2.20.10.10.11.8692
2.30.10.10.11.9105
3.50.00.10.12.4081
3.50.10.10.12.3479
3.50.20.10.12.2883
3.50.30.10.12.2293
3.50.40.10.12.1710
2.90.10.00.12.2056
2.90.10.10.12.1407
2.90.10.20.12.0737
2.90.10.30.12.0045
2.90.10.40.11.9329
2.40.10−0.12.0121
2.40.10−0.22.0711
2.40.10−0.32.1280
2.40.10−0.42.2366
2.40.10−0.52.2885
Table 4. Nusselt number variations subject to Flow Regime-IV.
Table 4. Nusselt number variations subject to Flow Regime-IV.
PrSH+HNu
1.50.10.10.11.7560
1.80.10.10.11.9199
2.10.10.10.12.0706
2.20.10.10.12.1184
2.30.10.10.12.1652
3.50.00.10.12.7292
3.50.10.10.12.6610
3.50.20.10.12.5934
3.50.30.10.12.5265
3.50.40.10.12.4605
2.90.10.00.12.4997
2.90.10.10.12.4261
2.90.10.20.12.3502
2.90.10.30.12.2718
2.90.10.40.12.1906
2.40.10−0.12.2804
2.40.10−0.22.3472
2.40.10−0.32.4117
2.40.10−0.42.5348
2.40.10−0.52.5936
Table 5. Performance parameter results for each flow regime.
Table 5. Performance parameter results for each flow regime.
Flow Regime-IFlow Regime-IIFlow Regime-IIIFlow Regime-IV
MSE3.48 × 10−4−5.50 × 10−43.63 × 10−4−9.16 × 10−4
MoD (%)0.01−0.010.01−0.01
Table 6. Comparison for Nusselt when K = E J = λ M = B J = R = S = H ± = 0 .
Table 6. Comparison for Nusselt when K = E J = λ M = B J = R = S = H ± = 0 .
AJPr = 1.5Pr = 0.5
Ref. [46]Present ValuesRef. [46]Present Values
0.10.7770.7760.3830.380
0.20.7970.7950.4080.405
0.50.8630.8610.4730.472
1.00.9740.9730.5630.561
2.01.1711.1660.7090.703
3.01.3411.3340.8290.820
Publisher’s Note: MDPI stays neutral with regard to jurisdictional claims in published maps and institutional affiliations.

Share and Cite

MDPI and ACS Style

Rehman, K.U.; Çolak, A.B.; Shatanawi, W. Artificial Neural Networking (ANN) Model for Convective Heat Transfer in Thermally Magnetized Multiple Flow Regimes with Temperature Stratification Effects. Mathematics 2022, 10, 2394. https://doi.org/10.3390/math10142394

AMA Style

Rehman KU, Çolak AB, Shatanawi W. Artificial Neural Networking (ANN) Model for Convective Heat Transfer in Thermally Magnetized Multiple Flow Regimes with Temperature Stratification Effects. Mathematics. 2022; 10(14):2394. https://doi.org/10.3390/math10142394

Chicago/Turabian Style

Rehman, Khalil Ur, Andaç Batur Çolak, and Wasfi Shatanawi. 2022. "Artificial Neural Networking (ANN) Model for Convective Heat Transfer in Thermally Magnetized Multiple Flow Regimes with Temperature Stratification Effects" Mathematics 10, no. 14: 2394. https://doi.org/10.3390/math10142394

APA Style

Rehman, K. U., Çolak, A. B., & Shatanawi, W. (2022). Artificial Neural Networking (ANN) Model for Convective Heat Transfer in Thermally Magnetized Multiple Flow Regimes with Temperature Stratification Effects. Mathematics, 10(14), 2394. https://doi.org/10.3390/math10142394

Note that from the first issue of 2016, this journal uses article numbers instead of page numbers. See further details here.

Article Metrics

Back to TopTop