A Mathematical Study of a Semiconducting Thermoelastic Rotating Solid Cylinder with Modified Moore–Gibson–Thompson Heat Transfer under the Hall Effect
Abstract
:1. Introduction
“Based on entropy equality, they proposed three new thermoelastic theories. Their theories are known as the thermoelasticity theory of type I, the thermoelasticity theory of type II (i.e., thermoelasticity without energy dissipation), and the thermoelasticity theory of type III (i.e., thermoelasticity with energy dissipation). On linearization, type I becomes the classical heat equation whereas on linearization type-II, as well as type-III theories, give the finite speed of thermal wave propagation”.
2. Basic Equations
- 1.
- Constitutive relations
- 2.
- Equation of motion
- 3.
- Plasma diffusion equationwhere .
- 4.
- Modified Moore–Gibson–Thompson heat conduction equationwhere is not summed.
- 5.
- Modified Ohm’s law with the Hall effectwhere
- 6.
- Lorentz force
3. Formulation and Solution of the Problem
4. Boundary Conditions
5. Inversion of the Transforms
6. Particular Cases
- If in Equations (66)–(71), the results for the MGTPT can be obtained with rotation and with the Hall effect.
- If in Equations (66)–(71), the results for the photo-thermal Green–Naghdi III theory (PGN-III) can be obtained with rotation and with the Hall effect.
- If in Equations (66)–(71), the results for the photo-thermal Green–Naghdi II model (PGN-II) can be obtained with rotation and with the Hall effect.
- If in Equations (66)–(71), the results for the coupled photo-thermoelasticity theory (CPTE) are obtained with rotation and with the Hall effect.
- If , in Equations (66)–(71), the results for the generalized Lord–Shulman photo-thermoelasticity model (PLS) is obtained with rotation and with the Hall effect.
- If the magnetic field, i.e., in Equations (66)–(71), we get results for the thermoelastic semiconducting solid with rotation.
- If Ω = 0 in Equations (66)–(71), we get results for the semiconducting magneto-thermoelastic solid with the Hall effect and without rotation.
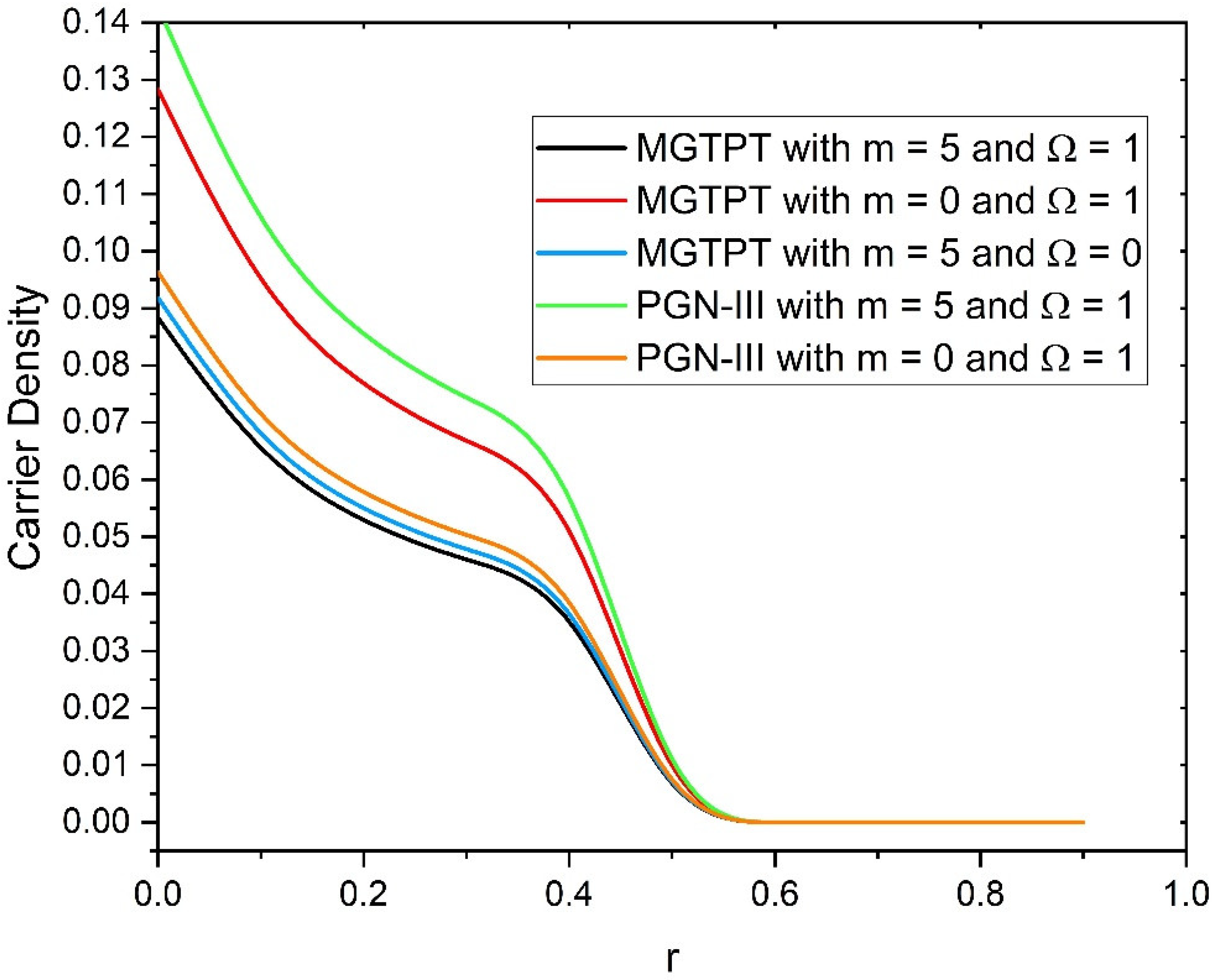
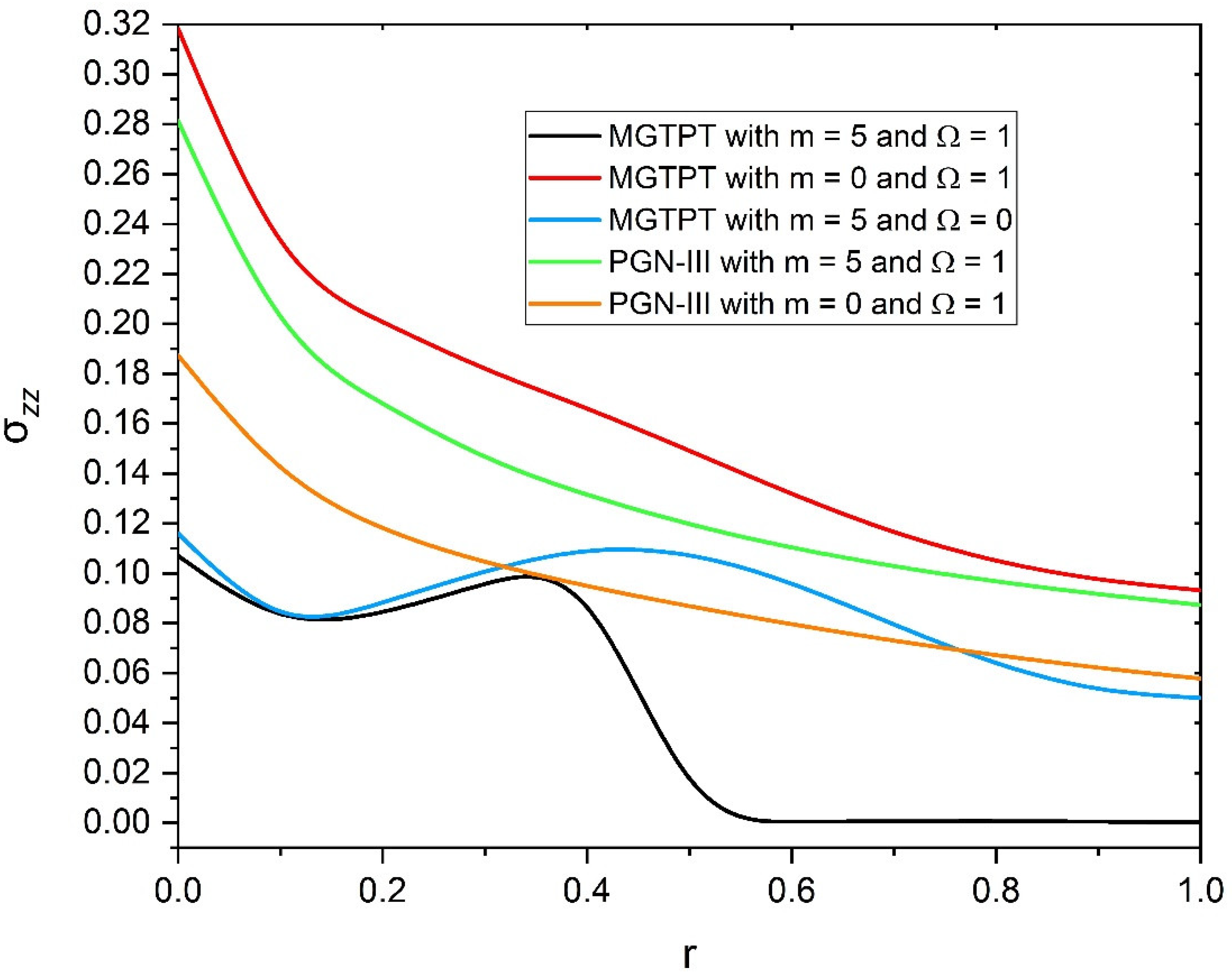
7. Numerical Results and Discussion
8. Conclusions
Author Contributions
Funding
Data Availability Statement
Conflicts of Interest
Nomenclature
| Kronecker delta | Lame’s elastic constants | ||
| The body force | Components of displacement (m) | ||
| Thermodynamic temperature | Carrier diffusion coefficients | ||
| Medium density (Kg m−3) | Cubical dilatation | ||
| Carrier concentration at equilibrium position | Electron charge | ||
| Stress tensors (N m−2) | Energy gap of the semiconductor parameter | ||
| Strain tensors (mm−1) | Conduction current density tensor | ||
| Carrier density | Angular frequency | ||
| Constant | Photo-generated carrier lifetime | ||
| Time | Thermal elastic coupling tensor | ||
| Electron collision time | Material constant | ||
| Linear thermal expansion coefficient | Hall effect parameter | ||
| Electronic deformation coefficient | Thermal relaxation parameter | ||
| Coefficient of thermal conductivity | Coupling parameter for thermal activation | ||
| Coefficient of electronic deformation | Pulsing heat flux duration time | ||
| Permutation symbol | Electron frequency | ||
| Intensity tensor of the magnetic field | Reference temperature s.t. | ||
| Surface recombination velocity | Electrical conductivity | ||
| Electron number density | Specific heat at constant strain | ||
| Electron mass | Intensity tensor of the electric field | ||
| Magnetic permeability |
References
- Duhamel, J.M. Memories of the molecular actions developed by changes in temperatures in solids. Mummy Div. Sav. Acad. Sci. Par. 1938, 5, 440–498. [Google Scholar]
- Biot, M.A. Thermoelasticity and Irreversible Thermodynamics. J. Appl. Phys. 1956, 27, 240–253. [Google Scholar] [CrossRef]
- Cattaneo, C. A form of heat-conduction equations which eliminates the paradox of instantaneous propagation. Comptes Rendus Acad. Sci. Paris Ser. II 1958, 247, 431–433. [Google Scholar]
- Vernotte, P. Les paradoxes de la theorie continue de l’equation de lachaleur. Comptes Rendus Acad. Sci. Paris Ser. II 1958, 246, 3154–3155. [Google Scholar]
- Vernotte, P. Some possible complications in the phenomena of thermal conduction. Comptes Rendus Acad. Sci. Paris Ser. II 1961, 252, 2190–2191. [Google Scholar]
- Lord, H.W.; Shulman, Y. A generalized dynamical theory of thermoelasticity. J. Mech. Phys. Solids 1967, 15, 299–309. [Google Scholar] [CrossRef]
- Green, A.E.; Lindsay, K.A. Thermoelasticity. J. Elast. 1972, 2, 1–7. [Google Scholar] [CrossRef]
- Dhaliwal, R.S.; Sheriff, H.H. Generalized Thermoelasticity for Anisotropic Media. Q. Appl. Math. 1980, 38, 1–8. [Google Scholar] [CrossRef] [Green Version]
- Green, A.E.; Naghdi, P.M. A re-examination of the basic postulates of thermomechanics. Proc. R. Soc. London. Ser. A Math. Phys. Sci. 1991, 432, 171–194. [Google Scholar] [CrossRef]
- Green, A.E.; Naghdi, P.M. On undamped heat waves in an elastic solid. J. Therm. Stresses 1992, 15, 253–264. [Google Scholar] [CrossRef]
- Green, A.E.; Naghdi, P.M. Thermoelasticity without energy dissipation. J. Elast. 1993, 31, 189–208. [Google Scholar] [CrossRef]
- Lasiecka, I.; Wang, X. Moore–Gibson–Thompson equation with memory, part II: General decay of energy. J. Differ. Equ. 2015, 259, 7610–7635. [Google Scholar] [CrossRef]
- Quintanilla, R. Moore–Gibson–Thompson thermoelasticity. Math. Mech. Solids 2019, 24, 4020–4031. [Google Scholar] [CrossRef]
- Quintanilla, R. Moore-Gibson-Thompson thermoelasticity with two temperatures. Appl. Eng. Sci. 2020, 1, 100006. [Google Scholar] [CrossRef]
- Fernández, J.R.; Quintanilla, R. Moore-Gibson-Thompson theory for thermoelastic dielectrics. Appl. Math. Mech. 2021, 42, 309–316. [Google Scholar] [CrossRef]
- Bazarra, N.; Fernández, J.; Quintanilla, R. Analysis of a Moore–Gibson–Thompson thermoelastic problem. J. Comput. Appl. Math. 2020, 382, 113058. [Google Scholar] [CrossRef]
- Marin, M. On weak solutions in elasticity of dipolar bodies with voids. J. Comput. Appl. Math. 1997, 82, 291–297. [Google Scholar] [CrossRef] [Green Version]
- Lata, P.; Kaur, I. Thermomechanical interactions in transversely isotropic magneto-thermoelastic medium with fractional order generalized heat transfer and Hall current. Arab J. Basic Appl. Sci. 2019, 27, 13–26. [Google Scholar] [CrossRef]
- Lotfy, K.; El-Bary, A.A. Thomson effect in thermo-electro-magneto semiconductor medium during photothermal excitation process. Waves Random Complex Media 2020, 32, 1–19. [Google Scholar] [CrossRef]
- Mahdy, A.; Lotfy, K.; Ahmed, M.; El-Bary, A.; Ismail, E. Electromagnetic Hall current effect and fractional heat order for microtemperature photo-excited semiconductor medium with laser pulses. Results Phys. 2020, 17, 103161. [Google Scholar] [CrossRef]
- Kaur, I.; Singh, K. Fractional order strain analysis in thick circular plate subjected to hyperbolic two temperature. Partial. Differ. Equ. Appl. Math. 2021, 4, 100130. [Google Scholar] [CrossRef]
- Kaur, I.; Singh, K. Plane wave in non-local semiconducting rotating media with Hall effect and three-phase lag fractional order heat transfer. Int. J. Mech. Mater. Eng. 2021, 16, 16. [Google Scholar] [CrossRef]
- Marin, M.; Craciun, E.M.; Pop, N. Some Results in Green–Lindsay Thermoelasticity of Bodies with Dipolar Structure. Mathematics 2020, 8, 497. [Google Scholar] [CrossRef] [Green Version]
- Marin, M.; Othman, M.I.A.; Abbas, I.A. An Extension of the Domain of Influence Theorem for Generalized Thermoelasticity of Anisotropic Material with Voids. J. Comput. Theor. Nanosci. 2015, 12, 1594–1598. [Google Scholar] [CrossRef]
- Kaur, I.; Lata, P.; Singh, K. Effect of Hall current in transversely isotropic magneto-thermoelastic rotating medium with fractional-order generalized heat transfer due to ramp-type heat. Indian J. Phys. 2020, 95, 1165–1174. [Google Scholar] [CrossRef]
- Bhatti, M.M.; Ellahi, R.; Zeeshan, A.; Marin, M.; Ijaz, N. Numerical study of heat transfer and Hall current impact on peristaltic propulsion of particle-fluid suspension with compliant wall properties. Mod. Phys. Lett. B 2019, 33, 1950439. [Google Scholar] [CrossRef]
- Bhatti, M.M.; A Yousif, M.; Mishra, S.R.; Shahid, A. Simultaneous influence of thermo-diffusion and diffusion-thermo on non-Newtonian hyperbolic tangent magnetised nanofluid with Hall current through a nonlinear stretching surface. Pramana 2019, 93, 88. [Google Scholar] [CrossRef]
- Othman, M.I.; Marin, M. Effect of thermal loading due to laser pulse on thermoelastic porous medium under G-N theory. Results Phys. 2017, 7, 3863–3872. [Google Scholar] [CrossRef]
- Marin, M.; Othman, M.I.A.; Seadawy, A.R.; Carstea, C. A domain of influence in the Moore–Gibson–Thompson theory of dipolar bodies. J. Taibah Univ. Sci. 2020, 14, 653–660. [Google Scholar] [CrossRef]
- Craciun, E.-M.; Baesu, E.; Soós, E. General solution in terms of complex potentials for incremental antiplane states in prestressed and prepolarized piezoelectric crystals: Application to Mode III fracture propagation. IMA J. Appl. Math. 2004, 70, 39–52. [Google Scholar] [CrossRef]
- Lotfy, K.; El-Bary, A.; Hassan, W.; Ahmed, M. Hall current influence of microtemperature magneto-elastic semiconductor material. Superlattices Microstruct. 2020, 139, 106428. [Google Scholar] [CrossRef]
- Abouelregal, A.E.; Mohammad-Sedighi, H.; Shirazi, A.H.; Malikan, M.; Eremeyev, V.A. Computational analysis of an infinite magneto-thermoelastic solid periodically dispersed with varying heat flow based on non-local Moore–Gibson–Thompson approach. Contin. Mech. Thermodyn. 2021, 34, 1067–1085. [Google Scholar] [CrossRef]
- Abouelregal, A.E.; Atta, D. A rigid cylinder of a thermoelastic magnetic semiconductor material based on the generalized Moore–Gibson–Thompson heat equation model. Appl. Phys. A 2022, 128, 118. [Google Scholar] [CrossRef]
- Press, W.H.; Teukolsky, S.A.; Flannery, B.P. Numerical Recipes in Fortran; Cambridge University Press: Cambridge, UK, 1980. [Google Scholar]







Publisher’s Note: MDPI stays neutral with regard to jurisdictional claims in published maps and institutional affiliations. |
© 2022 by the authors. Licensee MDPI, Basel, Switzerland. This article is an open access article distributed under the terms and conditions of the Creative Commons Attribution (CC BY) license (https://creativecommons.org/licenses/by/4.0/).
Share and Cite
Kaur, I.; Singh, K.; Craciun, E.-M. A Mathematical Study of a Semiconducting Thermoelastic Rotating Solid Cylinder with Modified Moore–Gibson–Thompson Heat Transfer under the Hall Effect. Mathematics 2022, 10, 2386. https://doi.org/10.3390/math10142386
Kaur I, Singh K, Craciun E-M. A Mathematical Study of a Semiconducting Thermoelastic Rotating Solid Cylinder with Modified Moore–Gibson–Thompson Heat Transfer under the Hall Effect. Mathematics. 2022; 10(14):2386. https://doi.org/10.3390/math10142386
Chicago/Turabian StyleKaur, Iqbal, Kulvinder Singh, and Eduard-Marius Craciun. 2022. "A Mathematical Study of a Semiconducting Thermoelastic Rotating Solid Cylinder with Modified Moore–Gibson–Thompson Heat Transfer under the Hall Effect" Mathematics 10, no. 14: 2386. https://doi.org/10.3390/math10142386
APA StyleKaur, I., Singh, K., & Craciun, E.-M. (2022). A Mathematical Study of a Semiconducting Thermoelastic Rotating Solid Cylinder with Modified Moore–Gibson–Thompson Heat Transfer under the Hall Effect. Mathematics, 10(14), 2386. https://doi.org/10.3390/math10142386

