An Automated Hyperparameter Tuning Recurrent Neural Network Model for Fruit Classification
Abstract
:1. Introduction
- An intelligent AFC-HPODTL model comprising of pre-processing, Adam with DenseNet169-based feature extraction, RNN classification, and AOA-based hyperparameter tuning is presented. To the best of our knowledge, the AFC-HPODTL model has never been presented in the literature.
- Hyperparameter tuning of the DenseNet169 and RNN models takes place using Adam optimizer and AOA techniques respectively, which in turn considerably enhances the fruit classification performance shows the novelty of the work.
- The performance of the proposed AFC-HPODTL model is validated on two open databases and the results demonstrate the better performance over other DL models.
2. Related Works
3. The Proposed Model
3.1. Contrast Enhancement
3.2. Feature Extraction
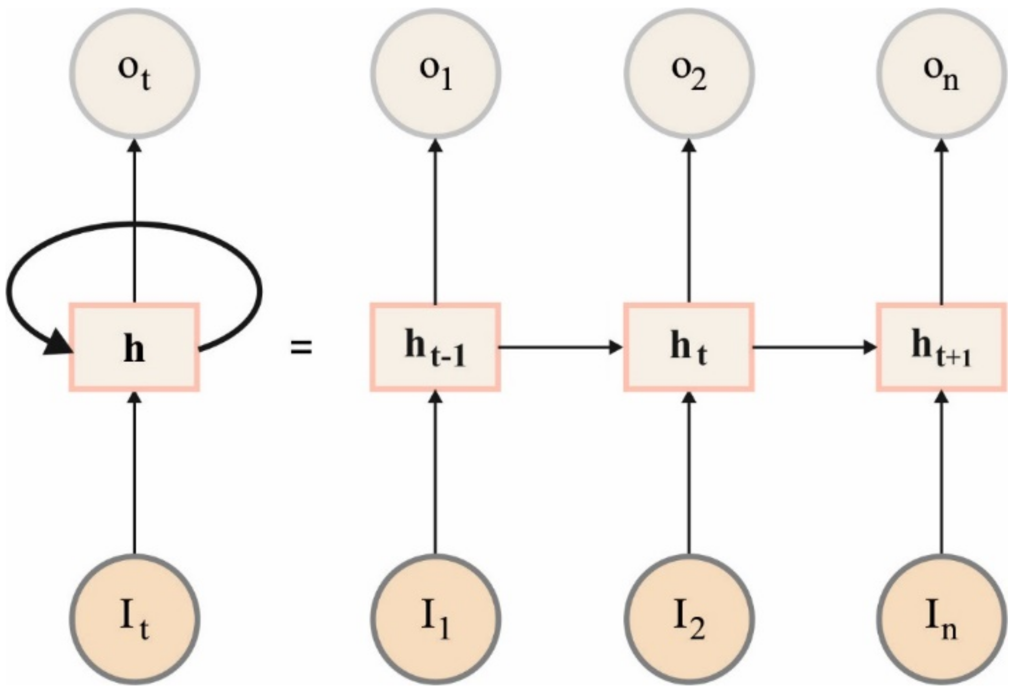
3.3. Fruit Classification
3.4. Hyperparameter Tuning
4. Performance Validation
4.1. Result Analysis on Dataset 1
4.2. Result Analysis on Dataset 2
5. Conclusions
Author Contributions
Funding
Institutional Review Board Statement
Informed Consent Statement
Data Availability Statement
Conflicts of Interest
References
- Altaheri, H.; Alsulaiman, M.; Muhammad, G. Date fruit classification for robotic harvesting in a natural environment using deep learning. IEEE Access 2019, 7, 117115–117133. [Google Scholar] [CrossRef]
- Chen, X.; Zhou, G.; Chen, A.; Pu, L.; Chen, W. The fruit classification algorithm based on the multi-optimization convolutional neural network. Multimed. Tools Appl. 2021, 80, 11313–11330. [Google Scholar] [CrossRef]
- Khan, R.; Debnath, R. Multi class fruit classification using efficient object detection and recognition techniques. Int. J. Image Graph. Signal Process. 2019, 11, 1. [Google Scholar] [CrossRef]
- Abdusalomov, A.; Mukhiddinov, M.; Djuraev, O.; Khamdamov, U.; Whangbo, T.K. Automatic Salient Object Extraction Based on Locally Adaptive Thresholding to Generate Tactile Graphics. Appl. Sci. 2020, 10, 3350. [Google Scholar] [CrossRef]
- Yoon, H.; Kim, B.H.; Mukhriddin, M.; Cho, J. Salient region extraction based on global contrast enhancement and saliency cut for image information recognition of the visually impaired. KSII Trans. Internet Inf. Syst. (TIIS) 2018, 12, 2287–2312. [Google Scholar]
- Nasir, I.M.; Bibi, A.; Shah, J.H.; Khan, M.A.; Sharif, M.; Iqbal, K.; Nam, Y.; Kadry, S. Deep learning-based classification of fruit diseases: An application for precision agriculture. CMC-Comput. Mater. Contin. 2021, 66, 1949–1962. [Google Scholar] [CrossRef]
- Naranjo-Torres, J.; Mora, M.; Hernández-García, R.; Barrientos, R.J.; Fredes, C.; Valenzuela, A. A review of convolutional neural network applied to fruit image processing. Appl. Sci. 2020, 10, 3443. [Google Scholar] [CrossRef]
- Macanhã, P.A.; Eler, D.M.; Garcia, R.E.; Junior, W.E.M. Handwritten feature descriptor methods applied to fruit classification. In Information Technology-New Generations; Springer: Berlin/Heidelberg, Germany, 2018; pp. 699–705. [Google Scholar]
- Siddiqi, R. Fruit-classification model resilience under adversarial attack. SN Appl. Sci. 2022, 4, 1–22. [Google Scholar] [CrossRef]
- Ukwuoma, C.C.; Zhiguang, Q.; Bin Heyat, M.B.; Ali, L.; Almaspoor, Z.; Monday, H.N. Recent Advancements in Fruit Detection and Classification Using Deep Learning Techniques. Math. Probl. Eng. 2022, 2022, 9210947. [Google Scholar] [CrossRef]
- Hossain, M.S.; Al-Hammadi, M.; Muhammad, G. Automatic fruit classification using deep learning for industrial applications. IEEE Trans. Ind. Inform. 2018, 15, 1027–1034. [Google Scholar] [CrossRef]
- Rojas-Aranda, J.L.; Nunez-Varela, J.I.; Cuevas-Tello, J.C.; Rangel-Ramirez, G. Fruit classification for retail stores using deep learning. In Mexican Conference on Pattern Recognition; Springer: Berlin/Heidelberg, Germany, 2020; pp. 3–13. [Google Scholar]
- Gill, H.S.; Khehra, B.S. Hybrid classifier model for fruit classification. Multimed. Tools Appl. 2021, 80, 27495–27530. [Google Scholar] [CrossRef]
- Xue, G.; Liu, S.; Ma, Y. A hybrid deep learning-based fruit classification using attention model and convolution autoencoder. Complex Intell. Syst. 2020, 1–11. [Google Scholar] [CrossRef]
- Kumari, R.S.S.; Gomathy, V. Fruit classification using statistical features in svm classifier. In Proceedings of the 2018 4th International Conference on Electrical Energy Systems (ICEES), Chennai, India, 7–9 February 2018; IEEE: Piscataway, NJ, USA, 2018; pp. 526–529. [Google Scholar]
- Zhang, Y.D.; Dong, Z.; Chen, X.; Jia, W.; Du, S.; Muhammad, K.; Wang, S.H. Image based fruit category classification by 13-layer deep convolutional neural network and data augmentation. Multimed. Tools Appl. 2019, 78, 3613–3632. [Google Scholar] [CrossRef]
- Xiang, Q.; Wang, X.; Li, R.; Zhang, G.; Lai, J.; Hu, Q. Fruit image classification based on Mobilenetv2 with transfer learning technique. In Proceedings of the 3rd International Conference on Computer Science and Application Engineering, Sanya, China, 22–24 October 2019; pp. 1–7. [Google Scholar]
- Mohakud, R.; Dash, R. Survey on hyperparameter optimization using nature-inspired algorithm of deep convolution neural network. In Intelligent and Cloud Computing; Springer: Berlin/Heidelberg, Germany, 2021; pp. 737–744. [Google Scholar]
- Shen, M.; Yang, J.; Li, S.; Zhang, A.; Bai, Q. Nonlinear Hyperparameter Optimization of a Neural Network in Image Processing for Micromachines. Micromachines 2021, 12, 1504. [Google Scholar] [CrossRef]
- Guo, Y.; Li, J.Y.; Zhan, Z.H. Efficient hyperparameter optimization for convolution neural networks in deep learning: A distributed particle swarm optimization approach. Cybern. Syst. 2020, 52, 36–57. [Google Scholar] [CrossRef]
- Ezzat, D.; Ella, H.A. GSA-DenseNet121-COVID-19: A hybrid deep learning architecture for the diagnosis of COVID-19 disease based on gravitational search optimization algorithm. arXiv 2020, arXiv:2004.05084. [Google Scholar]
- Lodhi, B.; Kang, J. Multipath-DenseNet: A Supervised ensemble architecture of densely connected convolutional networks. Inf. Sci. 2019, 482, 63–72. [Google Scholar] [CrossRef]
- Soydaner, D. A comparison of optimization algorithms for deep learning. Int. J. Pattern Recognit. Artif. Intell. 2020, 34, 2052013. [Google Scholar] [CrossRef]
- Rehman, A.U.; Malik, A.K.; Raza, B.; Ali, W. A hybrid CNN-LSTM model for improving accuracy of movie reviews sentiment analysis. Multimed. Tools Appl. 2019, 78, 26597–26613. [Google Scholar] [CrossRef]
- Abualigah, L.; Yousri, D.; Abd Elaziz, M.; Ewees, A.A.; Al-Qaness, M.A.; Gandomi, A.H. Aquila optimizer: A novel meta-heuristic optimization algorithm. Comput. Ind. Eng. 2021, 157, 107250. [Google Scholar] [CrossRef]
- Rocha, A.; Hauagge, D.C.; Wainer, J.; Goldenstein, S. Automatic fruit and vegetable classification from images. Comput. Electron. Agriculture 2010, 70, 96–104. [Google Scholar] [CrossRef] [Green Version]
- Meshram, V.; Thanomliang, K.; Ruangkan, S.; Chumchu, P.; Patil, K. FruitsGB: Top Indian fruits with quality. IEEE Dataport 2020. [Google Scholar] [CrossRef]
- Shahi, T.B.; Sitaula, C.; Neupane, A.; Guo, W. Fruit classification using attention-based MobileNetV2 for industrial applications. PLoS ONE 2022, 17, e0264586. [Google Scholar] [CrossRef]












| Labels | Name | No. of Instances |
|---|---|---|
| C1 | Agata potato | 75 |
| C2 | Asterix potato | 75 |
| C3 | Cashew | 75 |
| C4 | Diamond peach | 75 |
| C5 | Fuji apple | 75 |
| C6 | Granny smith apple | 75 |
| C7 | Honeydew melon | 75 |
| C8 | Kiwi | 75 |
| C9 | Nectarine | 75 |
| C10 | Onion | 75 |
| C11 | Orange | 75 |
| C12 | Plum | 75 |
| C13 | Spanish pear | 75 |
| C14 | Tahiti lime | 75 |
| C15 | Watermelon | 75 |
| Total No. of Instances | 1125 | |
| Labels | Accuracy | Precision | Recall | F-Score | MCC | Kappa Score |
|---|---|---|---|---|---|---|
| Entire Dataset | ||||||
| C1 | 99.64 | 100.00 | 94.67 | 97.26 | 97.11 | - |
| C2 | 99.73 | 100.00 | 96.00 | 97.96 | 97.84 | - |
| C3 | 99.91 | 100.00 | 98.67 | 99.33 | 99.28 | - |
| C4 | 99.82 | 97.40 | 100.00 | 98.68 | 98.60 | - |
| C5 | 99.82 | 98.67 | 98.67 | 98.67 | 98.57 | - |
| C6 | 99.47 | 92.59 | 100.00 | 96.15 | 95.95 | - |
| C7 | 100.00 | 100.00 | 100.00 | 100.00 | 100.00 | - |
| C8 | 99.73 | 100.00 | 96.00 | 97.96 | 97.84 | - |
| C9 | 99.91 | 98.68 | 100.00 | 99.34 | 99.29 | - |
| C10 | 99.91 | 100.00 | 98.67 | 99.33 | 99.28 | - |
| C11 | 100.00 | 100.00 | 100.00 | 100.00 | 100.00 | - |
| C12 | 99.73 | 96.15 | 100.00 | 98.04 | 97.92 | - |
| C13 | 100.00 | 100.00 | 100.00 | 100.00 | 100.00 | - |
| C14 | 100.00 | 100.00 | 100.00 | 100.00 | 100.00 | - |
| C15 | 100.00 | 100.00 | 100.00 | 100.00 | 100.00 | - |
| Average | 99.85 | 98.90 | 98.84 | 98.85 | 98.78 | 98.76 |
| Training Phase (70%) | ||||||
| C1 | 99.62 | 100.00 | 94.74 | 97.30 | 97.13 | - |
| C2 | 99.87 | 100.00 | 98.11 | 99.05 | 98.98 | - |
| C3 | 99.87 | 100.00 | 98.15 | 99.07 | 99.00 | - |
| C4 | 99.75 | 96.36 | 100.00 | 98.15 | 98.03 | - |
| C5 | 99.75 | 98.15 | 98.15 | 98.15 | 98.01 | - |
| C6 | 99.49 | 93.44 | 100.00 | 96.61 | 96.40 | - |
| C7 | 100.00 | 100.00 | 100.00 | 100.00 | 100.00 | - |
| C8 | 99.75 | 100.00 | 95.92 | 97.92 | 97.81 | - |
| C9 | 100.00 | 100.00 | 100.00 | 100.00 | 100.00 | - |
| C10 | 99.87 | 100.00 | 98.18 | 99.08 | 99.02 | - |
| C11 | 100.00 | 100.00 | 100.00 | 100.00 | 100.00 | - |
| C12 | 99.75 | 96.30 | 100.00 | 98.11 | 98.00 | - |
| C13 | 100.00 | 100.00 | 100.00 | 100.00 | 100.00 | - |
| C14 | 100.00 | 100.00 | 100.00 | 100.00 | 100.00 | - |
| C15 | 100.00 | 100.00 | 100.00 | 100.00 | 100.00 | - |
| Average | 99.85 | 98.95 | 98.88 | 98.90 | 98.83 | 98.77 |
| Testing Phase (30%) | ||||||
| C1 | 99.70 | 100.00 | 94.44 | 97.14 | 97.03 | - |
| C2 | 99.41 | 100.00 | 90.91 | 95.24 | 95.05 | - |
| C3 | 100.00 | 100.00 | 100.00 | 100.00 | 100.00 | - |
| C4 | 100.00 | 100.00 | 100.00 | 100.00 | 100.00 | - |
| C5 | 100.00 | 100.00 | 100.00 | 100.00 | 100.00 | - |
| C6 | 99.41 | 90.00 | 100.00 | 94.74 | 94.57 | - |
| C7 | 100.00 | 100.00 | 100.00 | 100.00 | 100.00 | - |
| C8 | 99.70 | 100.00 | 96.15 | 98.04 | 97.90 | - |
| C9 | 99.70 | 95.00 | 100.00 | 97.44 | 97.32 | - |
| C10 | 100.00 | 100.00 | 100.00 | 100.00 | 100.00 | - |
| C11 | 100.00 | 100.00 | 100.00 | 100.00 | 100.00 | - |
| C12 | 99.70 | 95.83 | 100.00 | 97.87 | 97.74 | - |
| C13 | 100.00 | 100.00 | 100.00 | 100.00 | 100.00 | - |
| C14 | 100.00 | 100.00 | 100.00 | 100.00 | 100.00 | - |
| C15 | 100.00 | 100.00 | 100.00 | 100.00 | 100.00 | - |
| Average | 99.84 | 98.72 | 98.77 | 98.70 | 98.64 | 98.73 |
| Methods | Accuracy | Precision | Recall | F1-Score | Kappa-Score |
|---|---|---|---|---|---|
| DenseNet121 | 95.10 | 93.74 | 95.03 | 94.22 | 94.47 |
| NASNetMobile | 85.98 | 88.58 | 87.24 | 85.96 | 85.95 |
| VGG-16 | 95.44 | 94.69 | 94.40 | 94.42 | 94.91 |
| MobileNetV1 | 86.83 | 88.11 | 86.45 | 85.87 | 86.40 |
| InceptionV3 | 90.35 | 90.71 | 89.45 | 89.32 | 88.55 |
| MobileNetV2 | 96.07 | 95.44 | 95.75 | 95.79 | 95.22 |
| AFC-HPODTL | 99.84 | 98.72 | 98.77 | 98.70 | 98.73 |
| Labels | Name | No. of Instances |
|---|---|---|
| C1 | Bad apple | 1000 |
| C2 | Good apple | 1000 |
| C3 | Bad banana | 1000 |
| C4 | Good banana | 1000 |
| C5 | Bad guava | 1000 |
| C6 | Good guava | 1000 |
| C7 | Bad lime | 1000 |
| C8 | Good lime | 1000 |
| C9 | Bad orange | 1000 |
| C10 | Good orange | 1000 |
| C11 | Bad pomegranate | 1000 |
| C12 | Good pomegranate | 1000 |
| Total No. of Instances | 12,000 | |
| Labels | Accuracy | Precision | Recall | F-Score | MCC | Kappa Score |
|---|---|---|---|---|---|---|
| Entire Dataset | ||||||
| C1 | 99.65 | 98.48 | 97.30 | 97.89 | 97.70 | - |
| C2 | 99.68 | 98.58 | 97.50 | 98.04 | 97.86 | - |
| C3 | 99.67 | 98.19 | 97.80 | 98.00 | 97.81 | - |
| C4 | 99.51 | 95.81 | 98.40 | 97.09 | 96.83 | - |
| C5 | 99.61 | 97.60 | 97.70 | 97.65 | 97.44 | - |
| C6 | 99.42 | 95.68 | 97.50 | 96.58 | 96.27 | - |
| C7 | 99.61 | 97.79 | 97.50 | 97.65 | 97.43 | - |
| C8 | 99.58 | 98.57 | 96.40 | 97.47 | 97.25 | - |
| C9 | 99.72 | 97.63 | 99.00 | 98.31 | 98.16 | - |
| C10 | 99.74 | 98.89 | 98.00 | 98.44 | 98.30 | - |
| C11 | 99.68 | 97.81 | 98.30 | 98.05 | 97.88 | - |
| C12 | 99.69 | 98.39 | 97.90 | 98.15 | 97.98 | - |
| Average | 99.63 | 97.79 | 97.78 | 97.78 | 97.58 | 97.57 |
| Training Phase (70%) | ||||||
| C1 | 99.62 | 98.40 | 96.98 | 97.68 | 97.48 | - |
| C2 | 99.68 | 98.66 | 97.36 | 98.01 | 97.84 | - |
| C3 | 99.58 | 97.84 | 97.13 | 97.48 | 97.26 | - |
| C4 | 99.57 | 96.76 | 98.35 | 97.55 | 97.32 | - |
| C5 | 99.68 | 97.68 | 98.40 | 98.04 | 97.86 | - |
| C6 | 99.35 | 95.26 | 97.02 | 96.13 | 95.78 | - |
| C7 | 99.55 | 97.73 | 96.90 | 97.31 | 97.07 | - |
| C8 | 99.62 | 98.66 | 96.65 | 97.64 | 97.44 | - |
| C9 | 99.69 | 97.09 | 99.29 | 98.18 | 98.01 | - |
| C10 | 99.73 | 98.86 | 97.89 | 98.37 | 98.22 | - |
| C11 | 99.64 | 97.42 | 98.27 | 97.84 | 97.65 | - |
| C12 | 99.65 | 98.00 | 97.86 | 97.93 | 97.74 | - |
| Average | 99.61 | 97.70 | 97.68 | 97.68 | 97.47 | 97.47 |
| Testing Phase (30%) | ||||||
| C1 | 99.72 | 98.68 | 98.03 | 98.35 | 98.20 | - |
| C2 | 99.67 | 98.41 | 97.79 | 98.10 | 97.92 | - |
| C3 | 99.86 | 99.01 | 99.34 | 99.17 | 99.10 | - |
| C4 | 99.36 | 93.36 | 98.52 | 95.87 | 95.57 | - |
| C5 | 99.44 | 97.42 | 96.18 | 96.79 | 96.49 | - |
| C6 | 99.61 | 96.69 | 98.65 | 97.66 | 97.45 | - |
| C7 | 99.75 | 97.95 | 98.97 | 98.46 | 98.32 | - |
| C8 | 99.50 | 98.37 | 95.86 | 97.10 | 96.83 | - |
| C9 | 99.78 | 98.98 | 98.31 | 98.64 | 98.52 | - |
| C10 | 99.78 | 98.96 | 98.28 | 98.62 | 98.50 | - |
| C11 | 99.75 | 98.69 | 98.37 | 98.53 | 98.40 | - |
| C12 | 99.78 | 99.32 | 98.00 | 98.66 | 98.54 | - |
| Average | 99.67 | 97.99 | 98.02 | 98.00 | 97.82 | 97.82 |
| Methods | Accuracy | Precision | Recall | F1-Score | Kappa-Score |
|---|---|---|---|---|---|
| DenseNet121 | 95.56 | 95.89 | 96.41 | 95.64 | 96.04 |
| NASNetMobile | 93.89 | 93.40 | 94.07 | 93.03 | 93.04 |
| VGG-16 | 95.74 | 97.02 | 95.74 | 96.79 | 96.51 |
| MobileNetV1 | 86.29 | 87.80 | 87.13 | 87.06 | 85.46 |
| InceptionV3 | 94.91 | 95.17 | 96.19 | 95.44 | 95.90 |
| MobileNetV2 | 96.20 | 96.46 | 96.89 | 96.98 | 96.03 |
| AFC-HPODTL | 99.67 | 97.99 | 98.02 | 98.00 | 97.82 |
Publisher’s Note: MDPI stays neutral with regard to jurisdictional claims in published maps and institutional affiliations. |
© 2022 by the authors. Licensee MDPI, Basel, Switzerland. This article is an open access article distributed under the terms and conditions of the Creative Commons Attribution (CC BY) license (https://creativecommons.org/licenses/by/4.0/).
Share and Cite
Shankar, K.; Kumar, S.; Dutta, A.K.; Alkhayyat, A.; Jawad, A.J.M.; Abbas, A.H.; Yousif, Y.K. An Automated Hyperparameter Tuning Recurrent Neural Network Model for Fruit Classification. Mathematics 2022, 10, 2358. https://doi.org/10.3390/math10132358
Shankar K, Kumar S, Dutta AK, Alkhayyat A, Jawad AJM, Abbas AH, Yousif YK. An Automated Hyperparameter Tuning Recurrent Neural Network Model for Fruit Classification. Mathematics. 2022; 10(13):2358. https://doi.org/10.3390/math10132358
Chicago/Turabian StyleShankar, Kathiresan, Sachin Kumar, Ashit Kumar Dutta, Ahmed Alkhayyat, Anwar Ja’afar Mohamad Jawad, Ali Hashim Abbas, and Yousif K. Yousif. 2022. "An Automated Hyperparameter Tuning Recurrent Neural Network Model for Fruit Classification" Mathematics 10, no. 13: 2358. https://doi.org/10.3390/math10132358
APA StyleShankar, K., Kumar, S., Dutta, A. K., Alkhayyat, A., Jawad, A. J. M., Abbas, A. H., & Yousif, Y. K. (2022). An Automated Hyperparameter Tuning Recurrent Neural Network Model for Fruit Classification. Mathematics, 10(13), 2358. https://doi.org/10.3390/math10132358

