Predicting Change in Emotion through Ordinal Patterns and Simple Symbolic Expressions
Abstract
:1. Introduction: Emotion and Emotion Dynamics
1.1. Language Use, Emotions, and Feedback Loops
1.2. Emotion Dynamics and the Prediction of Change
2. Ordinal Patterns
2.1. Representing a Time Series through Ordinal Patterns

2.2. Ordinal Patterns and Short-Term Prediction
3. General Outline of the Paper
- Present the probative evidence in support of the predictive value of πN;
- Present the predictive value of πN and its components by fitting a binary logistic regression model and using three decision-based machine learning (ML) models;
- Extract a simple predictive mathematical model from the data using a symbolic classification analysis and testing the predictive value of the model on two other datasets.
4. Methodology
4.1. Pre-Processing and the Generation of Ordinal Patterns
- A1:
- 正鵬, 昨天晚上你姨媽已經去世了。明天下午我們一起去致哀啊!
- Translation: Zhengpeng, your aunt passed away last night. Let’s go pay our last respects and offer our condolences together tomorrow afternoon!
- B:
- 哎喲!姨媽太可憐了。但是,得了絕症這是誰也沒辦法的事,媽,你心裏也別難過。明天你們先去,我放學後再來。
- Translation: Oh dear, my poor aunt! However, there’s nothing one can do about being terminally ill. Mom, don’t be too sad. You guys go ahead [to visit her] tomorrow, and I’ll come later myself when I’m done with school.
- A2:
- 正鵬,這件事你一定要跟你麗華商量,可你一定要去啊。姨媽死只有這一次。你就是再忙也要擠時間去呀!
- Translation: Zhengpeng, you have to discuss this with Lihua. However, you have to go [to the funeral/memorial]. [Your] aunt dies only this once. No matter how busy you are, you have to make time for it!
4.2. Validation Phase
4.2.1. Validation Test 1: The Languages in Universal Joy Dataset
4.2.2. Validation Test 2: The MPDD
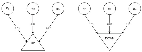
5. Measuring the Probative Value of πN
6. Using the Binary Logistic and ML Models
7. The Symbolic Classification Analysis
8. Testing the Simple Model
8.1. Analysis 1: The NaturalConv Dataset
8.2. Analysis 2: The EmotionLines Dataset
8.3. Analysis 3: Concluding Analysis
9. Conclusions
Author Contributions
Funding
Data Availability Statement
Acknowledgments
Conflicts of Interest
Appendix A
| Symbol | Meaning |
|---|---|
| S(t) | A one-dimensional time series |
| D | The embedding dimension/permutation length |
| τ | The time delay |
| πi | Permutation i |
| A1 | The valence of the first turn produced by speaker A |
| B1 | The valence of the first turn produced by speaker B |
| B2 | The valence of the second turn produced by speaker B |
| A1-B2-A2 | A triadic sequence of valence measurements for A1, B1, and A2 |
| πN/D3 | The permutation representing the sequence B1-A1-B2 |
| D4 | The permutation representing sequence -A1-B1-A1-B2 |
References
- Becker, A.L. Beyond Translation: Essays Toward a Modern Philology; University of Michigan Press: Ann Arbor, MI, USA, 2000; ISBN 9780472087525. [Google Scholar]
- Schegloff, E.A. Conversational interaction: The embodiment of human sociality. In The Handbook of Discourse Analysis; Tannen, D., Hamilton, H.E., Schiffrin, D., Eds.; John Wiley & Sons: Hoboken, NJ, USA, 2015; pp. 346–366. ISBN 9780470670743. [Google Scholar]
- Schegloff, E.A. Interaction: The infrastructure for social institutions, the natural ecological niche for language, and the arena in which culture is enacted. In Roots of Human Sociality; Enfield, N.J., Levinson, S.C., Eds.; Routledge: London, UK, 2020; pp. 70–96. ISBN 9781003135517. [Google Scholar]
- Clark, H.H. Using Language; Cambridge University Press: Cambridge, UK, 1996; ISBN 9780521620539. [Google Scholar]
- Du Bois, J.W.; Giora, R. From cognitive-functional linguistics to dialogic syntax. Cogn. Linguist. 2014, 25, 351–357. [Google Scholar] [CrossRef]
- Tantucci, V.; Wang, A. Resonance as an applied predictor of cross-cultural interaction: Constructional priming in Mandarin and American English interaction. Appl. Linguist. 2022, 43, 115–146. [Google Scholar] [CrossRef]
- Hadley, L.V.; Ward, J.A. Synchrony as a measure of conversation difficulty: Movement coherence increases with background noise level and complexity in dyads and triads. PLoS ONE 2021, 16, e0258247. [Google Scholar] [CrossRef] [PubMed]
- Hwang, H.; Matsumoto, D. Functions of emotions. In Noba Textbook Series: Psychology; Biswas-Diener, R., Diener, E., Eds.; DEF: Champaign, IL, USA, 2018; Available online: https://noba.to/w64szjxu (accessed on 1 May 2022).
- Grazzani, I.; Ornaghi, V.; Conte, E.; Pepe, A.; Caprin, C. The relation between emotion understanding and theory of mind in children aged 3 to 8: The key role of language. Front. Psychol. 2018, 9, 724. [Google Scholar] [CrossRef] [Green Version]
- Hinojosa, J.A.; Moreno, E.M.; Ferré, P. Affective neurolinguistics: Towards a framework for reconciling language and emotion. Lang. Cogn. Neurosci. 2020, 35, 813–839. [Google Scholar] [CrossRef]
- Matsumoto, D. Culture and emotion. In The Handbook of Culture and Psychology; Matsumoto, D., Ed.; Oxford University Press: Oxford, UK, 2001; pp. 171–195. ISBN 9780195131819. [Google Scholar]
- Parkinson, B. Heart to heart: A relation-alignment approach to emotion’s social effects. Emot. Rev. 2021, 13, 78–89. [Google Scholar] [CrossRef]
- Brown, C. Graph Algebra: Mathematical Modeling with a Systems Approach; Sage: Thousand Oaks, CA, USA, 2008; ISBN 9781412941099. [Google Scholar]
- Hipson, W.E.; Mohammad, S.M. Emotion dynamics in movie dialogues. PLoS ONE 2021, 16, e0256153. [Google Scholar] [CrossRef]
- Baumeister, R.F.; Vohs, K.D.; Nathan DeWall, C.; Zhang, L. How emotion shapes behavior: Feedback, anticipation, and reflection, rather than direct causation. Pers. Soc. Psychol. Rev. 2007, 11, 167–203. [Google Scholar] [CrossRef]
- Burr, D.A.; Castrellon, J.J.; Zald, D.H.; Samanez-Larkin, G.R. Emotion dynamics across adulthood in everyday life: Older adults are more emotionally stable and better at regulating desires. Emotion 2021, 21, 453. [Google Scholar] [CrossRef]
- Lewis, M.D. Cognition-emotion feedback and the self-organization of developmental paths. Hum. Dev. 1995, 38, 71–102. [Google Scholar] [CrossRef]
- Pollak, S.D.; Camras, L.A.; Cole, P.M. Progress in understanding the emergence of human emotion. Dev. Psychol. 2019, 55, 1801. [Google Scholar] [CrossRef] [PubMed]
- Reitsema, A.M.; Jeronimus, B.F.; van Dijk, M.; de Jonge, P. Emotion dynamics in children and adolescents: A meta-analytic and descriptive review. Emotion 2022, 22, 374–396. [Google Scholar] [CrossRef] [PubMed]
- Bond, M.H. Emotions and their expression in Chinese culture. J. Nonverbal Behav. 1993, 17, 245–262. [Google Scholar] [CrossRef]
- King, P.C.; Wei, Z. The role of face in a Chinese context of trust and trust building. Int. J. Cross Cult. Manag. 2018, 18, 149–173. [Google Scholar] [CrossRef]
- Kauschke, C.; Bahn, D.; Vesker, M.; Schwarzer, G. The role of emotional valence for the processing of facial and verbal stimuli: Positivity or negativity bias? Front. Psychol. 2019, 10, 1654. [Google Scholar] [CrossRef] [PubMed] [Green Version]
- Charland, L.C. The heat of emotion: Valence and the demarcation problem. J. Conscious. Stud. 2005, 12, 82–102. [Google Scholar]
- Shuman, V.; Sander, D.; Scherer, K.R. Levels of valence. Front. Psychol. 2013, 4, 261. [Google Scholar] [CrossRef] [Green Version]
- Sels, L.; Schat, E.; Verhofstadt, L.; Ceulemans, E. Introducing change point detection analysis in relationship research: An investigation of couples’ emotion dynamics. J. Soc. Pers. Relat. 2021. [Google Scholar] [CrossRef]
- Bandt, C.; Pompe, B. Permutation entropy: A natural complexity measure for time series. Phys. Rev. Lett. 2002, 88, 174102. [Google Scholar] [CrossRef]
- Bandt, C. Order patterns, their variation and change points in financial time series and Brownian motion. Stat. Pap. 2020, 61, 1565–1588. [Google Scholar] [CrossRef] [Green Version]
- Borges, J.B.; Ramos, H.S.; Mini, R.A.; Rosso, O.A.; Frery, A.C.; Loureiro, A.A. Learning and distinguishing time series dynamics via ordinal patterns transition graphs. Appl. Math. Comput. 2019, 362, 124554. [Google Scholar] [CrossRef]
- Callejas, I.L.; Martinez, J.; Masoller, C.; Rosso, O.A.; Zanin, M. 20 years of ordinal patterns: Perspectives and challenges. Europhys. Lett. 2022, 138, 31001. [Google Scholar]
- Neuman, Y.; Cohen, Y.; Tamir, B. Short-term prediction through ordinal patterns. R. Soc. Open Sci. 2021, 8, 201011. [Google Scholar] [CrossRef] [PubMed]
- Olivares, F.; Zanin, M.; Zunino, L.; Pérez, D.G. Contrasting chaotic with stochastic dynamics via ordinal transition networks. Chaos 2020, 30, 063101. [Google Scholar] [CrossRef]
- Zunino, L.; Kulp, C.W. Detecting nonlinearity in short and noisy time series using the permutation entropy. Phys. Lett. A 2017, 381, 3627–3635. [Google Scholar] [CrossRef]
- Chen, Y.T.; Huang, H.H.; Chen, H.H. MPDD: A Multi-Party Dialogue Dataset for Analysis of Emotions and Interpersonal Relationships. In Proceedings of the 12th Language Resources and Evaluation Conference, Marseille, France, 11–16 May 2020; Calzolari, N., Béchet, F., Blache, P., Choukri, K., Cieri, C., Declerck, T., Goggi, S., Isahara, H., Maegaard, B., Mariani, J., et al., Eds.; European Language Resources Association: Paris, France, 2020; pp. 610–614, ISBN 9791095546344. [Google Scholar]
- Henin, S.; Turk-Browne, N.; Friedman, D.; Liu, A.; Dugan, P.; Flinker, A.; Doyle, W.; Devinsky, O.; Melloni, L. Statistical learning shapes neural sequence representations. BioRxiv 2019, 583856. [Google Scholar]
- Maheu, M.; Dehaene, S.; Meyniel, F. Brain signatures of a multiscale process of sequence learning in humans. eLife 2019, 8, e41541. [Google Scholar] [CrossRef]
- Neuman, Y.; Cohen, D. A permutation-based heuristic for buy-low-sell-high. under review.
- Calvo, M.G.; Avero, P.; Fernández-Martín, A.; Recio, G. Recognition thresholds for static and dynamic emotional faces. Emotion 2016, 16, 1186. [Google Scholar] [CrossRef]
- Peng, H.; Cambria, E.; Hussain, A. A review of sentiment analysis research in Chinese language. Cognit. Comput. 2017, 9, 423–435. [Google Scholar] [CrossRef]
- Lamprinidis, S.; Bianchi, F.; Hardt, D.; Hovy, D. Universal Joy: A Data Set and Results for Classifying Emotions Across Languages. In Proceedings of the 16th Conference of the European Chapter of the Association for Computational Linguistics, Kyiv, Ukraine, 19–23 April 2021; Merlo, P., Tiedemann, J., Tsarfaty, R., Eds.; Association for Computational Linguistics: Stroudsburg, PA, USA, 2021. Available online: https://aclanthology.org/volumes/2021.eacl-main (accessed on 1 May 2022).
- Fenton, N.; Neil, M. Calculating the likelihood ratio for multiple pieces of evidence. arXiv 2021, arXiv:2106.05328. [Google Scholar]
- Guimerà, R.; Reichardt, I.; Aguilar-Mogas, A.; Massucci, F.A.; Miranda, M.; Pallarès, J.; Sales-Pardo, M. A Bayesian machine scientist to aid in the solution of challenging scientific problems. Sci. Adv. 2020, 6, eaav6971. [Google Scholar] [CrossRef] [PubMed] [Green Version]
- Schmidt, M.; Lipson, H. Distilling free-form natural laws from experimental data. Science 2009, 324, 81–85. [Google Scholar] [CrossRef] [PubMed]
- Udrescu, S.M.; Tegmark, M. AI Feynman: A physics-inspired method for symbolic regression. Sci. Adv. 2020, 6, eaay2631. [Google Scholar] [CrossRef] [PubMed] [Green Version]
- Wagner, S.; Kronberger, G.; Beham, A.; Kommenda, M.; Scheibenpflug, A.; Pitzer, E.; Vonolfen, S.; Kofler, M.; Winkler, S.; Dorfer, V.; et al. Architecture and design of the HeuristicLab optimization environment. In Advanced Methods and Applications in Computational Intelligence; Klempous, R., Nikodem, J., Jacak, W., Chaczko, Z., Eds.; Springer: Heidelberg, Germany, 2014; pp. 197–261. ISBN 9783319014364. [Google Scholar]
- Wang, X.; Li, C.; Zhao, J.; Yu, D. Naturalconv: A Chinese dialogue dataset towards multi-turn topic-driven conversation. arXiv 2021, arXiv:2103.02548. [Google Scholar]
- Chen, S.Y.; Hsu, C.C.; Kuo, C.C.; Ku, L.W. Emotionlines: An emotion corpus of multi-party conversations. arXiv 2018, arXiv:1802.08379. [Google Scholar]
- Maas, A.; Daly, R.E.; Pham, P.T.; Huang, D.; Ng, A.Y.; Potts, C. Learning Word Vectors for Sentiment Analysis. In Proceedings of the 49th Annual Meeting of the Association for Computational Linguistics, Portland, OR, USA, 19–24 June 2011; Lin, D., Ed.; Human Language Technologies: Portland, OR, USA, 2011; pp. 142–150, ISBN 9781932432879. [Google Scholar]
- Katsikopoulos, K.V.; Durbach, I.N.; Stewart, T.J. When should we use simple decision models? A synthesis of various research strands. Omega 2018, 81, 17–25. [Google Scholar] [CrossRef]
- Makridakis, S.; Taleb, N. Living in a world of low levels of predictability. Int. J. Forecast. 2009, 25, 840–844. [Google Scholar] [CrossRef]
- Assaf, D.; Gutman, Y.A.; Neuman, Y.; Segal, G.; Amit, S.; Gefen-Halevi, S.; Shilo, N.; Epstein, A.; Mor-Cohen, R.; Biber, A.; et al. Utilization of machine-learning models to accurately predict the risk for critical COVID-19. Intern. Emerg. Med. 2020, 15, 1435–1443. [Google Scholar] [CrossRef]
- Zhang, J.; Zhong, S.; Wang, T.; Chao, H.C.; Wang, J. Blockchain-based systems and applications: A survey. J. Internet Technol. 2020, 21, 1–14. [Google Scholar]
- Wang, J.; Zou, Y.; Lei, P.; Sherratt, R.S.; Wang, L. Research on recurrent neural network based crack opening prediction of concrete dam. J. Internet Technol. 2020, 21, 1161–1169. [Google Scholar]
- Pu, B.; Li, K.; Li, S.; Zhu, N. Automatic fetal ultrasound standard plane recognition based on deep learning and IIoT. IEEE Trans. Ind. Inform. 2021, 17, 7771–7780. [Google Scholar] [CrossRef]
- Wang, J.; Yang, Y.; Wang, T.; Sherratt, R.S.; Zhang, J. Big data service architecture: A survey. J. Internet Technol. 2020, 21, 393–405. [Google Scholar]
- Li, H.; Ota, K.; Dong, M.; Guo, M. Mobile crowdsensing in software defined opportunistic networks. IEEE Commun. Mag. 2017, 55, 140–145. [Google Scholar] [CrossRef] [Green Version]
- Tang, F.; Guo, M.; Dong, M.; Li, M.; Guan, H. Towards Context-Aware Workflow Management for Ubiquitous Computing. In Proceedings of the 2008 International Conference on Embedded Software and Systems, Chengdu, China, 29–31 July 2008; Bhattacharyya, S.S., Zhou, X., Guo, B., Eds.; IEEE Computer Society: Los Alamitos, CA, USA, 2008; pp. 221–228. [Google Scholar] [CrossRef] [Green Version]
- Mei, P.; Ding, G.; Jin, Q.; Zhang, F. Research on emotion simulation method of large-scale crowd evacuation under particle model. Hum. Cent. Comput. Inf. Sci. 2021, 11, 1. [Google Scholar]
- Yu, J.; Zheng, W.S. Learning Prediction of Emotional Change on Behaviors. In Proceedings of the 2019 IEEE International Conference on Image Processing (ICIP), Taipei, Taiwan, 22–25 September 2019; Kuo, C.-C.J., Chen, H.H., Hang, H.-M., Eds.; IEEE: Piscataway, NJ, USA, 2019; pp. 999–1003, ISBN 9781538662496. [Google Scholar]
- Huang, Z.; Epps, J. Prediction of emotion change from speech. Front. ICT 2018, 5, 11. [Google Scholar] [CrossRef] [Green Version]






| Permutation | Legitimate Transition to | ||
|---|---|---|---|
| {0,1,2} | {0,1,2} | {0,2,1} | {1,2,0} |
| {0,2,1} | {1,0,2} | {2,0,1} | {2,1,0} |
| {1,0,2} | {0,1,2} | {0,2,1} | {1,2,0} |
| {1,2,0} | {1,0,2} | {2,0,1} | {2,1,0} |
| {2,0,1} | {0,1,2} | {0,2,1} | {1,2,0} |
| {2,1,0} | {1,0,2} | {2,0,1} | {2,1,0} |
| 95% CI | |||||||
|---|---|---|---|---|---|---|---|
| Group | N | Mean | SD | SE | Lower | Upper | |
| Sentiment | NEG | 690 | 0.47 | 0.41 | 0.02 | 0.44 | 0.50 |
| POS | 1600 | 0.60 | 0.40 | 0.01 | 0.58 | 0.62 | |
| 95% CI | |||||
|---|---|---|---|---|---|
| Tag | Mean | SD | N | Lower | Upper |
| NEG | 0.33 | 0.31 | 6977 | 0.32 | 0.34 |
| NEU | 0.40 | 0.31 | 13,629 | 0.39 | 0.40 |
| POS | 0.46 | 0.33 | 4942 | 0.45 | 0.47 |
| Dataset | Expression | Test Dataset and Accuracy | ||
|---|---|---|---|---|
| NaturalConv | EmotionLines | MPDD | ||
| MPDD | 88% | 97% | - | |
| NaturalConv | - | 97% | 73% | |
| EmotionLines | 88% | - | 86% | |
Publisher’s Note: MDPI stays neutral with regard to jurisdictional claims in published maps and institutional affiliations. |
© 2022 by the authors. Licensee MDPI, Basel, Switzerland. This article is an open access article distributed under the terms and conditions of the Creative Commons Attribution (CC BY) license (https://creativecommons.org/licenses/by/4.0/).
Share and Cite
Neuman, Y.; Cohen, Y. Predicting Change in Emotion through Ordinal Patterns and Simple Symbolic Expressions. Mathematics 2022, 10, 2253. https://doi.org/10.3390/math10132253
Neuman Y, Cohen Y. Predicting Change in Emotion through Ordinal Patterns and Simple Symbolic Expressions. Mathematics. 2022; 10(13):2253. https://doi.org/10.3390/math10132253
Chicago/Turabian StyleNeuman, Yair, and Yochai Cohen. 2022. "Predicting Change in Emotion through Ordinal Patterns and Simple Symbolic Expressions" Mathematics 10, no. 13: 2253. https://doi.org/10.3390/math10132253
APA StyleNeuman, Y., & Cohen, Y. (2022). Predicting Change in Emotion through Ordinal Patterns and Simple Symbolic Expressions. Mathematics, 10(13), 2253. https://doi.org/10.3390/math10132253

