Next Article in Journal
Complete Balancing of the Six-Bar Mechanism Using Fully Cartesian Coordinates and Multiobjective Differential Evolution Optimization
Next Article in Special Issue
The Uniform Convergence Property of Sequence of Fractal Interpolation Functions in Complicated Networks
Previous Article in Journal
Quantile-Zone Based Approach to Normality Testing
 
 
Font Type:
Arial Georgia Verdana
Font Size:
Aa Aa Aa
Line Spacing:
Column Width:
Background:
Article

Dynamic Linkages among Carbon, Energy and Financial Markets: Multiplex Recurrence Network Approach

1
School of Mathematical Science, Jiangsu University, Zhenjiang 212000, China
2
School of Mathematical Science, Nanjing Normal University, Nanjing 210042, China
3
Department of Mathematics, Nanjing Normal University Taizhou College, Taizhou 225300, China
*
Author to whom correspondence should be addressed.
Mathematics 2022, 10(11), 1829; https://doi.org/10.3390/math10111829
Submission received: 6 May 2022 / Revised: 22 May 2022 / Accepted: 24 May 2022 / Published: 26 May 2022
(This article belongs to the Special Issue Mathematical Models and Applications of Complex Networks)

Abstract

:
It has become a hot issue to integrate the carbon market, energy market, and financial market into one system and explore the relationship among them. Considering that the carbon market, energy market, and financial market all have chaotic characteristics to varying degrees, this paper proposes a theoretical framework to study the linkage relationship among the three markets on the basis of the method of the Multiplex recurrence network. Firstly, we built a multiplex recurrence network of carbon-energy-financial market. Then, based on the connection relationship among nodes of the recurrence network of each market, the degree distribution of nodes of each market, and the information entropy theory, we put forward several metric indicators to explore the correlativity and mutual guidance relation among carbon market, energy market and financial market from micro and macro perspectives. Using the data generated by the deterministic system, the effectiveness of the defined index was confirmed by numerical simulation. The empirical analysis of the carbon market, energy market, and financial market revealed the evolution process of the increasingly close connection between the three markets, and we found that the carbon market plays an increasingly important role in the world capital market system. Based on the research results, we propose some suggestions for market decision-makers, enterprises, and investors.

1. Introduction

Since the Industrial Revolution, carbon dioxide emissions have increased every year, and so far, humans have put more than 1.5 trillion tons of carbon dioxide into the atmosphere. Most greenhouse gases come from heavy industry, vehicle exhaust, and deforestation. Once greenhouse gases exceed atmospheric limits, the greenhouse effect will occur. This will lead to problems such as melting ice caps, extreme weather and rising sea levels, which in turn threaten human existence. As a result, it is imperative for the whole world to effectively reduce greenhouse gas emissions and curb global warming. The entry into force of the Kyoto Protocol has greatly promoted the development of the international carbon market, which has gradually become an important tool to curb global carbon emissions. In order to better manage companies’ carbon dioxide emission reduction, the European Union has established the world’s first carbon emissions trading market on a large scale, the European Union Emissions Trading Scheme (EU ETS). By the end of 2018, 20 carbon markets had been established worldwide, covering eight percent of global greenhouse gas emissions and located in countries and regions that account for 37 percent of the global economy. Emissions trading schemes use the market economy to promote global greenhouse gas reduction and achieve emission peak and carbon neutrality [1]. Carbon emission trading allows carbon emission rights to be exchanged as a commodity. Therefore, people began to focus on the link between the carbon market and the international financial market, energy, and other commodity markets. Current theoretical studies show that the carbon market is connected with other capital markets mainly through two channels. One is return spillovers, which are linked through the price discovery process. The other is “volatility spillover”, in which a shock in one market can adversely affect the willingness of market participants to hold risk in any market. As well, some studies show that energy assets and non-energy assets affect the carbon market in different ways [2].
In recent years, most scholars have tended to focus on the carbon-energy markets links. Mansanet Bataller et al. [3] first revealed the connection between the energy market and carbon price from an economic view. Alberola et al. [4] verified that all the energy drivers emphasized by Bataller et al. did have an impact on EUAs’ price changes during the whole data period. Zachman [5] confirmed the existence of nonlinear interaction between fuel, carbon, and electricity price, in which electricity price can be expressed as a linear combination of changes in fuel and carbon price. Hammoudeh et al. [6] studied the influence of fluctuation between EUA and crude oil price through the nonlinear autoregressive distributed lag (NARDL) model, and then discovered the continuous negative impact of crude oil price on EUA price. Ortas et al. [7] verified that carbon assets and energy commodities embody different leading/lagging motions at different time frequencies through a method based on wavelet coherence analysis. Zhang et al. [8] adopted the threshold dynamic conditional correlation GARCH model and the complete BEKK GARCH model to conclude that both the coal-carbon market and the carbon-natural gas market had obvious one-way volatility spillover, and that the carbon market is observably positively correlated with the fossil energy market. Wang et al. [9] used the DY spillover index to reveal the existence of an asymmetric spillover effect between the carbon market and energy market, and proved that such spillover effect changes over time. Ji et al. [10] showed that brent crude oil price had a non-negligible impact on EUA price volatility and risk. Using VAR-GARCH model, Lee et al. [11] found that the spillover effect between EUA and Brent crude oil market was stronger than the volatility spillover effect among EUA, biofuels and Brent crude oil market. Xu et al. [12] made some studies on the information connection of the carbon-energy market system by introducing a multilayer recurrence network. EI Amri et al. [1] found that the price determinants of EUA in the third stage of EU ETS included changes in brent crude oil price and coal price, and its price was affected by economic activities and Novel Coronavirus disease, etc.
With the integration and financialization of the world economy, more and more scholars tend to study the carbon market from a financial perspective in view of the obvious property of the carbon market as a financial asset [13]. Most of the current research on the “carbon-financial” market system focus on the relationship between the carbon market and stock market. Specifically, Oberndorfer [14] studied the development of the energy market from the perspective of the stock market. Chevallier [15] then demonstrated the weak correlation between carbon prices and stocks and bonds prices. Subsequently, Chevallier [16] confirmed the connection between macro economy and carbon price by fitting the FAVAR model with macroeconomic, financial, and commodity data. Tian et al. [17] showed that strong market shocks to a large extent drove the relationship between the EUA market and stock returns of power companies, and the fluctuations of the two markets were remarkably consistent. Oestreich et al. [18] demonstrated the explanation of carbon risk for cross-sectional changes in stock returns and the apparent carbon premium in stock returns.
At present, it has become a hot issue to integrate carbon market, energy market and financial market into one system and discuss the relationship between the three. The following is a brief review of relevant literature on the carbon-energy-financial system. Creti et al. [19] studied the decisive factor of carbon price in the two phases of EU ETS and found that energy price was a key factor of carbon price, and the increase in oil price and conversion price would lead to the increase of carbon price. The growing role of carbon markets in the economy is also confirmed by studying the influence of carbon prices on stock prices in this paper. Koch [20] based on the MGARCH model of smooth transition, studied the price connection between carbon allowance and market fundamentals in EU ETS and found that there are connections between the carbon market and financial market. Song et al. [21] explored the spillover relationship between the price of EUA futures and the price of 19 financial, energy, and other asset categories through the ARMA (1,1)-CGARCH model. The research results show that there are volatility risks and information transmission among the carbon futures market and the financial, energy and other asset categories, in which the relationship with the financial market is slightly stronger, and this transmission relationship is dynamic with the development of the EU carbon market. Tan and Wang [22] revealed that the carbon price was significantly affected by energy prices and financial risk factors in the three stages of EU ETS through quantile regression. By studying the price determination mechanism of the carbon market, Ji et al. [23] found that the energy market influences enterprise emissions and then carbon market through changing energy prices, and financial market influences carbon market through price signals. Tan et al. [2] investigated the system-wide correlation of returns and volatility among EUA and selected commodities and the two financial market assets in the “carbon-energy-financial” market system by the modified Lanne-Nyberg DY spillover index model. It is found that EUA has a higher correlation with energy markets than with financial markets, and the carbon market has a closer correlation with the stock market among the connection between carbon market and each financial asset. Liu et al. [24] systematically investigated the return spillover effect among the carbon market, renewable energy markets, financial markets and energy markets from 2008 to 2021, and found that the carbon market was increasingly linked to the world capital markets. Yao et al. [25] constructed a carbon-energy-stock system to compare information spillovers among the three subsystems under a unified framework, and adopted a connectivity network to identify the roles and positions of carbon market, energy market, and stock market, and discussed the dynamic evolution process of information spillovers.
As shown above, these literatures have explored the interdependence between carbon, conventional energy, and financial assets, but there are still some issues that need to be explored. Most of these studies have focused on two of these markets, and the systematic study of the linkages between “carbon-energy-finance” markets is incomplete. We can see that the relationship between markets is currently mainly studied through econometric models, such as the VAR model, GARCH model, wavelet method, Granger causality test, etc. Most of these econometric methods are based on smooth, linear data and are easily affected by the type and distribution of data. With the construction and development of carbon market, carbon price fluctuation is not only affected by the internal market mechanism, but also affected by the heterogeneous environment. Carbon price fluctuation presents a complex nonlinear dynamic evolution process. How to scientifically evaluate the role of carbon market in the whole social and economic system? How to accurately measure the signal transmission between carbon market price information and other markets? An in-depth analysis is needed from a new perspective.
For the past few years, recurrence quantitative analysis and recurrence networks have shown certain advantages in dealing with nonlinear time series [26,27,28,29], which have been widely used in finance, energy, engineering, life science and other fields to reveal nonlinear, autocorrelation, fractal and other characteristics of the system. In order to systematically analyze the linkage relationship of carbon-energy-financial market from the perspective of network, we made the following contributions in this study. Firstly, we combine multilayer networks with recurrence networks, then propose a method for constructing time-varying multilayer recurrence networks (TMRN) and delay time-varying multilayer recurrence networks (DTMRN), and further propose a new correlation index. Compared with traditional econometric methods, this method does not need to consider the data distribution and whether the data is stable. It also applies to nonlinear data, which is obviously more suitable for the complex data types in the current era of big data. Secondly, we use the construction of multilayer recurrence networks to integrate carbon market, energy market and financial market into a system to analyze the relationship between them. Using the two indexes we propose, we examine the correlation and lead relationship among the three markets. By comparing the results of the three stages of the EUcarbon market construction, we reveal the evolution process of the increasingly close connection between the three markets, and also find that the carbon market is playing an increasingly important role in the carbon-energy-financial system. Finally, we quantitatively describe the evolution of the price signal of the EU carbon market gradually coming into play, and reveal the information spillover effect among the carbon market, energy market, and financial market. Our results may provide some new ideas for policymakers to formulate policies in the process of carbon market construction and carbon neutrality. As the carbon market matures, it also provides an alternative asset investment channel for investors. Given the increasingly close links between the carbon market and other markets, it is reasonable to suggest that market participants should consider the development of the carbon market when investing in order to maximize profits. At the same time, based on the results of the leading relationship, that is, the carbon market leads the energy market and financial market in the current phase, it can also provide some basis for investors to make decisions. Investors can pick up on signals from the carbon market to optimize corporate portfolios [23,25,30,31].
The rest of the article is laid out as follows. In the second section, we present the research method used in this paper. In the third section, we conduct a numerical simulation to verify the effectiveness of the network-based indicators. In the fourth section, we inquire into the correlation and guiding relationship between carbon market, energy market and financial market by using the multilayer recurrence network. In the fifth section, we give the conclusion.

2. Materials and Methods

Numerous studies have indicated that carbon price, energy price and stock price of financial market all have chaotic characteristics to varying degrees [32,33,34]. Phase space reconstruction is an effective method to recover and characterize the prime dynamical system from time series data with chaotic characteristics [35]. In this paper, the proposed method is based on phase space reconstruction theory, the basic idea is as follows: Firstly, the phase space of carbon price, energy price and stock price data of financial market is reconstructed. Then, each phase point in the phase space is treated as a node of the network, and the connection between nodes is established under a certain threshold value, so as to construct the recurrence network of carbon price, energy price and stock price. Finally, the correlation analysis and guidance relationship analysis models are constructed respectively by using the microscopic topological structure and degree distribution characteristics of the network. In this section, we first review the definition of recurrence network and multilayer recurrence network, then introduce the construction steps of time-varying multilayer recurrence network and correlation indicators, and finally explain the construction steps of delay time-varying multilayer recurrence network and leading relationship indicators.

2.1. The Definition of RN and MRN

The recurrence network (RN) is defined as follows [36]: Let { u i } i = 1 N be a set of time series with N real numbers, then it can be reconstructed as a locus x i = ( u i , u i + τ , , u i + τ ( M 1 ) ) with time delay embedding in its phase space, where M represents the embedding dimension and τ represents the embedding delay. For the trajectory x i ( i = 1 , , N , x i M ) , define the adjacency matrix A = { A i j } of RN, where, if x j falls in the neighborhood of x i ( ε -radius sphere), then i and j are connected, that is, A i j = 1 , otherwise A i j = 0 .
In order to study multivariable time series, the multi-layer recurrence network (MRN) method is introduced by combining recurrence network with multilayer network method [37], which is defined as follows: Let { x ( t ) } t = 1 N be a m-dimensional multivariate time series, where x ( t ) = ( x 1 ( t ) , x 2 ( t ) , x m ( t ) ) m . Then, we can construct a multilayer recurrence network by creating the RN of the K t h component of x ( t ) , which corresponds to the κ layer of the multilayer network. Its adjacent matrix is denoted as A [ κ ] = ( a i j [ κ ] ) , and if nodes i and j are connected in the κ   layer, then a i j [ κ ] = 1 otherwise, a i j [ κ ] = 0 .

2.2. The Correlation Measurement Based on TMRN

Carbon price, energy price and stock price of financial market show complex fluctu-ation characteristics over time. In order to describe the fluctuation characteristics of the several market prices in different periods, time parameter is introduced to construct time-varying multilayer recurrence network (TMRN).
Let X = { x i j } M × N be a multivariate time series data, where M represents the number of time series, N represents the length of each time series. The steps for constructing the time-varying multilayer recurrence network are as follows:
Step1: Build sliding window. Firstly, we determine the sliding window size L and setting the sliding step s , then we can obtain T = φ [ N L s + 1 ] time window, where φ   is Gauss function.
Step2: Construct time-varying single-layer recurrence network. The phase space is reconstructed in each time window and the corresponding recurrence network is obtained. The adjacency matrix on the layer α in the sliding window t is defined as A t [ α ] = [ A i j [ α ] ( t ) ] . If the phase space distance between node i and node j on layer α in the t th sliding window is less than the threshold value, a connecting edge is established between node i and node j , i.e., A i j [ α ] ( t ) = 1 , otherwise, A i j [ α ] ( t ) = 0 .
Step3: Construct time-varying multilayer recurrence network. The recurrence network obtained by mapping each time series is regarded as a layer, and the layers are connected according to the corresponding time, and then the time-varying multilayer recursive network is constructed. The adjacency matrix A t of time-varying multilayer recurrence network in the   t   t h sliding window can be expressed as:
A t = [ A t [ 1 ] 1 N 1 N 1 N A t [ 2 ] 1 N 1 N 1 N A t [ M ] ] N M × N M
where 1 N is the identity matrix.
From the constructed TMRN, referring to indexes presented in the literature [12], we propose the following indexes to measure the time-varying correlation between time series, and the calculation formula is
ω ( t ) = i j > i + 1 α a i j [ α ] ( t ) i j > i + 1 ( 1 δ 0 . α a i j [ α ] ( t ) ) ( M 1 ) i j > i + 1 ( 1 δ 0 . α a i j [ α ] ( t ) )
where t = 1 , 2 , , T and α = 1 , 2 , , M , ω ( t ) [ 0 , 1 ] . If at time t , the network connection structure of each layer is completely the same, then ω ( t ) = 1 . If the connection structure of each layer is completely different at time t , then ω ( t ) = 0 .
Then, based on the degree distribution of each layer network nodes and the information entropy theory, we can define the mutual information between layers at time t , and the equation is as follows:
I α , β ( t ) = k [ α ] ( t ) k [ β ] ( t ) P [ k [ α ] ( t ) , k [ β ] ( t ) ] l o g P [ k [ α ] ( t ) , k [ β ] ( t ) ] P [ k [ α ] ( t ) ] P [ k [ β ] ( t ) ] ,
where, t = 1 , 2 , , T , α and β respectively represent α layer and β layer in the multi-layer recurrence network, P [ k [ α ] ( t ) ] represents the degree distribution of α layer network at time t , and P [ k [ α ] ( t ) , k [ β ] ( t ) ] represents the joint degree distribution of network at α layer and β layer at time t . The equation for calculating the average mutual information of the whole system is as follows:
I ( t ) = 2 M ( M 1 ) j > i I i , j ( t ) .  
Therefore, we can measure the dynamic correlation between time series by using the two indicators defined from the micro and macro levels respectively. As well, compared with the traditional correlation measurement method between time series, the measurement indexes based on Equations (1)–(3) reflect the information of original time series through the network topology, including both linear and nonlinear information.

2.3. The Causality Measurement Based on DTMRN

The relationship between systems is very complex, so in addition to studying the interaction between systems, sometimes we also need to determine whether there is a causal relationship or mutual guiding relationship between systems. Therefore, based on the construction of time-varying multilayer recurrence complex network, we introduce the time-delay parameter τ , and then give the construction steps of delay time-varying multilayer recurrence network as follows:
Step1: Determine the time delay τ and build sliding window, and then we can obtain T τ = φ [ N L τ s + 1 ] time window.
Step2: Reference time series and contrast time series are selected, and then recurrence network of reference time series at time t and contrast time series at time t + τ or t τ are constructed respectively.
Step3: We take the recurrence network mapped from the reference time series at time t and the recurrence network mapped from the contrast time series at time t + τ as one layer of the multi-layer network respectively, and then we build the edge between layers on the basis of the corresponding time. Thus, the delay time-varying multilayer RN is constructed.
In this way, we obtained the construction schematic diagram of delay time-varying recurrence network mapped from multivariate time series, as shown in Figure 1.
To measure the time-delay and time-varying correlation between time series, we take layer α   as the reference layer and layer β as the contrast layer, and calculate the time-delay and time-varying correlation index between layer α and layer β as follows:
ω α , β ( t , τ ) = i j > i + 1 ( a i j [ α , t ] + a i j [ β , t + τ ] ) i j > i + 1 ( 1 δ 0 . ( a i j [ α , t ] + a i j [ β , t + τ ] ) ) i j > i + 1 ( 1 δ 0 . ( a i j [ α , t ] + a i j [ β , t + τ ] ) )
where t = 1 , 2 , , T ; and a i j [ α , t ] and a i j [ β , t + τ ] are the adjacency matrix elements of the net- work of layer α at time t and layer β at time t + τ respectively. Obviously ω α , β ( t , τ ) [ 0 , 1 ] . If the network connection structure of layer α at time t and layer β at time t + τ are exactly the same, then ω α , β ( t , τ ) = 1 ; if the network connection structure of layer α at time t is completely different from that of layer β at time t + τ , then ω α , β ( t , τ ) = 0 . According to Equation (4),
ω α , β ( t , τ ) = ω β , α ( t , τ )
Therefore, the time delay correlation of the whole system can be expressed in the following matrix form:
W ( t , τ ) = [ ω 1 , 1 ( t , τ ) ω 1 , 2 ( t , τ ) ω 1 , M ( t , τ ) ω 1 , 2 ( t , τ ) ω 2 , 2 ( t , τ ) ω 2 , M ( t , τ ) ω 1 , M ( t , τ ) ω 2 , M ( t , τ ) ω M , M ( t , τ ) ]
where the main diagonal element represents the time-delay correlation coefficient of each time series.
Then, to measure the leading relationship among various time series, we define the following indexes:
Q ω ( t , τ ) = ω α , β ( t , τ ) + ω α , β ( t , τ ) 2
q ω ( t , τ ) = ω α , β ( t , τ ) ω α , β ( t , τ ) 2
Apparently, Q ω ( t , τ ) [ 0 , 1 ] , and q ω ( t , τ ) [ 1 / 2 , 1 / 2 ] . If the two series are in complete synchronization at time t , then Q ω ( t , τ ) = 1 ; if α time series is ahead of the β time series, then q ω ( t , τ ) > 0 , otherwise, q ω ( t , τ ) < 0 . Therefore, using the magnitude of Q ω ( t , τ ) and the positive value or negative value of q ω ( t , τ ) , we can measure the mutual guiding relationship between the two sets of time series in different time periods.
Similarly, based on the degree distribution of network nodes of each layer and the information entropy theory, we can define the mutual information between layers with time-delay τ at time t , and the calculation equation is as follows:
I α , β ( t , τ ) = k [ α ] ( t ) k [ β ] ( t + τ ) P [ k [ α ] ( t ) , k [ β ] ( t + τ ) ] l o g P [ k [ α ] ( t ) , k [ β ] ( t + τ ) ] P [ k [ α ] ( t ) ] P [ k [ β ] ( t + τ ) ] ,  
where, t = 1 , 2 , , T , τ 0 , α and β represent layer α and layer β in the multi-layer recurrence network respectively, and P [ k [ α ] ( t ) ] is the degree distribution of α layer network at time t , and P [ k [ α ] ( t ) , k [ β ] ( t ± τ ) ] is the joint degree distribution of the α layer at time t and the β layer with delay τ . Using Equation (9), similarly, we can define the measure index of mutual guiding relationship of multivariate time series based on mutual information between layers.
Q I ( t , τ ) = I α , β ( t , τ ) + I α , β ( t , τ ) 2 ,   q I ( t , τ ) = I α , β ( t , τ ) I α , β ( t , τ ) 2
Similarly, if they are in synchronous state, then Q I ( t , τ ) gets the maximum value; If the α time series is ahead of the β time series, then q I ( t , τ ) > 0 , otherwise, q I ( t , τ ) < 0 . Therefore, with the help of the value of Q I ( t , τ ) and the positive or negative value of q I ( t , τ ) , we can also measure the mutual guiding relationship between the two sets of time series in different time periods.
To sum up, we can obtain the measurement flow chart of correlation (including correlation relation and leading relation) between systems based on multi-level recurrence network, as shown in Figure 2.

3. Numerical Simulation

In this section, we use a one-dimensional coupled mapping lattice (CML) model with dissipative nearest neighbor coupling and a coupled R o ¨ s s l e r system to verify the validity of the correlation measure and guiding relation measure proposed in Section 2.2 and Section 2.3 respectively.

3.1. Test of Correlation Measures

First, we consider a one-dimensional coupled mapping lattice (CML) model with dissipative nearest neighbor coupling:
x [ α ] ( t + 1 ) = ( 1 ε ) f [ x [ α ] ( t ) ] + ε 8 ( f [ x [ α 1 ] ( t ) ] + f [ x [ α + 1 ] ( t ) ] )
Assuming periodic boundary:
x [ M + α ] ( t ) = x [ α ] ( t )
where ε [ 0 , 1 ] represents the coupling strength, f ( x ) = 4 x ( 1 x ) is a chaotic mapping. Based on chaotic dynamics theory, we know that when ε takes different parameters, the coupled system (11) will produce rich dynamic behaviors such as fully developed turbulence (FDT) state, pattern selection (PS) state or different forms of spatio-temporal intermittency (STI) state [38]. At first, let M = 5 , coupling strength ε [ 0 , 0.4 ] , Take the initial value for [ 0.0066 ,   0.0004 ,   0.0085 ,   0.0093 ,   0.0068 ] , to reduce the calculation time, each time sequence length is set as 50, and the evolution image data is shown in Figure 3a. Then we build a time-varying multilayer RN with embedding parameter τ = 2 , m = 6 , and obtain the evolution of the index ω with the coupling strength ε , as shown in Figure 3b. In order to further check the stability of ω , noise interference is added to the coupling system. A noise sequence with SNR = 70 dB is added to the first sequence x [ 1 ] , and the new data evolution image was obtained as shown in Figure 3c. At this time, Figure 3d show the evolution result of the corresponding index ω with the coupling strength ε .
From Figure 3b, we can observe that the state of system jumps with the coupling parameters. When 0 ε < 0.1 , the correlation number of the system is small, and the system is in the state of fully developed turbulence (FDT). When 0.1 ε < 0.194 , the correlation number increases significantly, and the system changes to pattern selection (PS) state. When 0.194 ε < 0.224 , the correlation number of the system decreases rapidly and tends to be stable, and the system returns to the fully developed turbulence state again. When 0.224 ε 0.4 , the correlation number of the system increases rapidly and keeps oscillating at a high level, and the system transitions to the state of spatio-temporal intermittent (STI). After adding the noise signal with a SNR of 70 db, the evolution result of the noise interference system ω with the coupling parameter ε was calculated (Figure 3d). We can see that the indicator ω can still reflect the state change characteristics of the coupling system, indicating that the indicator ω has a good anti-noise ability.
To verify the effectiveness of indicator I , the initial value of CML of the coupling system was set as [0.00001562, 0.00005104, 0.00009650, 0.00007028, 0.00004737], and the evolution image of the obtained data is shown in Figure 4a. The calculated evolution image of indicator I   with coupling strength ε is shown in Figure 4b.
We can see from Figure 4b that the change of index I can reflect the change of the coupling system state. In general, the numerical simulation results show that by constructing a time-varying multilayer recurrence network to calculate the cross-correlation metric ω and mutual information index I , we can observe the jump phenomenon of ω and I   as the coupling strength ε increases, and each jump reflects the change of the coupling system state. It shows that the two indexes defined in this paper are effective in revealing the interaction relationship of the system. In practical application, we can choose which indexes to analyze the actual system based on experiments according to the purpose of analysis.

3.2. Test of Leading Relationship Measures

Consider two mutually coupled R o ¨ s s l e r system:
{ x ˙ 1 = ( 1 + v ) x 2 x 3 x ˙ 2 = ( 1 + v ) x 1 + a x 2 + μ ( y 2 x 2 ) x ˙ 3 = b + x 3 ( x 1 c ) { y ˙ 1 = ( 1 v ) y 2 y 3 y ˙ 2 = ( 1 v ) y 1 + a y 2 + μ ( x 2 y 2 ) y ˙ 3 = b + y 3 ( y 1 c )
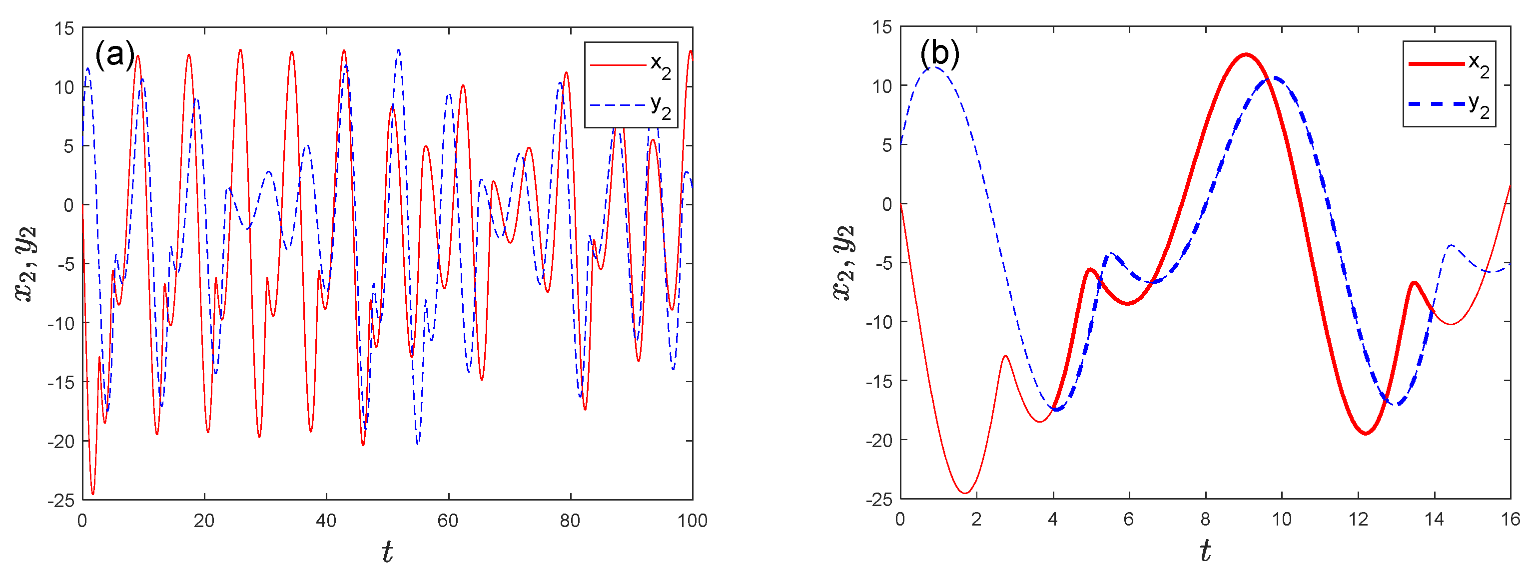
In this coupling system, variables x 2 and y 2 are coupled with each other. We take parameters a = 0.2925 ,   b = 0.1 ,   c = 8.5 ,   ν = 0.02 ,   μ = 0.03 , and the simulation step size Δ t = 0.02 . The obtained evolution images of variables x 2 and y 2 is shown in Figure 5a. To reduce the influence of initial values, we take the data of x 2 and y 2 in the interval [ 4 , 13.98 ] as sample data, as shown in Figure 5b. From the selected time period, the change of variable x 2 lead that of variable y 2 . Indexes of mutual leading relationship between systems Q τ ω , q τ ω , Q τ I and q τ I are calculated as shown in Figure 5c,d respectively.
As shown in Figure 5c, the maximum value of Q τ ω is obtained when the time delay τ takes a value slightly above 0.6, indicating that the two systems have reached the synchronization state at this time, while the value of q τ ω is greater than 0, that is the first system ( x 2 ) leads the second system ( y 2 ). As we can see from Figure 5d, Q τ I reaches the maximum value when the delay τ is slightly greater than 0.7, indicating that the two systems are in a synchronous state at this time, and q τ I is greater than 0, which also indicates that x 2 leads y 2 . This result is consistent with our previous data selection. Therefore, it shows that the index defined based on the inter-layer network connection and degree distribution of each layer can effectively measure the mutual leading relationship between systems.

4. Empirical Analysis

In this section we will choose from 7 July 2008 to 30 November 2021, EU carbon market price data, brent crude oil prices data in energy market and S&P 500 price data in financial market as sample data. To make the data comparable, we removed the missing value at certain time points and finally obtained 3197 data for each market. To study the relationship among the three markets in different periods, we divided the time into three phases: the period from 7 July 2008 to 31 December 2012 belongs to the second stage of the EU carbon market development, which is denoted as Phase-I. The period from 1 January 2013 to 31 December 2020 is the third stage of the EU carbon market construction, denoted as Phase-II; the period from 1 January 2021 to 30 November 2021 is included in the Fourth Phase of the EU carbon market construction, referred to as Phase-III.

4.1. Carbon-Energy-Financial Market Linkage Analysis of Phase-I

In Phase I, price data of EU carbon market, Brent crude oil price data of energy market and S&P 500 data of financial market are drawn in Figure 6a–c respectively.
In Phase-I, the descriptive statistical results of sample data of EU carbon market, Brent crude oil market and S&P 500 market is shown in Table 1. It can be seen that the skewness of the carbon price is 0.05063, greater than 0, indicating that it follows the right skewness distribution; while the skewness of the Brent price data and S&P 500 price data are both less than 0, which are −0.56971 and −0.79530 respectively, indicating that they both follow the left skewness distribution. The kurtosis of carbon price and Brent crude oil price data are both less than three, while the kurtosis of the S&P 500 is greater than three, manifesting that the distribution density curve of the carbon data and Brent data is flatter than that of normal distribution when it is close to the peak, while the curve of the S&P 500 price data is steeper than that of normal distribution when it close to the peak. According to Jarque-bera test results, the null hypothesis is rejected at the significance level of 1%, that is to say, the selected data does not conform to the normal distribution. According to the results of ADF test, the t value of carbon price data, Brent price data and S&P 500 price data are all greater than the critical value under the significance level of 1%. Therefore, the null hypothesis is accepted, indicating that there are unit roots in these three sets of time series, that is, the sample data series are non-stationary.
For the sample data in Phase-I, we used the mutual information method to obtain the evolution image of the mutual information index I among the three markets at any time lag τ , as shown in Figure 7a. Thus, in Phase-I, the optimal delay of phase space reconstruction of EU carbon price data is τ = 5 , that of Brent crude oil price data of energy market is τ = 5 and that of S&P 500 data of financial market is τ = 2 . On this basis, we used Cao method to confirm the embedding dimension. The image of E 2 changing with embedding dimension m is plotted in Figure 7b. We can see that E 2 values of the three markets tend to be stable when m 8 , so the embedding dimension is m = 8 .
Let the sliding window length L = 200 and the sliding step s = 5 to obtain 153 time windows, and then calculate the linkage indicator w within each time window to obtain the dynamic linkage relationship among the three markets, as shown in Figure 8a. Then, in order to further verify the leading relationship among the three markets, we set the parameters of the sliding window as L = 50 , s = 5 to obtain 171 time windows. The mutual leading relationship among the three markets is calculated as shown in Figure 8b–d.
As can be seen from Figure 8a, in phase-I, the evolution trend of the cross-correlation index w of carbon-energy and carbon-financial was almost the same before 2011, and their w values reached the lowest point in early 2011. We find that this is caused by the European debt crisis. From 2010 to 2011, the credit crunch reduced the output of the energy industry, and the returns spillover from financial assets to the carbon market stopped previous upward trend, thus reducing the mutual correlation of carbon-energy and carbon-financial [21,28]. From the perspective of the mean value, before 2011, the mean values of the carbon-energy and carbon-financial mutual correlation index w were both small, 0.4161 and 0.4330 respectively, while the value of the energy-financial market mutual correlation index w was relatively large, with an average value of 0.5711, indicating that the energy-financial market system is more closely related than the carbon-energy market system and the carbon-financial market system at this stage. Overall, before 2011, the w value of energy-financial is much higher than that of carbon-energy and carbon-financial, but 2011 years later, there is no significant difference in the strength of the linkage relationship among the three markets. The interaction between them is relatively small, which may be due to the immature working mechanism at the beginning of the second phase of the carbon market operation. Therefore, the carbon market is less relevant to the other two than the energy market is to the financial market. Later in the second phase, with its continuous development, the carbon market gradually integrates into the market system composed of energy and financial markets, and can effectively accept the fluctuation signals from other markets and change accordingly. We can see from Figure 8b–d that in the second phase of EU carbon market, the metric index of the mutual guiding relationship of carbon-energy market Q τ w reaches its maximum value at τ = 5 , while q τ w = 0.0069 < 0 at this time. This shows that the trend of Brent crude oil price led the carbon price, that is, the energy market led the carbon market at this phase. The metric index of the mutual guiding relationship of carbon-financial market Q τ w reaches its maximum value at τ = 5 , while q τ w = 0.0078 < 0 at this time. This indicates that the trend of S&P 500 price led the carbon price, that is, the financial market led the carbon market at this stage. The metric index of the mutual guiding relationship between energy market and financial market Q τ w reaches its maximum value at τ = 5 , while q τ w = 0.0074 < 0 at this time. This indicates that the financial market led the energy market at this phase, and the trend of S&P 500 price led Brent crude oil price.

4.2. Carbon-Energy-Financial Market Linkage Analysis of Phase-II

The price data of EU carbon market, Brent crude oil of energy market and S&P 500 of financial market selected in Phase-II are shown in Figure 9a–c respectively.
In Phase-II, the descriptive statistical results of sample data of EU carbon market, Brent crude oil market and S&P 500 market are shown in Table 2. It can be seen that the skewness of carbon data, Brent oil data and S&P 500 data are all greater than zero, indicating that they all obey the right skewness distribution, with skewness of 0.80118, 0.64950 and 0.39965, respectively. We can see that the kurtosis of carbon data, Brent oil data and S&P 500 data are all short of three, manifesting that the distribution density curve of them are all flatter than normal distribution near its peak. According to Jarque-bera test results, the null hypothesis is rejected at the significance level of 1%, that is to say, the selected sample data does not conform to the normal distribution. According to the results of ADF test, the t values of carbon price data, Brent price data and S&P 500 price data are all higher than the critical value under the significance level of 1%. Therefore, the null hypothesis is accepted, indicating that there are unit roots in these three sets of time series, that is, the sample data series are non-stationary.
For the sample data in Phase-II, we calculate the evolution image of the mutual information index I of among the three markets at any time lag τ by the mutual information method, as shown in Figure 10a. Thus, in Phase-II, the optimal delay of phase space reconstruction of EU carbon price data is τ = 6 , that of Brent crude oil price data is τ = 3 and that of S&P 500 data is τ = 5 . Based on that, we used Cao method to confirm the embedding dimension. The image of E 2 changing with embedding dimension m is plotted in Figure 10b. We can see that E 2 values of three markets tend to be stable when m 8 , so the embedding dimension takes 8.
We take the sliding window length L = 450 and the sliding step length s = 5 to obtain 311 time windows, and then calculate the linkage indicator w within each time window to get the dynamic linkage relationship among the three markets, as shown in Figure 11a. Then, in order to further test the leading relationship among the three markets, we set the parameters of the sliding window as L = 55 , s = 5 to obtain 171 time windows. The image of mutual leading relationship among the three markets is plotted in Figure 11b–d.
From Figure 11a, we can observe that w values of carbon-energy, carbon-financial and energy-financial all reached their lowest values in 2017, which corresponds to the Brexit event. Especially for the EU carbon market, Britain plays a considerable role in its development and construction. Therefore, the Brexit event has affected the vitality and hardware support of carbon trading in the whole EU, bringing certain risks to the carbon-energy-financial system. However, their w value reached the highest point in 2018, which may be due to the fact that the EU Council of Ministers officially approved the fourth phase of EU ETS reform plan in February 2018. This further reduced total carbon emissions and linked the carbon market more closely with other markets. At the beginning of 2020, w values of carbon-energy and carbon-financial both reached the local lowest point. This may be due to the outbreak of the novel Coronavirus, which puts the whole world economy in an uncertain risk. The reduction of economic activities leads to a decline in the demand for emission quotas, and the carbon market suffers serious setbacks, thus weakening its correlation with other markets. Surprisingly, the w value of energy-financial suddenly increased at this time, considering that it could be a sudden change caused by the US stock market circuit breaker and negative oil prices. In general, compared with Phase-I, the w values of carbon-energy, carbon-financial and energy-financial in Phase-II all increase, and their evolutionary trends are very similar, with their mean values of w being 0.5620, 0.5152 and 0.5801, respectively. In particular, the w values of carbon-energy and carbon-financial have significantly increased, indicating that in the new phase, carbon market have become more closely linked to energy and financial markets. We can observe from Figure 11b–d that in Phase-II, the mutual guiding relationship index of carbon-energy market Q τ w reaches its maximum value at τ = 7 , while q τ w = 0.0218 > 0 at this time. This shows that the trend of carbon price led Brent crude oil price, that is carbon market led energy market at this phase. The metric index Q τ w carbon-financial market reaches its maximum value at τ = 26 , while q τ w = 0.0106 < 0 at this time. This indicates that the financial market led the carbon market at this phase, that is, the trend of the S&P 500 price led the carbon price. The metric index Q τ w of energy-financial market reaches its maximum value at τ = 27 , while q τ w = 0.0210 < 0 at this time. This indicates that the financial market led the energy market at this phase, and the trend of S&P 500 price led Brent crude oil price.

4.3. Carbon-Energy-Financial Market Linkage Analysis of Phase-III

The data of EU carbon price, Brent price, and S&P 500 price selected in Phase-III are shown in Figure 12a–c respectively.
The descriptive statistical results of sample data of EU carbon price, Brent price and S&P 500 price in Phase-III are shown in Table 3. It can be seen that in Phase-III, the skewness of the carbon price data, the Brent price data and S&P 500 price data are all less than 0, showing that they all follow the left skewness distribution, with a skewness of −0.17242, −0.07431 and −0.18273, respectively. The kurtoses of the three sets of data are all less than three, manifesting that their distribution density curves are all flatter than normal distribution near its peak. According to Jarque-bera test results, the null hypothesis is rejected at the significance level of 1%, that is to say, the selected sample data does not follow the normal distribution. According to ADF test, the   t   values of carbon price data, Brent price data and S&P 500 price data are all higher than the critical value under the significance level of 1%. Therefore, the null hypothesis is accepted, indicating that there are unit roots in these three sets of time series, that is, the sample data series are non-stationary.
In Phase-III, similar to the previous two phases, we used the mutual information method to obtain an evolution image of the mutual information index I of the three markets at any time lag τ , as shown in Figure 13a. Thus, the optimal delay of phase space reconstruction of EU carbon price data is τ = 2 , that of Brent crude oil price data is τ = 3 and that of S&P 500 data is τ = 2 . On this basis, we used the Cao method to confirm the embedding dimension. The image of E 2 changing with embedding dimension m is plotted in Figure 13b. We can see that E 2 values of three markets tend to be stable when m 9 , so the embedding dimension is m = 9 .
Similarly, we take the sliding window length L = 180 and the sliding step length s = 1 to obtain 50 time windows. The results of dynamic linkage between the three markets obtained by calculating linkage indicator w in each time window are shown in Figure 14a. Then, in order to further verify the leading relationship among the three markets, we set the parameters of the sliding window as L = 35 , s = 3 to obtain 65 time windows. The mutual leading relationship among the three markets is shown in Figure 14b–d.
From Figure 14a, we can observe that w values of carbon-energy, carbon-financial and energy-financial in phase-III are significantly improved compared with the previous two phases, and the evolution trend is more stable, with the mean values of w being 0.6265, 0.7455 and 0.5983 respectively. Among them, the w values of carbon-energy and carbon-financial are both greater than the w values of energy-financial, indicating that after entering the fourth phase of the EU ETS, the European carbon price has been rising all the way due to tightening of reform quota, which send a good signal to other markets. Carbon market has become a relatively mature market system and gradually plays a dominant role in the world market system. In general, w value of carbon-financial is always the highest, showing that the carbon-financial link has been even closer since entering the fourth phase of the EU carbon market. We can see from Figure 14b–d that in Phase-III, the mutual guiding relationship index of carbon-energy market Q τ w reaches its maximum value at τ = 3 , while q τ w = 0.0083 > 0 at this time. This shows that the trend of carbon price led Brent crude oil price, that is, carbon market led energy market at this phase. The metric index Q τ w carbon-financial market reaches its maximum value at τ = 11 , while q τ w = 0.0676 > 0   a t this time. This shows that the carbon market led the financial market at this phase, that is, the carbon price led the trend of the S&P 500 price. The metric index Q τ w of energy-financial market reaches its maximum value at τ = 28 , while q τ w = 0.0046 < 0 at this time. This shows that the financial market led the energy market at this phase, that is the trend of S&P 500 price led Brent crude oil price.

5. Discussion and Conclusions

In the above analysis, we constructed the recurrence network of the EU carbon market, energy market and financial market respectively in different periods. The recurrence network structure of the three markets showed different topological characteristics in different periods, and the linkage relationship among the three markets also showed different characteristics, as shown in Figure 15. We find that the relationship between carbon, energy and financial markets is getting closer and closer with the construction of the EU ETS. Specifically, the linkage index of carbon-energy increases from 0.4161 in Phase-I to 0.6265 in Phase-III, an increase of 51.79 percentage points. The linkage index of carbon-financial increased from 0.4330 in Phase-I stage to 0.7455 in Phase-III stage, an increase of 72.17 percentage points. The connection between energy market and financial market is also getting closer, rising from 0.5711 in Phase-I Phase to 0.5983 in Phase-III Phase, an increase of 4.76 percentage points. Carbon markets are playing an increasingly important role in the carbon-energy-financial system. From that energy market and financial market led the carbon market in Phase I, to that carbon market led energy market in Phase II, and then to that carbon market led energy market and financial market in Phase III, we can find that the carbon price can gradually effectively reflect immediate information of carbon market and then affect energy market and financial market through the change of the price with gradual improvement of various working mechanisms of EU carbon market.
Based on the construction methods of TMRN and DTMRN of multivariate time series data, the indexes of inter-system correlation measurement and inter-system guidance measurement are given in our work, and the validity of them is verified by numerical simulation. In the empirical analysis part, we use the price data of the European carbon market, brent crude oil in energy market, and S&P 500 in financial market from 7 July 2008 to 30 November 2021 as sample data. In order to facilitate comparison, we divided selected data into three parts according to different stages of EU carbon market construction, and constructed a multilayer recurrence network at each stage, and then used the proposed indicators to study the correlation of the three markets in different periods. We draw the following conclusions: (1) as for the correlation, the correlation between the three markets becomes closer with the development of carbon market. (2) For the leading relationship, energy market and financial market lead carbon market while financial market leads energy market in Phase I; Carbon market leads energy market while financial market leads carbon market and energy market in phase-II; The carbon market leads the energy market and the financial market while the financial market leads the energy market in Phase-III. As time goes by, the carbon market gradually integrates into the world capital market and plays a dominant role in the market system.
Here we compare the results with those of other relevant studies. Comparing the three phases, we find that the correlation between markets obviously increases with the development of EU carbon market, which is basically consistent with research results under the market system of “carbon-renewable energy-finance-energy” of literature [24]. Our research found that there is information spillover between carbon market, energy market and financial market, and the direction of information spillover changes dynamically with the development of EU carbon market, which is obviously consistent with the results of literature [21]. Tan et al. found in the “carbon-energy-finance” system that the correlation between EUA and energy assets was often higher than that of financial assets. In our research results, the correlation between carbon market and energy market was greater than that of carbon market and financial market in the early phase of Phase-I and Phase II, while it was opposite in the late phase of Phase-I and Phase III. For the former, we consider that the transition period of the carbon market leads to the instability of the connection, while for the latter, we consider that the difference in data selection leads to the instability. But in general, it does not affect the consistency of the core results. Overall, our results are in good agreement with those in the existing literature. Further, compared with previous studies [20,25], based on network topology indicators, we quantify the linkage relationship between the EU carbon market at different phases of development, energy market and financial market, quantitatively measure the position of the three markets in different phases in the whole system, and dynamically evaluate the evolution process of interaction between the three markets.
Based on the above research results, we give the following suggestions:
First, for market decision-makers, our results can provide some ideas. As a market-oriented means to promote energy conservation, emission reduction and green development, carbon trading aims to maximize the input and output of carbon reduction in the whole society by using the price discovery function of the market mechanism. Therefore, government departments should pay attention to information spillover of carbon market to other markets, and promote other markets to fulfill emission reduction requirements by utilizing the association between markets. As the core of carbon market, carbon pricing is also an effective policy tool. Therefore, government departments should consider the connection between markets when setting carbon prices based on the market, which can not only stimulate market productivity and innovation, but also achieve low-cost emission reduction. The gradual maturity of the EU carbon market also provides an important reference for countries to establish carbon trading market. In the process of national carbon market construction, government departments need to consider the operation of domestic carbon market and EU carbon market at the same time, so as to formulate reasonable business plans and regulatory policies. In addition, in the process of building carbon markets, the government should also explore whether there is a risk transmission mechanism between carbon markets and other markets by using the correlation between markets.
Second, we also have some advice for companies and investors. As the price fluctuation of the carbon market is affected by the prices of other markets, enterprises can receive signals from the carbon market through the connection between markets, and then make appropriate production plans to ensure that carbon emissions are reduced while production technology and energy efficiency are improved. In addition to completing the trading of carbon emission rights, a more important function of carbon market is to guide investment and control risks through carbon price signals. Our results indicate that there is information spillover from carbon market to energy market and financial market in the current stage. Therefore, investors who participate in other markets should also pay attention to the price fluctuation of carbon market and its signals, and timely adjust their investment strategies to maximize their interests. In addition, investors should maintain risk awareness, pay attention to the signals of carbon price fluctuations, and timely avoid risks.
Compared with the traditional indexes that measure the correlation and guiding relationship between systems, the indexes in this paper do not need to consider the distribution state and formal representation of data. Different from previous literature that focused on the relationship between the two markets, this paper systematically studied the relationship between the carbon market, energy market and financial market, including both correlation and guiding relationship. Of course, there are some limitations to our work. Although numerical simulation and empirical analysis have demonstrated the superiority of our proposed index, we have not strictly proved theoretically that it meets several properties of big data association metrics, such as equitability, monotonicity, etc., which will be the work we will focus on later. We also need to further verify whether the leading relationship measured by our indexes is economic causality. In addition, for the empirical part of studying the connection between carbon market, energy market and financial market, the data we selected are not sufficient, especially in Phase III, the fourth phase of the construction of EU carbon market. In the future work, we will further optimize the proposed index to adapt it to more types of data, and ulteriorly promote and apply the method in this paper to other fields, thereby enrich and complete the research system of carbon market and other economic fields based on complex network theory.

Author Contributions

M.W., C.H. and H.X. designed the structure of the research; M.W. and C.H. designed the model and analyzed the data; M.W. and C.H. wrote the paper. All authors have read and agreed to the published version of the manuscript.

Funding

This work was supported by the National Key Research and Development Program of China (Grant No. 2020YFA0608602), the National Natural Science Foundation of China (Grant No. 72174091), the China Postdoctoral Foundation (Grant No. 2021M691312), six talent peaks project in Jiangsu Province (JY-055) and Qing Lan Project of Jiangsu Province (2021).

Institutional Review Board Statement

Not applicable.

Informed Consent Statement

Not applicable.

Data Availability Statement

The data involved in the paper are available through public channels.

Conflicts of Interest

The authors declare no conflict of interest.

References

  1. El Amri, A.; Oulfarsi, S.; Boutti, R.; Sahib Eddine, A.; Hmioui, A. Carbon financial markets underlying climate change mitigation, pricing and challenges: Technical analysis. Financial Markets. Inst. Risks 2021, 5, 5–17. [Google Scholar] [CrossRef]
  2. Tan, X.; Sirichand, K.; Vivian, A.; Wang, X. How connected is the carbon market to energy and financial markets? A systematic analysis of spillovers and dynamics. Energy Econ. 2020, 90, 104870. [Google Scholar] [CrossRef]
  3. Mansanet-Bataller, M.; Pardo, A.; Valor, E. CO2 prices, energy and weather. Energy J. 2007, 28, 73–92. [Google Scholar] [CrossRef]
  4. Alberola, E.; Chevallier, J.; Chèze, B. Price drivers and structural breaks in European carbon prices 2005–2007. Energy Policy 2008, 36, 787–797. [Google Scholar] [CrossRef]
  5. Zachmann, G. A stochastic fuel switching model for electricity prices. Energy Econ. 2013, 35, 5–13. [Google Scholar] [CrossRef]
  6. Hammoudeh, S.; Lahiani, A.; Nguyen, D.K.; Sousa, R.M. An empirical analysis of energy cost pass-through to CO2 emission prices. Energy Econ. 2015, 49, 149–156. [Google Scholar] [CrossRef]
  7. Ortas, E.; Alvarez, I. The efficacy of the European Union Emissions Trading Scheme: Depicting the co-movement of carbon assets and energy commodities through wavelet decomposition. J. Clean. Prod. 2016, 116, 40–49. [Google Scholar] [CrossRef]
  8. Zhang, Y.J.; Sun, Y.F. The dynamic volatility spillover between European carbon trading market and fossil energy market. J. Clean. Prod. 2016, 112, 2654–2663. [Google Scholar] [CrossRef]
  9. Wang, Y.; Guo, Z. The dynamic spillover between carbon and energy markets: New evidence. Energy 2018, 149, 24–33. [Google Scholar] [CrossRef]
  10. Ji, C.J.; Hu, Y.J.; Tang, B.J. Research on carbon market price mechanism and influencing factors: A literature review. Nat. Hazards 2018, 92, 761–782. [Google Scholar] [CrossRef]
  11. Lee, Y.; Yoon, S.M. Dynamic Spillover and Hedging among Carbon, Biofuel and Oil. Energies 2020, 13, 4382. [Google Scholar] [CrossRef]
  12. Xu, H.; Wang, M.G.; Yang, W.G. Information linkage between carbon and energy markets: Multiplex recurrence network approach. Complexity 2020, 2020, 1–12. [Google Scholar] [CrossRef]
  13. Zheng, Z.; Xiao, R.; Shi, H.; Li, G.; Zhou, X. Statistical regularities of Carbon emission trading market: Evidence from European Union allowances. Phys. A Stat. Mech. Appl. 2015, 426, 9–15. [Google Scholar] [CrossRef]
  14. Oberndorfer, U. Energy prices, volatility, and the stock market: Evidence from the Eurozone. Energy Policy 2009, 37, 5787–5795. [Google Scholar] [CrossRef]
  15. Chevallier, J. Carbon futures and macroeconomic risk factors: A view from the EU ETS. Energy Econ. 2009, 31, 614–625. [Google Scholar] [CrossRef]
  16. Chevallier, J. Macroeconomics, finance, commodities: Interactions with carbon markets in a data-rich model. Econ. Model. 2011, 28, 557–567. [Google Scholar] [CrossRef] [Green Version]
  17. Tian, Y.; Akimov, A.; Roca, E.; Wong, V. 2012–10 Does the Carbon Market Help or Hurt the Stock Price of Electricity Companies? Further Evidence from the European Context. J. Clean. Prod. 2015, 112, 1619–1626. [Google Scholar] [CrossRef] [Green Version]
  18. Oestreich, A.M.; Tsiakas, I. Carbon emissions and stock returns: Evidence from the EU Emissions Trading Scheme. J. Bank. Financ. 2015, 58, 294–308. [Google Scholar] [CrossRef]
  19. Creti, A.; Jouvet, P.A.; Mignon, V. Carbon price drivers: Phase I versus Phase II equilibrium? Energy Econ. 2012, 34, 327–334. [Google Scholar] [CrossRef] [Green Version]
  20. Koch, N. Dynamic linkages among carbon, energy and financial markets: A smooth transition approach. Appl. Econ. 2014, 46, 715–729. [Google Scholar] [CrossRef]
  21. Song, N.; Li, Z.R.; Zeng, S.H. Fluctuation information transmission between carbon market and asset class. Resour. Sci. 2015, 37, 1258–1265. [Google Scholar]
  22. Tan, X.P.; Wang, X.Y. Dependence changes between the carbon price and its fundamentals: A quantile regression approach. Appl. Energy 2017, 190, 306–325. [Google Scholar] [CrossRef]
  23. Ji, Q.; Zhang, D.Y.; Geng, J.B. Information linkage, dynamic spillovers in prices and volatility between the carbon and energy markets. J. Clean. Prod. 2018, 198, 972–978. [Google Scholar] [CrossRef]
  24. Liu, Y.; Yang, X.; Wang, M. Global Transmission of Returns among Financial, Traditional Energy, Renewable Energy and Carbon Markets: New Evidence. Energies 2021, 14, 7286. [Google Scholar] [CrossRef]
  25. Yao, Y.; Tian, L.; Cao, G. The Information Spillover among the Carbon Market, Energy Market, and Stock Market: A Case Study of China’s Pilot Carbon Markets. Sustainability 2022, 14, 4479. [Google Scholar] [CrossRef]
  26. Donges, J.F.; Donner, R.V.; Trauth, M.H.; Marwan, N.; Schellnhuber, H.-J.; Kurths, J. Nonlinear detection of paleoclimate-variability transitions possibly related to human evolution. Proc. Natl. Acad. Sci. USA 2011, 108, 20422–20427. [Google Scholar] [CrossRef] [Green Version]
  27. Donner, R.V.; Small, M.; Donges, J.F.; Marwan, N. Recurrence-based time series analysis by means of complex network methods. Int. J. Bifurc. Chaos 2011, 21, 1019–1046. [Google Scholar] [CrossRef]
  28. Avila, G.R.; Gapelyuk, A.; Marwan, N.; Walther, T.; Stepan, H.; Kurths, J.; Wessel, N. Classification of cardiovascular time series based on different coupling structures using recurrence networks analysis. Philos. Trans. A Math. Phys. Eng. 2013, 371, 20110623. [Google Scholar]
  29. Hou, Y.; Aldrich, C.; Lepkova, K.; Machuca Suarez, L.; Kinsella, B. Analysis of electrochemical noise data by use of recurrence quantification analysis and machine learning methods. Electrochim. Acta 2017, 256, 337–347. [Google Scholar] [CrossRef]
  30. Zachmann, G.; von Hirschhausen, C. First evidence of asymmetric cost pass-through of EU Emissions Allowances: Examining wholesale electricity prices in Germany. Econ. Lett. 2008, 99, 465–469. [Google Scholar] [CrossRef] [Green Version]
  31. Aatola, P.; Ollikainen, M.; Toppinen, A. Impact of the carbon price on the integrating European electricity market. Energy Pol. 2013, 61, 1236–1251. [Google Scholar] [CrossRef]
  32. Fan, X.; Li, S.; Tian, L. Chaotic characteristic identification for carbon price and an multi-layer perceptron network prediction model. Expert Syst. Appl. 2015, 42, 3945–3952. [Google Scholar] [CrossRef]
  33. Gori, F.; Ludovisi, D.; Cerritelli, P.F. Forecast of oil price and consumption in the short term under three scenarios: Parabolic, linear and chaotic behaviour. Energy 2007, 32, 1291–1296. [Google Scholar] [CrossRef]
  34. Kazem, A.; Sharifi, E.; Hussain, F.K.; Saberi, M.; Hussain, O.K. Support vector regression with chaos-based firefly algorithm for stock market price forecasting. Appl. Soft Comput. J. 2013, 13, 947–958. [Google Scholar] [CrossRef]
  35. Fan, G.-F.; Peng, L.-L.; Hong, W.-C. Short term load forecasting based on phase space reconstruction algorithm and bi-square kernel regression model. Appl. Energy 2018, 224, 13–33. [Google Scholar] [CrossRef]
  36. Packard, N.H.; Crutchfield, J.P.; Farmer, J.D.; Shaw, R.S. Geometry from a time series. Phys. Rev. Lett. 1980, 45, 712. [Google Scholar] [CrossRef]
  37. Eroglu, D.; Marwan, N.; Stebich, M.; Kurths, J. Multiplex recurrence networks. Phys. Rev. E 2018, 97, 012312. [Google Scholar] [CrossRef] [Green Version]
  38. Lacasa, L.; Nicosia, V.; Latora, V. Network structure of multivariate time series. Sci. Rep. 2015, 5, 15508. [Google Scholar] [CrossRef] [Green Version]
Figure 1. The construction schematic diagram of delay time-varying recurrence network mapped from multivariate time series ( M = 3 ).
Figure 1. The construction schematic diagram of delay time-varying recurrence network mapped from multivariate time series ( M = 3 ).
Mathematics 10 01829 g001
Figure 2. The measurement flow chart of correlation between systems based on multi-layer recurrence network.
Figure 2. The measurement flow chart of correlation between systems based on multi-layer recurrence network.
Mathematics 10 01829 g002
Figure 3. Numerical simulation results: (a) the numerical simulation data of CML model, (b) the evolution of ω with coupling parameter ε , (c) the numerical simulation data of CML model with noise interference, (d) the evolution of ω with coupling parameter ε of noise interference system.
Figure 3. Numerical simulation results: (a) the numerical simulation data of CML model, (b) the evolution of ω with coupling parameter ε , (c) the numerical simulation data of CML model with noise interference, (d) the evolution of ω with coupling parameter ε of noise interference system.
Mathematics 10 01829 g003
Figure 4. Numerical simulation results: (a) the numerical simulation data of CML model (b) The evolution image of I   with coupling strength ε .
Figure 4. Numerical simulation results: (a) the numerical simulation data of CML model (b) The evolution image of I   with coupling strength ε .
Mathematics 10 01829 g004
Figure 5. Simulation results of measurement index of guidance relationship in the R o ¨ s s l e r system: (a) evolution of variables x 2 and y 2 ; (b) Data evolution diagram of variable x 2 and y 2 of interval segment [4, 13.98] extracted from (a); (c) evolution image of indexes of mutual leading relationship Q τ ω , q τ ω with time delay τ ; (d) evolution image of indexes of mutual leading relationship Q τ I , q τ I with time delay τ .
Figure 5. Simulation results of measurement index of guidance relationship in the R o ¨ s s l e r system: (a) evolution of variables x 2 and y 2 ; (b) Data evolution diagram of variable x 2 and y 2 of interval segment [4, 13.98] extracted from (a); (c) evolution image of indexes of mutual leading relationship Q τ ω , q τ ω with time delay τ ; (d) evolution image of indexes of mutual leading relationship Q τ I , q τ I with time delay τ .
Mathematics 10 01829 g005aMathematics 10 01829 g005b
Figure 6. Price data in Phase-I: (a) Carbon price, (b) Brent crude oil price, (c) S&P 500 index.
Figure 6. Price data in Phase-I: (a) Carbon price, (b) Brent crude oil price, (c) S&P 500 index.
Mathematics 10 01829 g006
Figure 7. Time-delay and embedded-dimension evolution of market data in Phase-I: (a) time-delay, (b) embedded-dimension.
Figure 7. Time-delay and embedded-dimension evolution of market data in Phase-I: (a) time-delay, (b) embedded-dimension.
Mathematics 10 01829 g007
Figure 8. Dynamic linkage and mutual leading relationship of three markets in Phase-I: (a) the evolution of correlation index w over time t between three markets; (b) the evolution of leading relationship index Q τ w ,   q τ w over time delay τ of Carbon-Energy market; (c) the evolution of leading relationship index Q τ w ,   q τ w over time delay τ of Carbon-Financial market; (d) the evolution of leading relationship index Q τ w ,   q τ w over time delay τ of Energy-Financial market.
Figure 8. Dynamic linkage and mutual leading relationship of three markets in Phase-I: (a) the evolution of correlation index w over time t between three markets; (b) the evolution of leading relationship index Q τ w ,   q τ w over time delay τ of Carbon-Energy market; (c) the evolution of leading relationship index Q τ w ,   q τ w over time delay τ of Carbon-Financial market; (d) the evolution of leading relationship index Q τ w ,   q τ w over time delay τ of Energy-Financial market.
Mathematics 10 01829 g008
Figure 9. Price data in Phase-II: (a) Carbon price, (b) Brent crude oil price, (c) S&P 500 index.
Figure 9. Price data in Phase-II: (a) Carbon price, (b) Brent crude oil price, (c) S&P 500 index.
Mathematics 10 01829 g009
Figure 10. Time-delay and embedded-dimension evolution of market data in Phase-II: (a) time-delay, (b) embedded-dimension.
Figure 10. Time-delay and embedded-dimension evolution of market data in Phase-II: (a) time-delay, (b) embedded-dimension.
Mathematics 10 01829 g010
Figure 11. Dynamic linkage and mutual leading relationship of three markets in Phase-II: (a) the evolution of correlation index w over time t between three markets; (b) the evolution of leading relationship index Q τ w ,   q τ w over time delay τ of Carbon-Energy market; (c) the evolution of leading relationship index Q τ w ,   q τ w over time delay τ of Carbon-Financial market; (d) the evolution of leading relationship index Q τ w ,   q τ w over time delay τ of Energy-Financial market.
Figure 11. Dynamic linkage and mutual leading relationship of three markets in Phase-II: (a) the evolution of correlation index w over time t between three markets; (b) the evolution of leading relationship index Q τ w ,   q τ w over time delay τ of Carbon-Energy market; (c) the evolution of leading relationship index Q τ w ,   q τ w over time delay τ of Carbon-Financial market; (d) the evolution of leading relationship index Q τ w ,   q τ w over time delay τ of Energy-Financial market.
Mathematics 10 01829 g011
Figure 12. Price data in Phase-III: (a) Carbon price, (b) Brent crude oil price, (c) S&P 500 index.
Figure 12. Price data in Phase-III: (a) Carbon price, (b) Brent crude oil price, (c) S&P 500 index.
Mathematics 10 01829 g012
Figure 13. Time-delay and embedded-dimension evolution of market data in Phase-III: (a) time-delay, (b) embedded-dimension.
Figure 13. Time-delay and embedded-dimension evolution of market data in Phase-III: (a) time-delay, (b) embedded-dimension.
Mathematics 10 01829 g013
Figure 14. Dynamic linkage and mutual leading relationship of three markets in Phase-III: (a) the evolution of correlation index w over time t between three markets; (b) the evolution of leading relationship index Q τ w ,   q τ w over time delay τ of Carbon-Energy market; (c) the evolution of leading relationship index Q τ w ,   q τ w over time delay τ of Carbon-Financial market; (d) the evolution of leading relationship index Q τ w ,   q τ w over time delay τ of Energy-Financial market.
Figure 14. Dynamic linkage and mutual leading relationship of three markets in Phase-III: (a) the evolution of correlation index w over time t between three markets; (b) the evolution of leading relationship index Q τ w ,   q τ w over time delay τ of Carbon-Energy market; (c) the evolution of leading relationship index Q τ w ,   q τ w over time delay τ of Carbon-Financial market; (d) the evolution of leading relationship index Q τ w ,   q τ w over time delay τ of Energy-Financial market.
Mathematics 10 01829 g014
Figure 15. Recurrence network structure and linkage relationship of three markets in different periods.
Figure 15. Recurrence network structure and linkage relationship of three markets in different periods.
Mathematics 10 01829 g015
Table 1. The descriptive statistical results of sample data in Phase-I.
Table 1. The descriptive statistical results of sample data in Phase-I.
IndexCarbon PriceBrent PriceS&P 500 Price
mean15.10450 95.95317 1214.53100
maximum27.51000 144.49000 1465.77000
minimum5.72000 39.55000 676.53000
SD5.76818 21.37401 154.12470
skewness0.05063 −0.56971 −0.79530
kurtosis1.87195 2.60877 3.46982
JB test51.52350 *58.29570 *110.48760 *
ADF test−1.57482
(−3.43694)
−2.22421
(−3.43692)
−1.53197
(−3.43692)
* represents the result at the 1% significance level.
Table 2. The descriptive statistical results of sample data in Phase-II.
Table 2. The descriptive statistical results of sample data in Phase-II.
IndexCarbon PriceBrent PriceS&P 500 Price
mean12.1774567.565222382.78400
maximum33.44000118.900003756.07000
minimum2.7000019.330001457.15000
SD8.7949824.32296528.80480
skewness0.801180.649500.39965
kurtosis1.949352.258552.28218
JB test306.56540 186.80310 *96.37182 *
ADF test−0.01367
(−3.43342)
−1.80228
(−3.43342)
−0.36450
(−3.43343)
* represents the result at the 1% significance level.
Table 3. The descriptive statistical results of sample data in Phase-III.
Table 3. The descriptive statistical results of sample data in Phase-III.
IndexCarbon PriceBrent PriceS&P 500 Price
mean51.0851170.628214235.71100
maximum75.2600086.400004706.64000
minimum31.7400051.090003700.65000
SD9.929818.05240270.56520
skewness−0.17242−0.07431−0.18273
kurtosis2.279492.526691.99184
JB test6.08803 *2.34831 *10.97251 *
ADF test−0.14973
(−3.45897)
−2.46715
(−3.45897)
−1.58524
(−3.45897)
* represents the result at the 1% significance level.
Publisher’s Note: MDPI stays neutral with regard to jurisdictional claims in published maps and institutional affiliations.

Share and Cite

MDPI and ACS Style

Wang, M.; Hua, C.; Xu, H. Dynamic Linkages among Carbon, Energy and Financial Markets: Multiplex Recurrence Network Approach. Mathematics 2022, 10, 1829. https://doi.org/10.3390/math10111829

AMA Style

Wang M, Hua C, Xu H. Dynamic Linkages among Carbon, Energy and Financial Markets: Multiplex Recurrence Network Approach. Mathematics. 2022; 10(11):1829. https://doi.org/10.3390/math10111829

Chicago/Turabian Style

Wang, Minggang, Chenyu Hua, and Hua Xu. 2022. "Dynamic Linkages among Carbon, Energy and Financial Markets: Multiplex Recurrence Network Approach" Mathematics 10, no. 11: 1829. https://doi.org/10.3390/math10111829

APA Style

Wang, M., Hua, C., & Xu, H. (2022). Dynamic Linkages among Carbon, Energy and Financial Markets: Multiplex Recurrence Network Approach. Mathematics, 10(11), 1829. https://doi.org/10.3390/math10111829

Note that from the first issue of 2016, this journal uses article numbers instead of page numbers. See further details here.

Article Metrics

Back to TopTop