An Equity-Based Optimization Model to Solve the Location Problem for Healthcare Centers Applied to Hospital Beds and COVID-19 Vaccination
Abstract
:1. Introduction and State-of-the-Art
1.1. Introductory Aspects
1.2. Bibliographical Review
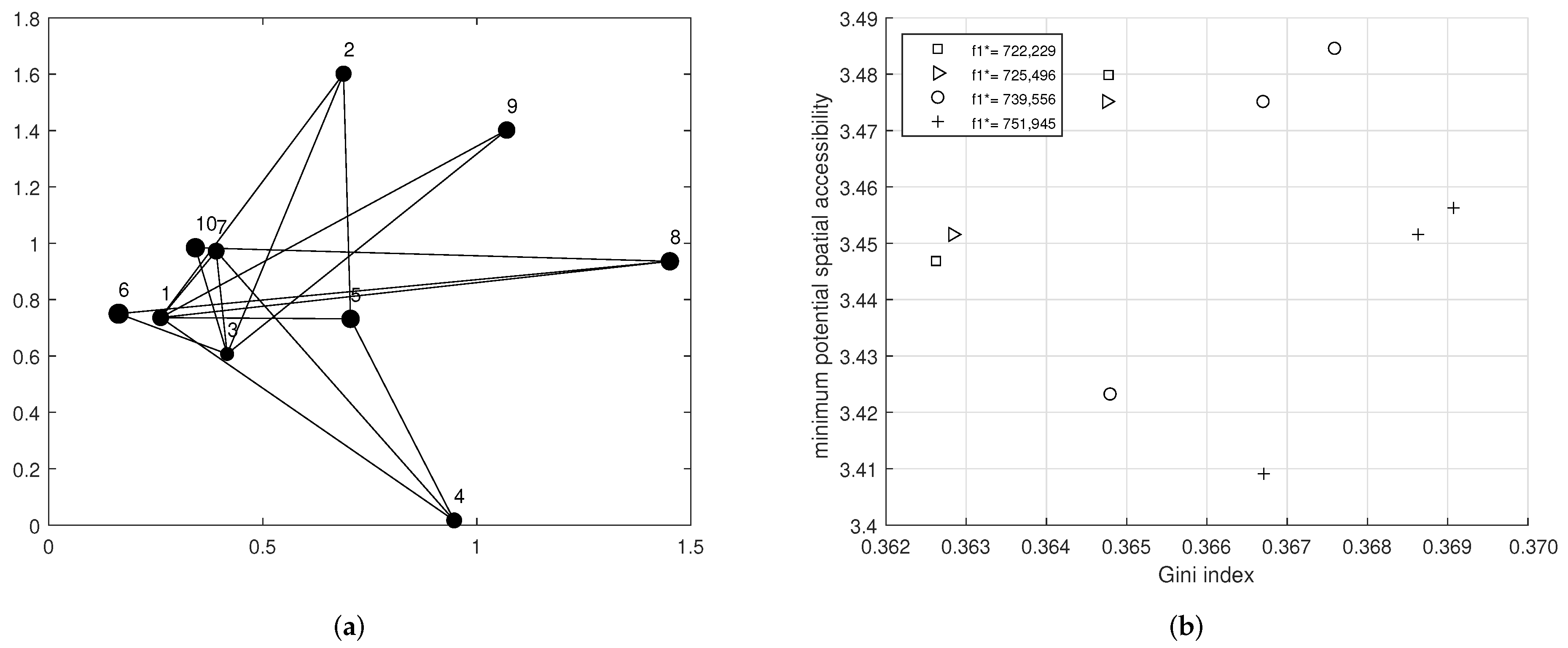
1.3. Illustrative Example
1.4. Contributions and Description of Sections
2. Mathematical Model
2.1. Notations and Symbols
2.2. Objective Functions
- (i)
- Coverage. Maximize the coverage of the demand points, that is, maximize an efficiency criterion given bywith n, and being defined in Table 1.
- (ii)
- Equity. Minimize inequity in access to healthcare centers. For this purpose, we use the Gini index as an inequity measure [51], which is defined as one-half of the relative mean absolute difference between all pairs of potential spatial accessibility (a measure of the potential use of the healthcare center) , with , that is, one-half of the mean absolute difference between all pairs of potential spatial accessibility divided by the average of the values of a. Specifically, to minimize inequity in access to healthcare centers, we formulate the objective function given bywith n and being defined in Table 1.
- (iii)
- Accessibility. The third objective incorporated into our model is focused on maximizing the minimum potential spatial accessibility difference to zero and is stated aswith N and being defined in Table 1.
2.3. Constraints
3. Solution Algorithm for the Three-Objective Optimization Model
3.1. -Constraint Approach
3.2. Algorithm
| Algorithm 1-constraint approach for obtaining the Pareto optimal set of the multi-objective mathematical model |
![]() |
4. Numerical Results
4.1. Simulation Algorithm
- Upper limit on the horizontal axis and the vertical axis.
- Number of inhabitants who may require healthcare.
- Real number between 0 and 1 that allows us to determine the radius of the interval to generate the demand of the zones.
- Real number between 0 and 1 that permits us to state the radius of the interval for the total zone demand.
- Set of possible values for k.
- Upper limit for .
- Lower limit for .
- A random variable with a continuous uniform distribution in , denoted as U.
| Algorithm 2 Simulation algorithm for generating instances of the location problem for healthcare centers |
![]() |
| Algorithm 3 Approach for solving instances of the location problem for healthcare centers using a database-sensor. |
|
4.2. Application Example
4.3. Computational Burden
5. Conclusions, Limitations, and Future Research
5.1. Concluding Remarks
5.2. Limitations and Future Research
Author Contributions
Funding
Institutional Review Board Statement
Informed Consent Statement
Data Availability Statement
Acknowledgments
Conflicts of Interest
References
- Neutens, T. Accessibility, equity and health care: Review and research directions for transport geographers. J. Transp. Geogr. 2015, 43, 14–27. [Google Scholar] [CrossRef]
- Cabezas, X.; Martin-Barreiro, C.; Garcia, S.; Delgado, E.; Leiva, V. A two-stage location problem with order solved using a Lagrangian algorithm and stochastic programming for a potential use in COVID-19 vaccination based on sensor-related data. Sensors 2021, 21, 5352. [Google Scholar] [CrossRef] [PubMed]
- Rojas, F.; Leiva, V.; Wanke, P.; Lillo, C.; Pascual, J. Modeling lot-size with time-dependent demand based on stochastic programming and case study of drug supply in Chile. PLoS ONE 2019, 14, e0212768. [Google Scholar] [CrossRef] [PubMed] [Green Version]
- Aday, L.; Andersen, R. A framework for the study of access to medical care. Health Serv. Res. 1974, 9, 208–220. [Google Scholar]
- Luo, W.; Wang, F. Measures of spatial accessibility to health care in a GIS environment: Synthesis and a case study in the Chicago region. Environ. Plan. B 2003, 30, 865–884. [Google Scholar] [CrossRef] [Green Version]
- Daskin, M.; Dean, L. Location of health care facilities. Oper. Res. Health Care 2005, 70, 43–76. [Google Scholar]
- Carr, B.G.; Branas, C.C.; Metlay, J.P.; Sullivan, A.F.; Camargo, C.A.J. Access to emergency care in the United States. Ann. Emerg. Med. 2009, 54, 261–269. [Google Scholar] [CrossRef] [Green Version]
- Culyer, A.J. Efficiency, Equity and Equality in Health and Health Care; Working Papers 120cherp; Centre for Health Economics, University of York: York, UK, 2015. [Google Scholar]
- Dai, D. Black residential segregation, disparities in spatial access to health care facilities, and late-stage breast cancer diagnosis in metropolitan Detroit. Health Place 2010, 16, 1038–1052. [Google Scholar] [CrossRef]
- Hiscock, R.; Pearce, J.; Blakely, T.; Witten, K. Is neighborhood access to health care provision associated with individual-level utilization and satisfaction? Health Serv. Res. 2008, 43, 2183–2200. [Google Scholar] [CrossRef] [Green Version]
- Commission on Social Determinants of Health. Closing the Gap in a Generation: Health Equity through Action on the Social Determinants of Health; Technical Report; World Health Organisation: Geneva, Switzerland, 2008. [Google Scholar]
- Meyer, S.B.; Luong, T.C.; Mamerow, L.; Ward, P.R. Inequities in access to healthcare: Analysis of national survey data across six Asia-Pacific countries. BMC Health Serv. Res. 2013, 13, 238. [Google Scholar] [CrossRef] [Green Version]
- Higgs, G. A literature review of the use of GIS-based measures of access to health care services. Health Serv. Outcomes Res. Methodol. 2004, 5, 119–139. [Google Scholar] [CrossRef]
- Boisjoly, G.; Deboosere, R.; Wasfi, R.; Orpana, H.; Manaugh, K.; Buliung, R.; El-Geneidy, A. Measuring accessibility to hospitals by public transport: An assessment of eight Canadian metropolitan regions. J. Transp. Health 2020, 18, 100916. [Google Scholar] [CrossRef]
- Mao, L.; Nekorchuk, D. Measuring spatial accessibility to healthcare for populations with multiple transportation modes. Health Place 2013, 24, 115–122. [Google Scholar] [CrossRef] [PubMed]
- Wang, X.; Yang, H.; Duan, Z.; Pan, J. Spatial accessibility of primary health care in China: A case study in Sichuan province. Soc. Sci. Med. 2018, 209, 14–24. [Google Scholar] [CrossRef]
- Nunes, B.P.; Thumé, E.; Tomasi, E.; Duro, S.M.S.; Facchini, L.A. Socioeconomic inequalities in the access to and quality of health care services. Rev. Saúde Pública 2014, 48, 968–976. [Google Scholar] [CrossRef]
- National Research Council (US) Committee on Future Directions for Behavioral and Social Sciences Research at the National Institutes of Health. The Influence of Inequality on Health Outcomes. In New Horizons in Health; Singer, B., Ryff, C., Eds.; National Academies Press: Washington, DC, USA, 2001; Chapter 7. [Google Scholar]
- Cocking, C.; Flessa, S.; Reinelt, G. Improving access to health facilities in Nouna district, Burkina Faso. Socio-Econ. Plan. Sci. 2012, 46, 164–172. [Google Scholar] [CrossRef]
- Galvao, R.D.; Acosta Espejo, L.G.; Boffey, B. A hierarchical model for the location of perinatal facilities in the municipality of Rio de Janeiro. Eur. J. Oper. Res. 2002, 138, 495–517. [Google Scholar] [CrossRef]
- Mestre, A.M.; Oliveira, M.D.; Barbosa-Póvoa, A. Organizing hospitals into networks: A hierarchical and multiservice model to define location, supply and referrals in planned hospital systems. Spectrum 2012, 34, 319–348. [Google Scholar] [CrossRef]
- Ghaderi, A.; Jabalameli, M.S. Modeling the budget-constrained dynamic uncapacitated facility location–network design problem and solving it via two efficient heuristics: A case study of health care. Math. Comput. Model. 2013, 57, 382–400. [Google Scholar] [CrossRef]
- Stummer, C.; Doerner, K.; Focke, A.; Heidenberger, K. Determining location and size of medical departments in a hospital network: A multiobjective decision support approach. Health Care Manag. Sci. 2004, 7, 63–71. [Google Scholar] [CrossRef]
- Gunes, E.; Yaman, H.; Cekyay, B.; Verter, V. Matching patient and physician preferences in designing a primary care facility network. J. Oper. Res. Soc. 2014, 65, 483–496. [Google Scholar] [CrossRef]
- Luo, W.; Wang, F. Spatial accessibility to primary care and physician shortage area designation: A case study in Illinois with GIS approaches. In Geographic Information Systems and Health Applications; Khan, O.A., Skinner, R., Eds.; IGI Global: Hershey, PA, USA, 2003; pp. 261–279. [Google Scholar]
- Shi, X.; Alford-Teaster, J.; Onega, T.; Wang, D. Spatial access and local demand for major cancer care facilities in the United States. Ann. Assoc. Am. Geogr. 2012, 102, 1125–1134. [Google Scholar] [CrossRef]
- Griffin, P.M.; Scherrer, C.R.; Swann, J.L. Optimization of community health center locations and service offerings with statistical need estimation. IIE Trans. 2008, 40, 880–892. [Google Scholar] [CrossRef]
- Smith, H.K.; Harper, P.R.; Potts, C.N. Bicriteria efficiency/equity hierarchical location models for public service application. J. Oper. Res. Soc. 2013, 64, 500–512. [Google Scholar] [CrossRef]
- Bhattacharya, U.; Rao, J.; Tiwari, R. Bi-criteria multi facility location problem in fuzzy environment. Fuzzy Sets Syst. 1993, 56, 145–153. [Google Scholar] [CrossRef]
- Farahani, R.Z.; SteadieSeifi, M.; Asgari, N. Multiple criteria facility location problems: A survey. Appl. Math. Model. 2010, 34, 1689–1709. [Google Scholar] [CrossRef]
- Dupin, N.; Nielsen, F.; Talbi, E.G. Unified polynomial dynamic programming algorithms for p-center variants in a 2D Pareto front. Mathematics 2021, 9, 453. [Google Scholar] [CrossRef]
- Khodaparasti, S.; Maleki, H.R.; Bruni, M.E.; Jahedi, S.; Beraldi, P.; Conforti, D. Balancing efficiency and equity in location-allocation models with an application to strategic EMS design. Optim. Lett. 2016, 10, 1053–1070. [Google Scholar] [CrossRef]
- Zhang, W.; Cao, K.; Liu, S.; Huang, B. A multi-objective optimization approach for health-care facility location-allocation problems in highly developed cities such as Hong Kong. Comput. Environ. Urban Syst. 2016, 59, 220–230. [Google Scholar] [CrossRef]
- Zhou, L.; Geng, N.; Jiang, Z.; Wang, X. Multi-objective capacity allocation of hospital wards combining revenue and equity. Omega 2018, 81, 220–233. [Google Scholar] [CrossRef]
- Dogan, K.; Karatas, M.; Yakici, E. A model for locating preventive health care facilities. Cent. Eur. J. Oper. Res. 2020, 28, 164–172. [Google Scholar] [CrossRef]
- Drezner, Z.; Thisse, J.F.; Wesolowsky, G.O. The minimax-min location problem. J. Reg. Sci. 1986, 26, 87–101. [Google Scholar] [CrossRef]
- Maimon, O. The variance equity measure in locational decision theory. Ann. Oper. Res. 1986, 6, 147–160. [Google Scholar] [CrossRef]
- Eiselt, H.; Laporte, G. Objectives in location problems. In Facility Location: A Survey of Application and Method; Drezner, Z., Ed.; Springer: New York, NY, USA, 1995. [Google Scholar]
- Ogryczak, W. Inequality measures and equitable approaches to location problems. Eur. J. Oper. Res. 2000, 122, 374–391. [Google Scholar] [CrossRef]
- Wang, F.; Zhou, K.; Wang, M.; Wang, Q. The impact analysis of land features to JL1-3B nighttime light data at parcel level: Illustrated by the case of Changchun, China. Sensors 2020, 20, 5447. [Google Scholar] [CrossRef]
- Lay, U.S.; Pradhan, B.; Yusoff, Z.B.M.; Abdallah, A.F.B.; Aryal, J.; Park, H.J. Data mining and statistical approaches in debris-flow susceptibility modelling using airborne LiDAR data. Sensors 2019, 19, 3451. [Google Scholar] [CrossRef] [Green Version]
- Luque-Nieto, M.Á.; Moreno-Roldán, J.M.; Otero, P.; Poncela, J. Optimal scheduling and fair service policy for STDMA in underwater networks with acoustic communications. Sensors 2018, 18, 612. [Google Scholar] [CrossRef] [Green Version]
- Rojas, F.; Leiva, V.; Huerta, M.; Martin-Barreiro, C. Lot-size models with uncertain demand considering its skewness/kurtosis and stochastic programming applied to hospital pharmacy with sensor-related COVID-19 data. Sensors 2021, 21, 5198. [Google Scholar] [CrossRef]
- Cortes-Carvajal, P.D.; Cubilla-Montilla, M.; Gonzalez-Cortes, D.R. Estimation of the instantaneous reproduction number and its confidence interval for modeling the COVID-19 pandemic. Mathematics 2021, 10, 287. [Google Scholar] [CrossRef]
- Alkadya, W.; ElBahnasy, K.; Leiva, V.; Gad, W. Classifying COVID-19 based on amino acids encoding with machine learning algorithms. Chemom. Intell. Lab. Syst. 2022, 224, 104535. [Google Scholar] [CrossRef]
- Xu, J.; Tang, Y. Bayesian framework for multi-wave COVID-19 epidemic analysis using empirical vaccination data. Mathematics 2021, 10, 21. [Google Scholar] [CrossRef]
- Hsu, W.L.; Nemhauser, G. Easy and hard bottleneck location problems. Discret. Appl. Math. 1979, 1, 209–215. [Google Scholar] [CrossRef] [Green Version]
- Hochbaum, D. When are NP-hard location problems easy? Oper. Res. 1984, 1, 201–214. [Google Scholar] [CrossRef]
- Megiddo, N.; Tamir, A.; Dupin, N.; Nielsen, F.; Talbi, E.G. New results on the complexity of p-centre problems. SIAM J. Comput. 1983, 12, 751–758. [Google Scholar] [CrossRef] [Green Version]
- Chen, D.; Li, J.; Wang, H. Efficient algorithms for the one-dimensional k-center problem. Theor. Comput. Sci. 2015, 592, 135–142. [Google Scholar] [CrossRef]
- Gini, C. Variabilita e Mutuabilita. Contributo allo Studio delle Distribuzioni e delle Relazioni Statistiche; [Fasc. I.]; Tipogr. di P. Cuppini: Bologna, Italy, 1912. [Google Scholar]
- Marler, R.T.; Arora, J.S. Survey of multi-objective optimization methods for engineering. Struct. Multidiscip. Optim. 2004, 26, 369–395. [Google Scholar] [CrossRef]
- World Bank Group. Hospital Beds per 1000 Habitants. Available online: https://data.worldbank.org/indicator/SH.MED.BEDS.ZS?name_desc=true (accessed on 9 August 2021).
- Calik, H.; Tansel, B. Double bound method for solving the p-center location problem. Comput. Oper. Res. 2013, 40, 2991–2999. [Google Scholar] [CrossRef] [Green Version]
- Elloumi, S.; Labbé, M.; Pochet, Y. A new formulation and resolution method for the p-center problem. INFORMS J. Comput. 2004, 16, 84–94. [Google Scholar] [CrossRef] [Green Version]
and
sketching a zone discrete center and a center location, respectively.
and
sketching a zone discrete center and a center location, respectively.
sketching a discrete center whose diameter is proportional to the demand for healthcare centers in the indicated zone.
sketching a discrete center whose diameter is proportional to the demand for healthcare centers in the indicated zone.

and
sketching a zone discrete center and a healthcare center location, respectively.
and
sketching a zone discrete center and a healthcare center location, respectively.
and
sketching a zone discrete center and a healthcare center location, respectively.
and
sketching a zone discrete center and a healthcare center location, respectively.
sketching a discrete center whose diameter is proportional to the demand for healthcare centers in the indicated zone; and the indicated optimum coverage level .
sketching a discrete center whose diameter is proportional to the demand for healthcare centers in the indicated zone; and the indicated optimum coverage level .

| Acronym | |
|---|---|
| Notation/Symbol | Definition |
| Sets | |
| Set of demand zones. | |
| Set of potential locations for a healthcare center. | |
| Parameters | |
| k | Number of healthcare facilities to be installed. |
| D | Threshold of travel distance (or travel time). |
| Demand of zone i. | |
| Distance between zone i and zone j. | |
| Minimum (maximum) supply of a healthcare center measured in terms of hospital bed units. | |
| Minimum (maximum) hospital bed index measured in terms of hospital bed units per 1000 inhabitants. | |
| B | A big number. |
| Decision variables | |
| One (1) if a healthcare center is located at j, and zero (0) otherwise. | |
| One (1) if the demand zone i is covered by the healthcare center, that is, there is at least one operational healthcare center located at most D of zone i), and zero (0) otherwise. | |
| Supply of healthcare center located at zone j measured in terms of hospital beds. | |
| Potential spatial accessibility of zone i measured in terms of hospital beds. | |
| Supply-to-population ratio within the coverage zone of the healthcare center j measured in terms of hospital beds per inhabitants. | |
| , | Auxiliary variables. |
| k | Scenario | (Hospital Beds/ 1000 Inhabitants) | Coverage (Inhabitants) | Healthcare Supply (Hospital Beds by Zone) | Total (Hospital Beds) | ||||||||||
|---|---|---|---|---|---|---|---|---|---|---|---|---|---|---|---|
| 1 | 2 | 3 | 4 | 5 | 6 | 7 | 8 | 9 | 10 | ||||||
| 3 | 3–1 | 0.707400 | 2.78100 | 315,742 | 0 | 0 | 0 | 0 | 400 | 0 | 395 | 250 | 0 | 0 | 1045 |
| 3–2 | 0.401325 | 1.94052 | 597,625 | 0 | 0 | 400 | 0 | 0 | 0 | 362 | 0 | 399 | 0 | 1161 | |
| 3–3 | 0.401325 | 1.79220 | 633,727 | 0 | 0 | 347 | 0 | 0 | 400 | 0 | 0 | 400 | 0 | 1147 | |
| 3–4 | 0.330100 | 1.32870 | 708,572 | 400 | 0 | 0 | 0 | 0 | 350 | 0 | 297 | 0 | 0 | 1047 | |
| 3–5 | 0.212675 | 1.25454 | 803,882 | 400 | 0 | 0 | 0 | 0 | 0 | 250 | 0 | 0 | 400 | 1050 | |
| 3–6 | 0.214600 | 1.24218 | 807,832 | 400 | 0 | 0 | 400 | 0 | 0 | 250 | 0 | 0 | 0 | 1050 | |
| 3–7 | 0.166475 | 0.97026 | 915,367 | 0 | 0 | 400 | 0 | 0 | 0 | 251 | 0 | 0 | 394 | 1045 | |
| 4 | 4–1 | 0.301225 | 1.94052 | 727,037 | 0 | 0 | 400 | 0 | 252 | 0 | 362 | 0 | 399 | 0 | 1413 |
| 4–2 | 0.201125 | 1.79220 | 820,057 | 0 | 0 | 344 | 0 | 0 | 400 | 337 | 0 | 400 | 0 | 1481 | |
| 4–3 | 0.237700 | 1.32870 | 837,984 | 400 | 0 | 0 | 0 | 250 | 298 | 250 | 0 | 0 | 0 | 1198 | |
| 4–4 | 0.110650 | 1.25454 | 915,367 | 0 | 0 | 250 | 0 | 0 | 0 | 250 | 0 | 275 | 400 | 1175 | |
| 4–5 | 0.151075 | 1.25454 | 933,294 | 400 | 0 | 0 | 0 | 250 | 0 | 252 | 0 | 0 | 400 | 1302 | |
| 4–6 | 0.153000 | 1.24218 | 937,244 | 400 | 0 | 0 | 400 | 250 | 0 | 251 | 0 | 0 | 0 | 1301 | |
| 4–7 | 0.114500 | 0.97026 | 1,044,779 | 0 | 0 | 0 | 0 | 250 | 0 | 252 | 0 | 400 | 400 | 1302 | |
| 5 | 5–1 | 0.337800 | 1.80456 | 729,037 | 0 | 250 | 343 | 0 | 0 | 263 | 0 | 0 | 400 | 400 | 1656 |
| 5–2 | 0.339725 | 1.92198 | 729,037 | 0 | 262 | 394 | 0 | 0 | 297 | 0 | 0 | 399 | 400 | 1752 | |
| 5–3 | 0.341650 | 1.94052 | 729,037 | 0 | 269 | 400 | 0 | 0 | 285 | 0 | 0 | 399 | 400 | 1753 | |
| 5–4 | 0.343575 | 2.14446 | 729,037 | 352 | 0 | 0 | 377 | 0 | 260 | 0 | 0 | 400 | 310 | 1699 | |
| 5–5 | 0.345500 | 2.21244 | 729,037 | 372 | 0 | 0 | 399 | 0 | 276 | 0 | 0 | 400 | 309 | 1756 | |
| 5–6 | 0.106800 | 1.79220 | 949,469 | 0 | 0 | 343 | 0 | 250 | 400 | 336 | 0 | 399 | 0 | 1728 | |
| 5–7 | 0.052900 | 1.25454 | 1,044,779 | 0 | 0 | 302 | 0 | 250 | 0 | 250 | 0 | 250 | 400 | 1452 | |
| 6 | 6–1 | 0.339725 | 2.49054 | 729,037 | 371 | 0 | 267 | 397 | 0 | 274 | 0 | 0 | 250 | 400 | 1959 |
| 6–2 | 0.245400 | 2.17536 | 858,449 | 362 | 0 | 400 | 388 | 282 | 268 | 0 | 0 | 0 | 309 | 2009 | |
| 6–3 | 0.247325 | 2.21244 | 858,449 | 372 | 0 | 400 | 400 | 287 | 277 | 0 | 0 | 0 | 308 | 2044 | |
| 6–4 | 0.145300 | 2.10738 | 915,367 | 341 | 0 | 0 | 366 | 0 | 253 | 0 | 393 | 400 | 309 | 2062 | |
| 6–5 | 0.147225 | 2.13210 | 915,367 | 348 | 0 | 0 | 374 | 0 | 258 | 0 | 400 | 400 | 309 | 2089 | |
| 6–6 | 0.158775 | 1.34724 | 949,469 | 250 | 0 | 306 | 0 | 278 | 400 | 0 | 400 | 250 | 0 | 1884 | |
| 6–7 | 0.160700 | 1.39050 | 949,469 | 250 | 0 | 250 | 0 | 278 | 400 | 400 | 0 | 324 | 0 | 1902 | |
| 6–8 | 0.162625 | 1.43994 | 949,469 | 250 | 0 | 250 | 0 | 277 | 400 | 400 | 0 | 343 | 0 | 1920 | |
| 6–9 | 0.164550 | 1.48938 | 949,469 | 250 | 0 | 363 | 0 | 278 | 400 | 400 | 0 | 250 | 0 | 1941 | |
| 6–10 | 0.166475 | 1.79220 | 949,469 | 0 | 0 | 400 | 0 | 252 | 400 | 250 | 250 | 400 | 0 | 1952 | |
| 6–11 | 0.047125 | 1.25454 | 1,044,779 | 310 | 0 | 0 | 250 | 260 | 0 | 374 | 0 | 400 | 399 | 1993 | |
| 6–12 | 0.087550 | 1.32870 | 1,044,779 | 400 | 274 | 0 | 400 | 252 | 400 | 363 | 0 | 0 | 0 | 2089 | |
| Scenario | Coverage | GI | Potential Spatial Accessibility (Hospital Beds by Zone/1000 Inhabitants) | MPSA | |||||||||
|---|---|---|---|---|---|---|---|---|---|---|---|---|---|
| 1 | 2 | 3 | 4 | 5 | 6 | 7 | 8 | 9 | 10 | ||||
| 3–1 | 315,742 | 0.70740 | 0 | 0 | 0 | 0 | 3.0909 | 0 | 3.4616 | 3.4616 | 0 | 0 | 3.0909 |
| 3–2 | 597,625 | 0.40001 | 1.9426 | 1.9426 | 1.9426 | 0 | 0 | 0 | 1.9428 | 1.9428 | 1.9426 | 0 | 1.9426 |
| 3–3 | 633,727 | 0.40132 | 1.8162 | 1.8162 | 1.8162 | 0 | 0 | 1.7983 | 0 | 0 | 1.8162 | 1.7983 | 1.7983 |
| 3–4 | 708,572 | 0.32976 | 1.3342 | 0 | 1.3342 | 0 | 0 | 1.5735 | 1.5939 | 1.5939 | 1.3342 | 1.5735 | 1.3342 |
| 3–5 | 803,882 | 0.21166 | 1.3342 | 0 | 1.3342 | 1.2589 | 0 | 1.2589 | 1.3417 | 1.3417 | 1.3342 | 1.2589 | 1.2589 |
| 3–6 | 807,832 | 0.21394 | 1.3342 | 1.2434 | 1.3342 | 1.2434 | 0 | 0 | 1.3417 | 1.3417 | 1.3342 | 1.2434 | 1.2434 |
| 3–7 | 915,367 | 0.16646 | 0.9725 | 0.9725 | 0.9725 | 1.2400 | 0 | 1.2400 | 1.3471 | 1.3471 | 0.9725 | 1.2400 | 0.9725 |
| 4–1 | 727,037 | 0.30021 | 1.9426 | 1.9426 | 1.9426 | 0 | 1.9473 | 0 | 1.9428 | 1.9428 | 1.9426 | 0 | 1.9426 |
| 4–2 | 820,057 | 0.20089 | 1.8089 | 1.8089 | 1.8089 | 0 | 0 | 1.7983 | 1.8086 | 1.8086 | 1.8089 | 1.7983 | 1.7983 |
| 4–3 | 837,984 | 0.23756 | 1.3342 | 0 | 1.3342 | 0 | 1.9318 | 1.3397 | 1.3417 | 1.3417 | 1.3342 | 1.3397 | 1.3342 |
| 4–4 | 915,367 | 0.11063 | 1.2765 | 1.2765 | 1.2765 | 1.2589 | 0 | 1.2589 | 1.3417 | 1.3417 | 1.2765 | 1.2589 | 1.2589 |
| 4–5 | 933,294 | 0.15089 | 1.3342 | 0 | 1.3342 | 1.2589 | 1.9318 | 1.2589 | 1.3524 | 1.3524 | 1.3342 | 1.2589 | 1.2589 |
| 4–6 | 937,244 | 0.15295 | 1.3342 | 1.2434 | 1.3342 | 1.2434 | 1.9318 | 0 | 1.3471 | 1.3471 | 1.3342 | 1.2434 | 1.2434 |
| 4–7 | 1,044,779 | 0.11421 | 0.9725 | 0.9725 | 0.9725 | 1.2589 | 1.9318 | 1.2589 | 1.3524 | 1.3524 | 0.9725 | 1.2589 | 0.9725 |
| 5–1 | 729,037 | 0.33775 | 1.8065 | 2.4422 | 2.4422 | 1.8946 | 0 | 2.4413 | 0 | 0 | 2.4422 | 2.4413 | 1.8065 |
| 5–2 | 729,037 | 0.33971 | 1.9281 | 2.5943 | 2.5943 | 1.9251 | 0 | 2.5941 | 0 | 0 | 2.5943 | 2.5941 | 1.9251 |
| 5–3 | 729,037 | 0.34162 | 1.9426 | 2.6266 | 2.6266 | 1.9429 | 0 | 2.5402 | 0 | 0 | 2.6266 | 2.5402 | 1.9426 |
| 5–4 | 729,037 | 0.34350 | 2.1466 | 2.1445 | 2.1466 | 2.1476 | 0 | 2.1445 | 0 | 0 | 2.1466 | 3.3165 | 2.1445 |
| 5–5 | 729,037 | 0.34451 | 2.2133 | 2.2129 | 2.2133 | 2.2128 | 0 | 2.2133 | 0 | 0 | 2.2133 | 3.4536 | 2.2128 |
| 5–6 | 949,469 | 0.10677 | 1.8041 | 1.8041 | 1.8041 | 0 | 1.9318 | 1.7983 | 1.8033 | 1.8033 | 1.8041 | 1.7983 | 1.7983 |
| 5–7 | 1,044,779 | 0.05128 | 1.3421 | 1.3421 | 1.3421 | 1.2589 | 1.9318 | 1.2589 | 1.3417 | 1.3417 | 1.3421 | 1.2589 | 1.2589 |
| 6–1 | 729,037 | 0.33972 | 2.4945 | 2.4911 | 2.4945 | 2.4930 | 0 | 2.4907 | 0 | 0 | 2.4945 | 3.7248 | 2.4907 |
| 6–2 | 858,449 | 0.24536 | 2.1800 | 2.1787 | 2.1800 | 2.1786 | 2.1791 | 2.1773 | 0 | 0 | 2.1800 | 3.3835 | 2.1773 |
| 6–3 | 858,449 | 0.24614 | 2.2133 | 2.2160 | 2.2133 | 2.2128 | 2.2177 | 2.2147 | 0 | 0 | 2.2133 | 3.4581 | 2.2128 |
| 6–4 | 91,536 | 0.14529 | 2.1099 | 2.1103 | 2.1099 | 2.1102 | 0 | 2.1099 | 2.1092 | 2.1092 | 2.1099 | 3.2476 | 2.1092 |
| 6–5 | 91,536 | 0.14629 | 2.1333 | 2.1351 | 2.1333 | 2.1351 | 0 | 2.1324 | 2.1467 | 2.1467 | 2.1333 | 3.2950 | 2.1324 |
| 6–6 | 949,469 | 0.15877 | 2.1857 | 1.3518 | 2.1857 | 0 | 2.1482 | 1.7983 | 2.1467 | 2.1467 | 2.1857 | 1.7983 | 1.3518 |
| 6–7 | 949,469 | 0.16062 | 2.2295 | 1.3956 | 2.2295 | 0 | 2.1482 | 1.7983 | 2.1467 | 2.1467 | 2.2295 | 1.7983 | 1.3956 |
| 6–8 | 949,469 | 0.16261 | 2.2756 | 1.4418 | 2.2756 | 0 | 2.1405 | 1.7983 | 2.1467 | 2.1467 | 2.2756 | 1.7983 | 1.4418 |
| 6–9 | 949,469 | 0.16450 | 2.3243 | 1.4904 | 2.3243 | 0 | 2.1482 | 1.7983 | 2.1467 | 2.1467 | 2.3243 | 1.7983 | 1.4904 |
| 6–10 | 949,469 | 0.16634 | 1.9451 | 1.9451 | 1.9451 | 0 | 1.9473 | 1.7983 | 2.6834 | 2.6834 | 1.9451 | 1.7983 | 1.7983 |
| 6–11 | 1,044,779 | 0.04704 | 2.0065 | 1.7497 | 2.0065 | 2.0329 | 2.0091 | 1.2557 | 2.0072 | 2.0072 | 2.0065 | 2.0329 | 1.2557 |
| 6–12 | 1,044,779 | 0.08755 | 1.3342 | 1.9401 | 2.0309 | 1.9401 | 1.9473 | 1.7983 | 1.9482 | 1.9482 | 2.0309 | 3.0417 | 1.3342 |
| k | Scenario | (Hospital Beds/ 1000 Inhabitants) | Coverage (Inhabitants) | Healthcare Supply (Hospital Beds by Zone) | Total (Hospital Beds) | ||||||||||
|---|---|---|---|---|---|---|---|---|---|---|---|---|---|---|---|
| 1 | 2 | 3 | 4 | 5 | 6 | 7 | 8 | 9 | 10 | ||||||
| 3 | 3–1 | 0.701650 | 3.09000 | 305,751 | 0 | 315 | 0 | 0 | 0 | 0 | 0 | 400 | 365 | 0 | 1080 |
| 3–2 | 0.641980 | 1.88490 | 429,267 | 0 | 0 | 0 | 0 | 400 | 0 | 0 | 332 | 296 | 0 | 1028 | |
| 3–3 | 0.555362 | 1.76130 | 522,146 | 0 | 0 | 400 | 0 | 0 | 0 | 395 | 0 | 0 | 329 | 1124 | |
| 3–4 | 0.557287 | 1.77366 | 522,146 | 0 | 0 | 400 | 0 | 0 | 0 | 400 | 0 | 0 | 347 | 1147 | |
| 3–5 | 0.430247 | 1.52646 | 637,082 | 0 | 0 | 308 | 0 | 324 | 400 | 0 | 0 | 0 | 0 | 1032 | |
| 3–6 | 0.432172 | 1.59444 | 637,082 | 0 | 0 | 344 | 0 | 339 | 400 | 0 | 0 | 0 | 0 | 1083 | |
| 3–7 | 0.434097 | 1.67478 | 637,082 | 0 | 0 | 384 | 0 | 355 | 400 | 0 | 0 | 0 | 0 | 1139 | |
| 3–8 | 0.436022 | 1.70568 | 637,082 | 0 | 0 | 400 | 0 | 365 | 400 | 0 | 0 | 0 | 0 | 1165 | |
| 3–9 | 0.476444 | 1.21128 | 657,008 | 0 | 0 | 0 | 0 | 378 | 0 | 0 | 250 | 0 | 400 | 1028 | |
| 3–10 | 0.416773 | 1.06914 | 751,945 | 400 | 0 | 0 | 0 | 0 | 0 | 0 | 250 | 0 | 378 | 1028 | |
| 4 | 4–1 | 0.601558 | 3.09000 | 390,898 | 0 | 274 | 0 | 264 | 0 | 0 | 0 | 355 | 317 | 0 | 1210 |
| 4–2 | 0.441796 | 1.73658 | 637,082 | 297 | 0 | 0 | 0 | 250 | 400 | 0 | 0 | 0 | 342 | 1289 | |
| 4–3 | 0.443721 | 1.86636 | 637,082 | 345 | 0 | 0 | 0 | 250 | 400 | 0 | 0 | 0 | 384 | 1379 | |
| 4–4 | 0.445646 | 1.98996 | 637,082 | 391 | 0 | 0 | 0 | 250 | 400 | 0 | 0 | 0 | 400 | 1441 | |
| 4–5 | 0.349404 | 1.70568 | 751,945 | 0 | 0 | 400 | 0 | 362 | 400 | 0 | 250 | 0 | 0 | 1412 | |
| 4–6 | 0.405224 | 1.21128 | 759,482 | 0 | 0 | 0 | 0 | 400 | 0 | 0 | 250 | 250 | 400 | 1300 | |
| 4–7 | 0.351329 | 1.06914 | 854,419 | 399 | 0 | 0 | 0 | 0 | 0 | 0 | 250 | 250 | 400 | 1299 | |
| 5 | 5–1 | 0.437947 | 2.50290 | 637,082 | 297 | 0 | 400 | 0 | 362 | 400 | 0 | 0 | 0 | 264 | 1723 |
| 5–2 | 0.439872 | 2.65122 | 637,082 | 352 | 0 | 400 | 0 | 362 | 400 | 0 | 0 | 0 | 312 | 1826 | |
| 5–3 | 0.441796 | 2.77482 | 637,082 | 400 | 0 | 398 | 0 | 361 | 400 | 0 | 0 | 0 | 354 | 1913 | |
| 5–4 | 0.347479 | 1.97142 | 751,945 | 386 | 0 | 0 | 0 | 250 | 400 | 0 | 254 | 0 | 400 | 1690 | |
| 5–5 | 0.349404 | 2.00850 | 751,945 | 400 | 0 | 0 | 0 | 256 | 398 | 0 | 262 | 0 | 400 | 1716 | |
| 5–6 | 0.268561 | 1.70568 | 854,419 | 0 | 0 | 400 | 0 | 370 | 400 | 0 | 250 | 250 | 0 | 1670 | |
| 5–7 | 0.289734 | 1.06914 | 942,833 | 399 | 250 | 0 | 0 | 0 | 0 | 0 | 250 | 250 | 400 | 1549 | |
| 6 | 6–1 | 0.457195 | 2.71302 | 637,082 | 308 | 0 | 293 | 0 | 400 | 400 | 250 | 0 | 0 | 400 | 2051 |
| 6–2 | 0.345554 | 2.6265 | 725,496 | 388 | 250 | 337 | 0 | 336 | 400 | 0 | 0 | 0 | 344 | 2055 | |
| 6–3 | 0.339780 | 2.28042 | 751,945 | 282 | 0 | 305 | 0 | 323 | 400 | 0 | 262 | 0 | 250 | 1822 | |
| 6–4 | 0.341705 | 2.53998 | 751,945 | 312 | 0 | 398 | 0 | 361 | 400 | 0 | 292 | 0 | 277 | 2040 | |
| 6–5 | 0.343630 | 2.5647 | 751,945 | 379 | 0 | 317 | 0 | 328 | 400 | 0 | 295 | 0 | 336 | 2055 | |
| 6–6 | 0.255087 | 2.0085 | 854,419 | 400 | 0 | 0 | 0 | 257 | 398 | 0 | 263 | 250 | 400 | 1968 | |
| 6–7 | 0.195417 | 1.70568 | 942,833 | 0 | 250 | 400 | 0 | 370 | 400 | 0 | 250 | 250 | 0 | 1920 | |
| 6–8 | 0.218515 | 1.06914 | 1,027,980 | 400 | 250 | 0 | 250 | 0 | 0 | 0 | 255 | 250 | 400 | 1805 | |
| 7 | 7–1 | 0.362878 | 2.33604 | 722,229 | 250 | 0 | 250 | 250 | 353 | 397 | 250 | 0 | 0 | 305 | 2055 |
| 7–2 | 0.364803 | 2.36694 | 722,229 | 250 | 0 | 250 | 250 | 360 | 320 | 250 | 0 | 0 | 375 | 2055 | |
| 7–3 | 0.362878 | 2.32986 | 725,496 | 250 | 250 | 250 | 0 | 354 | 400 | 250 | 0 | 0 | 301 | 2055 | |
| 7–4 | 0.364803 | 2.36076 | 725,496 | 250 | 250 | 250 | 0 | 359 | 333 | 250 | 0 | 0 | 363 | 2055 | |
| 7–5 | 0.364803 | 2.31132 | 739,556 | 250 | 0 | 250 | 0 | 348 | 361 | 250 | 0 | 271 | 325 | 2055 | |
| 7–6 | 0.366728 | 2.36076 | 739,556 | 250 | 0 | 250 | 0 | 359 | 306 | 250 | 0 | 256 | 384 | 2055 | |
| 7–7 | 0.368652 | 2.37312 | 739,556 | 250 | 0 | 250 | 0 | 361 | 294 | 250 | 0 | 250 | 400 | 2055 | |
| 7–8 | 0.366728 | 2.29278 | 751,945 | 250 | 0 | 250 | 0 | 345 | 316 | 250 | 290 | 0 | 354 | 2055 | |
| 7–9 | 0.368652 | 2.33604 | 751,945 | 250 | 0 | 250 | 0 | 354 | 277 | 250 | 274 | 0 | 400 | 2055 | |
| 7–10 | 0.370577 | 2.34222 | 751,945 | 250 | 0 | 250 | 0 | 355 | 280 | 250 | 270 | 0 | 400 | 2055 | |
| 7–11 | 0.245463 | 2.26188 | 854,419 | 318 | 0 | 250 | 0 | 299 | 396 | 0 | 260 | 250 | 282 | 2055 | |
| 7–12 | 0.178093 | 1.86636 | 942,833 | 349 | 250 | 0 | 0 | 250 | 400 | 0 | 250 | 250 | 306 | 2055 | |
| 7–13 | 0.139597 | 1.55736 | 1,027,980 | 0 | 250 | 322 | 250 | 333 | 400 | 0 | 250 | 250 | 0 | 2055 | |
| Scenario | Coverage | GI | Potential Spatial Accessibility (Hospital Beds by Zone/1000 Inhabitants) | MPSA | |||||||||
|---|---|---|---|---|---|---|---|---|---|---|---|---|---|
| 1 | 2 | 3 | 4 | 5 | 6 | 7 | 8 | 9 | 10 | ||||
| 3–1 | 305,751 | 0.70152 | 0 | 3.5628 | 0 | 0 | 0 | 0 | 0 | 3.4824 | 3.5619 | 0 | 3.4824 |
| 3–2 | 429,267 | 0.64197 | 1.8874 | 0 | 0 | 0 | 1.8874 | 0 | 0 | 2.8904 | 2.8885 | 0 | 1.8874 |
| 3–3 | 522,146 | 0.55535 | 1.7637 | 0 | 2.7600 | 0 | 0 | 2.7600 | 1.7637 | 0 | 0 | 1.7624 | 1.7624 |
| 3–4 | 522,146 | 0.55719 | 1.7763 | 0 | 2.8271 | 0 | 0 | 2.8271 | 1.7763 | 0 | 0 | 1.8169 | 1.7763 |
| 3–5 | 637,082 | 0.43019 | 2.1187 | 0 | 1.5307 | 0 | 1.5288 | 1.5307 | 1.5307 | 0 | 0 | 1.5307 | 1.5288 |
| 3–6 | 637,082 | 0.43212 | 2.2584 | 0 | 1.5997 | 0 | 1.5996 | 1.5997 | 1.5997 | 0 | 0 | 1.5997 | 1.5996 |
| 3–7 | 637,082 | 0.43408 | 2.4105 | 0 | 1.6763 | 0 | 1.6751 | 1.6763 | 1.6763 | 0 | 0 | 1.6763 | 1.6751 |
| 3–8 | 637,082 | 0.43581 | 2.4883 | 0 | 1.7069 | 0 | 1.7223 | 1.7069 | 1.7069 | 0 | 0 | 1.7069 | 1.7069 |
| 3–9 | 657,008 | 0.47587 | 1.7836 | 0 | 1.2113 | 0 | 1.7836 | 1.2113 | 0 | 2.17651 | 0 | 1.2113 | 1.2113 |
| 3–10 | 751,945 | 0.41531 | 1.0736 | 0 | 2.2183 | 0 | 1.0736 | 1.1447 | 1.0736 | 2.17651 | 0 | 1.1447 | 1.0736 |
| 4–1 | 390,898 | 0.60029 | 0 | 3.0991 | 0 | 3.1005 | 0 | 0 | 0 | 3.09064 | 3.09347 | 0 | 3.0906 |
| 4–2 | 637,082 | 0.44171 | 1.9768 | 0 | 2.7737 | 0 | 1.9768 | 1.9765 | 1.7380 | 0 | 0 | 1.9765 | 1.7380 |
| 4–3 | 637,082 | 0.44372 | 2.1056 | 0 | 3.0297 | 0 | 2.1056 | 2.1037 | 1.8668 | 0 | 0 | 2.1037 | 1.8668 |
| 4–4 | 637,082 | 0.44561 | 2.2291 | 0 | 3.2016 | 0 | 2.2291 | 2.1522 | 1.9903 | 0 | 0 | 2.1522 | 1.9903 |
| 4–5 | 751,945 | 0.34917 | 2.4742 | 0 | 1.7069 | 0 | 1.7081 | 1.7069 | 1.7069 | 2.1765 | 0 | 1.7069 | 1.7069 |
| 4–6 | 759,482 | 0.40464 | 1.8874 | 0 | 1.2113 | 0 | 1.8874 | 1.2113 | 0 | 2.1765 | 2.4396 | 1.2113 | 1.2113 |
| 4–7 | 854,419 | 0.35122 | 1.0709 | 0 | 2.2823 | 0 | 1.0709 | 1.2113 | 1.0709 | 2.1765 | 2.4396 | 1.2113 | 1.0709 |
| 5–1 | 637,082 | 0.43793 | 3.2714 | 0 | 3.3036 | 0 | 2.5053 | 2.5064 | 2.5041 | 0 | 0 | 2.5064 | 2.5041 |
| 5–2 | 637,082 | 0.43987 | 3.4190 | 0 | 3.5965 | 0 | 2.6529 | 2.6517 | 2.6517 | 0 | 0 | 2.6517 | 2.6517 |
| 5–3 | 637,082 | 0.44143 | 3.5393 | 0 | 3.8487 | 0 | 2.7770 | 2.7751 | 2.7767 | 0 | 0 | 2.7751 | 2.7751 |
| 5–4 | 751,945 | 0.34747 | 2.2157 | 0 | 3.1882 | 0 | 2.2157 | 2.1522 | 1.9769 | 2.2113 | 0 | 2.1522 | 1.9769 |
| 5–5 | 751,945 | 0.34931 | 2.2816 | 0 | 3.2211 | 0 | 2.2816 | 2.1475 | 2.0098 | 2.2810 | 0 | 2.1475 | 2.0098 |
| 5–6 | 854,419 | 0.26844 | 2.5119 | 0 | 1.7069 | 0 | 1.7459 | 1.7069 | 1.7069 | 2.1765 | 2.4396 | 1.7069 | 1.7069 |
| 5–7 | 942,833 | 0.28905 | 1.0709 | 2.8276 | 2.2823 | 0 | 1.0709 | 1.2113 | 1.0709 | 2.1765 | 2.4396 | 1.2113 | 1.0709 |
| 6–1 | 637,082 | 0.45680 | 3.9066 | 0 | 4.1714 | 0 | 2.7141 | 3.3447 | 2.9601 | 0 | 0 | 2.7133 | 2.7133 |
| 6–2 | 725,496 | 0.34553 | 3.2723 | 2.8276 | 3.6694 | 0 | 2.6268 | 2.6280 | 2.6277 | 0 | 0 | 2.6280 | 2.6268 |
| 6–3 | 751,945 | 0.33977 | 2.8651 | 0 | 3.0390 | 0 | 2.2810 | 2.2821 | 2.2819 | 2.2810 | 0 | 2.2821 | 2.2810 |
| 6–4 | 751,945 | 0.34168 | 3.3031 | 0 | 3.3794 | 0 | 2.5408 | 2.5419 | 2.5405 | 2.5422 | 0 | 2.5419 | 2.5405 |
| 6–5 | 751,945 | 0.34361 | 3.1721 | 0 | 3.5827 | 0 | 2.5649 | 2.5655 | 2.5652 | 2.5683 | 0 | 2.5655 | 2.5649 |
| 6–6 | 854,419 | 0.25506 | 2.2863 | 0 | 3.2211 | 0 | 2.2863 | 2.1475 | 2.0098 | 2.2897 | 2.4396 | 2.1475 | 2.0098 |
| 6–7 | 942,833 | 0.19534 | 2.5119 | 2.8276 | 1.7069 | 0 | 1.7459 | 1.7069 | 1.7069 | 2.1765 | 2.4396 | 1.7069 | 1.7069 |
| 6–8 | 1,027,980 | 0.21850 | 1.0736 | 2.8276 | 2.2850 | 2.9361 | 1.0736 | 1.2113 | 1.0736 | 2.2200 | 2.4396 | 1.2113 | 1.0736 |
| 7–1 | 722,229 | 0.36262 | 3.4468 | 0 | 3.6386 | 2.9361 | 2.3367 | 2.9676 | 2.7150 | 0 | 0 | 2.3362 | 2.3362 |
| 7–2 | 722,229 | 0.36477 | 3.4799 | 0 | 3.6695 | 2.9361 | 2.3697 | 2.9985 | 2.5339 | 0 | 0 | 2.3671 | 2.3671 |
| 7–3 | 725,496 | 0.36283 | 3.4516 | 2.8276 | 3.6336 | 0 | 2.3414 | 2.9626 | 2.7220 | 0 | 0 | 2.3312 | 2.3312 |
| 7–4 | 725,496 | 0.36475 | 3.4752 | 2.8276 | 3.6637 | 0 | 2.3650 | 2.9927 | 2.5645 | 0 | 0 | 2.3613 | 2.3613 |
| 7–5 | 739,556 | 0.36479 | 3.4233 | 0 | 3.6145 | 0 | 2.3131 | 2.9435 | 2.6303 | 0 | 2.6446 | 2.3121 | 2.3121 |
| 7–6 | 739,556 | 0.36670 | 3.4752 | 0 | 3.6638 | 0 | 2.3650 | 2.9928 | 2.5009 | 0 | 2.4982 | 2.3614 | 2.3614 |
| 7–7 | 739,556 | 0.36759 | 3.4846 | 0 | 3.6841 | 0 | 2.3744 | 3.0130 | 2.4727 | 0 | 2.4396 | 2.3816 | 2.3744 |
| 7–8 | 751,945 | 0.36671 | 3.4091 | 0 | 3.5965 | 0 | 2.2989 | 2.9255 | 2.5245 | 2.5247 | 0 | 2.2941 | 2.2941 |
| 7–9 | 751,945 | 0.36863 | 3.4516 | 0 | 3.6441 | 0 | 2.3414 | 2.9730 | 2.4327 | 2.3855 | 0 | 2.3417 | 2.3414 |
| 7–10 | 751,945 | 0.36907 | 3.4563 | 0 | 3.6511 | 0 | 2.3461 | 2.9801 | 2.4398 | 2.3506 | 0 | 2.3487 | 2.3461 |
| 7–11 | 854,419 | 0.24537 | 2.7432 | 0 | 3.1177 | 0 | 2.2644 | 2.2642 | 2.2638 | 2.2636 | 2.4396 | 2.2642 | 2.2636 |
| 7–12 | 942,833 | 0.17798 | 2.1164 | 2.8276 | 2.8043 | 0 | 2.1164 | 1.8675 | 1.8776 | 2.1765 | 2.4396 | 1.8675 | 1.8675 |
| 7–13 | 1,027,980 | 0.13847 | 2.1880 | 2.8276 | 1.5575 | 2.9361 | 1.5713 | 1.5575 | 1.5575 | 2.1765 | 2.4396 | 1.5575 | 1.5575 |
| n | k | Runtime (in Hours) |
|---|---|---|
| 10 | 5 | |
| 6 | ||
| 7 | ||
| 8 | ||
| 9 | ||
| 15 | 5 | |
| 6 | ||
| 7 | ||
| 8 | ||
| 9 | ||
| 20 | 5 | |
| 6 | ||
| 7 | ||
| 8 | ||
| 9 | ||
| 30 | 5 | |
| 6 | ||
| 7 | ||
| 8 | ||
| 9 | ||
| 50 | 5 | >48 |
| 6 | >48 |
Publisher’s Note: MDPI stays neutral with regard to jurisdictional claims in published maps and institutional affiliations. |
© 2022 by the authors. Licensee MDPI, Basel, Switzerland. This article is an open access article distributed under the terms and conditions of the Creative Commons Attribution (CC BY) license (https://creativecommons.org/licenses/by/4.0/).
Share and Cite
Delgado, E.J.; Cabezas, X.; Martin-Barreiro, C.; Leiva, V.; Rojas, F. An Equity-Based Optimization Model to Solve the Location Problem for Healthcare Centers Applied to Hospital Beds and COVID-19 Vaccination. Mathematics 2022, 10, 1825. https://doi.org/10.3390/math10111825
Delgado EJ, Cabezas X, Martin-Barreiro C, Leiva V, Rojas F. An Equity-Based Optimization Model to Solve the Location Problem for Healthcare Centers Applied to Hospital Beds and COVID-19 Vaccination. Mathematics. 2022; 10(11):1825. https://doi.org/10.3390/math10111825
Chicago/Turabian StyleDelgado, Erwin J., Xavier Cabezas, Carlos Martin-Barreiro, Víctor Leiva, and Fernando Rojas. 2022. "An Equity-Based Optimization Model to Solve the Location Problem for Healthcare Centers Applied to Hospital Beds and COVID-19 Vaccination" Mathematics 10, no. 11: 1825. https://doi.org/10.3390/math10111825
APA StyleDelgado, E. J., Cabezas, X., Martin-Barreiro, C., Leiva, V., & Rojas, F. (2022). An Equity-Based Optimization Model to Solve the Location Problem for Healthcare Centers Applied to Hospital Beds and COVID-19 Vaccination. Mathematics, 10(11), 1825. https://doi.org/10.3390/math10111825



