Finite-Time Boundedness of Linear Uncertain Switched Positive Time-Varying Delay Systems with Finite-Time Unbounded Subsystems and Exogenous Disturbance
Abstract
:1. Introduction
2. System Descriptions and Preliminaries
3. Main Results
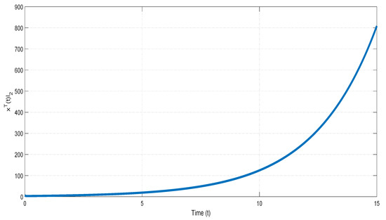
4. Numerical Simulations
5. Conclusions
Author Contributions
Funding
Institutional Review Board Statement
Informed Consent Statement
Acknowledgments
Conflicts of Interest
References
- Liberzon, D. Switching in Systems and Control; Springer: Boston, MA, USA, 2003. [Google Scholar]
- Mahmoud, M.S. Switched Time-Delay Systems: Stability and Control; Springer: New York, NY, USA, 2010. [Google Scholar]
- Wang, D.; Shi, P.; Wang, W. Robust Filtering and Fault Detection of Switched Delay Systems; Springer: Berlin/Heidelberg, Germany, 2013. [Google Scholar]
- Rajchakit, G. Switching design for the robust stability of nonlinear uncertain stochastic switched discrete-time systems with interval time-varying delay. J. Comput. Anal. Appl. 2014, 16, 10–19. [Google Scholar]
- Haddad, W.M.; Chellaboina, V.; Hui, Q. Nonnegative and Compartmental Dynamical Systems; Princeton University Press: Princeton, NJ, USA, 2010. [Google Scholar]
- Mahmoud, M.S. Switched delay-dependent control policy for water-quality systems. IET Control Theory Appl. 2009, 3, 1599–1610. [Google Scholar] [CrossRef]
- Zhang, J.; Sun, Y. Practical exponential stability of discrete-time switched linear positive systems with impulse and all modes unstable. Appl. Math. Comput. 2021, 409, 126408. [Google Scholar] [CrossRef]
- Bolajraf, M.; Tadeo, F.; Alvarez, T.; Rami, M.A. State-feedback with memory for controlled positivity with application to congestion control. IET Control Theory Appl. 2010, 4, 2041–2048. [Google Scholar] [CrossRef]
- Mason, O.; Shorten, R. On linear copositive Lyapunov functions and the stability of switched positive linear systems. IEEE Trans. Autom. Control 2007, 52, 1346–1349. [Google Scholar] [CrossRef] [Green Version]
- Feng, S.; Wang, J.; Zhao, J. Stability and robust stability of switched positive linear systems with all modes unstable. IEEE/CAA J. Autom. Sinica 2019, 6, 167–176. [Google Scholar] [CrossRef]
- Fridman, E. Introduction to Time-Delay Systems: Analysis and Control; Springer: Cham, Switzerland, 2014. [Google Scholar]
- Kharitonov, V. Time-Delay Systems: Lyapunov Functionals and Matrices; Springer: New York, NY, USA, 2012. [Google Scholar]
- Wu, M.; He, Y.; She, J.-H. Stability Analysis and Robust Control of Time-Delay Systems; Springer: Berlin/Heidelberg, Germany, 2010. [Google Scholar]
- Xiang, M.; Xiang, Z. Exponential stability of discrete-time switched linear positive systems with time-delay. Appl. Math. Comput. 2014, 230, 193–199. [Google Scholar] [CrossRef]
- Xiang, M.; Xiang, Z.; Lu, X.; Liu, Q. Stability, L1-gain and control synthesis for positive switched systems with time-varying delay. Nonlinear Anal. Hybrid Syst. 2013, 9, 9–17. [Google Scholar] [CrossRef]
- Xiang, M.; Xiang, Z. Finite-time L1 control for positive switched linear systems with time-varying delay. Commun. Nonlinear Sci. Numer. Simul. 2013, 18, 3158–3166. [Google Scholar] [CrossRef]
- Yu, T.; Zhong, Y.; Chen, T.; Chen, C. Finite-time stabilization of uncertain switched positive linear systems with time-varying delays. Discret. Dyn. Nat. Soc. 2015, 2015, 954782. [Google Scholar] [CrossRef]
- Liu, Z.; Zhang, X.; Lu, X.; Liu, Q. Stabilization of positive switched delay systems with all modes unstable. Nonlinear Anal. Hybrid Syst. 2018, 29, 110–120. [Google Scholar] [CrossRef]
- Yang, G.; Hao, F.; Zhang, L.; Li, B. Exponential stability for continue-time switched positive delay systems with all unstable subsystems. IEEE Access 2019, 7, 165428–165436. [Google Scholar] [CrossRef]
- Chousurin, R.; Mouktonglang, T.; Wongsaijai, B.; Poochinapan, K. Performance of compact and non-compact structure preserving algorithms to traveling wave solutions modeled by the Kawahara equation. Numer. Algorithms 2020, 85, 523–541. [Google Scholar] [CrossRef]
- Tamang, N.; Wongsaijai, B.; Mouktonglang, T.; Poochinapan, K. Novel algorithm based on modification of Galerkin finite element method to general Rosenau-RLW equation in (2+1)-dimensions. Appl. Numer. Math. 2020, 148, 109–130. [Google Scholar] [CrossRef]
- Disyadej, T.; Promjan, J.; Poochinapan, K.; Mouktonglang, T.; Grzybowski, S.; Muneesawang, P. High voltage power line maintenance & inspection by using smart robotics. In Proceedings of the 2019 IEEE Power & Energy Society Innovative Smart Grid Technologies Conference (ISGT), Washington, DC, USA, 18–21 February 2019; pp. 1–4. [Google Scholar]
- Wongsaijai, B.; Charoensawan, P.; Chaobankoh, T.; Poochinapan, K. Advance in compact structure-preserving manner to the Rosenau-Kawahara model of shallow-water wave. Math. Methods Appl. Sci. 2021, 44, 7048–7064. [Google Scholar] [CrossRef]
- Lin, X.; Zhang, W.; Yang, Z.; Zou, Y. Finite-time boundedness of switched systems with time-varying delays via sampled-data control. Int. J. Robust Nonlinear Control 2020, 30, 2953–2976. [Google Scholar] [CrossRef]
- Puangmalai, J.; Tongkum, J.; Rojsiraphisal, T. Finite-time stability criteria of linear system with non-differentiable time-varying delay via new integral inequality. Math. Comput. Simul. 2020, 171, 170–186. [Google Scholar] [CrossRef]
- Saravanan, S.; Ali, M.S.; Rajchakit, G.; Hammachukiattikul, B.; Priya, B.; Thakur, G.K. Finite-time stability analysis of switched genetic regulatory networks with time-varying delays via Wirtinger’s integral inequality. Complexity 2021, 2021, 9540548. [Google Scholar] [CrossRef]
- Rojsiraphisal, T.; Mobayen, S.; Asad, J.H.; Vu, M.T.; Chang, A.; Puangmalai, J. Fast terminal sliding control of underactuated robotic systems based on disturbance observer with experimental validation. Mathematics 2021, 9, 1935. [Google Scholar] [CrossRef]
- Amato, F.; Ambrosino, R.; Ariola, M.; Tommasi, G.D.; Pironti, A. On the finite-time boundedness of linear systems. Automatica 2019, 107, 454–466. [Google Scholar] [CrossRef]
- Amato, F.; Ariola, M.; Dorato, P. Finite-time control of linear systems subject to parametric uncertainties and disturbances. Automatica 2001, 37, 1459–1463. [Google Scholar] [CrossRef]
- Amato, F.; Ariola, M.; Cosentino, C. Finite-time stability of linear time-varying systems: Analysis and controller design. IEEE Trans. Autom. Control 2010, 55, 1003–1008. [Google Scholar] [CrossRef]
- Weiss, L.; Infante, E.F. Finite time stability under perturbing forces and on product spaces. IEEE Trans. Autom. Control 1967, 12, 54–59. [Google Scholar] [CrossRef]
- Hien, L.V. An explicit criterion for finite-time stability of linear nonautonomous systems with delays. Appl. Math. Lett. 2014, 30, 12–18. [Google Scholar] [CrossRef]
- Yimnet, S.; Niamsup, P. Finite-time stability and boundedness for linear switched singular positive time-delay systems with finite-time unstable subsystems. Syst. Sci. Control. Eng. 2020, 8, 541–568. [Google Scholar] [CrossRef]
- Liu, X.; Dang, C. Stability analysis of positive switched linear systems with delays. IEEE Trans. Autom. Control 2011, 56, 1684–1690. [Google Scholar] [CrossRef]
- Jian, S.; Weiqun, W. Finite-time stability and boundedness for positive switched systems with time-varying delay under state-dependent switching. Trans. Inst. Meas. Control. 2017, 39, 43–51. [Google Scholar] [CrossRef]
- Liu, Y.; Tao, W.; Lee, L.; Lu, J. Finite-time boundedness and L2-gain analysis for switched positive linear systems with multiple time delays. Int. J. Robust Nonlinear Control 2017, 27, 3508–3523. [Google Scholar]
- Zhao, X.; Zhang, L.; Shi, P. Stability of a class of switched positive linear time-delay systems. Int. J. Robust Nonlinear Control 2013, 23, 578–589. [Google Scholar] [CrossRef]
- Liu, L.-J.; Zhao, X.; Wu, D. Stability of switched positive linear time-delay systems. IET Control Theory Appl. 2019, 13, 912–919. [Google Scholar] [CrossRef]
- Liu, J.; Lian, J.; Zhuang, Y. Output feedback L1 finite-time control of switched positive delayed systems with MDADT. Nonlinear Anal. Hybrid Syst. 2015, 15, 11–22. [Google Scholar] [CrossRef]
- Pashaei, S.; Hashemzadeh, F. New finite-time stability and boundedness conditions for time-delay switched linear systems with finite-time unstable and unbounded subsystems. In Proceedings of the 27th Iranian Conference on Electrical Engineering (ICEE2019), Yazd, Iran, 30 April–2 May 2019. [Google Scholar]
- Tan, J.; Wang, W.; Yao, J. Finite-time stability and boundedness of switched systems with finite-time unstable subsystems. Circuits Syst. Signal Process. 2019, 38, 2931–2950. [Google Scholar] [CrossRef]
- Li, X.; Lin, X.; Li, S.; Zuo, Y. Finite-time stability of switched nonlinear systems with finite-time unstable subsystems. J. Frankl. Inst. 2015, 352, 1192–1214. [Google Scholar] [CrossRef]
- Zhang, J.-S.; Wang, Y.-W.; Xiao, J.-W.; Shen, Y.-J. Stability analysis of switched positive linear systems with stable and unstable subsystems. Int. J. Syst. Sci. 2014, 45, 2458–2465. [Google Scholar] [CrossRef]
- Tian, Y.; Cai, Y.; Sun, Y. Stability of switched nonlinear time-delay systems with stable and unstable subsystems. Nonlinear Anal. Hybrid Syst. 2017, 24, 58–68. [Google Scholar] [CrossRef]
- Rajchakit, G.; Rojsiraphisal, T.; Rajchakit, M. Robust stability and stabilization of uncertain switched discrete-time systems. Adv. Differ. Equ. 2012, 134, 1–15. [Google Scholar] [CrossRef] [Green Version]
- Ma, R.; Wang, X.; Liu, Y. Robust stability of switched positive linear systems with interval uncertainties via multiple time-varying linear copositive Lyapunov functions. Nonlinear Anal. Hybrid Syst. 2018, 30, 285–292. [Google Scholar] [CrossRef]
- Zhang, J.; Han, Z. Robust stabilization of switched positive linear systems with uncertainties. Int. J. Control Autom. Syst. 2013, 11, 41–47. [Google Scholar] [CrossRef]
- Rojsiraphisal, T.; Niamsup, P.; Yimnet, S. Global uniform asymptotic stability criteria for linear uncertain switched positive time-varying delay systems with all unstable subsystems. Mathematics 2020, 8, 2118. [Google Scholar] [CrossRef]
- Moradi, E.; Jahed-Motlagh, M.R.; Yazdi, M.B. Delay-dependent finite-time stabilization of uncertain switched time-delay systems with norm-bounded disturbance. IETE J. Res. 2018, 64, 195–208. [Google Scholar] [CrossRef]
- Puangmalai, W.; Puangmalai, J.; Rojsiraphisal, T. Robust finite-time control of linear system with non-differentiable time-varying delay. Symmetry 2020, 12, 680. [Google Scholar] [CrossRef]
- Rajchakit, G. Robust stability and stabilization of nonlinear uncertain stochastic switched discrete-time systems with interval time-varying delays. Appl. Math. Inf. Sci. 2012, 6, 555–565. [Google Scholar]
- Rajchakit, G. Switching design for the asymptotic stability and stabilization of nonlinear uncertain stochastic discrete-time systems. Int. J. Nonlinear Sci. Numer. Simul. 2013, 14, 33–44. [Google Scholar] [CrossRef]






Publisher’s Note: MDPI stays neutral with regard to jurisdictional claims in published maps and institutional affiliations. |
© 2021 by the authors. Licensee MDPI, Basel, Switzerland. This article is an open access article distributed under the terms and conditions of the Creative Commons Attribution (CC BY) license (https://creativecommons.org/licenses/by/4.0/).
Share and Cite
Mouktonglang, T.; Yimnet, S. Finite-Time Boundedness of Linear Uncertain Switched Positive Time-Varying Delay Systems with Finite-Time Unbounded Subsystems and Exogenous Disturbance. Mathematics 2022, 10, 65. https://doi.org/10.3390/math10010065
Mouktonglang T, Yimnet S. Finite-Time Boundedness of Linear Uncertain Switched Positive Time-Varying Delay Systems with Finite-Time Unbounded Subsystems and Exogenous Disturbance. Mathematics. 2022; 10(1):65. https://doi.org/10.3390/math10010065
Chicago/Turabian StyleMouktonglang, Thanasak, and Suriyon Yimnet. 2022. "Finite-Time Boundedness of Linear Uncertain Switched Positive Time-Varying Delay Systems with Finite-Time Unbounded Subsystems and Exogenous Disturbance" Mathematics 10, no. 1: 65. https://doi.org/10.3390/math10010065
APA StyleMouktonglang, T., & Yimnet, S. (2022). Finite-Time Boundedness of Linear Uncertain Switched Positive Time-Varying Delay Systems with Finite-Time Unbounded Subsystems and Exogenous Disturbance. Mathematics, 10(1), 65. https://doi.org/10.3390/math10010065
