Double Accelerated Convergence ZNN with Noise-Suppression for Handling Dynamic Matrix Inversion
Abstract
:1. Introduction
- As opposed to the ZNN generated by the original error function for the static matrix inversion, this work develops the DAZNN generated by a novel error function to solve dynamic matrix inversion;
- Two new exponential decay variable parameters and a novel exponential-type SBPAF are incorporated into the DAZNN model in order to achieve double accelerated convergence and more stronger noise suppression;
- Two rigorous theoretical analyses are employed in order to demonstrate the arbitrary time convergence of the DAZNN model as well as its robustness under additive bounded noise;
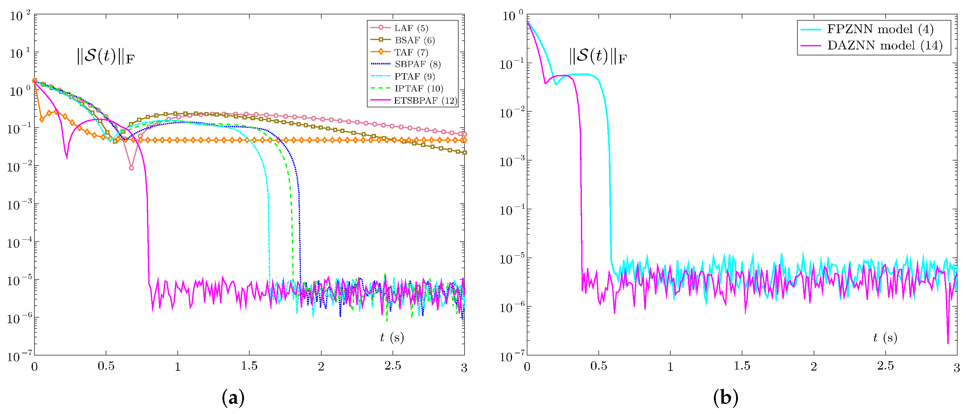
- The illustrative example confirms that the DAZNN model is superior to the fixed-parameter model activated by other six activation functions. Besides, the evolution formula of DAZNN model is applied to the AOA dynamic positioning with sine noise to illustrate the model’s availability further.
2. Problem Formulation and Models Design
2.1. Problem Formulation
2.2. Fixed-Parameter ZNN
2.3. DAZNN Model
3. Theoretical Analysis
3.1. Arbitrary Time Convergence
3.2. Robustness
4. Illustrative Verification
4.1. Discussion of Convergence
4.2. Discussion of Robustness
4.3. Sensitivity of Initial Values
4.4. High Dimensional Example Verification
5. Application to Dynamic Positioning Algorithm
5.1. Problem Description
5.2. Model Application
5.3. Example 1
5.4. Example 2
6. Conclusions
Author Contributions
Funding
Institutional Review Board Statement
Informed Consent Statement
Data Availability Statement
Conflicts of Interest
Abbreviations
| ZNN | zeroing neural networks |
| FPZNN | fixed-parameter ZNN |
| DAZNN | double accelerated convergence ZNN |
| DMIP | dynamic matrix inversion problem |
| AF | activation function |
| RNN | recurrent neural network |
| SBP | sign-bi-power |
| VPZNN | varying-parameter ZNN |
| ETSBPAF | exponential-type SBPAF |
| LAF | linear AF |
| BSAF | bipolar-sigmoid AF |
| TAF | tunable AF |
| SBPAF | sign-bi-power AF |
| PTAF | predefined time AF |
| IPTAF | improved predefined time AF |
| AOA | angle of arrival |
| VPDP | variable parameters dynamic positioning |
| FPDP | fixed-parameter dynamic positioning |
References
- Stefanovski, J. Novel all-pass factorization, all solutions to rational matrix equation and control application. IEEE Trans. Autom. Control 2019, 65, 3176–3183. [Google Scholar] [CrossRef]
- Xiao, L.; Liu, S.; Wang, X.; He, Y.; Jia, L.; Xu, Y. Zeroing neural networks for dynamic quaternion-valued matrix inversion. IEEE Trans. Ind. Inform. 2021, 18, 1562–1571. [Google Scholar] [CrossRef]
- Quan, Z.; Liu, J. Efficient complex matrix inversion for MIMO OFDM systems. J. Commun. Netw. 2017, 19, 637–647. [Google Scholar] [CrossRef]
- Wang, Y.; Leib, H. Sphere decoding for MIMO systems with Newton iterative matrix inversion. IEEE Commun. Lett. 2013, 17, 389–392. [Google Scholar] [CrossRef]
- Guo, D.; Zhang, Y. Zhang neural network, Getz–Marsden dynamic system, and discrete-time algorithms for time-varying matrix inversion with application to robots’ kinematic control. Neurocomputing 2012, 97, 22–32. [Google Scholar] [CrossRef]
- Jin, L.; Zhang, Y. G2-type SRMPC scheme for synchronous manipulation of two redundant robot arms. IEEE Trans. Cybern. 2014, 45, 153–164. [Google Scholar] [PubMed]
- Chen, D.; Li, S.; Wu, Q.; Luo, X. Super-twisting ZNN for coordinated motion control of multiple robot manipulators with external disturbances suppression. Neurocomputing 2020, 371, 78–90. [Google Scholar] [CrossRef]
- Krishnamoorthy, A.; Menon, D. Matrix inversion using Cholesky decomposition. In Proceedings of the 2013 Signal Processing: Algorithms, Architectures, Arrangements, and Applications (SPA), Poznan, Poland, 26–28 September 2013; pp. 70–72. [Google Scholar]
- Tang, C.; Liu, C.; Yuan, L.; Xing, Z. High precision low complexity matrix inversion based on Newton iteration for data detection in the massive MIMO. IEEE Commun. Lett. 2016, 20, 490–493. [Google Scholar] [CrossRef]
- Xiao, L.; He, Y. A noise-suppression ZNN model with new variable parameter for dynamic Sylvester equation. IEEE Trans. Ind. Inform. 2021, 17, 7513–7522. [Google Scholar] [CrossRef]
- Stanimirović, P.S.; Živković, I.S.; Wei, Y. Recurrent neural network for computing the Drazin inverse. IEEE Trans. Neural Netw. Learn. Syst. 2015, 26, 2830–2843. [Google Scholar] [CrossRef] [PubMed]
- Elhoseny, M.; Shankar, K. Optimal bilateral filter and convolutional neural network based denoising method of medical image measurements. Measurement 2019, 143, 125–135. [Google Scholar] [CrossRef]
- Koyuncu, I.; Yilmaz, C.; Alcin, M.; Tuna, M. Design and implementation of hydrogen economy using artificial neural network on field programmable gate array. Int. J. Hydrogen Energy 2020, 45, 20709–20720. [Google Scholar] [CrossRef]
- Wrobel, K.; Doroz, R.; Porwik, P.; Naruniec, J.; Kowalski, M. Using a probabilistic neural network for lip-based biometric verification. Eng. Appl. Artif. Intell. 2017, 64, 112–127. [Google Scholar] [CrossRef]
- Yañez-Badillo, H.; Beltran-Carbajal, F.; Tapia-Olvera, R.; Favela-Contreras, A.; Sotelo, C.; Sotelo, D. Adaptive robust motion control of quadrotor systems using artificial neural networks and particle swarm optimization. Mathematics 2021, 9, 2367. [Google Scholar] [CrossRef]
- Khan, A.T.; Li, S.; Cao, X. Control framework for cooperative robots in smart home using bio-inspired neural network. Measurement 2021, 167, 108253. [Google Scholar] [CrossRef]
- Wang, S.; Zhang, H.; Zhang, W.; Zhang, H. Finite-time projective synchronization of Caputo type fractional complex-valued delayed neural networks. Mathematics 2021, 9, 1406. [Google Scholar] [CrossRef]
- Li, Y.; Liu, Y.; Tong, S. Observer-based neuro-adaptive optimized control of strict-feedback nonlinear systems with state constraints. IEEE Trans. Neural Netw. Learn Syst. 2021. [Google Scholar] [CrossRef] [PubMed]
- Cogollo, M.R.; González-Parra, G.; Arenas, A.J. Modeling and forecasting cases of RSV using artificial neural networks. Mathematics 2021, 9, 2958. [Google Scholar] [CrossRef]
- Šestanović, T.; Arnerić, J. Can recurrent neural networks predict inflation in euro zone as good as professional forecasters? Mathematics 2021, 9, 2486. [Google Scholar] [CrossRef]
- Simos, T.E.; Mourtas, S.D.; Katsikis, V.N. Time-varying Black–Litterman portfolio optimization using a bio-inspired approach and neuronets. Appl. Soft Comput. 2021, 112, 107767. [Google Scholar] [CrossRef]
- Katsikis, V.N.; Mourtas, S.D.; Stanimirović, P.S.; Li, S.; Cao, X. Time-varying mean–variance portfolio selection problem solving via LVI-PDNN. Comput. Oper. Res. 2022, 138, 105582. [Google Scholar] [CrossRef]
- Xiao, L. A new design formula exploited for accelerating Zhang neural network and its application to time-varying matrix inversion. Theor. Comput. Sci. 2016, 647, 50–58. [Google Scholar] [CrossRef]
- Xiao, L. A nonlinearly activated neural dynamics and its finite-time solution to time-varying nonlinear equation. Neurocomputing 2016, 173, 1983–1988. [Google Scholar] [CrossRef]
- Li, S.; Chen, S.; Liu, B. Accelerating a recurrent neural network to finite-time convergence for solving time-varying Sylvester equation by using a sign-bi-power activation function. Neural Process Lett. 2013, 37, 189–205. [Google Scholar] [CrossRef]
- Xiao, L. A finite-time convergent Zhang neural network and its application to real-time matrix square root finding. Neural Comput. Appl. 2019, 31, 793–800. [Google Scholar] [CrossRef]
- Yan, Z.; Zhong, S.; Lin, L.; Cui, Z. Adaptive Levenberg–Marquardt algorithm: A new optimization strategy for Levenberg–Marquardt neural networks. Mathematics 2021, 9, 2176. [Google Scholar] [CrossRef]
- Stanimirović, P.S.; Katsikis, V.N.; Li, S. Integration enhanced and noise tolerant ZNN for computing various expressions involving outer inverses. Neurocomputing 2019, 329, 129–143. [Google Scholar] [CrossRef]
- Li, W. Design and analysis of a novel finite-time convergent and noise-tolerant recurrent neural network for time-variant matrix inversion. IEEE Trans. Syst. Man Cybern. Syst. 2018, 50, 4362–4376. [Google Scholar] [CrossRef]
- Jin, L.; Zhang, Y.; Li, S.; Zhang, Y. Modified ZNN for time-varying quadratic programming with inherent tolerance to noises and its application to kinematic redundancy resolution of robot manipulators. IEEE Trans. Ind. Electron. 2016, 63, 6978–6988. [Google Scholar] [CrossRef]
- Xiao, L.; Zhang, Y.; Zuo, Q.; Dai, J.; Li, J.; Tang, W. A noise-tolerant zeroing neural network for time-dependent complex matrix inversion under various kinds of noises. IEEE Trans. Ind. Inform. 2019, 16, 3757–3766. [Google Scholar] [CrossRef] [Green Version]
- Hu, Z.; Xiao, L.; Dai, J.; Xu, Y.; Zuo, Q.; Liu, C. A Unified Predefined-Time Convergent and Robust ZNN Model for Constrained Quadratic Programming. IEEE Trans. Ind. Inform. 2020, 17, 1998–2010. [Google Scholar] [CrossRef]
- Shen, L.; Wu, J.; Yang, S. Initial position estimation in SRM using bootstrap circuit without predefined inductance parameters. IEEE Trans. Power Electr. 2011, 26, 2449–2456. [Google Scholar] [CrossRef]
- Li, W.; Su, Z.; Tan, Z. A variable-gain finite-time convergent recurrent neural network for time-variant quadratic programming with unknown noises endured. IEEE Trans. Ind. Inform. 2019, 15, 5330–5340. [Google Scholar] [CrossRef]
- Xiao, L.; Zhang, Y.; Dai, J.; Zuo, Q.; Wang, S. Comprehensive analysis of a new varying parameter zeroing neural network for time varying matrix inversion. IEEE Trans. Ind. Inform. 2020, 17, 1604–1613. [Google Scholar] [CrossRef]
- Stanimirović, P.; Gerontitis, D.; Tzekis, P.; Behera, R.; Sahoo, J.K. Simulation of varying parameter recurrent neural network with application to matrix inversion. Math. Comput. Simul. 2021, 185, 614–628. [Google Scholar] [CrossRef]
- Li, X.; Li, S.; Xu, Z.; Zhou, X. A vary-parameter convergence-accelerated recurrent neural network for online solving dynamic matrix pseudoinverse and its robot application. Neural Process Lett. 2021, 53, 1287–1304. [Google Scholar] [CrossRef]
- Zhang, Y.; Jiang, D.; Wang, J. A recurrent neural network for solving Sylvester equation with time-varying coefficients. IEEE Trans. Neural Netw. 2002, 13, 1053–1063. [Google Scholar] [CrossRef] [PubMed]
- Zhang, Y.; Qiu, B.; Jin, L.; Guo, D.; Yang, Z. Infinitely many Zhang functions resulting in various ZNN models for time-varying matrix inversion with link to Drazin inverse. Inf. Process. Lett. 2015, 115, 703–706. [Google Scholar] [CrossRef]
- Xiao, L.; Tan, H.; Jia, L.; Dai, J.; Zhang, Y. New error function designs for finite-time ZNN models with application to dynamic matrix inversion. Neurocomputing 2020, 402, 395–408. [Google Scholar] [CrossRef]
- Zhang, Y.; Chen, K. Comparison on Zhang neural network and gradient neural network for time-varying linear matrix equation AXB=C solving. In Proceedings of the 2008 IEEE International Conference on Industrial Technology, Chengdu, China, 21–24 April 2008; pp. 1–6. [Google Scholar]
- Miao, P.; Shen, Y.; Xia, X. Finite time dual neural networks with a tunable activation function for solving quadratic programming problems and its application. Neurocomputing 2014, 143, 80–89. [Google Scholar] [CrossRef] [Green Version]
- Li, W.; Liao, B.; Xiao, L.; Lu, R. A recurrent neural network with predefined-time convergence and improved noise tolerance for dynamic matrix square root finding. Neurocomputing 2019, 337, 262–273. [Google Scholar] [CrossRef]
- Dai, J.; Li, Y.; Xiao, L.; Jia, L. Zeroing neural network for time-varying linear equations with application to dynamic positioning. IEEE Trans. Ind. Inform. 2021. [Google Scholar] [CrossRef]










Publisher’s Note: MDPI stays neutral with regard to jurisdictional claims in published maps and institutional affiliations. |
© 2021 by the authors. Licensee MDPI, Basel, Switzerland. This article is an open access article distributed under the terms and conditions of the Creative Commons Attribution (CC BY) license (https://creativecommons.org/licenses/by/4.0/).
Share and Cite
He, Y.; Liao, B.; Xiao, L.; Han, L.; Xiao, X. Double Accelerated Convergence ZNN with Noise-Suppression for Handling Dynamic Matrix Inversion. Mathematics 2022, 10, 50. https://doi.org/10.3390/math10010050
He Y, Liao B, Xiao L, Han L, Xiao X. Double Accelerated Convergence ZNN with Noise-Suppression for Handling Dynamic Matrix Inversion. Mathematics. 2022; 10(1):50. https://doi.org/10.3390/math10010050
Chicago/Turabian StyleHe, Yongjun, Bolin Liao, Lin Xiao, Luyang Han, and Xiao Xiao. 2022. "Double Accelerated Convergence ZNN with Noise-Suppression for Handling Dynamic Matrix Inversion" Mathematics 10, no. 1: 50. https://doi.org/10.3390/math10010050
APA StyleHe, Y., Liao, B., Xiao, L., Han, L., & Xiao, X. (2022). Double Accelerated Convergence ZNN with Noise-Suppression for Handling Dynamic Matrix Inversion. Mathematics, 10(1), 50. https://doi.org/10.3390/math10010050

