Integrating Deep Learning into Educational Wellbeing: Early Screening of Anxiety, Depression, and Stress Among University Students
Abstract
1. Introduction
Objectives and Research Questions
- Systematically evaluate the impact of neural network architectural design (number of layers, neurons per layer, and training epochs) on classification performance for mental health risk detection.
- Assess the transferability and generalization capability of models trained with synthetic data when applied to real university student datasets.
- Determine whether optimized dense neural networks can achieve classification accuracy ≥ 95%, suitable for deployment in educational wellbeing and early intervention contexts.
- Identify the optimal architecture–hyperparameter configuration that balances model complexity, training efficiency, and predictive performance.
- RQ1:
- Can deep neural networks accurately classify severity levels of anxiety, depression, and stress based solely on standardized psychometric scale scores from BAI, BDI, and PSS-14?
- RQ2:
- How do architectural design choices (layer depth, neuron configuration) and training parameters (epochs, dataset size) influence classification accuracy, precision, recall, and F1-score?
- RQ3:
- To what extent are models trained with synthetic datasets transferable and applicable to real-world university student data without significant performance degradation?
2. Materials and Methods
2.1. Data Set
2.2. Architecture Selection
3. Results
3.1. Results with Synthetic Data
3.1.1. Training and Validation Results
- (A)
- BAI questionnaireFor the BAI questionnaire, the training and validation results are presented in Figure 4. The three-layer architecture (128-64-16) in Figure 4a reaches stability after 50 epochs. In Figure 4b, with the same number of students (260) but a two-layer architecture (32-16), stability is achieved after 150 epochs. Figure 4c presents the four-layer architecture (64-32-16-4), where training accuracy reaches 90% and validation accuracy 100%, both stabilizing after 100 epochs. Finally, Figure 4d illustrates the three-layer architecture (64-32-8), where both training and validation accuracies are close to 100% with stability reached after 100 epochs.
- (B)
- BDI questionnaireThe accuracy results for the BDI questionnaire are shown in Figure 5. The three-layer architecture (128-64-16) in Figure 5a reached stability in both training and validation after 50 epochs. In contrast, the two-layer architecture (32-16), illustrated in Figure 5b,c, achieved stability in validation after 75 epochs and in training after 125 epochs. The four-layer architecture in Figure 5d showed slight instability between 50 and 75 epochs but stabilized after 150 epochs.
- (C)
- PSS-14 questionnaireFigure 6 summarizes the results for the PSS-14 questionnaire. In general, the evaluated architectures showed similar behavior to those used for the other questionnaires, achieving stable and high accuracy in both training and validation after 100 to 150 epochs.
3.1.2. Evaluation of Different Architectures
- (A)
- BAI architecturesFigure 7 presents the evaluation of different architectures applied to the BAI questionnaire, varying the number of data points (260, 500, 1000, and 5000) and training epochs (100 and 200). The top-performing architectures were:
- 128-64-16/260 data points/200 epochs, which achieved 1.0 in precision, recall, F1-score, and accuracy.
- 64-32-16-4/260 data points/200 epochs, which also achieved 1.0 in all four metrics.
- 64-32-8/260 data points/200 epochs, which showed similarly optimal performance across all metrics.
- (B)
- BDI architecturesFigure 8 shows the impact of the number of epochs on the performance metrics for different architectures. The 128-64-16 architecture (Figure 8a) reached perfect performance with 260 and 500 surveys using 200 epochs, but performance decreased slightly with larger datasets. Similar patterns were observed for the other tested architectures, with 200 epochs consistently yielding the best results.
- (C)
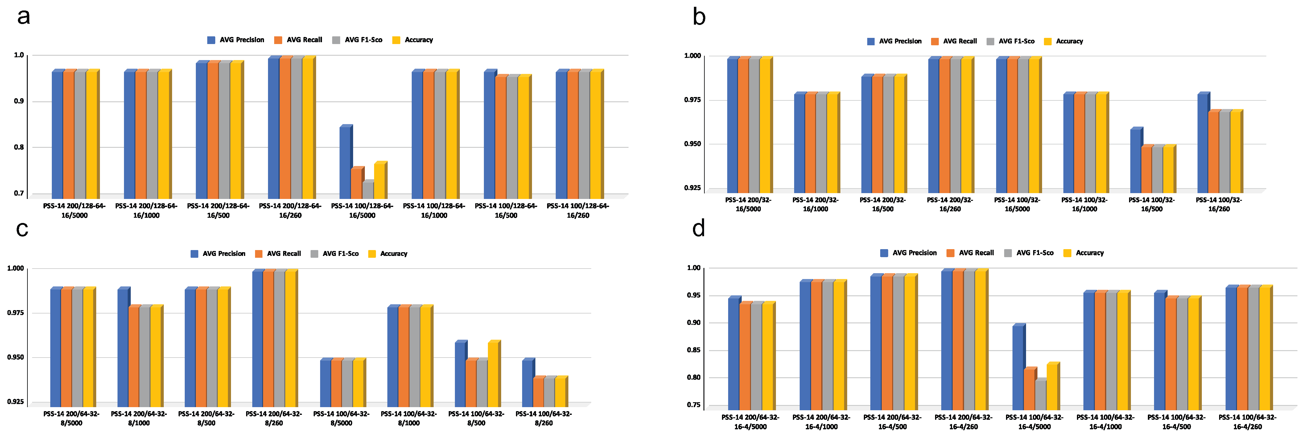
- PSS-14 architecturesFigure 9 presents the results of architectures trained with synthetic PSS-14 data. Performance was more variable in the largest dataset (5000 samples), but for smaller datasets (260 and 500 samples), the best configurations consistently achieved 1.0 across all metrics when trained for 200 epochs.
3.2. Results with Real Data
4. Discussion
5. Conclusions
Author Contributions
Funding
Institutional Review Board Statement
Informed Consent Statement
Data Availability Statement
Conflicts of Interest
References
- Auerbach, R. P., Alonso, J., Axinn, W. G., Cuijpers, P., Ebert, D. D., Green, J. G., Hwang, I., Kessler, R. C., Liu, H., Mortier, P., Nock, M. K., Pinder-Amaker, S., Sampson, N. A., Aguilar-Gaxiola, S., Al-Hamzawi, A., Andrade, L. H., Benjet, C., Caldas-de-Almeida, J. M., Demyttenaere, K., … Bruffaerts, R. (2016). Mental disorders among college students in the world health organization world mental health surveys. Psychological Medicine, 46(14), 2955–2970. [Google Scholar] [CrossRef] [PubMed]
- Baran, F. D. E., & Cetin, M. (2025). AI-driven early diagnosis of specific mental disorders: A comprehensive study. Cognitive Neurodynamics, 19(1), 70. [Google Scholar] [CrossRef] [PubMed]
- Beck, A. T., Steer, R. A., & Brown, G. K. (1996). Beck depression inventory—II. Psychological Corporation. [Google Scholar]
- Bradford, A., Meyer, A. N. D., Khan, S., Giardina, T. D., & Singh, H. (2024). Diagnostic error in mental health: A review. BMJ Quality & Safety, 33(10), 663–672. [Google Scholar] [CrossRef] [PubMed]
- Chatzilygeroudis, K., Hatzilygeroudis, I., & Perikos, I. (2021). Machine learning basics. In P. Eslambolchilar, A. Komninos, & M. Dunlop (Eds.), Intelligent computing for interactive system design (1st ed., pp. 143–193). ACM. [Google Scholar] [CrossRef]
- Cohen, S., Kamarck, T., & Mermelstein, R. (1983). A global measure of perceived stress. Journal of Health and Social Behavior, 24(4), 385–396. Available online: http://www.jstor.org/stable/2136404 (accessed on 21 June 2025). [CrossRef]
- Collins, G. S., Moons, K. G. M., Dhiman, P., Riley, R. D., Beam, A. L., Van Calster, B., Ghassemi, M., Liu, X., Reitsma, J. B., van Smeden, M., Boulesteix, A.-L., Camaradou, J. C., Celi, L. A., Denaxas, S., Denniston, A. K., Glocker, B., Golub, R. M., Harvey, H., Heinze, G., … Logullo, P. (2024). TRIPOD+AI statement: Updated guidance for reporting clinical prediction models that use regression or machine learning methods. BMJ, 385, e078378. [Google Scholar] [CrossRef]
- Cruz-Gonzalez, P., He, A. W.-J., Lam, E. P., Ng, I. M. C., Li, M. W., Hou, R., Chan, J. N.-M., Sahni, Y., Vinas Guasch, N., Miller, T., Lau, B. W.-M., & Sánchez Vidaña, D. I. (2025). Artificial intelligence in mental health care: A systematic review of diagnosis, monitoring, and intervention applications. Psychological Medicine, 55, e18. [Google Scholar] [CrossRef]
- de Filippis, R., & Al Foysal, A. (2025). AI-driven mental disorder prediction: A machine learning approach for early detection. Open Access Library Journal, 12(1), 1. [Google Scholar] [CrossRef]
- Duffy, A. (2023). University student mental health: An important window of opportunity for prevention and early intervention. The Canadian Journal of Psychiatry, 68(7), 495–498. [Google Scholar] [CrossRef]
- European Commission. (2019). Ethics guidelines for trustworthy AI | Shaping Europe’s digital future. Available online: https://digital-strategy.ec.europa.eu/en/library/ethics-guidelines-trustworthy-ai (accessed on 14 August 2025).
- Floridi, L., Cowls, J., Beltrametti, M., Chatila, R., Chazerand, P., Dignum, V., Luetge, C., Madelin, R., Pagallo, U., Rossi, F., Schafer, B., Valcke, P., & Vayena, E. (2018). AI4People—An ethical framework for a good AI society: Opportunities, risks, principles, and recommendations. Minds and Machines, 28(4), 689–707. [Google Scholar] [CrossRef]
- He, K., Zhang, X., Ren, S., & Sun, J. (2015). Deep residual learning for image recognition. arXiv, arXiv:1512.03385. [Google Scholar] [CrossRef]
- He, K., Zhang, X., Ren, S., & Sun, J. (2016, June 27–30). Deep residual learning for image recognition. IEEE Conference on Computer Vision and Pattern Recognition (CVPR) (pp. 770–778), Las Vegas, NV, USA. [Google Scholar]
- Hosny, A., Parmar, C., Quackenbush, J., Schwartz, L. H., & Aerts, H. J. W. L. (2018). Artificial intelligence in radiology. Nature Reviews Cancer, 18(8), 500–510. [Google Scholar] [CrossRef] [PubMed]
- Instituto Nacional de Estadística y Geografía (INEGI). (2021). Encuesta nacional de bienestar autorreportado (ENBIARE). Available online: https://www.inegi.org.mx/programas/enbiare/2021/#documentacion (accessed on 26 August 2025).
- Jung, A. (2022). Machine learning: The basics. Springer Nature. Available online: https://books.google.es/books?hl=es&lr=&id=1IBaEAAAQBAJ (accessed on 10 August 2025).
- Lee, E. E., Torous, J., De Choudhury, M., Depp, C. A., Graham, S. A., Kim, H.-C., Paulus, M. P., Krystal, J. H., & Jeste, D. V. (2021). Artificial Intelligence for mental health care: Clinical applications, barriers, facilitators, and artificial wisdom. Biol Psychiatry Cogn Neurosci Neuroimaging, 6(9), 856–864. [Google Scholar] [CrossRef] [PubMed]
- Levant, R. F., & Shapiro, A. E. (2002). Training psychologists in clinical psychopharmacology. Journal of Clinical Psychology, 58(6), 611–615. [Google Scholar] [CrossRef]
- Liopyris, K., Gregoriou, S., Dias, J., & Stratigos, A. J. (2022). Artificial intelligence in dermatology: Challenges and perspectives. Dermatology and Therapy, 12(12), 2637–2651. [Google Scholar] [CrossRef] [PubMed]
- Lițan, D.-E. (2025). Mental health in the “era” of artificial intelligence: Technostress and the perceived impact on anxiety and depressive disorders—An SEM analysis. Frontiers in Psychology, 16, 1600013. [Google Scholar] [CrossRef]
- Liu, X., Cruz Rivera, S., Moher, D., Calvert, M. J., & Denniston, A. K. (2020). Reporting guidelines for clinical trial reports for interventions involving artificial intelligence: The CONSORT-AI extension. Nature Medicine, 26(9), 1364–1374. [Google Scholar] [CrossRef]
- Lundberg, S. M., & Lee, S.-I. (2017). A unified approach to interpreting model predictions. In Advances in neural information processing systems (NeurIPS) (Vol. 30). Available online: https://proceedings.neurips.cc/paper/2017/hash/8a20a8621978632d76c43dfd28b67767-Abstract.html (accessed on 14 August 2025).
- Madububambachu, U., Ukpebor, A., & Ihezue, U. (2024). Machine learning techniques to predict mental health diagnoses: A systematic literature review. Clinical Practice and Epidemiology in Mental Health, 20, e17450179315688. [Google Scholar] [CrossRef]
- Matheny, M., Israni, S. T., Ahmed, M., & Whicher, D. (2022). Artificial intelligence in health care: The hope, the hype, the promise, the peril (Vol. 2019). National Academies Press. Available online: https://ehealthresearch.no/files/documents/Rapporter/Andre/2019-12-AI-in-Health-Care.pdf (accessed on 14 August 2025).
- McGorry, P. D., Purcell, R., Goldstone, S., & Amminger, G. P. (2011). Age of onset and timing of treatment for mental and substance use disorders: Implications for preventive intervention strategies and models of care. Current Opinion in Psychiatry, 24(4), 301–306. [Google Scholar] [CrossRef]
- Nair, V., & Hinton, G. E. (2010, June 21–24). Rectified linear units improve restricted boltzmann machines. 27th International Conference on Machine Learning (ICML’10) (pp. 807–814), Haifa, Israel. [Google Scholar]
- Obermeyer, Z., Powers, B., Vogeli, C., & Mullainathan, S. (2019). Dissecting racial bias in an algorithm used to manage the health of populations. Science, 366(6464), 447–453. [Google Scholar] [CrossRef]
- Olawade, D. B., Wada, O. Z., Odetayo, A., David-Olawade, A. C., Asaolu, F., & Eberhardt, J. (2024). Enhancing mental health with Artificial Intelligence: Current trends and future prospects. Journal of Medicine, Surgery, and Public Health, 3, 100099. [Google Scholar] [CrossRef]
- Patel, U. K., Anwar, A., Saleem, S., Malik, P., Rasul, B., Patel, K., Yao, R., Seshadri, A., Yousufuddin, M., & Arumaithurai, K. (2021). Artificial intelligence as an emerging technology in the current care of neurological disorders. Journal of Neurology, 268(5), 1623–1642. [Google Scholar] [CrossRef]
- Ribeiro, M. T., Singh, S., & Guestrin, C. (2016, August 13–17). “Why should I trust you?”: Explaining the predictions of any classifier. 22nd ACM SIGKDD International Conference on Knowledge Discovery and Data Mining (pp. 1135–1144), San Francisco, CA, USA. [Google Scholar] [CrossRef]
- Sharma, S. K., Alutaibi, A. I., Khan, A. R., Tejani, G. G., Ahmad, F., & Mousavirad, S. J. (2025). Early detection of mental health disorders using machine learning models using behavioral and voice data analysis. Scientific Reports, 15(1), 16518. [Google Scholar] [CrossRef] [PubMed]
- Shatte, A. B. R., Hutchinson, D. M., & Teague, S. J. (2019). Machine learning in mental health: A scoping review of methods and applications. Psychological Medicine, 49(9), 1426–1448. [Google Scholar] [CrossRef] [PubMed]
- Sun, J., Lu, T., Shao, X., Han, Y., Xia, Y., Zheng, Y., Wang, Y., Li, X., Ravindran, A., Fan, L., Fang, Y., Zhang, X., Ravindran, N., Wang, Y., Liu, X., & Lu, L. (2025). Practical AI application in psychiatry: Historical review and future directions. Molecular Psychiatry, 30(9), 4399–4408. [Google Scholar] [CrossRef] [PubMed]
- Tutun, S., Johnson, M. E., Ahmed, A., Albizri, A., Irgil, S., Yesilkaya, I., Ucar, E. N., Sengun, T., & Harfouche, A. (2023). An AI-based Decision Support System for Predicting Mental Health Disorders. Information Systems Frontiers, 25(3), 1261–1276. [Google Scholar] [CrossRef]
- Wanniarachchi, V. U., Greenhalgh, C., Choi, A., & Warren, J. R. (2025). Personalization variables in digital mental health interventions for depression and anxiety in adolescents and youth: A scoping review. Frontiers in Digital Health, 7, 1500220. [Google Scholar] [CrossRef]
- World Health Organization. (2021). Ethics and governance of artificial intelligence for health: WHO guidance (1st ed.). World Health Organization. [Google Scholar]
- World Health Organization. (2022). World mental health report: Transforming mental health for all. World Health Organization. [Google Scholar]
- Yarkoni, T. (2020). The generalizability crisis. Behavioral and Brain Sciences, 45, e1. [Google Scholar] [CrossRef]
- Yoo, J. H., Jeong, H., An, J. H., & Chung, T.-M. (2024). Mood disorder severity and subtype classification using multimodal deep neural network models. Sensors, 24(2), 715. [Google Scholar] [CrossRef]
- Zhang, L., Zhao, S., Yang, Z., Zheng, H., & Lei, M. (2024). An artificial intelligence tool to assess the risk of severe mental distress among college students in terms of demographics, eating habits, lifestyles, and sport habits: An externally validated study using machine learning. BMC Psychiatry, 24(1), 581. [Google Scholar] [CrossRef]










| Variable | Description | Values Employed |
|---|---|---|
| Number of participants | [260, 500, 1000, 5000] | |
| Neurons per hidden layer | [32-16], [64-32-8], [128-64-16], [64-32-16-4] | |
| Epochs | [100, 200] |
Disclaimer/Publisher’s Note: The statements, opinions and data contained in all publications are solely those of the individual author(s) and contributor(s) and not of MDPI and/or the editor(s). MDPI and/or the editor(s) disclaim responsibility for any injury to people or property resulting from any ideas, methods, instructions or products referred to in the content. |
© 2025 by the authors. Licensee MDPI, Basel, Switzerland. This article is an open access article distributed under the terms and conditions of the Creative Commons Attribution (CC BY) license.
Share and Cite
Juárez-Santiago, B.; Olvera-Raymundo, K.; Olivares-Ramírez, J.M.; Olguín-López, N.; Rodriguez Abreo, O.; Rodríguez-Reséndiz, J. Integrating Deep Learning into Educational Wellbeing: Early Screening of Anxiety, Depression, and Stress Among University Students. Educ. Sci. 2026, 16, 50. https://doi.org/10.3390/educsci16010050
Juárez-Santiago B, Olvera-Raymundo K, Olivares-Ramírez JM, Olguín-López N, Rodriguez Abreo O, Rodríguez-Reséndiz J. Integrating Deep Learning into Educational Wellbeing: Early Screening of Anxiety, Depression, and Stress Among University Students. Education Sciences. 2026; 16(1):50. https://doi.org/10.3390/educsci16010050
Chicago/Turabian StyleJuárez-Santiago, Brenda, Karla Olvera-Raymundo, Juan Manuel Olivares-Ramírez, Norma Olguín-López, Omar Rodriguez Abreo, and Juvenal Rodríguez-Reséndiz. 2026. "Integrating Deep Learning into Educational Wellbeing: Early Screening of Anxiety, Depression, and Stress Among University Students" Education Sciences 16, no. 1: 50. https://doi.org/10.3390/educsci16010050
APA StyleJuárez-Santiago, B., Olvera-Raymundo, K., Olivares-Ramírez, J. M., Olguín-López, N., Rodriguez Abreo, O., & Rodríguez-Reséndiz, J. (2026). Integrating Deep Learning into Educational Wellbeing: Early Screening of Anxiety, Depression, and Stress Among University Students. Education Sciences, 16(1), 50. https://doi.org/10.3390/educsci16010050

