Innovative Integration of Poetry and Visual Arts in Metaverse for Sustainable Education
Abstract
1. Introduction
2. Theoretical Background
3. Methodology
3.1. Research Subjects
3.2. Research Methods
- Basic Statistical Analysis (Cross-Analysis): Descriptive statistical analysis was conducted to examine the differences in the responses based on the participants’ willingness to participate.
- Correlation Analysis: A correlation analysis was performed to investigate the degree of alignment in the respondents’ answers to various questions.
- Logistic Regression Analysis: Logistic regression analysis was conducted with the willingness to participate as the dependent variable, identifying which questions significantly influenced the future willingness to participate.
- Structural Equation Modeling (SEM): Structural equation modeling was employed to group the items into factors and analyze the relationships. The results indicated that both the content and the methods of analysis significantly affected each other.
4. Analysis Results
4.1. Basic Statistical Analysis Results
4.2. Correlation Analysis
4.3. Logistic Regression Analysis
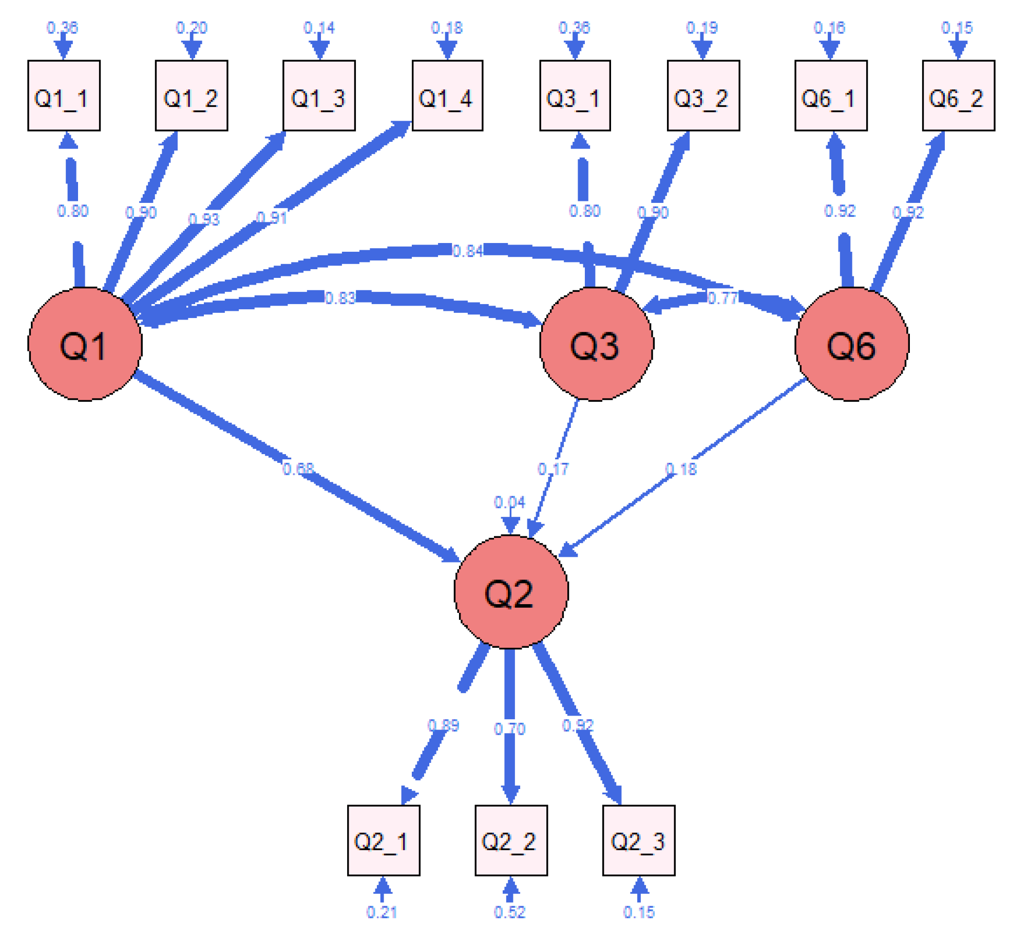
4.4. Structural Equation Modeling Analysis
- Chi-square (Chisq): This statistic assesses the difference between the model and the data. A smaller value is preferable. Here, the value is 95.856, and the p-value is 0.000, indicating significant differences.
- Goodness of Fit Index (GFI): This index represents model fit, where values above 0.90 are considered adequate. The model’s GFI is 0.846, which is slightly below the threshold.
- Root Mean Square Error of Approximation (RMSEA): This index measures model error, with values below 0.05 considered adequate. The model’s RMSEA is 0.134, indicating a lower fit.
- Comparative Fit Index (CFI): This index evaluates model fit, with values above 0.90 considered good. The model’s CFI is 0.940, which is satisfactory.
- Tucker–Lewis Index (TLI): Another index for evaluating model fit, where values above 0.90 are preferable. The current TLI value is 0.913, which is relatively good. The indicators for evaluating convergent validity and reliability are presented in Table 7 below.
| Reliability | Average Variance Extracted | Cronbach’s Alpha | |
|---|---|---|---|
| Q1 | 0.933 | 0.778 | 0.933 |
| Q2 | 0.868 | 0.688 | 0.862 |
| Q3 | 0.837 | 0.719 | 0.837 |
| Q4 | 0.917 | 0.847 | 0.916 |
- Composite Reliability (CR): This evaluates the internal consistency of each construct. A CR value above 0.7 is considered to indicate good reliability. For Q1: 0.933, Q2: 0.868, Q3: 0.837, and Q6: 0.917—all indicate high reliability.
- Average Variance Extracted (AVE): This measures the explanatory power of each construct. An AVE value above 0.5 is considered adequate. For Q1: 0.778, Q2: 0.688, Q3: 0.719, and Q6: 0.847—all are considered adequate.
- Cronbach’s Alpha: This index assesses internal consistency, where a value above 0.7 is viewed as indicative of high reliability. For Q1: 0.933, Q2: 0.862, Q3: 0.837, and Q6: 0.916—all demonstrate high reliability.
4.5. FGI Results
5. Discussion
6. Conclusions
6.1. Theoretical Contribution
6.2. Practical Implication
6.3. Limitations and Future Research Directions
Author Contributions
Funding
Institutional Review Board Statement
Informed Consent Statement
Data Availability Statement
Conflicts of Interest
Appendix A
- Pre-consideration
- 2.
- The positive aspects and the shortcomings
- 3.
- Improvement points
- 4.
- Suggestions for Necessary Education
References
- Asare, S.; Walden, P.; Aniagyei, E.; Emmanuel, M. A Comparative Study of Traditional Art Techniques versus Digital Art Techniques in the Context of College Visual Art Education. Am. J. Arts Soc. Humanit. Stud. 2023, 3, 21–34. [Google Scholar] [CrossRef]
- Korean National Institute of Special Education. Study on the Development of Draft of the National Curriculum Standards of the 2015 Revised Special Education Curriculum; Korean National Institute of Special Education: Changwon, Republic of Korea, 2015. [Google Scholar]
- Van den Beemt, A.; MacLeod, M.; Van der Veen, J.; Van de Ven, A.; Van Baalen, S.; Klaassen, R.; Boon, M. Interdisciplinary engineering education: A review of vision, teaching, and support. J. Eng. Educ. 2020, 109, 508–555. [Google Scholar] [CrossRef]
- Moirano, R.; Sánchez, M.A.; Štěpánek, L. Creative interdisciplinary collaboration: A systematic literature review. Think. Ski. Creat. 2020, 35, 100626. [Google Scholar] [CrossRef]
- Mohsen, M.A.; Alangari, T.S. Analyzing two decades of immersive technology research in education: Trends, clusters, and future directions. Educ. Inf. Technol. 2024, 29, 3571–3587. [Google Scholar] [CrossRef]
- Baxter, G.; Hainey, T. Using immersive technologies to enhance the student learning experience. Interact. Technol. Smart Educ. 2024, 21, 403–425. [Google Scholar] [CrossRef]
- Onu, P.; Pradhan, A.; Mbohwa, C. Potential to use metaverse for future teaching and learning. Educ. Inf. Technol. 2024, 29, 8893–8924. [Google Scholar] [CrossRef]
- Lee, H.; Hwang, Y. Technology-enhanced education through VR-making and metaverse-linking to foster teacher readiness and sustainable learning. Sustainability 2022, 14, 4786. [Google Scholar] [CrossRef]
- Kang, H.; Han, H. Analysis on Awareness and Actual Condition of Metaverse Utilization in Education for Design Major Students: Focusing on D-University. J. Converg. Cult. Technol. 2023, 9, 837–842. [Google Scholar]
- Stukalina, Y. Towards Innovative Education: Developing Digital Learning Strategy in a Modern University. In Proceedings of the Selected Papers from the 20th International Conference on Reliability and Statistics in Transportation and Communication, RelStat2020, Riga, Latvia, 14–17 October 2020; Springer: Cham, Switzerland, 2021; pp. 793–803. [Google Scholar]
- Ullah, A.; Anwar, S. The effective use of information technology and interactive activities to improve learner engagement. Educ. Sci. 2020, 10, 349. [Google Scholar] [CrossRef]
- Kim, H. Dewey and the Naturalistic Turn of the Philosophy of Art in Search of the Lost Aesthetic Experience. Cheolhak Korean J. Philos. 2020, 142, 171–198. [Google Scholar] [CrossRef]
- Park, H.Y. A Study on Aesthetic Experiences as Evidence for Healing in Integrated Arts—Focused on John Dewey’s Qualitative Thought and An Experience; Korean Society of Science and Arts Convergence: Daegu, Republic of Korea, 2021; Volume 39, pp. 179–192. [Google Scholar]
- Jusslin, S.; Höglund, H. Arts-based responses to teaching poetry: A literature review of dance and visual arts in poetry education. Literacy 2021, 55, 39–51. [Google Scholar] [CrossRef]
- Lee, S. Catcalling; Minumsa: Seoul, Republic of Korea, 2018. [Google Scholar]
- Lee, S. Unseemly and Imperfect Letters; Hyundae Munhak: Seoul, Republic of Korea, 2021. [Google Scholar]
- Kim, J.Y. Aesthetic Potential in a New Era and Ad Infinitum. Blue Pap. 2021, 2, 27–57. [Google Scholar]
- Soo, K. Study on Intertextuality and Its Educational Methods in Poetry. Master’s Thesis, Inha University, Incheon, Republic of Korea, 2013. [Google Scholar]
- Yi, S. Collected Poems; Baekyangdang: Seoul, Republic Korea, 1949. [Google Scholar]
- Lee, S.H. Encountering Forty-Five Pieces of ‘Visual Poetry’—Poem: Poem Exhibition. 2010. Available online: https://www.jungle.co.kr/magazine/2357 (accessed on 16 June 2024).
- Korea Craft& Design Foundation. 2024. Available online: https://blog.naver.com/kcdf2010/130175678191 (accessed on 16 June 2024).
- Lin, H.C.K.; Hsieh, M.C.; Liu, E.Z.F.; Chuang, T.Y. Interacting with Visual Poems through AR-Based Digital Artwork. Turk. Online J. Educ. Technol. 2012, 11, 123–137. [Google Scholar]
- Lee, H. Utilization of Metaverse in Spatial Design Studio for Enhancing Creativity; KISD: Seoul, Republic of Korea, 2023; Volume 18, pp. 429–440. [Google Scholar]
- Kim, S.Y.; Yoon, S.-Y.; Oh, J.-W. Digital sensitivity and classical literature education in universities: Focused on Classical Literature and Video (DT) using metaverse. Ihwa Eo’mun. Nonjib. 2022, 56, 5–28. [Google Scholar]
- Jo, A. A Case Study on the Art Class Applying the Goal-Based Scenario (GBS) in the Metaverse Learning Situation; KAEA: Seoul, Republic of Korea, 2022; Volume 36, pp. 165–194. [Google Scholar]
- Jenkins, H. Convergence Culture: Where Old and New Media Collide; New York University Press: New York, NY, USA, 2006. [Google Scholar]
- Luo, Z.; Abbasi, B.N.; Yang, C.; Li, J.; Sohail, A. A systematic review of evaluation and program planning strategies for technology integration in education: Insights for evidence-based practice. Educ. Inf. Technol. 2024, 29, 7. [Google Scholar] [CrossRef]
- Msafiri, M.M.; Kangwa, D.; Cai, L. A systematic literature review of ICT integration in secondary education: What works, what does not, and what next? Discov. Educ. 2023, 2, 44. [Google Scholar] [CrossRef]
- Liu, L.; Xiang, Z.; Liu, Y.; Zach, F.J.; McGehee, N. Factors Influencing Exhibitor Satisfaction and Loyalty: A Meta-Analysis on the Chinese Exhibition Market. Sustainability 2020, 12, 8390. [Google Scholar] [CrossRef]
- Reinhold, M.; Reinhold, S.; Schmitz, C. Understanding exhibitor satisfaction in trade shows and consumer fairs. In Handbuch Messemanagement: Planung, Durchführung und Kontrolle von Messen, Kongressen und Events; Springer: Berlin/Heidelberg, Germany, 2017; pp. 857–872. [Google Scholar]
- Schnitzler, K.; Holzberger, D.; Seidel, T. All better than being disengaged: Student engagement patterns and their relations to academic self-concept and achievement. Eur. J. Psychol. Educ. 2021, 36, 627–652. [Google Scholar] [CrossRef]
- Berti, S.; Grazia, V.; Molinari, L. Active Student Participation in Whole-School Interventions in Secondary School. A Systematic Literature Review. Educ. Psychol. Rev. 2023, 35, 52. [Google Scholar] [CrossRef]
- Rusticus, S.A.; Pashootan, T.; Mah, A. What are the key elements of a positive learning environment? Perspectives from students and faculty. Learn. Environ. Res. 2023, 26, 161–175. [Google Scholar] [CrossRef]
- Geng, X.; Su, Y.-S. Enhancing K-12 Students’ STEM Learning Through the Integration of the Metaverse into Online and Blended Environments: A Meta-Analysis. Int. J. Sci. Math. Educ. 2024. [Google Scholar] [CrossRef]
- Sharma, A.; Sharma, L.; Krezel, J. Exploring the Use of Metaverse for Collaborative Learning in Higher Education: A Scoping Review; Springer: Cham, Switzerland, 2023; pp. 240–251. [Google Scholar]
- Peters, D.; Calvo, R.A.; Ryan, R.M. Designing for motivation, engagement and wellbeing in digital experience. Front. Psychol. 2018, 9, 797. [Google Scholar] [CrossRef] [PubMed]
- Lin, H.; Wan, S.; Gan, W.; Chen, J.; Chao, H.-C. Metaverse in education: Vision, opportunities, and challenges. In Proceedings of the 2022 IEEE International Conference on Big Data (Big Data), Osaka, Japan, 17–20 December 2022; pp. 2857–2866. [Google Scholar]
- Kaddoura, S.; Al Husseiny, F. The rising trend of Metaverse in education: Challenges, opportunities, and ethical considerations. PeerJ Comput. Sci. 2023, 9, e1252. [Google Scholar] [CrossRef] [PubMed]
- Han, F. The Relations between Teaching Strategies, Students’ Engagement in Learning, and Teachers’ Self-Concept. Sustainability 2021, 13, 5020. [Google Scholar] [CrossRef]
- Almulla, M.A. The effectiveness of the project-based learning (PBL) approach as a way to engage students in learning. Sage Open 2020, 10, 2158244020938702. [Google Scholar] [CrossRef]
- Haleem, A.; Javaid, M.; Qadri, M.A.; Suman, R. Understanding the role of digital technologies in education: A review. Sustain. Oper. Comput. 2022, 3, 275–285. [Google Scholar] [CrossRef]
- Ansari, J.A.N.; Khan, N.A. Exploring the role of social media in collaborative learning the new domain of learning. Smart Learn. Environ. 2020, 7, 9. [Google Scholar] [CrossRef]
- Chickering, A.W.; Gamson, Z.F. Seven principles for good practice in undergraduate education. AAHE Bull. 1987, 3, 7. [Google Scholar]
- Simmons, J. Interdisciplinary Studies Students’ Academic and Social Engagement: A Quantitative Study. Ph.D. Thesis, University of Central Florida, Orlando, FL, USA, 2011. Available online: https://stars.library.ucf.edu/etd/1714 (accessed on 1 July 2024).
- Wang, Y. Space Design of Exhibition Hall Based on Virtual Reality; Springer: Singapore, 2023; pp. 157–165. [Google Scholar]
- Zidianakis, E.; Partarakis, N.; Kontaki, E.; Kopidaki, S.; Xhako, A.; Pervolarakis, Z.; Agapakis, A.; Foukarakis, M.; Ntoa, S.; Barbounaki, I.; et al. Web-Based Authoring Tool for Virtual Exhibitions; Springer: Cham, Switzerland, 2022; pp. 378–385. [Google Scholar]
- Jovanović, A.; Milosavljević, A. VoRtex Metaverse platform for gamified collaborative learning. Electronics 2022, 11, 317. [Google Scholar] [CrossRef]
- Damaševičius, R.; Sidekerskienė, T. Virtual Worlds for Learning in Metaverse: A Narrative Review. Sustainability 2024, 16, 2032. [Google Scholar] [CrossRef]
- Verzella, M. Virtual exchange between cross-cultural teams: A sustainable path to the internationalization of college courses. Transform. Dialogues Teach. Learn. J. 2018, 11. [Google Scholar]












| Question | Response | Willing to Participate (N = 60) | Depends on the Situation (N = 25) | p-Value |
|---|---|---|---|---|
| Q1_1 | −4 | 4 (6.7%) | 7 (28.0%) | 0.051 |
| −5 | 14 (23.3%) | 6 (24.0%) | ||
| −6 | 14 (23.3%) | 5 (20.0%) | ||
| −7 | 28 (46.7%) | 7 (28.0%) | ||
| Q1_2 | −4 | 5 (8.3%) | 5 (20.0%) | 0.018 ** |
| −5 | 6 (10.0%) | 8 (32.0%) | ||
| −6 | 19 (31.7%) | 4 (16.0%) | ||
| −7 | 30 (50.0%) | 8 (32.0%) | ||
| Q1_3 | −4 | 4 (6.7%) | 3 (12.0%) | 0.014 ** |
| −5 | 9 (15.0%) | 11 (44.0%) | ||
| −6 | 15 (25.0%) | 2 (8.0%) | ||
| −7 | 32 (53.3%) | 9 (36.0%) | ||
| Q1_4 | −3 | 0 (0.0%) | 1 (4.0%) | 0.112 |
| −4 | 4 (6.7%) | 4 (16.0%) | ||
| −5 | 11 (18.3%) | 8 (32.0%) | ||
| −6 | 13 (21.7%) | 4 (16.0%) | ||
| −7 | 32 (53.3%) | 8 (32.0%) |
| Question | Response | Willing to Participate (N = 60) | Depends on the Situation (N = 25) | p-Value |
|---|---|---|---|---|
| Q2_1 | −4 | 3 (5.0%) | 3 (12.0%) | 0.035 ** |
| −5 | 4 (6.7%) | 6 (24.0%) | ||
| −6 | 11 (18.3%) | 6 (24.0%) | ||
| −7 | 42 (70.0%) | 10 (40.0%) | ||
| Q2_2 | −3 | 2 (3.3%) | 0 (0.0%) | 0.007 *** |
| −4 | 2 (3.3%) | 7 (28.0%) | ||
| −5 | 9 (15.0%) | 6 (24.0%) | ||
| −6 | 13 (21.7%) | 3 (12.0%) | ||
| −7 | 34 (56.7%) | 9 (36.0%) | ||
| Q2_3 | −3 | 0 (0.0%) | 1 (4.0%) | 0.054 |
| −4 | 3 (5.0%) | 4 (16.0%) | ||
| −5 | 9 (15.0%) | 7 (28.0%) | ||
| −6 | 15 (25.0%) | 6 (24.0%) | ||
| −7 | 33 (55.0%) | 7 (28.0%) |
| Question | Response | Willing to Participate (N = 60) | Depends on the Situation (N = 25) | p-Value |
|---|---|---|---|---|
| Q3_1 | −3 | 2 (3.3%) | 3 (12.0%) | 0.16 |
| −4 | 10 (16.7%) | 6 (24.0%) | ||
| −5 | 13 (21.7%) | 8 (32.0%) | ||
| −6 | 15 (25.0%) | 2 (8.0%) | ||
| −7 | 20 (33.3%) | 6 (24.0%) | ||
| Q3_2 | −3 | 1 (1.7%) | 0 (0.0%) | 0.187 |
| −4 | 7 (11.7%) | 6 (24.0%) | ||
| −5 | 10 (16.7%) | 8 (32.0%) | ||
| −6 | 18 (30.0%) | 4 (16.0%) | ||
| −7 | 24 (40.0%) | 7 (28.0%) |
| Variable | 1 | 2 | 3 | 4 | 5 | 6 | 7 | 8 | 9 | 10 | 11 | 12 |
|---|---|---|---|---|---|---|---|---|---|---|---|---|
| 1. Q1_1 | ||||||||||||
| 2. Q1_2 | 0.77 ** | |||||||||||
| [0.67, 0.85] | ||||||||||||
| 3. Q1_3 | 0.69 ** | 0.85 ** | ||||||||||
| [0.56, 0.79] | [0.78, 0.90] | |||||||||||
| 4. Q1_4 | 0.74 ** | 0.77 ** | 0.85 ** | |||||||||
| [0.62, 0.82] | [0.67, 0.85] | [0.78, 0.90] | ||||||||||
| 5. Q2_1 | 0.70 ** | 0.78 ** | 0.77 ** | 0.82 ** | ||||||||
| [0.57, 0.80] | [0.67, 0.85] | [0.66, 0.84] | [0.74, 0.88] | |||||||||
| 6. Q2_2 | 0.57 ** | 0.55 ** | 0.60 ** | 0.63 ** | 0.56 ** | |||||||
| [0.40, 0.69] | [0.38, 0.68] | [0.44, 0.72] | [0.49, 0.75] | [0.40, 0.69] | ||||||||
| 7. Q2_3 | 0.70 ** | 0.77 ** | 0.85 ** | 0.82 ** | 0.82 ** | 0.68 ** | ||||||
| [0.57, 0.79] | [0.66, 0.84] | [0.77, 0.90] | [0.74, 0.88] | [0.74, 0.88] | [0.54, 0.78] | |||||||
| 8. Q3_1 | 0.55 ** | 0.64 ** | 0.58 ** | 0.64 ** | 0.56 ** | 0.67 ** | 0.66 ** | |||||
| [0.38, 0.68] | [0.49, 0.75] | [0.42, 0.71] | [0.49, 0.75] | [0.40, 0.69] | [0.54, 0.78] | [0.52, 0.76] | ||||||
| 9. Q3_2 | 0.66 ** | 0.73 ** | 0.67 ** | 0.62 ** | 0.64 ** | 0.67 ** | 0.73 ** | 0.72 ** | ||||
| [0.52, 0.77] | [0.62, 0.82] | [0.53, 0.77] | [0.47, 0.74] | [0.50, 0.75] | [0.53, 0.77] | [0.61, 0.81] | [0.60, 0.81] | |||||
| 10. Q4 | 0.55 ** | 0.58 ** | 0.60 ** | 0.60 ** | 0.70 ** | 0.51 ** | 0.66 ** | 0.42 ** | 0.52 ** | |||
| [0.38, 0.68] | [0.42, 0.71] | [0.45, 0.72] | [0.45, 0.72] | [0.57, 0.80] | [0.33, 0.65] | [0.52, 0.77] | [0.23, 0.58] | [0.35, 0.66] | ||||
| 11. Q5 | 0.68 ** | 0.80 ** | 0.74 ** | 0.77 ** | 0.82 ** | 0.54 ** | 0.78 ** | 0.64 ** | 0.71 ** | 0.68 ** | ||
| [0.55, 0.78] | [0.70, 0.86] | [0.62, 0.82] | [0.66, 0.84] | [0.74, 0.88] | [0.37, 0.67] | [0.67, 0.85] | [0.50, 0.75] | [0.58, 0.80] | [0.55, 0.78] | |||
| 12. Q6_1 | 0.56 ** | 0.73 ** | 0.72 ** | 0.68 ** | 0.76 ** | 0.47 ** | 0.72 ** | 0.56 ** | 0.68 ** | 0.70 ** | 0.84 ** | |
| [0.40, 0.69] | [0.61, 0.81] | [0.60, 0.81] | [0.55, 0.78] | [0.66, 0.84] | [0.28, 0.62] | [0.59, 0.81] | [0.39, 0.69] | [0.55, 0.78] | [0.57, 0.79] | [0.76, 0.89] | ||
| 13. Q6_2 | 0.59 ** | 0.71 ** | 0.72 ** | 0.70 ** | 0.78 ** | 0.49 ** | 0.73 ** | 0.50 ** | 0.63 ** | 0.70 ** | 0.84 ** | 0.85 ** |
| [0.43, 0.71] | [0.58, 0.80] | [0.59, 0.81] | [0.58, 0.80] | [0.67, 0.85] | [0.32, 0.64] | [0.62, 0.82] | [0.32, 0.64] | [0.48, 0.74] | [0.57, 0.79] | [0.76, 0.89] | [0.77, 0.90] |
| Variable | Estimate | Std. Error | p-Value |
|---|---|---|---|
| Intercept | −3.13 | 1.417 | 0.027 |
| Q2_3 | 0.672 | 0.238 | 0.005 |
| Chisq | df | p-Value | GFI | RMSEA | CFI | TLI |
|---|---|---|---|---|---|---|
| 98.856 | 38 | 0.000 | 0.846 | 0.134 | 0.940 | 0.913 |
| Variable | Estimate | Std. Error | p-Value |
|---|---|---|---|
| Q2 | 1.050 | 0.263 | <0.001 *** |
| Q3 | −0.026 | 0.134 | 0.849 |
| Q6 | −0.030 | 0.148 | 0.842 |
| Variable | Estimate | Std. Error | p-Value |
|---|---|---|---|
| Q2 | 0.661 | 0.137 | <0.001 *** |
| Q3 | 0.138 | 0.092 | 0.132 |
| Q6 | 0.166 | 0.098 | 0.091 |
| Variable | Estimate | Std. Error | p-Value |
|---|---|---|---|
| Q1 | −0.135 | 0.728 | 0.853 |
| Q2 | 1.161 | 0.895 | 0.194 |
| Q6 | 0.027 | 0.255 | 0.914 |
Disclaimer/Publisher’s Note: The statements, opinions and data contained in all publications are solely those of the individual author(s) and contributor(s) and not of MDPI and/or the editor(s). MDPI and/or the editor(s) disclaim responsibility for any injury to people or property resulting from any ideas, methods, instructions or products referred to in the content. |
© 2024 by the authors. Licensee MDPI, Basel, Switzerland. This article is an open access article distributed under the terms and conditions of the Creative Commons Attribution (CC BY) license (https://creativecommons.org/licenses/by/4.0/).
Share and Cite
Kim, J.-y.; Kim, H.-s. Innovative Integration of Poetry and Visual Arts in Metaverse for Sustainable Education. Educ. Sci. 2024, 14, 1012. https://doi.org/10.3390/educsci14091012
Kim J-y, Kim H-s. Innovative Integration of Poetry and Visual Arts in Metaverse for Sustainable Education. Education Sciences. 2024; 14(9):1012. https://doi.org/10.3390/educsci14091012
Chicago/Turabian StyleKim, Ji-yoon, and Han-sol Kim. 2024. "Innovative Integration of Poetry and Visual Arts in Metaverse for Sustainable Education" Education Sciences 14, no. 9: 1012. https://doi.org/10.3390/educsci14091012
APA StyleKim, J.-y., & Kim, H.-s. (2024). Innovative Integration of Poetry and Visual Arts in Metaverse for Sustainable Education. Education Sciences, 14(9), 1012. https://doi.org/10.3390/educsci14091012

