Development and Validation of Scientific Inquiry Literacy Instrument (SILI) Using Rasch Measurement Model
Abstract
1. Introduction
2. Materials and Methods
2.1. Research Method
2.2. Research Context
2.3. Sample Research
2.4. Instrument Research
2.5. Data Collection
2.6. Analysis and Interpretation
2.6.1. Rasch Statistics
- a.
- MNSQ value accepted: 0.5 < MNSQ < 1.5.
- b.
- ZSTD received: −2.0 < ZSTD + 2.0.
- c.
- Pt Mean Corr received: 0.4 < Pt Measure Corr < 0.85.
2.6.2. Person and Item Reliability
2.6.3. Dimensionality
2.6.4. Differential Item Functioning (DIF)
2.6.5. Targeting
2.6.6. Wright Maps
3. Results and Discussion
3.1. Item Characteristics
3.1.1. Item Characteristics of the SILI Knowledge Aspect
3.1.2. Item Characteristics of the SILI Skills Aspect
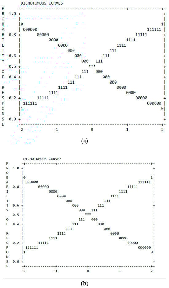
3.2. Probability of Response SILI
3.3. Wright Maps of SILI
3.4. Item Testing: The Dimensionality of the SILI
3.5. Detection of Gender Biases
3.6. Detection of Region-Biased
3.7. Detection of Science Majors Biases
3.8. Information Measurement
4. Conclusions
5. Limitations and Further Directions
Author Contributions
Funding
Institutional Review Board Statement
Informed Consent Statement
Data Availability Statement
Acknowledgments
Conflicts of Interest
Appendix A. Example of the SILI Knowledge Aspect (Indicator Number: 1, 10, 11, 12, 13, 17, 21, 22, and 23)
- 1.
- To learn about nature, scientists must study the world in an organized way. They use skills known as…
| a. Scientific Method | b. Observation | c. Inquiry |
| d. Experiment | e. Hypothesis |
- 10.
- The following is not considered a tool for a physics experimental activity…
| a. Nichrome Wire | b. Cable | c. Crocodile Claws |
| d. Power supply | e. Ammeter |
- 11.
- The following are not classified as materials for a physics experimental activity…
| a. Nichrome Wire | b. Cooking oil | c. Rubber |
| d. Salt | e. Bunsen burner |
- 12.
- A physical quantity whose value also changes when the value of another quantity is modified is called a(n)…
| a. Independent variable | b. Control variable | c. Accompanying variable |
| d. Dependent variable | e. Impacted variable |
- 13.
- A physical quantity whose value is varied to determine variations in other quantities in an experiment is called a(n)…
| a. Independent variable | b. Control variable | c. Accompanying variable |
| d. Dependent variable | e. Impacted variable |
- 17.
- Look at the three pictures below. Figure I informs Indonesia’s Per Capita Income 2006–2011, Figure II tells the mass of grade 4 elementary school students, and Figure III informs the education level of the parents of science students.
| a. I only | b. II only | c. III only | d. I and II | e. I and III |
- 21.
- Scientists develop scientific procedures to make discoveries, test hypotheses, or demonstrate known facts. This procedure can be a lot of fun, but scientists need to make sure to control variables when they perform a(n)…
| a. Inquiry | b. Scientific method | c. Observation |
| d. Experiment | e. Measurement |
- 22.
- What skills do you use when you sort items into groups?
| a. Classifying | b. Observing | c. Measuring |
| d. Predicting | e. Generalizing |
- 23.
- Which skill uses your five senses?
| a. Predicting | b. Measuring | c. Communicating |
| d. Observing | e. Experimenting |
Appendix B. Example of the SILI Skills Aspect (1, 2, 6, and 8)
- 1.
- A scientist wants to investigate how a scientific phenomenon can occur through a series of scientific experimental processes consisting of the following non-sequential steps:
- Draw conclusions based on data analysis.
- Put forward a prediction.
- Provide assumptions.
- Produce explanations of phenomena.
- (a)
- 2, 3, 1, 4
- (b)
- 1, 3, 4, 2
- (c)
- 4, 2, 3, 1
- (d)
- 3, 4, 2, 1
- 2.
- A science student heats a beaker containing water mixed with ice and observes the temperature using a thermometer. While continuing to stir the mixture of water and ice and after heating it for a while, it turned out that the temperature of the water mixed with ice did not rise. He concluded that the heat provided did not raise the temperature of the water for a long time because it was continuously stirred. What kind of opinion is needed to correct this conclusion?
- (a)
- Nothing; it is an acceptable conclusion, as stated.
- (b)
- It would be a correct conclusion only if there was no ice during the process.
- (c)
- It would be correct if the experiment started with ice only.
- (d)
- It would be correct if there was no stirring.
- 6.
- A physics student uses a spring balance to measure the weight of several weights, each of which has a mass specified by the manufacturer. After obtaining the data, the student then makes a graph and finds the most suitable trend line based on the data obtained.
- (a)
- Yes, I agree because the graphic data shows that.
- (b)
- Yes, agree, students have discovered something new.
- (c)
- Disagree, students make predictions outside the range of the data incorrectly.
- (d)
- Disagree, this situation is physically impossible.
- 8.
- In investigating question 6 above, what is the most likely reason why the trend line obtained does not pass through the origin (0, 0) on the graph?
- (a)
- The spring balance scale used is less accurate.
- (b)
- The balance scale is not adjusted to read 0 when there is no weight attached to it.
- (c)
- The spring balance has a spring that is no longer elastic.
- (d)
- The mass label on the load is incorrect.
References
- Tobi, H.; Kampen, J.K. Research design: The methodology for interdisciplinary research framework. Qual. Quant. 2018, 52, 1209–1225. [Google Scholar] [CrossRef]
- Clough, M.P. Teaching and learning about the nature of science. Sci. Educ. 2018, 27, 1–5. [Google Scholar] [CrossRef]
- Dood, A.J.; Watts, F.M. Mechanistic reasoning in organic chemistry: A scoping review of how students describe and explain mechanisms in the chemistry education research literature. J. Chem. Educ. 2022, 99, 2864–2876. [Google Scholar] [CrossRef]
- Wahyu, Y.; Suastra, I.W.; Sadia, I.W.; Suarni, N.K. The Effectiveness of Mobile Augmented Reality Assisted Stem-Based Learning on Scientific Literacy and Students’ Achievement. Int. J. Instr. 2020, 13, 343–356. [Google Scholar] [CrossRef]
- Gai, L.; Li, Y.; Zheng, C.; Wei, B.; Jiang, Z.; Lederman, J.S. The progression of students’ views about nature of scientific inquiry. Int. J. Sci. Educ. 2022, 44, 2508–2540. [Google Scholar] [CrossRef]
- Höttecke, D.; Allchin, D. Reconceptualizing nature-of-science education in the age of social media. Sci. Educ. 2020, 104, 641–666. [Google Scholar] [CrossRef]
- Safkolam, R.; Madahae, S.; Saleah, P. The effects of inquiry-based learning activities to understand the nature of science of science student teachers. Int. J. Instr. 2024, 17, 479–496. [Google Scholar] [CrossRef]
- Kinyota, M. The status of and challenges facing secondary science teaching in Tanzania: A focus on inquiry-based science teaching and the nature of science. Int. J. Sci. Educ. 2020, 42, 2126–2144. [Google Scholar] [CrossRef]
- Mesci, G.; Kartal, E.E. Science teachers’ views on nature of scientific inquiry. Bartın Univ. J. Fac. Educ. 2021, 2021, 69–84. [Google Scholar] [CrossRef]
- Khishfe, R. Improving students’ conceptions of nature of science: A review of the literature. Sci. Educ. 2023, 32, 1887–1931. [Google Scholar] [CrossRef]
- Lederman, J.S.; Lederman, N.G.; Bartels, S.; Jimenez, J.; Acosta, K.; Akubo, M.; Wishart, J. International collaborative follow-up investigation of graduating high school students’ understandings of the nature of scientific inquiry: Is progress Being made? Int. J. Sci. Educ. 2021, 43, 991–1016. [Google Scholar] [CrossRef]
- Khishfe, R. Explicit nature of science and argumentation instruction in the context of socioscientific issues: An effect on student learning and transfer. Int. J. Sci. Educ. 2014, 36, 974–1016. [Google Scholar] [CrossRef]
- Kampourakis, K. The “general aspects” conceptualization as a pragmatic and effective means to introducing students to nature of science. J. Res. Sci. Teach. 2016, 53, 667–682. [Google Scholar] [CrossRef]
- Yannier, N.; Hudson, S.E.; Koedinger, K.R.; Hirsh-Pasek, K.; Golinkoff, R.M.; Munakata, Y.; Doebel, S.; Schwartz, D.L.; Deslauriers, L.; McCarty, L.; et al. Active learning: “Hands-on” meets “minds-on”. Science 2021, 374, 26–30. [Google Scholar] [CrossRef] [PubMed]
- Ifqiren, S.; Bouzit, S.; Kouchou, I.; Selmaoui, S. Modelling in the scientific approach to teaching life and earth sciences: Views and practices of Moroccan teachers. J. Educ. e-Learn. Res. 2023, 10, 605–615. [Google Scholar] [CrossRef]
- Smith, J.D.; Li, D.H.; Rafferty, M.R. The implementation research logic model: A method for planning, executing, reporting, and synthesizing implementation projects. Implement. Sci. 2020, 15, 1–12. [Google Scholar] [CrossRef]
- Al Mamun, M.A.; Lawrie, G.; Wright, T. Instructional design of scaffolded online learning modules for self-directed and inquiry-based learning environments. Comput. Educ. 2020, 144, 103695. [Google Scholar] [CrossRef]
- Hodson, D. Learning science, learning about science, doing science: Different goals demand different learning methods. Int. J. Sci. Educ. 2014, 36, 2534–2553. [Google Scholar] [CrossRef]
- Stehle, S.M.; Peters-Burton, E.E. Developing student 21st Century skills in selected exemplary inclusive STEM high schools. Int. J. STEM Educ. 2019, 6, 1–15. [Google Scholar] [CrossRef]
- Schwartz, R.S.; Lederman, J.S.; Enderle, P.J. Scientific Inquiry Literacy: The Missing Link on the Continuum from Science Literacy to Scientific Literacy. In Handbook of Research on Science Education; Routledge: London, UK, 2023; pp. 749–782. [Google Scholar]
- Zeidler, D.L.; Herman, B.C.; Sadler, T.D. New directions in socioscientific issues research. Disciplinary and Interdisciplinary. Sci. Educ. Res. 2019, 1, 1–9. [Google Scholar]
- Aristeidou, M.; Herodotou, C. Online citizen science: A systematic review of effects on learning and scientific literacy. Citiz. Sci. Theory Pract. 2020, 5, 1–12. [Google Scholar] [CrossRef]
- Valladares, L. Scientific literacy and social transformation: Critical perspectives about science participation and emancipation. Sci. Educ. 2021, 30, 557–587. [Google Scholar] [CrossRef] [PubMed]
- Ješková, Z.; Balogová, B.; Kireš, M. Assessing inquiry skills of upper secondary school students. J. Phys. Conf. Ser. 2018, 1076, 012022. [Google Scholar] [CrossRef]
- Furtak, E.M.; Penuel, W.R. Coming to terms: Addressing the persistence of “hands-on” and other reform terminology in the era of science as practice. Sci. Educ. 2019, 103, 167–186. [Google Scholar] [CrossRef]
- Williams, P.J.; Nguyen, N.; Mangan, J. Using technology to support science inquiry learning. JOTSE 2017, 7, 26–57. [Google Scholar] [CrossRef]
- Wenning, C.J. Assessing inquiry skills as a component of scientific literacy. J. Phys. Teach. Educ. Online 2007, 4, 21–24. [Google Scholar]
- Liu, X. Using and Developing Measurement Instruments in Science Education: A RASCH Modeling Approach, 2nd ed.; IAP: Mumbai, India, 2020. [Google Scholar]
- Jufrida, J.; Basuki, F.R.; Kurniawan, W.; Pangestu, M.D.; Fitaloka, O. Scientific Literacy and Science Learning Achievement at Junior High School. Int. J. Eval. Res. Educ. 2019, 8, 630–636. [Google Scholar] [CrossRef]
- Odegaard, M.; Haug, B.; Mork, S.; Sorvik, G.O. Budding Science and Literacy. A Classroom Video Study of the Challenges and Support in an Integrated Inquiry and Literacy Teaching Model. Proc. Soc. Behav. Sci. 2015, 167, 274–278. [Google Scholar] [CrossRef][Green Version]
- Vom Brocke, J.; Winter, R.; Hevner, A.; Maedche, A. Special issue editorial–accumulation and evolution of design knowledge in design science research: A journey through time and space. J. Assoc. Inf. Syst. 2020, 21, 9. [Google Scholar] [CrossRef]
- Sjöström, J.; Eilks, I. Reconsidering different visions of scientific literacy and science education based on the concept of Bildung. In Cognition, Metacognition, and Culture in STEM Education: Learning, Teaching and Assessment; Springer: Cham, Switzerland, 2018; pp. 65–88. [Google Scholar]
- Li, X.; Wang, L.; Shen, J.; Wang, J.; Hu, W.; Chen, Y.; Tian, R. Analysis and comparison of scientific inquiry activities in eight-grade physics textbooks in China. J. Balt. Sci. Educ. 2018, 17, 229. [Google Scholar] [CrossRef]
- Yacoubian, H.A. Students’ views of nature of science. Sci. Educ. 2021, 30, 381–408. [Google Scholar] [CrossRef]
- Innatesari, D.K.; Sajidan, S.; Sukarmin, S. The profile of students’ scientific inquiry literacy based on Scientific Inquiry Literacy Test (ScInqLiT). J. Phys. Conf. Ser. 2019, 1227, 012040. [Google Scholar] [CrossRef]
- Kusnadi, K.; Rustaman, N.Y.; Redjeki, S.; Aryantha, I.N.P. Enhancing scientific inquiry literacy of prospective biology teachers through inquiry lab project in microbiology. J. Phys. Conf. Ser. 2017, 895, 012136. [Google Scholar] [CrossRef]
- Schwartz, R.S.; Lederman, N.; Lederman, J. An instrument to assess views of scientific inquiry: The VOSI questionnaire. In Proceedings of the International Conference of the National Association for Research in Science Teaching (NARST), Baltimore, MD, USA, 30 March–2 April 2008. [Google Scholar]
- Lederman, J.S.; Lederman, N.G.; Bartos, S.A.; Bartels, S.L.; Meyer, A.A.; Schwartz, R.S. Meaningful assessment of learners’ understandings about scientific inquiry—The views about scientific inquiry (VASI) questionnaire. J. Res. Sci. Teach. 2014, 51, 65–83. [Google Scholar] [CrossRef]
- Lederman, N.G. Nature of science: Past, present, and future. In Handbook of Research on Science Education; Routledge: London, UK, 2013; pp. 831–879. [Google Scholar]
- Lederman, N.G.; Lederman, J.S.; Antink, A. Nature of science and scientific inquiry as contexts for the learning of science and achievement of scientific literacy. Int. J. Educ. Math. Sci. Technol. 2013, 1, 138–147. [Google Scholar]
- DeMonbrun, M.; Finelli, C.J.; Prince, M.; Borrego, M.; Shekhar, P.; Henderson, C.; Waters, C. Creating an instrument to measure student response to instructional practices. J. Eng. Educ. 2017, 106, 273–298. [Google Scholar] [CrossRef]
- Utama, C.; Nurkamto, J. The Instrument Development to Measure Higher-Order Thinking Skills for Pre-Service Biology Teacher. Int. J. Instr. 2020, 13, 833–848. [Google Scholar] [CrossRef]
- Gericke, N.; Boeve-de Pauw, J.; Berglund, T.; Olsson, D. The Sustainability Consciousness Questionnaire: The theoretical development and empirical validation of an evaluation instrument for stakeholders working with sustainable development. Sustain. Dev. 2019, 27, 35–49. [Google Scholar] [CrossRef]
- Knekta, E.; Runyon, C.; Eddy, S. One size doesn’t fit all: Using factor analysis to gather validity evidence when using surveys in your research. CBE—Life Sci. Educ. 2019, 18, rm1. [Google Scholar] [CrossRef]
- Rose, J.; Johnson, C.W. Contextualizing reliability and validity in qualitative research: Toward more rigorous and trustworthy qualitative social science in leisure research. J. Leis. Res. 2020, 51, 432–451. [Google Scholar] [CrossRef]
- Brownscombe, J.W.; Lédée, E.J.I.; Raby, G.D.; Struthers, D.P.; Gutowsky, L.F.G.; Nguyen, V.M.; Young, N.; Stokesbury, M.J.W.; Holbrook, C.M.; Brenden, T.O.; et al. Conducting and interpreting fish telemetry studies: Considerations for researchers and resource managers. Rev. Fish Biol. Fish. 2019, 29, 369–400. [Google Scholar] [CrossRef]
- Donoho, D. 50 years of data science. J. Comput. Graph. Stat. 2017, 26, 745–766. [Google Scholar] [CrossRef]
- Taber, K.S. The use of Cronbach’s alpha when developing and reporting research instruments in science education. Res. Sci. Educ. 2018, 48, 1273–1296. [Google Scholar] [CrossRef]
- Britton, E.; Simper, N.; Leger, A.; Stephenson, J. Assessing teamwork in undergraduate education: A measurement tool to evaluate individual teamwork skills. Assess. Eval. High. Educ. 2017, 42, 378–397. [Google Scholar] [CrossRef]
- Hamilton, D.; McKechnie, J.; Edgerton, E.; Wilson, C. Immersive virtual reality as a pedagogical tool in education: A systematic literature review of quantitative learning outcomes and experimental design. J. Comput. Educ. 2021, 8, 1–32. [Google Scholar] [CrossRef]
- Guetterman, T.C.; Fetters, M.D. Two methodological approaches to the integration of mixed methods and case study designs: A systematic review. Am. Behav. Sci. 2018, 62, 900–918. [Google Scholar] [CrossRef]
- Granikov, V.; Hong, Q.N.; Crist, E.; Pluye, P. Mixed methods research in library and information science: A methodological review. Libr. Inf. Sci. Res. 2020, 42, 101003. [Google Scholar] [CrossRef]
- Hossain SF, A.; Xi, Z.; Nurunnabi, M.; Anwar, B. Sustainable academic performance in higher education: A mixed method approach. Interact. Learn. Environ. 2022, 30, 707–720. [Google Scholar] [CrossRef]
- Medvedev, O.N.; Krägeloh, C.U. Rasch measurement model. In Handbook of Assessment in Mindfulness Research; Springer International Publishing: Cham, Switzerland, 2022; pp. 1–18. [Google Scholar]
- Andrich, D.; Marais, I. A Course in Rasch Measurement Theory; Measuring in the educational, social and health sciences; Springer Science and Business Media LLC.: Dordrecht, The Netherlands, 2019; p. 41. [Google Scholar]
- Yu, C.H. Objective measurement: How Rasch modeling can simplify and enhance your assessment. In Rasch Measurement: Applications in Quantitative Educational Research; Springer: Berlin/Heidelberg, Germany, 2020; pp. 47–73. [Google Scholar] [CrossRef]
- Engelhard, G.; Wind, S.A. A History of Rasch Measurement Theory. The History of Educational Measurement: Key Advancements in Theory, Policy, and Practice; Routledge: London, UK, 2021; pp. 343–360. [Google Scholar] [CrossRef]
- Raccanello, D.; Vicentini, G.; Burro, R. Children’s psychological representation of earthquakes: Analysis of written definitions and Rasch scaling. Geosciences 2019, 9, 208. [Google Scholar] [CrossRef]
- Planinic, M.; Boone, W.J.; Susac, A.; Ivanjek, L. Rasch analysis in physics education research: Why measurement matters. Phys. Rev. Phys. Educ. Res. 2019, 15, 020111. [Google Scholar] [CrossRef]
- Briggs, D.C. Interpreting and visualizing the unit of measurement in the Rasch Model. Measurement 2019, 146, 961–971. [Google Scholar] [CrossRef]
- Dahlgren, A.; Semakula, D.; Chesire, F.; Mugisha, M.; Nakyejwe, E.; Nsangi, A.; Nyirazinyoye, L.; Ochieng, M.A.; Oxman, A.D.; Ssenyonga, R.; et al. Critical thinking about treatment effects in Eastern Africa: Development and Rasch analysis of an assessment tool [version 1; peer review: Awaiting peer review]. F1000Research 2023, 12, 887. [Google Scholar]
- Kazemi, S.; Ashraf, H.; Motallebzadeh, K.; Zeraatpishe, M. Development and validation of a null curriculum questionnaire focusing on 21st century skills using the Rasch model. Cogent Educ. 2020, 7, 1736849. [Google Scholar] [CrossRef]
- Bergner, Y.; Choi, I.; Castellano, K.E. Item response models for multiple attempts with incomplete data. J. Educ. Meas. 2019, 56, 415–436. [Google Scholar] [CrossRef]
- Roberts, D.A.; Bybee, R.W. Scientific literacy, science literacy, and science education. In Handbook of Research on Science Education, Volume II; Routledge: London, UK, 2014; pp. 559–572. [Google Scholar]
- Biasutti, M.; Frate, S. A validity and reliability study of the attitudes toward sustainable development scale. Environ. Educ. Res. 2017, 23, 214–230. [Google Scholar] [CrossRef]
- Boone, W.J.; Staver, J.R.; dan Yale, M.S. Rasch Analysis in the Human Science; Spinger: Dordrecht, The Netherlands, 2014. [Google Scholar]
- Sethar, W.A.; Pitafi, A.; Bhutto, A.; Nassani, A.A.; Haffar, M.; Kamran, S.M. Application of item response theory (IRT)-graded response model (GRM) to entrepreneurial ecosystem scale. Sustainability 2022, 14, 5532. [Google Scholar] [CrossRef]
- Cantó-Cerdán, M.; Cacho-Martínez, P.; Lara-Lacárcel, F.; García-Muñoz, Á. Rasch analysis for development and reduction of Symptom Questionnaire for Visual Dysfunctions (SQVD). Sci. Rep. 2021, 11, 14855. [Google Scholar] [CrossRef] [PubMed]
- Saefi, M.; Fauzi, A.; Kristiana, E.; Adi, W.C.; Muchson, M.; Setiawan, M.; Ramadhani, M. Validating of Knowledge, Attitudes, and Practices Questionnaire for Prevention of COVID-19 Infections among Undergraduate Students: A RASCH and Factor Analysis. Eurasia J. Math. Sci. Technol. Educ. 2020, 16, em1926. [Google Scholar]
- Ramli, N.F.; Talib, O.; Hassan, S.A.; Manaf, U.K.A. Development and Validation of an Instrument to Measure STEM Teachers’ Instructional Preparedness. Asian J. Univ. Educ. 2020, 16, 193–206. [Google Scholar] [CrossRef]
- Boone, W.J.; Staver, J.R. Right Maps (Part 3 and Counting…). In Advances in Rasch Analyses in the Human Sciences; Springer: Cham, Switzerland, 2020. [Google Scholar] [CrossRef]












| Profile Demography | Category | Frequently | Percentage |
|---|---|---|---|
| Gender | Male | 36 | 17.91 |
| Female | 165 | 82.09 | |
| Year at University | 1 | 67 | 33.33 |
| 2 | 53 | 26.36 | |
| 3 | 66 | 32.83 | |
| 4 | 11 | 5.47 | |
| >4 | 4 | 1.99 | |
| Region | West Java | 97 | 48.25 |
| Sister City | 48 | 23.88 | |
| Central Java | 15 | 7.46 | |
| Sumatera | 26 | 12.93 | |
| West Java | 10 | 4.97 | |
| Other | 5 | 2.28 | |
| Major at University | Physics Education | 47 | 23.38 |
| Chemistry Education | 25 | 12.43 | |
| Biology Education | 36 | 17.91 | |
| Science Education | 93 | 46.26 |
| Component | SILI Indicators for Knowledge Aspect | SILI’s Items |
|---|---|---|
| 1. Knowledge of definitions, understandings, terms, types, and inquiry positions | Knowledge of the meaning of inquiry | 1 |
| Know the wisdom that underlies the inquiry approach | 6 | |
| Know other terms for inquiry | 2, 4 | |
| Know the types of inquiry in learning | 33 | |
| Know the position of inquiry in learning | 34 | |
| 2. Knowledge of concepts related to inquiry | Knowledge of the concept of observation in inquiry | 3 |
| Distinguish between practice, observation, experiment, measurement, and practicum | 9 | |
| Know the experimental activities of inquiry well | 8 | |
| Choose the right concept from the image related to the inquiry | 14 | |
| Know the concept of measurement in inquiry | 15, 31 | |
| Be well acquainted with the concept of generalization | 19 | |
| Get to know the concept of the scientific method well | 20 | |
| Get to know the parts of the scientific method well | 35 | |
| Familiar with the concept and orientation of inquiry experimental activities | 21, 32 | |
| Get to know the concept of classification well | 22, 26 | |
| 3. Knowledge of supporting skills for inquiry activities | Good knowledge of science process skills | 27, 29 |
| Know observation skills | 23 | |
| Know classification skills | 22 | |
| Know about measurement skills | 25 | |
| Know about communication skills | 18,24 | |
| Get to know about generalization (concluding) skills | 30 | |
| Be well acquainted with the concept of predictive ability | 28 | |
| 4. Knowledge of the steps for inquiry activities | Knowledge of the concept of hypothesis | 5 |
| Know the form of a guide for scientific inquiry activities | 7 | |
| Get to know the tools and materials for science experimental activities | 10, 11 | |
| Get to know the types of variables in science practical activities | 12, 13 | |
| Know the presentation of data from inquiry practicum results | 16 | |
| Know the differences between graphs and diagrams as a result of inquiry activities | 17 |
| No. | Stages of Scientific Inquiry | Indicators of SILI Questions for Skills Aspects | SILI’s Items |
|---|---|---|---|
| 1 | Identify that problem will be investigated | Identify that the problem will be investigated from the given phenomenon | 29 |
| 2 | Use of deduction, formulation of hypotheses, or combining logical models and proofs | 2.1. Formulate a best hypothesis from a scientific problem | 12, 38 |
| 2.2. Formulate and revise scientific explanations and models with the use of logic and evidence | 20 | ||
| 2.3. Give scientific proof to support the claim | 22 | ||
| 2.4. Provide an evaluation of the given hypothesis | 24 | ||
| 2.5. Provide an explanation hypothesis based on the condition’s beginning and end phenomenon | 30 | ||
| 3 | Use deduction to produce predictions from hypotheses or models | 3. Use deduction from a law to make predictions | 37 |
| 4 | Design experimental procedure for test predictions | 4. Sequence the experimental science process presented in a random way | 1 |
| 5 | Conduct scientific experiment, observation, or simulation to test hypothesis or model: 1. Identify test system; 2. Identify and define variables in operational way; 3. Perform experiment | 5.1. Refine the test design with a certain objective | 4 |
| 5.2. Design a test using lots of variables | 9 | ||
| 5.3. Determine the best way to collect data for a scientific investigation | 33, 34 | ||
| 5.4. Explain the error inside a test | 5 | ||
| 5.5. Select and explain the suitable material for the test based on the list of ingredients in the table | 25 | ||
| 5.6. Explain error variables in the test | 3 | ||
| 5.7. Determine and provide an accurate reason for taking samples in data collection in an experiment | 26 | ||
| 6 | Collect, organize, and analyze data thoroughly, accurately, and precisely: 1. Analyze data for trends and relationships; 2. Create and interpret chart; 3. Use induction and develop law based on evidence and graph | 6.1. Interpret data based study results | 14 |
| 6.2. Determine valid data based on the picture distribution of data presented | 27 | ||
| 6.3. Determine a valid way of data collection based on the situation | 28 | ||
| 6.4. Explain the data deviation in a test results chart | 15 | ||
| 6.5. Make an interesting conclusion based on the data in the test results graph | 16 | ||
| 6.6. Determine the most appropriate variable based on the data in the graph | 18 | ||
| 6.7. Give the meaning of the trend based on the data presented in the form of data table | 23 | ||
| 6.8. Explain the meaning of data given in a graph that intersects at an axis | 19 | ||
| 6.9. Make an interesting conclusion based on the data in the table data provided | 36 | ||
| 6.10. Provide an opinion to state something based on the data in the graph | 6 | ||
| 6.11. Interpret the given graph based on the results of the data observation | 10 | ||
| 6.12. Make an interesting conclusion based on the analysis of the data in the graphs presented | 17 | ||
| 6.13. Create a chart based on the given data | 39 | ||
| 6.14. Create a decision based on experimental data | 13 | ||
| 7 | Apply numerical and statistical methods to obtain and support conclusion: 1. Use technology and mathematics; 2. Make interesting, correct conclusion from proof | 7.1 Provide the correct reason for data processing a test to obtain a conclusion | 32 |
| 7.2. Give an opinion for correct conclusions drawn from an experiment (an interesting conclusion from evidence) | 2 | ||
| 7.3. Make an interesting conclusion based on a graph of the given data | 11 | ||
| 7.5. Make an interesting conclusion comparing quantitative/qualitative ways or subjective/objective data | 31 | ||
| 7.6. Declare agreement or no agreement, along with the reason for the conclusions presented based on the proof | 35 | ||
| 8 | Explain unexpected results: 1. Formulate hypothesis or alternative models; 2. Identify and communicate sources; errors cannot be avoided; 3. Identify reason for no consistent results | 8.1. Recognize and analyze alternative explanations and models | 21 |
| 8.2. Give a reason for data that were obtained that were not reasonable in a graph (experiment error) | 8 | ||
| 8.3. Give a reason for a found trend or relationship that is not fair in the graph | 7 |
| SILI Aspects | KR20 | Person Measure | Reliability | Infit MNSQ | Outfit MNSQ | Separation | ||||
|---|---|---|---|---|---|---|---|---|---|---|
| Person | Item | Person | Item | Person | Item | Person | Item | |||
| Knowledge | 0.72 | 0.19 | 0.73 | 0.98 | 1.01 | 0.99 | 1.06 | 1.06 | 1.66 | 6.60 |
| Skills | 0.76 | −0.38 | 0.74 | 0.96 | 1.00 | 1.00 | 1.00 | 1.00 | 1.69 | 4.77 |
| Item | Total Score | JMLE Measure | Model S.E. | Infit | Outfit | Pt Measure-Al | Exact Obs% | Match Exp% | |||
|---|---|---|---|---|---|---|---|---|---|---|---|
| MNSQ | ZSTD | MNSQ | ZSTD | Corr | Exp | ||||||
| S16 | 37 | 1.85 | 0.19 | 0.89 | −0.98 | 0.85 | −0.75 | 0.37 | 0.24 | 82.6 | 81.7 |
| S18 | 42 | 1.68 | 0.18 | 1.07 | 0.73 | 2.01 | 4.66 | 0.12 | 0.25 | 78.6 | 79.4 |
| S32 | 43 | 1.65 | 0.18 | 0.96 | −0.36 | 0.93 | −0.40 | 0.30 | 0.26 | 81.1 | 79.0 |
| S34 | 46 | 1.56 | 0.18 | 0.98 | −0.24 | 0.91 | −0.54 | 0.30 | 0.26 | 79.6 | 77.7 |
| S35 | 54 | 1.32 | 0.17 | 1.19 | 2.34 | 2.03 | 5.93 | −0.02 | 0.28 | 71.1 | 74.3 |
| S26 | 62 | 1.11 | 0.16 | 1.21 | 3.04 | 1.32 | 2.52 | 0.02 | 0.29 | 66.7 | 71.1 |
| S11 | 63 | 1.09 | 0.16 | 1.02 | 0.25 | 1.07 | 0.59 | 0.26 | 0.29 | 71.1 | 70.7 |
| S29 | 70 | 0.91 | 0.16 | 1.03 | 0.54 | 1.06 | 0.59 | 0.26 | 0.30 | 68.7 | 68.2 |
| S19 | 71 | 0.89 | 0.16 | 1.00 | 0.06 | 1.04 | 0.39 | 0.29 | 0.30 | 70.6 | 67.9 |
| S1 | 75 | 0.79 | 0.15 | 1.24 | 4.21 | 1.30 | 2.91 | 0.02 | 0.30 | 56.7 | 66.7 |
| S20 | 75 | 0.79 | 0.15 | 1.08 | 1.51 | 1.12 | 1.24 | 0.20 | 0.30 | 62.7 | 66.7 |
| S17 | 80 | 0.67 | 0.15 | 1.09 | 1.84 | 1.08 | 0.89 | 0.21 | 0.31 | 59.2 | 65.3 |
| S21 | 83 | 0.61 | 0.15 | 0.97 | −0.66 | 0.96 | −0.45 | 0.35 | 0.31 | 64.7 | 64.4 |
| S12 | 88 | 0.49 | 0.15 | 0.93 | −1.55 | 0.95 | −0.61 | 0.39 | 0.32 | 70.1 | 63.6 |
| S2 | 89 | 0.47 | 0.15 | 1.00 | −0.09 | 1.00 | 0.03 | 0.32 | 0.32 | 66.7 | 63.4 |
| S33 | 92 | 0.40 | 0.15 | 1.03 | 0.59 | 1.03 | 0.36 | 0.29 | 0.32 | 62.2 | 63.1 |
| S7 | 96 | 0.31 | 0.15 | 0.99 | −0.12 | 0.98 | −0.31 | 0.33 | 0.32 | 63.2 | 62.8 |
| S13 | 97 | 0.29 | 0.15 | 0.92 | −1.82 | 0.92 | −1.04 | 0.41 | 0.32 | 64.7 | 62.7 |
| S8 | 107 | 0.07 | 0.15 | 0.99 | −0.29 | 1.15 | 2.03 | 0.32 | 0.33 | 63.2 | 63.6 |
| S30 | 114 | −0.09 | 0.15 | 0.96 | −0.80 | 0.95 | −0.67 | 0.37 | 0.33 | 67.2 | 64.9 |
| S3 | 115 | −0.12 | 0.15 | 1.02 | 0.44 | 1.02 | 0.29 | 0.31 | 0.33 | 62.7 | 65.1 |
| S31 | 116 | −0.14 | 0.15 | 0.97 | −0.65 | 0.95 | −0.68 | 0.37 | 0.33 | 66.2 | 65.3 |
| S6 | 118 | −0.18 | 0.15 | 0.88 | −2.47 | 0.85 | −2.18 | 0.47 | 0.33 | 72.1 | 65.7 |
| S10 | 123 | −0.30 | 0.15 | 1.04 | 0.82 | 1.04 | 0.51 | 0.28 | 0.33 | 64.7 | 66.8 |
| S23 | 132 | −0.52 | 0.16 | 1.03 | 0.54 | 1.03 | 0.35 | 0.29 | 0.33 | 68.2 | 69.4 |
| S27 | 136 | −0.62 | 0.16 | 0.99 | −0.07 | 0.94 | −0.67 | 0.35 | 0.33 | 68.7 | 70.7 |
| S4 | 141 | −0.75 | 0.16 | 0.67 | −5.15 | 0.57 | −5.10 | 0.73 | 0.33 | 80.1 | 72.6 |
| S25 | 141 | −0.75 | 0.16 | 1.02 | 0.33 | 1.03 | 0.36 | 0.30 | 0.33 | 73.1 | 72.6 |
| S28 | 146 | −0.89 | 0.17 | 1.02 | 0.30 | 1.05 | 0.48 | 0.30 | 0.33 | 74.1 | 74.7 |
| S24 | 152 | −1.06 | 0.17 | 0.90 | −1.14 | 0.82 | −1.47 | 0.45 | 0.33 | 80.1 | 77.4 |
| S22 | 156 | −1.19 | 0.18 | 0.92 | −0.75 | 0.85 | −1.10 | 0.42 | 0.32 | 80.1 | 79.2 |
| S9 | 173 | −1.84 | 0.22 | 0.95 | −0.32 | 1.19 | 0.96 | 0.32 | 0.31 | 88.1 | 86.9 |
| S5 | 175 | −1.93 | 0.22 | 0.81 | −1.27 | 0.59 | −2.18 | 0.55 | 0.30 | 89.1 | 87.8 |
| S14 | 187 | −2.70 | 0.29 | 0.90 | −0.34 | 1.43 | 1.27 | 0.29 | 0.28 | 94.0 | 93.4 |
| S15 | 196 | −3.89 | 0.47 | 0.82 | −0.33 | 1.14 | 0.43 | 0.31 | 0.21 | 97.5 | 97.5 |
| Mean | 105.5 | 0.00 | 0.18 | 0.99 | −0.05 | 1.06 | 0.25 | 72.3 | 72.1 | ||
| P.SD | 42.9 | 1.25 | 0.15 | 0.11 | 1.56 | 0.29 | 1.88 | 9.7 | 8.9 | ||
| Item | Total Score | JMLE Measure | Model S.E. | Infit | Outfit | Pt Measure-Al | Exact Obs% | Match Exp% | |||
|---|---|---|---|---|---|---|---|---|---|---|---|
| MNSQ | ZSTD | MNSQ | ZSTD | Corr | Exp | ||||||
| S32 | 32 | 1.46 | 0.21 | 1.07 | 0.58 | 1.07 | 0.47 | 0.26 | 0.34 | 83.1 | 85.1 |
| S23 | 38 | 1.23 | 0.19 | 0.89 | −0.93 | 0.89 | −0.73 | 0.47 | 0.34 | 85.1 | 82.7 |
| S14 | 44 | 1.02 | 0.18 | 1.03 | 0.29 | 1.08 | 0.66 | 0.30 | 0.35 | 80.6 | 80.4 |
| S13 | 51 | 0.80 | 0.17 | 1.11 | 1.16 | 1.18 | 1.62 | 0.19 | 0.35 | 76.6 | 77.6 |
| S15 | 51 | 0.80 | 0.17 | 1.02 | 0.26 | 1.05 | 0.46 | 0.31 | 0.35 | 78.6 | 77.6 |
| S27 | 51 | 0.80 | 0.17 | 0.93 | −0.72 | 0.92 | −0.69 | 0.43 | 0.35 | 80.6 | 77.6 |
| S5 | 52 | 0.77 | 0.17 | 0.95 | −0.56 | 0.93 | −0.61 | 0.41 | 0.35 | 78.1 | 77.3 |
| S29 | 52 | 0.77 | 0.17 | 1.05 | 0.54 | 1.08 | 0.77 | 0.28 | 0.35 | 77.1 | 77.3 |
| S10 | 53 | 0.74 | 0.17 | 1.05 | 0.55 | 1.11 | 1.04 | 0.27 | 0.34 | 77.6 | 76.9 |
| S31 | 55 | 0.68 | 0.17 | 1.22 | 2.44 | 1.27 | 2.49 | 0.06 | 0.34 | 70.6 | 76.1 |
| S38 | 56 | 0.65 | 0.17 | 0.97 | −0.37 | 1.03 | 0.36 | 0.36 | 0.34 | 80.6 | 75.7 |
| S25 | 57 | 0.62 | 0.17 | 1.06 | 0.73 | 1.09 | 0.98 | 0.26 | 0.34 | 74.1 | 75.3 |
| S35 | 60 | 0.54 | 0.16 | 0.97 | −0.32 | 0.99 | −0.07 | 0.37 | 0.34 | 74.1 | 74.1 |
| S6 | 61 | 0.51 | 0.16 | 0.95 | −0.58 | 0.93 | −0.76 | 0.40 | 0.34 | 74.6 | 73.7 |
| S28 | 62 | 0.49 | 0.16 | 0.92 | −1.11 | 0.92 | −0.94 | 0.44 | 0.34 | 77.1 | 73.3 |
| S2 | 63 | 0.46 | 0.16 | 1.00 | 0.06 | 1.01 | 0.16 | 0.33 | 0.34 | 73.6 | 72.9 |
| S37 | 63 | 0.46 | 0.16 | 1.02 | 0.31 | 1.00 | 0.00 | 0.32 | 0.34 | 69.7 | 72.9 |
| S22 | 64 | 0.44 | 0.16 | 0.93 | −0.96 | 0.90 | −1.17 | 0.43 | 0.34 | 74.1 | 72.5 |
| S26 | 70 | 0.28 | 0.16 | 1.16 | 2.32 | 1.22 | 2.73 | 0.12 | 0.34 | 63.2 | 70.2 |
| S34 | 73 | 0.21 | 0.16 | 1.04 | 0.70 | 1.04 | 0.62 | 0.28 | 0.33 | 68.7 | 69.0 |
| S39 | 75 | 0.16 | 0.15 | 0.94 | −0.95 | 0.94 | −0.93 | 0.40 | 0.33 | 69.2 | 68.3 |
| S19 | 78 | 0.09 | 0.15 | 1.13 | 2.20 | 1.15 | 2.18 | 0.16 | 0.33 | 63.7 | 67.3 |
| S9 | 97 | −0.34 | 0.15 | 1.09 | 2.24 | 1.12 | 1.94 | 0.19 | 0.31 | 57.2 | 62.4 |
| S17 | 99 | −0.38 | 0.15 | 1.10 | 2.49 | 1.17 | 2.65 | 0.16 | 0.31 | 56.2 | 62.0 |
| S20 | 100 | −0.40 | 0.15 | 1.01 | 0.39 | 0.99 | −0.11 | 0.29 | 0.30 | 56.7 | 61.8 |
| S30 | 101 | −0.43 | 0.15 | 0.96 | −1.03 | 1.02 | 0.27 | 0.34 | 0.30 | 69.2 | 61.6 |
| S16 | 102 | −0.45 | 0.15 | 0.94 | −1.51 | 0.93 | −1.07 | 0.38 | 0.30 | 63.7 | 61.5 |
| S18 | 103 | −0.47 | 0.15 | 0.87 | −3.49 | 0.85 | −2.60 | 0.47 | 0.30 | 70.1 | 61.4 |
| S1 | 107 | −0.56 | 0.15 | 1.00 | 0.07 | 0.96 | −0.65 | 0.30 | 0.30 | 60.2 | 61.1 |
| S33 | 114 | −0.71 | 0.15 | 0.98 | −0.44 | 1.00 | 0.04 | 0.31 | 0.29 | 63.7 | 61.8 |
| S36 | 114 | −0.71 | 0.15 | 0.92 | −2.05 | 0.95 | −0.71 | 0.37 | 0.29 | 71.6 | 61.8 |
| S11 | 128 | −1.03 | 0.15 | 0.88 | −2.69 | 0.84 | −1.85 | 0.42 | 0.26 | 72.6 | 64.6 |
| S8 | 129 | −1.05 | 0.15 | 0.93 | −1.44 | 0.87 | −1.54 | 0.36 | 0.26 | 66.2 | 64.9 |
| S24 | 130 | −1.07 | 0.15 | 0.91 | −1.83 | 0.86 | −1.62 | 0.38 | 0.26 | 64.7 | 65.3 |
| S7 | 134 | −1.17 | 0.16 | 1.00 | −0.05 | 0.99 | −0.09 | 0.26 | 0.25 | 68.7 | 66.9 |
| S3 | 135 | −1.19 | 0.16 | 1.00 | −0.06 | 0.93 | −0.72 | 0.27 | 0.25 | 68.2 | 67.3 |
| S12 | 136 | −1.22 | 0.16 | 0.99 | −0.22 | 0.97 | −0.23 | 0.27 | 0.25 | 68.2 | 67.8 |
| S21 | 137 | −1.24 | 0.16 | 0.91 | −1.64 | 0.84 | −1.58 | 0.38 | 0.25 | 68.7 | 68.2 |
| S4 | 149 | −1.55 | 0.17 | 1.02 | 0.35 | 1.08 | 0.63 | 0.18 | 0.22 | 74.1 | 74.1 |
| Mean | 84.1 | 0.00 | 0.16 | 1.00 | −0.14 | 1.00 | 0.04 | 71.1 | 70.4 | ||
| P.SD | 33.3 | 0.80 | 0.01 | 0.08 | 1.35 | 0.11 | 1.26 | 7.1 | 6.6 | ||
| SILI Knowledge Aspect | SILI Skills Aspect | |||||||
|---|---|---|---|---|---|---|---|---|
| Eigen Value | Observed (%) | Expected (%) | Eigen Value | Observed (%) | Expected (%) | |||
| Total raw variance in observations | 47.9093 | 100 | 100.0 | 49.0036 | 100 | 100 | ||
| Raw variance explained by measures | 12.9093 | 26.9 | 26.7 | 10.0036 | 20.4 | 20.2 | ||
| Raw variance explained by persons | 4.4749 | 9.3 | 9.3 | 4.3972 | 9.0 | 8.9 | ||
| Raw variance explained by items | 8.4343 | 17.6 | 17.5 | 5.6064 | 11.4 | 11.3 | ||
| Raw unexplained variance (total) | 35.0000 | 73.1 | 100 | 73.3 | 39.0000 | 79.6 | 100 | 79.8 |
| Unexplained variance in 1st contrast | 2.2450 | 4.7 | 6.4 | 2.6907 | 5.5 | 6.9 | ||
| Unexplained variance in 2nd contrast | 2.0026 | 4.2 | 5.7 | 2.1661 | 4.4 | 5.6 | ||
| Unexplained variance in 3rd contrast | 1.8961 | 4.0 | 5.4 | 1.8024 | 3.7 | 4.6 | ||
| Unexplained variance in 4th contrast | 1.7294 | 3.6 | 4.9 | 1.7407 | 3.6 | 4.5 | ||
| Unexplained variance in 5th contrast | 1.6459 | 3.4 | 4.7 | 1.6395 | 3.3 | 4.2 | ||
Disclaimer/Publisher’s Note: The statements, opinions and data contained in all publications are solely those of the individual author(s) and contributor(s) and not of MDPI and/or the editor(s). MDPI and/or the editor(s) disclaim responsibility for any injury to people or property resulting from any ideas, methods, instructions or products referred to in the content. |
© 2024 by the authors. Licensee MDPI, Basel, Switzerland. This article is an open access article distributed under the terms and conditions of the Creative Commons Attribution (CC BY) license (https://creativecommons.org/licenses/by/4.0/).
Share and Cite
Darman, D.R.; Suhandi, A.; Kaniawati, I.; Samsudin, A.; Wibowo, F.C. Development and Validation of Scientific Inquiry Literacy Instrument (SILI) Using Rasch Measurement Model. Educ. Sci. 2024, 14, 322. https://doi.org/10.3390/educsci14030322
Darman DR, Suhandi A, Kaniawati I, Samsudin A, Wibowo FC. Development and Validation of Scientific Inquiry Literacy Instrument (SILI) Using Rasch Measurement Model. Education Sciences. 2024; 14(3):322. https://doi.org/10.3390/educsci14030322
Chicago/Turabian StyleDarman, Dina Rahmi, Andi Suhandi, Ida Kaniawati, Achmad Samsudin, and Firmanul Catur Wibowo. 2024. "Development and Validation of Scientific Inquiry Literacy Instrument (SILI) Using Rasch Measurement Model" Education Sciences 14, no. 3: 322. https://doi.org/10.3390/educsci14030322
APA StyleDarman, D. R., Suhandi, A., Kaniawati, I., Samsudin, A., & Wibowo, F. C. (2024). Development and Validation of Scientific Inquiry Literacy Instrument (SILI) Using Rasch Measurement Model. Education Sciences, 14(3), 322. https://doi.org/10.3390/educsci14030322



