Brief Mindset Intervention Changes Attitudes but Does Not Improve Working Memory Capacity or Standardized Test Performance
Abstract
1. Introduction
2. Social–Psychological Mindset Interventions
3. Inconsistent Effects of Mindset Interventions and the Role of Individual Differences
4. Mindset, Test Performance, and Working Memory Capacity
5. Mindset and Attitudinal Measures
6. Purpose of the Present Study
7. Hypotheses
8. Material and Methods
8.1. Participants
8.2. Design
8.3. Data Analysis Plan
Statistical Power
8.4. Procedure
8.5. Tasks
8.6. Baseline Measures
8.7. Mindset Manipulation
8.8. Post Manipulation Measures
8.9. Post-Manipulation Attitudinal Measures
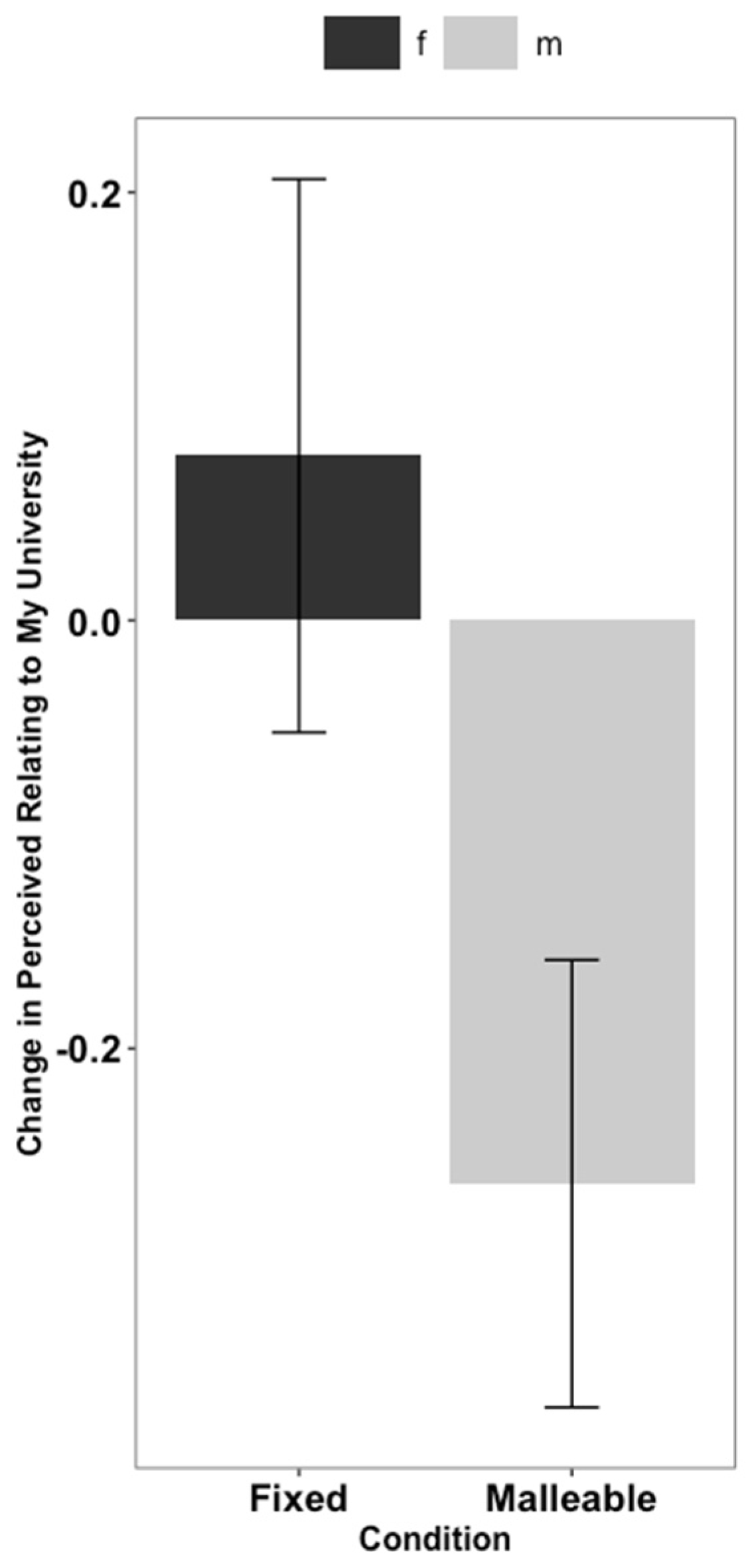
9. Results
9.1. Summary Statistics and Correlations
9.2. Mindset Manipulation Effects
10. Discussion
11. Limitations
12. Additional Explanations
13. Conclusions
Supplementary Materials
Author Contributions
Funding
Institutional Review Board Statement
Informed Consent Statement
Data Availability Statement
Acknowledgments
Conflicts of Interest
References
- Duckworth, A.L.; Peterson, C.; Matthews, M.; Kelly, D. Grit: Perseverance and Passion for Long-Term Goals. J. Personal. Soc. Psychol. 2007, 92, 1087–1101. [Google Scholar] [CrossRef] [PubMed]
- Durlak, J.A.; Weissberg, R.P.; Dymnicki, A.B.; Taylor, R.D.; Schellinger, K. The impact of enhancing students’ social and emotional learning: A meta-analysis of school-based universal interventions. Child Dev. 2011, 82, 405–432. [Google Scholar] [CrossRef] [PubMed]
- Hart, S.A. Precision Education Initiative: Moving Towards Personalized Education. Mind Brain Educ. 2016, 10, 209–211. [Google Scholar] [CrossRef] [PubMed]
- Dweck, C.S. Mindset: The New Psychology of Success; Random House: New York, NY, USA, 2006. [Google Scholar]
- Mrazek, M.D.; Franklin, M.S.; Phillips, D.T.; Baird, B.; Schooler, J.W. Mindfulness Training Improves Working Memory Capacity and GRE Performance While Reducing Mind Wandering. Psychol. Sci. 2013, 24, 776–781. [Google Scholar] [CrossRef]
- Dweck, C.S. Implicit Theories. In Handbook of Theories of Social Psychology; Van Lange, P.A., Kruglanski, A.W., Higgins, E.T., Eds.; Sage Publications Ltd.: Thousand Oaks, CA, USA, 2011; Volume 2, pp. 43–61. [Google Scholar]
- Holden, L.R.; LaMar, M.; Bauer, M. Evidence for a Cultural Mindset: Combining Process Data, Theory, and Simulation. Front. Psychol. 2021, 12, 596246. [Google Scholar] [CrossRef] [PubMed]
- Dweck, C.S. Mindsets and human nature: Promoting change in the Middle East, the schoolyard, the racial divide, and willpower. Am. Psychol. 2012, 67, 614–622. [Google Scholar] [CrossRef] [PubMed]
- Burnette, J.L.; O’Boyle, E.H.; VanEpps, E.M.; Pollack, J.M.; Finkel, E.J. Mind-sets matter: A meta-analytic review of implicit theories and self-regulation. Psychol. Bull. 2013, 139, 655–701. [Google Scholar] [CrossRef]
- Cury, F.; Da Fonseca, D.; Zahn, I.; Elliot, A. Implicit theories and IQ test performance: A sequential mediational analysis. J. Exp. Soc. Psychol. 2008, 44, 783–791. [Google Scholar] [CrossRef]
- Dweck, C.S. Self-Theories: Their Role in Motivation, Personality, and Development; Psychology Press: East Sussex, UK, 2000. [Google Scholar]
- Yeager, D.S.; Walton, G.M. Social-psychological interventions in education: They’re not magic. Rev. Educ. Res. 2011, 81, 267–301. [Google Scholar] [CrossRef]
- Blackwell, L.S.; Trzesniewski, K.H.; Dweck, C.S. Implicit Theories of Intelligence Predict Achievement Across an Adolescent Transition: A Longitudinal Study and an Intervention. Child Dev. 2007, 78, 246–263. [Google Scholar] [CrossRef]
- Dweck, C.S. The perils and promises of praise. Educ. Leadersh. 2007, 65, 34–39. [Google Scholar]
- Good, C.; Aronson, J.; Inzlicht, M. Improving adolescents’ standardized test performance: An intervention to reduce the effects of stereotype threat. J. Appl. Dev. Psychol. 2003, 24, 645–662. [Google Scholar] [CrossRef]
- Farrington, C.A.; Roderick, M.; Allensworth, E.; Nagaoka, J.; Keyes, T.S.; Johnson, D.W.; Beechum, N.O. Teaching Adolescents to Become Learners: The Role of Noncognitive Factors in Shaping School Performance: A Critical Literature Review; University of Chicago Consortium on Chicago School Research: Chicago, IL, USA, 2012. [Google Scholar]
- Paunesku, D.; Walton, G.M.; Romero, C.; Smith, E.N.; Yeager, D.S.; Dweck, C.S. Mind-set interventions are a scalable treatment for academic underachievement. Psychol. Sci. 2015, 26, 784–793. [Google Scholar] [CrossRef] [PubMed]
- Aronson, J.; Fried, C.B.; Good, C. Reducing the effects of stereotype threat on African American college students by shaping theories of intelligence. J. Exp. Soc. Psychol. 2002, 38, 113–125. [Google Scholar] [CrossRef]
- Cohen, G.L.; Garcia, J.; Purdie-Vaughns, V.; Apfel, N.; Brzustoski, P. Recursive processes in self-affirmation: Intervening to close the minority achievement gap. Science 2009, 324, 400–403. [Google Scholar] [CrossRef]
- Cohen, G.L.; Garcia, J.; Goyer, J.P. Turning Point: Targeted, Tailored, and Timely Psychological Intervention. In Handbook of Competence and Motivation: Theory and Application, 2nd ed.; Elliot, A.J., Dweck, C.S., Yeager, D.S., Eds.; The Guilford Press: New York, NY, USA, 2017; pp. 657–686. [Google Scholar]
- Sisk, V.F.; Burgoyne, A.P.; Sun, J.; Butler, J.L.; Macnamara, B.N. To What Extent and Under Which Circumstances Are Growth Mind-Sets Important to Academic Achievement? Two Meta-Analyses. Psychol. Sci. 2018, 29, 549–571. [Google Scholar] [CrossRef] [PubMed]
- Moreau, D.; Macnamara, B.N.; Hambrick, D.Z. Overstating the Role of Environmental Factors in Success: A Cautionary Note. Curr. Dir. Psychol. Sci. 2018, 28, 28–33. [Google Scholar] [CrossRef]
- Brez, C.; Hampton, E.; Behrendt, L.; Brown, L.; Powers, J. Failure to Replicate: Testing a Growth Mindset Intervention for College Student Success. Basic Appl. Soc. Psychol. 2020, 42, 460–468. [Google Scholar] [CrossRef]
- Yeager, D.S.; Hanselman, P.; Walton, G.M.; Murray, J.S.; Crosnoe, R.; Muller, C.; Tipton, E.; Schneider, B.; Hulleman, C.S.; Hinojosa, C.P.; et al. A National Experiment Reveals Where a Growth Mindset Improves Achievement. Nature 2019, 573, 364–369. [Google Scholar] [CrossRef]
- Burgoyne, A.P.; Hambrick, D.Z.; Macnamara, B.N. How Firm Are the Foundations of Mind-Set Theory? The Claims Appear Stronger Than the Evidence. Psychol. Sci. 2020, 31, 258–267. [Google Scholar] [CrossRef]
- Foliano, F.; Rolfe, H.; Buzzeo, J.; Runge, J.; Wilkinson, D. Changing Mindsets: Effectiveness Trial Evaluation Report. The Education Endowment Foundation. 2019. Available online: https://educationendowmentfoundation.org.uk/public/files/Projects/Evaluation_Reports/Changing_Mindsets.pdf (accessed on 4 March 2022).
- Martinez, K.M.; Holden, L.R.; Hart, S.A.; Taylor, J. Examining mindset and grit in concurrent and future reading comprehension: A twin study. Dev. Psychol. 2022, 58, 2171–2183. [Google Scholar] [CrossRef]
- Yeager, D.S.; Dweck, C.S. Mindsets that promote resilience: When students believe that personal characteristics can be developed. Educ. Psychol. 2012, 47, 302–314. [Google Scholar] [CrossRef]
- Dianda, M.R. Preventing Future High School Dropouts: An Advocacy and Action Guide for NEA State and Local Affiliates; National Education Association: Washington, DC, USA, 2008; Available online: http://www.nea.org/assets/docs/HE/dropoutguide1108.pdf (accessed on 12 February 2024).
- McFarland, J.; Stark, P.; Cui, J. Trends in High School Dropout and Completion Rates in the United States: 2013; US Department of Education, NCES: Washington, DC, USA, 2016. [Google Scholar]
- Claro, S.; Paunesku, D.; Dweck, C.S. Growth Mindset Tempers the Effects of Poverty on Academic Achievement. Proc. Natl. Acad. Sci. USA 2016, 113, 8664–8668. [Google Scholar] [CrossRef]
- Licht, B.G.; Dweck, C.S. Determinants of academic achievement: The interaction of children’s achievement orientations with skill area. Dev. Psychol. 1984, 20, 628–636. [Google Scholar] [CrossRef]
- Leslie, S.J.; Cimpian, A.; Meyer, M.; Freeland, E. Expectations of Brilliance Underlie Gender Distributions across Academic Disciplines. Science 2015, 347, 262–265. [Google Scholar] [CrossRef]
- Wai, J.; Brown, M.I.; Chabris, C.F. Using Standardized Test Scores to Include General Cognitive Ability in Education Research and Policy. J. Intell. 2018, 6, 37. [Google Scholar] [CrossRef]
- Ramirez, E. Report Says Test Scores Should Be Less Important in College Admissions. U.S. News & World Report, 22 September 2008. Available online: https://www.usnews.com/education/articles/2008/09/22/report-says-test-scores-should-be-less-important-in-college-admissions (accessed on 5 May 2020).
- National Association for College Admission Counseling. Chapter 3: Factors in the Admission Decision. 2016. Available online: https://www.nacacnet.org/globalassets/documents/publications/research/2019_soca/soca2019_ch3.pdf (accessed on 16 June 2020).
- College Board. Over 2.2 Million Students in Class of 2019 Took SAT, Largest Group Ever. 2019. Available online: https://www.collegeboard.org/releases/2019/over-2-2-million-students-class-2019-took-sat-largest-group-ever (accessed on 23 May 2020).
- Degol, J.L.; Wang, M.T.; Zhang, Y.; Allerton, J. Do Growth Mindsets in Math Benefit Females? Identifying Pathways between Gender, Mindset, and Motivation. J. Youth Adolesc. 2018, 47, 976–990. [Google Scholar] [CrossRef] [PubMed]
- Eccles, J.S.; Wigfield, A. Motivational beliefs, values, and goals. Annu. Rev. Psychol. 2002, 53, 109–132. [Google Scholar] [CrossRef]
- Baddeley, A.D.; Hitch, G.J. Working Memory. In The Psychology of Learning and Motivation: Advances in Research and Theory; Bower, G.A., Ed.; Academic Press: New York, NY, USA, 1974; Volume 8, pp. 47–90. [Google Scholar]
- Baddeley, A. The fractionation of working memory. Proc. Natl. Acad. Sci. USA 1996, 93, 13468–13472. [Google Scholar] [CrossRef] [PubMed]
- Turner, M.L.; Engle, R.W. Is working memory capacity task dependent? J. Mem. Lang. 1989, 28, 127–154. [Google Scholar] [CrossRef]
- Cowan, N. Evolving conceptions of memory storage, selective attention, and their mutual constraints within the human information-processing system. Psychol. Bull. 1988, 104, 163–191. [Google Scholar] [CrossRef] [PubMed]
- Kane, M.J.; Engle, R.W. Working-memory capacity and the control of attention: The contributions of goal neglect, response competition, and task set to Stroop interference. J. Exp. Psychol. Gen. 2003, 132, 47–70. [Google Scholar] [CrossRef]
- Holden, L.R.; Goodwin, K.A.; Conway, A.R. Converging Evidence that Higher Trait Working Memory Capacity Aids Standardized Test Performance under Race-Related Stereotype Threat. PsyArXiv 2020. [Google Scholar] [CrossRef]
- Holden, L.R.; Conway, A.R.; Goodwin, K.A. How Individual Differences in Working Memory and Source Monitoring Matter in Susceptibility to False Memory. PsyArXiv 2020. [Google Scholar] [CrossRef]
- Regner, I.; Smeding, A.; Gimmig, D.; Thinus-Blanc, C. Individual differences in working memory moderate stereotype-threat effects. Psychol. Sci. 2010, 21, 1646–1648. [Google Scholar] [CrossRef]
- Klingberg, T. Training and plasticity of working memory. Trends Cogn. Sci. 2010, 14, 317–324. [Google Scholar] [CrossRef] [PubMed]
- Adam, K.C.S.; Vogel, E.K. Improvements to Visual Working Memory Performance with Practice and Feedback. PLoS ONE 2018, 13, e0203279. [Google Scholar] [CrossRef] [PubMed]
- Thomson, D.; Besner, D.; Smilek, D. A resource-control account of sustained attention: Evidence from mind-wandering and vigilance paradigms. Perspect. Psychol. Sci. 2013, 8, 137–157. [Google Scholar] [CrossRef]
- Jaeggi, S.M.; Buschkuehl, M.; Shah, P.; Jonides, J. The role of individual differences in cognitive training and transfer. Mem. Cogn. 2014, 42, 464–480. [Google Scholar] [CrossRef]
- Engle, R.W. Working memory capacity as executive attention. Curr. Dir. Psychol. Sci. 2002, 11, 19–23. [Google Scholar] [CrossRef]
- Conway, A.R.; Engle, R.W. Working memory and retrieval: A resource-dependent inhibition model. J. Exp. Psychol. Gen. 1994, 123, 354–373. [Google Scholar] [CrossRef] [PubMed]
- Beilock, S.; DeCaro, M. From Poor Performance to Success under Stress: Working Memory, Strategy Selection, and Mathematical Problem Solving under Pressure. J. Exp. Psychol. Learn. Mem. Cogn. 2007, 33, 983–998. [Google Scholar] [CrossRef]
- Schmader, T.; Johns, M. Converging evidence that stereotype threat reduces working memory capacity. J. Personal. Soc. Psychol. 2003, 85, 440–452. [Google Scholar] [CrossRef] [PubMed]
- Duckworth, A.L.; Eskreis-Winkler, L. True Grit. Observer. 29 March 2013. Available online: https://www.psychologicalscience.org/observer/true-grit (accessed on 4 June 2020).
- Park, D.; Tsukayama, E.; Yu, A.; Duckworth, A.L. The development of grit and growth mindset during adolescence. J. Exp. Child Psychol. 2020, 198, 104889. [Google Scholar] [CrossRef] [PubMed]
- Zhao, Y.; Niu, G.; Hou, H.; Zeng, G.; Xu, L.; Peng, K.; Yu, F. From Growth Mindset to Grit in Chinese Schools: The Mediating Roles of Learning Motivations. Front. Psychol. 2018, 9, 2007. [Google Scholar] [CrossRef] [PubMed]
- Holden, L.R. Exploring Cognitive and Non-Cognitive Factors in Stereotype Threat Effects: An Individual Differences Approach. Ph.D. Thesis, Princeton University, Princeton, NJ, USA, 2020. Available online: http://arks.princeton.edu/ark:/88435/dsp013n2041793 (accessed on 2 March 2021).
- Champely, S.; Ekstrom, C.; Dalgaard, P.; Gill, J.; Weibelzahl, S.; Anandkumar, A.; Ford, C.; Volcic, R.; De Rosario, H. Package ‘pwr’. R Package Version 2018. 16 March 2020. Available online: https://cran.r-project.org/web/packages/pwr/pwr.pdf (accessed on 2 March 2021).
- Duckworth, A.L.; Quinn, P.D. Development and validation of the Short Grit Scale (GRIT–S). J. Personal. Assess. 2009, 91, 166–174. [Google Scholar] [CrossRef] [PubMed]
- Conway, A.R.; Kane, M.J.; Bunting, M.F.; Hambrick, D.Z.; Wilhelm, O.; Engle, R.W. Working Memory Span Tasks: A Methodological Review and User’s Guide. Psychon. Bull. Rev. 2005, 12, 769–786. [Google Scholar] [CrossRef]
- Spielberger, C.D.; Gorsuch, R.L.; Lushene, R.; Vagg, P.R.; Jacobs, G.A. Manual for the State-Trait Anxiety Inventory; Consulting Psychologists Press: Palo Alto, CA, USA, 1983. [Google Scholar]
- Garcia, J.; Cohen, G.L. A social psychological perspective on educational intervention. In Behavioral Foundations of Policy; Shafir, E., Ed.; Princeton University Press: Princeton, NJ, USA, 2012; pp. 329–350. [Google Scholar]
- Good, C.; Rattan, A.; Dweck, C.S. Why do women opt out? Sense of belonging and women’s representation in mathematics. J. Personal. Soc. Psychol. 2012, 102, 700–717. [Google Scholar] [CrossRef]
- Mendoza-Denton, R.; Kahn, K.; Chan, W. Can fixed views of ability boost performance in the context of favorable stereotypes? J. Exp. Soc. Psychol. 2008, 44, 1187–1193. [Google Scholar] [CrossRef]



| Measure | M | SD | Min | Max |
|---|---|---|---|---|
| 1. GPA | 3.53 | 0.33 | 2.7 | 4 |
| 2. OSPAN | 65.95 | 6.96 | 42 | 75 |
| 3. RSPAN | 60.09 | 10.21 | 30 | 75 |
| 4. Math GRE proportion correct | 0.54 | 0.19 | 0.16 | 0.96 |
| 5. Math GRE proportion attempted | 0.78 | 0.15 | 0.36 | 1 |
| 6. Mindset pre-manipulation | 4.41 | 1.22 | 1 | 6 |
| 7. Mindset post-manipulation | 4.3 | 1.26 | 1 | 6 |
| 8. Comfort expressing views pre-manipulation | 4.37 | 1.15 | 1 | 6 |
| 9. Relating to university pre-manipulation | 4.12 | 1.23 | 1 | 6 |
| 10. Relating to other students pre-manipulation | 4.14 | 1.16 | 1 | 6 |
| 11. Grit pre-manipulation | 3.27 | 0.62 | 1.625 | 4.625 |
| 12. Grit post-manipulation | 3.43 | 0.62 | 1.75 | 4.75 |
| 13. Anxiety | 12.67 | 3.27 | 6 | 21 |
| 14. Comfort expressing views post-manipulation | 4.38 | 0.93 | 3 | 6 |
| 15. Relating to university post-manipulation | 4.04 | 1.31 | 1 | 6 |
| 16. Relating to other students post-manipulation | 4.13 | 1.22 | 1 | 6 |
| 17. Verbal SAT | 749.8 | 45.72 | 620 | 800 |
| 18. Math SAT | 734.42 | 55.5 | 600 | 800 |
| 19. Being good at academics is important | 5.54 | 1.24 | 1 | 7 |
| 20. Doing well on intellectual tasks is important | 5.75 | 1.08 | 3 | 7 |
| 21. Doing well on math tasks is important | 4.59 | 1.47 | 1 | 7 |
| 22. Academic success is not important | 1.97 | 1.17 | 1 | 6 |
| 23. Standardized tests are biased against me | 3.05 | 1.57 | 1 | 7 |
Disclaimer/Publisher’s Note: The statements, opinions and data contained in all publications are solely those of the individual author(s) and contributor(s) and not of MDPI and/or the editor(s). MDPI and/or the editor(s) disclaim responsibility for any injury to people or property resulting from any ideas, methods, instructions or products referred to in the content. |
© 2024 by the authors. Licensee MDPI, Basel, Switzerland. This article is an open access article distributed under the terms and conditions of the Creative Commons Attribution (CC BY) license (https://creativecommons.org/licenses/by/4.0/).
Share and Cite
Holden, L.R.; Goldstein, B. Brief Mindset Intervention Changes Attitudes but Does Not Improve Working Memory Capacity or Standardized Test Performance. Educ. Sci. 2024, 14, 227. https://doi.org/10.3390/educsci14030227
Holden LR, Goldstein B. Brief Mindset Intervention Changes Attitudes but Does Not Improve Working Memory Capacity or Standardized Test Performance. Education Sciences. 2024; 14(3):227. https://doi.org/10.3390/educsci14030227
Chicago/Turabian StyleHolden, LaTasha R., and Bear Goldstein. 2024. "Brief Mindset Intervention Changes Attitudes but Does Not Improve Working Memory Capacity or Standardized Test Performance" Education Sciences 14, no. 3: 227. https://doi.org/10.3390/educsci14030227
APA StyleHolden, L. R., & Goldstein, B. (2024). Brief Mindset Intervention Changes Attitudes but Does Not Improve Working Memory Capacity or Standardized Test Performance. Education Sciences, 14(3), 227. https://doi.org/10.3390/educsci14030227

