Relations between Math Achievement, Math Anxiety, and the Quality of Parent–Child Interactions While Solving Math Problems
Abstract
1. Introduction
1.1. Quality of Parental Involvement in Homework
1.2. Parent Math Anxiety and Math Achievement in the Context of Math Homework Help
1.3. Child’s Math Anxiety and Math Achievement in the Context of Math Homework Help
1.4. Assessments of the Math Homework-Helping Interaction
2. The Present Study
3. Method
3.1. Participants
3.2. Materials
3.2.1. Mathematics Anxiety
3.2.2. Generalized Anxiety
3.2.3. Mathematics Achievement
3.2.4. Math Homework Task
3.2.5. Quality of the Homework-Helping Interaction
3.3. Procedure
4. Results
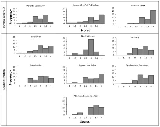
4.1. Describing the Quality of the Simulated Math Homework Task Interaction
4.1.1. Parental Behavior
4.1.2. Dyadic Interaction
4.2. Hypotheses
4.2.1. Hypothesis 1: The Quality of the Interaction and Simulated Math Homework Task Performance
4.2.2. Hypothesis 2: The Quality of the Interaction and Math Achievement
4.2.3. Hypothesis 3: The Quality of the Interaction and Math Anxiety
5. Discussion
5.1. Relations between the Quality of Interaction and Task Performance
5.2. Relations between the Quality of the Interaction and Math Achievement
5.3. Relations between the Quality of the Interaction and Math Anxiety
6. Limitations and Future Research
7. Implications and Conclusions
Supplementary Materials
Author Contributions
Funding
Institutional Review Board Statement
Informed Consent Statement
Data Availability Statement
Acknowledgments
Conflicts of Interest
Appendix A
| 1 | 2 | 3 | 4 | 5 | 6 | 7 | 8 | 9 | 10 | 11 | 12 | 13 | 14 | 15 | 16 | 17 | |
|---|---|---|---|---|---|---|---|---|---|---|---|---|---|---|---|---|---|
| 1. Parent’s General Anxiety | -- | 0.14 | 0.19 | −0.02 | 0.14 | −0.15 | 0.27 | 0.02 | 0.05 | −0.15 | −0.20 | 0.14 | 0.13 | 0.03 | −0.05 | 0.07 | 0.15 |
| 2. Child’s General Anxiety | -- | 0.28 | 0.75 ** | 0.07 | −0.25 | −0.03 | −0.06 | −0.20 | −0.04 | −0.28 | −0.12 | −0.00 | −0.16 | −0.13 | −0.20 | 0.09 | |
| 3. Parent’s Math Anxiety | -- | 0.44 ** | −0.36 * | −0.22 | −0.27 | −0.20 | −0.23 | −0.06 | −0.03 | −0.24 | −0.01 | −0.22 | −0.22 | −0.04 | −0.03 | ||
| 4. Child’s Math Anxiety | -- | −0.20 | −0.09 | −0.33 * | −0.35 * | −0.46 ** | −0.16 | −0.43 ** | −0.38 * | −0.22 | −0.44 ** | −0.37 * | −0.33 * | 0.01 | |||
| 5. Parent’s Math Achievement | -- | 0.14 | 0.49 ** | 0.37 * | 0.47 ** | 0.07 | 0.32 * | 0.17 | 0.42 ** | 0.44 ** | 0.34 * | 0.33 * | 0.02 | ||||
| 6. Child’s Math Achievement | -- | 0.31 | 0.37* | 0.03 | −0.16 | 0.13 | 0.34 * | 0.11 | 0.22 | 0.18 | 0.26 | 0.07 | |||||
| 7. Math Task Score | -- | 0.56 ** | 0.59 ** | −0.02 | 0.54 ** | 0.73 ** | 0.51 ** | 0.61 ** | 0.37 * | 0.59 ** | −0.03 | ||||||
| 8. Parental Sensitivity | -- | 0.67 ** | 0.40 * | 0.56 ** | 0.69 ** | 0.69 ** | 0.84 ** | 0.69 ** | 0.61 ** | 0.30 | |||||||
| 9. Respect for Child’s Rhythm | -- | 0.14 | 0.74 ** | 0.60 ** | 0.75 ** | 0.78 ** | 0.62 ** | 0.62 ** | 0.32 * | ||||||||
| 10. Parental Effort | -- | 0.22 | 0.10 | 0.31 * | 0.42 ** | 0.34 * | −0.01 | 0.29 | |||||||||
| 11. Relaxation | -- | 0.58 ** | 0.60 ** | 0.76 ** | 0.60 ** | 0.75 ** | 0.14 | ||||||||||
| 12. Neutrality–Joy | -- | 0.53 ** | 0.76 ** | 0.51 ** | 0.64 ** | 0.28 | |||||||||||
| 13. Intimacy | -- | 0.82** | 0.54 ** | 0.52 ** | 0.50 ** | ||||||||||||
| 14. Coordination | -- | 0.73 ** | 0.70 ** | 0.47 ** | |||||||||||||
| 15. Appropriate Roles | -- | 0.52 ** | 0.33 * | ||||||||||||||
| 16. Synchronized Emotions | -- | 0.20 | |||||||||||||||
| 17. Attention Centered on Task | -- |
References
- Duncan, G.J.; Dowsett, C.J.; Claessens, A.; Magnuson, K.; Huston, A.C.; Klebanov, P.; Pagani, L.S.; Feinstein, L.; Engel, M.; Brooks-Gunn, J.; et al. School Readiness and Later Achievement. Dev. Psychol. 2007, 23, 1428. [Google Scholar] [CrossRef] [PubMed]
- Hart, S.A.; Ganley, C.M.; Purpura, D.J. Understanding the home math environment and its role in predicting parent report of children’s math skills. PLoS ONE 2016, 11, e0168227. [Google Scholar] [CrossRef] [PubMed]
- Daucourt, M.C.; Napoli, A.R.; Quinn, J.M.; Wood, S.G.; Hart, S.A. The Home Math Environment and Math Achievement: A Meta-Analysis. Psychol. Bull. 2021, 147, 565. [Google Scholar] [CrossRef] [PubMed]
- Ashcraft, M.H. Math anxiety: Personal, educational, and cognitive consequences. Curr. Dir. Psychol. Sci. 2002, 11, 181–185. [Google Scholar] [CrossRef]
- Guzmán, B.; Rodríguez, C.; Ferreira, R.A. Effect of parents’ mathematics anxiety and home numeracy activities on young children’s math performance-anxiety relationship. Contemp. Educ. Psychol. 2023, 72, 102140. [Google Scholar] [CrossRef]
- Soni, A.; Kumari, S. The Role of Parental Math Anxiety and Math Attitude in Their Children’s Math Achievement. Int. J. Sci. Math. Educ. 2017, 15, 331–347. [Google Scholar] [CrossRef]
- Szczygieł, M. When does math anxiety in parents and teachers predict math anxiety and math achievement in elementary school children? The role of gender and grade year. Soc. Psychol. Educ. 2020, 23, 1023–1054. [Google Scholar] [CrossRef]
- Maloney, E.A.; Ramirez, G.; Gunderson, E.A.; Levine, S.C.; Beilock, S.L. Intergenerational effects of parents’ math anxiety on children’s math achievement and anxiety. Psychol. Sci. 2015, 26, 1480–1488. [Google Scholar] [CrossRef]
- The Varkey Foundation. Global Parents’ Survey. 2018. Available online: https://www.varkeyfoundation.org/media/4340/vf-parents-survey-18-single-pages-for-flipbook.pdf (accessed on 7 March 2023).
- Doctoroff, G.L.; Arnold, D.H. Doing homework together: The relation between parenting strategies, child engagement, and achievement. J. Appl. Dev. Psychol. 2017, 48, 103–113. [Google Scholar] [CrossRef]
- Gonida, E.N.; Cortina, K.S. Parental involvement in homework: Relations with parent and student achievement-related motivational beliefs and achievement. Br. J. Educ. Psychol. 2014, 84, 376–396. [Google Scholar] [CrossRef]
- Cooper, H.; Lindsay, J.J.; Nye, B. Homework in the home: How student, family, and parenting-style differences relate to the homework process. Contemp. Educ. Psychol. 2000, 25, 464–487. [Google Scholar] [CrossRef] [PubMed]
- Epstein, J.L.; van Voorhis, F.L. More than minutes: Teachers’ roles in designing homework. Educ. Psychol. 2001, 36, 181–193. [Google Scholar] [CrossRef]
- Wilder, S. Effects of parental involvement on academic achievement: A meta-synthesis. Educ. Rev. 2014, 66, 377–397. [Google Scholar] [CrossRef]
- Moss, E.; Humber, N.; Roberge, L. Grille D’interactions Parent-Enfant Pour les Périodes Préscolaire et Scolaire; Unpublished Manuscript; Université du Québec à Montréal: Montreal, QC, Canada, 1996. [Google Scholar]
- Barroso, C.; Ganley, C.M.; McGraw, A.L.; Geer, E.A.; Hart, S.A.; Daucourt, M.C. A meta-analysis of the relation between math anxiety and math achievement. Psychol. Bull. 2021, 147, 134–168. [Google Scholar] [CrossRef]
- Namkung, J.M.; Peng, P.; Lin, X. The relation between mathematics anxiety and mathematics performance among school-aged students: A meta-analysis. Rev. Educ. Res. 2019, 89, 459–496. [Google Scholar] [CrossRef]
- Zhang, J.; Zhao, N.; Kong, Q.P. The relationship between math anxiety and math performance: A meta-analytic investigation. Front. Psychol. 2019, 10, 1613. [Google Scholar] [CrossRef]
- Bronfenbrenner, U. Ecology of the family as a context for human development: Research perspectives. Dev. Psychol. 1986, 22, 723. [Google Scholar] [CrossRef]
- Eccles, J.S. Families, schools, and developing achievement-related motivations and engagement. In Handbook of Socialization: Theory and Research; Grusec, J.E., Hastings, P.D., Eds.; The Guilford Press: New York, NY, USA, 2007; pp. 665–691. [Google Scholar]
- Boonk, L.; Gijselaers, H.J.M.; Ritzen, H.; Brand-Gruwel, S. A review of the relationship between parental involvement indicators and academic achievement. Educ. Res. Rev. 2018, 24, 10–30. [Google Scholar] [CrossRef]
- Hoover-Dempsey, K.V.; Sandler, H.M. Parental involvement in children education: Why does it make a difference? Teach. Coll. Rec. 1995, 97, 311–331. [Google Scholar] [CrossRef]
- Hoover-Dempsey, K.V.; Battiato, A.C.; Walker, J.M.T.; Reed, R.P.; DeJong, J.M.; Jones, K.P. Parental involvement in homework. Educ. Psychol. 2001, 36, 195–209. [Google Scholar] [CrossRef]
- Dumont, H.; Trautwein, U.; Nagy, U.G.; Nagengast, B. Quality of parental homework involvement: Predictors and reciprocal relations with academic functioning in the reading domain. J. Educ. Psychol. 2014, 106, 144. [Google Scholar] [CrossRef]
- Chen, C.; Stevenson, H.W. Homework: A cross-cultural examination. Child Dev. 1989, 60, 551–561. [Google Scholar] [CrossRef] [PubMed]
- Hill, N.E.; Tyson, D.F. Parental involvement in middle school: A meta-analytic assessment of the strategies that promote achievement. Dev. Psychol. 2009, 45, 740–763. [Google Scholar] [CrossRef] [PubMed]
- Pomerantz, E.M.; Eaton, M.M. Maternal intrusive support in the academic context: Transactional socialization processes. Dev. Psychol. 2001, 37, 174–186. [Google Scholar] [CrossRef] [PubMed]
- Ginsburg, G.S.; Schlossberg, M.C. Family-based treatment of childhood anxiety disorders. Int. Rev. Psychiatry 2002, 14, 143–154. [Google Scholar] [CrossRef]
- Alreshidi, A.M.; Alsharif, K.M.; Kandeel, R.A.A. Five important parental involvement variables that affect young children’s mathematical achievements: A comparative study. Educ. Urban Soc. 2022, 54, 187–195. [Google Scholar] [CrossRef]
- Cosso, J.; Finders, J.K.; Duncan, R.J.; Schmitt, S.A.; Purpura, D.J. The home numeracy environment and children’s math skills: The moderating role of parents’ math anxiety. J. Exp. Child Psychol. 2023, 227, 105578. [Google Scholar] [CrossRef]
- DiStefano, M.; O’Brien, B.; Storozuk, A.; Ramirez, G.; Maloney, E.A. Exploring math anxious parents’ emotional experience surrounding math homework-help. Int. J. Educ. Res. 2020, 99, 101526. [Google Scholar] [CrossRef]
- Retanal, F.; Johnston, N.B.; di Lonardo Burr, S.M.; Storozuk, A.; Distefano, M.; Maloney, E.A. Controlling-supportive homework help partially explains the relation between parents’ math anxiety and children’s math achievement. Educ. Sci. 2021, 11, 620. [Google Scholar] [CrossRef]
- Leone, C.M.; Richards, H. Classwork and homework in early adolescence: The ecology of achievement. J. Youth Adolesc. 1989, 18, 531–548. [Google Scholar] [CrossRef]
- Trautwein, U.; Niggli, A.; Schnyder, I.; Lüdtke, O. Between-teacher differences in homework assignments and the development of students’ homework effort, homework emotions, and achievement. J. Educ. Psychol. 2009, 101, 176–189. [Google Scholar] [CrossRef]
- Oh, D.D.; Barger, M.M.; Pomerantz, E.M. Parents’ math anxiety and their controlling and autonomy-supportive involvement in children’s math learning: Implications for children’s math achievement. Dev. Psychol. 2022, 58, 2158–2170. [Google Scholar] [CrossRef] [PubMed]
- Wu, J.; Barger, M.M.; Oh, D.; Pomerantz, E.M. Parents’ daily involvement in children’s math homework and activities during early elementary school. Child Dev. 2022, 93, 1347–1364. [Google Scholar] [CrossRef]
- Dubois-Comtois, K.; Cyr, C.; Moss, E. Attachment behavior and mother-child conversations as predictors of attachment representations in middle childhood: A longitudinal study. Attach. Hum. Dev. 2011, 13, 335–357. [Google Scholar] [CrossRef] [PubMed]
- Hunt, T.E.; Maloney, E.A. Appraisals of previous math experiences play an important role in math anxiety. Ann. N. Y. Acad. Sci. 2022, 1515, 143–154. [Google Scholar] [CrossRef] [PubMed]
- Cameron, L.; Bartel, L. Homework Realities: A Canadian Study of Parental Opinions and Attitudes. 2008. Available online: https://policycommons.net/artifacts/1228088/homework-realities/1781157/ (accessed on 7 March 2023).
- Hopko, D.R.; Mahadevan, R.; Bare, R.L.; Hunt, M.K. The Abbreviated Math Anxiety Scale (AMAS): Construction, validity, and reliability. Assessment 2003, 11, 178–182. [Google Scholar] [CrossRef] [PubMed]
- Ma, M.; Li, D.; Zhang, L. Longitudinal prediction of children’s math anxiety from parent-child relationships. Learn. Individ. Differ. 2021, 88, 102016. [Google Scholar] [CrossRef]
- Wang, Z.; Hart, S.A.; Kovas, Y.; Lukowski, S.; Soden, B.; Thompson, L.A.; Plomin, R.; McLoughlin, G.; Bartlett, C.W.; Lyons, I.M.; et al. Who is afraid of math? Two sources of genetic variance for mathematical anxiety. J. Child Psychol. Psychiatry 2014, 55, 1056–1064. [Google Scholar] [CrossRef]
- Spielberger, C.D. State-Trait Anxiety Inventory for Adults. APA Psyc. Tests. 1983. [Google Scholar] [CrossRef]
- Spielberger, C.D. State-Trait Anxiety Inventory: Bibliography, 2nd ed.; Consulting Psychologists Press: Palo Alto, CA, USA, 1989. [Google Scholar]
- Julian, L.J. Measures of anxiety: State-Trait Anxiety Inventory (STAI), Beck Anxiety Inventory (BAI), and Hospital Anxiety and Depression Scale-Anxiety (HADS-A). Arthritis Care Res. 2011, 63, S467–S472. [Google Scholar] [CrossRef]
- Spielberger, C.D.; Lushene, R.E.; Montuori, J.; Platzek, D. The State-Trait Anxiety Inventory for Children (Preliminary Manual); Consulting Psychologists Press: Palo Alto, CA, USA, 1973. [Google Scholar]
- Kirisci, L.; Clarck, D.B. Reliability and validity of the State-Trait Anxiety Inventory for Children in an adolescent sample: Confirmatory factor analysis and item response theory. J. Child Adolesc. Subst. Abuse 1992, 5, 57–70. [Google Scholar] [CrossRef]
- Schrank, F.A.; Wendling, B.J. The Woodcock-Johnson IV: Tests of cognitive abilities, tests of oral language, tests of achievement. In Contemporary Intellectual Assessment: Theories, Tests and Issues, 1st ed.; The Guilford Press: New York, NY, USA, 2018; pp. 383–451. [Google Scholar]
- Mather, N.; Wendling, B.J. Examiner’s Manual: Woodcock Johnson IV Tests of Achievement; Rolling Meadows: Riverside, IL, USA, 2014. [Google Scholar]
- Ontario Ministry of Education. The Ontario Curriculum, Grades 1–8: Mathematics. 2005. Available online: https://www.edu.gov.on.ca/eng/document/curricul/elementary/math1-8e.pdf (accessed on 7 March 2023).
- Bureau, J.F.; Yurkowski, K.; Schmiedel, S.; Martin, J.; Moss, E.; Pallanca, D. Making children laugh: Parent-child dyadic synchrony and preschool attachment. Infant. Ment. Health J. 2014, 35, 482–494. [Google Scholar] [CrossRef] [PubMed]
- Bureau, J.F.; Trepiak, P.; Deneault, A.A.; Boulerice, K. Stability of father- and mother-child synchrony in a playful setting from preschool to middle childhood: Associations with children’s behavior problems. Early Child Res. Q. 2021, 57, 167–177. [Google Scholar] [CrossRef]
- Moss, E.; St-Laurent, D. Attachment at school age and academic performance. Dev. Psychol. 2001, 37, 863–874. [Google Scholar] [CrossRef] [PubMed]
- McGrew, K.S.; LaForte, E.M.; Schrank, F.A. Technical Manual; vol. Woodcock-Johnson IV; Rolling Meadows: Riverside, IL, USA, 2014. [Google Scholar]
- Hudson, J.L.; Rapee, R.M. Parent-child interactions and anxiety disorders: An observational study. Behav. Res. Ther. 2001, 39, 1411–1427. [Google Scholar] [CrossRef]
- Else-Quest, N.M.; Hyde, J.S.; Hejmadi, A. Mother and child emotions during mathematics homework. Math. Think. Learn. 2008, 10, 5–35. [Google Scholar] [CrossRef]
- Ministry of Education. Stay Involved in your Child’s Education. Government of Ontario. 2022. Available online: https://www.ontario.ca/page/stay-involved-your-childs-education (accessed on 7 March 2023).


| Parents | Children | |||||
|---|---|---|---|---|---|---|
| Mean | SD | Range | Mean | SD | Range | |
| General Anxiety | 1.96 | 0.55 | 1.05–3.55 | 1.67 | 0.40 | 1.10–2.65 |
| Math Anxiety | 2.25 | 0.96 | 1.00–4.67 | 2.31 | 0.86 | 1.22–4.44 |
| Math Achievement | 536.95 | 14.72 | 503.00–565.00 | 490.93 | 17.60 | 450.00–526.00 |
| Math Task Score | 80.58 | 22.87 | 18.20–100 | 80.75 | 22.61 | 18.20–100 |
| Parental Behavior | ||||||
| Parental Sensitivity | 2.96 | 0.59 | 1.50–4.00 | |||
| Respect for Child’s Rhythm | 3.23 | 0.79 | 1.00–4.00 | |||
| Parental Effort | 3.58 | 0.53 | 2.00–4.00 | |||
| Dyadic Interaction | ||||||
| Relaxation a | 3.19 | 0.71 | 1.00–4.00 | 3.19 | 0.71 | 1.00–4.00 |
| Neutrality–Joy a | 2.83 | 0.50 | 1.50–4.00 | 3.28 | 0.63 | 1.50–4.00 |
| Intimacy a | 3.15 | 0.59 | 2.00–4.00 | 3.15 | 0.59 | 2.00–4.00 |
| Coordination a | 3.08 | 0.68 | 2.00–4.00 | 3.07 | 0.68 | 2.00–4.00 |
| Appropriate Roles a | 3.26 | 0.72 | 1.50–4.00 | 3.26 | 0.72 | 1.50–4.00 |
| Synchronized Emotions a | 3.28 | 0.63 | 1.50–4.00 | 3.28 | 0.63 | 1.50–4.00 |
| Attention Centred on Task a | 3.34 | 0.62 | 1.50–4.00 | 3.33 | 0.62 | 1.50–4.00 |
| 1 | 2 | 3 | 4 | 5 | 6 | |
|---|---|---|---|---|---|---|
| 1. Parent’s General Anxiety | -- | 0.19 | 0.14 | 0.14 | −0.02 | −0.16 |
| 2. Parent’s Math Anxiety | -- | −0.37 * | 0.28 | 0.44 ** | −0.22 | |
| 3. Parent’s Math Achievement | -- | 0.07 | −0.20 | 0.14 | ||
| 4. Child’s General Anxiety | -- | 0.75 ** | −0.25 | |||
| 5. Child’s Math Anxiety | -- | −0.09 | ||||
| 6. Child’s Math Achievement | -- |
| Subscales | Task Performance | Math Achievement | Math Anxiety | ||
|---|---|---|---|---|---|
| Parent | Child | Parent a | Child b | ||
| Parental Behavior | |||||
| Parental Sensitivity | 0.56 ** | 0.37 * | 0.37 * | −0.21 | −0.46 ** |
| Respect for Child’s Rhythm | 0.59 ** | 0.46 ** | 0.03 | −0.24 | −0.49 ** |
| Parental Effort | −0.02 | 0.07 | −0.16 | −0.03 | −0.19 |
| Dyadic Interactions | |||||
| Relaxation | 0.54 ** | 0.31 * | 0.13 | 0.01 | −0.35 * |
| Neutrality–Joy | 0.73 ** | 0.17 | 0.34 * | −0.27 | −0.45 ** |
| Intimacy | 0.51 ** | 0.42 ** | 0.11 | −0.03 | −0.33 * |
| Coordination | 0.61 ** | 0.44 ** | 0.22 | −0.23 | −0.50 ** |
| Appropriate Roles | 0.37 * | 0.34 * | 0.17 | −0.22 | −0.42 ** |
| Synchronized Emotions | 0.59 ** | 0.32 * | 0.26 | −0.06 | −0.39 * |
| Attention Centred on Task | −0.03 | 0.02 | 0.07 | −0.06 | −0.09 |
Disclaimer/Publisher’s Note: The statements, opinions and data contained in all publications are solely those of the individual author(s) and contributor(s) and not of MDPI and/or the editor(s). MDPI and/or the editor(s) disclaim responsibility for any injury to people or property resulting from any ideas, methods, instructions or products referred to in the content. |
© 2023 by the authors. Licensee MDPI, Basel, Switzerland. This article is an open access article distributed under the terms and conditions of the Creative Commons Attribution (CC BY) license (https://creativecommons.org/licenses/by/4.0/).
Share and Cite
DiStefano, M.; Retanal, F.; Bureau, J.-F.; Hunt, T.E.; Lafay, A.; Osana, H.P.; Skwarchuk, S.-L.; Trepiak, P.; Xu, C.; LeFevre, J.-A.; et al. Relations between Math Achievement, Math Anxiety, and the Quality of Parent–Child Interactions While Solving Math Problems. Educ. Sci. 2023, 13, 307. https://doi.org/10.3390/educsci13030307
DiStefano M, Retanal F, Bureau J-F, Hunt TE, Lafay A, Osana HP, Skwarchuk S-L, Trepiak P, Xu C, LeFevre J-A, et al. Relations between Math Achievement, Math Anxiety, and the Quality of Parent–Child Interactions While Solving Math Problems. Education Sciences. 2023; 13(3):307. https://doi.org/10.3390/educsci13030307
Chicago/Turabian StyleDiStefano, Michela, Fraulein Retanal, Jean-François Bureau, Thomas E. Hunt, Anne Lafay, Helena P. Osana, Sheri-Lynn Skwarchuk, Philip Trepiak, Chang Xu, Jo-Anne LeFevre, and et al. 2023. "Relations between Math Achievement, Math Anxiety, and the Quality of Parent–Child Interactions While Solving Math Problems" Education Sciences 13, no. 3: 307. https://doi.org/10.3390/educsci13030307
APA StyleDiStefano, M., Retanal, F., Bureau, J.-F., Hunt, T. E., Lafay, A., Osana, H. P., Skwarchuk, S.-L., Trepiak, P., Xu, C., LeFevre, J.-A., & Maloney, E. A. (2023). Relations between Math Achievement, Math Anxiety, and the Quality of Parent–Child Interactions While Solving Math Problems. Education Sciences, 13(3), 307. https://doi.org/10.3390/educsci13030307

