STEM Teachers’ Digital Competence: Different Subjects, Different Proficiencies
Abstract
:1. Introduction
2. Methodology
2.1. Aim of the Study
2.2. Sample and Procedure
2.3. Instrument
2.4. Data Analysis
3. Results
3.1. Global Proficiency Score by STEM Subject
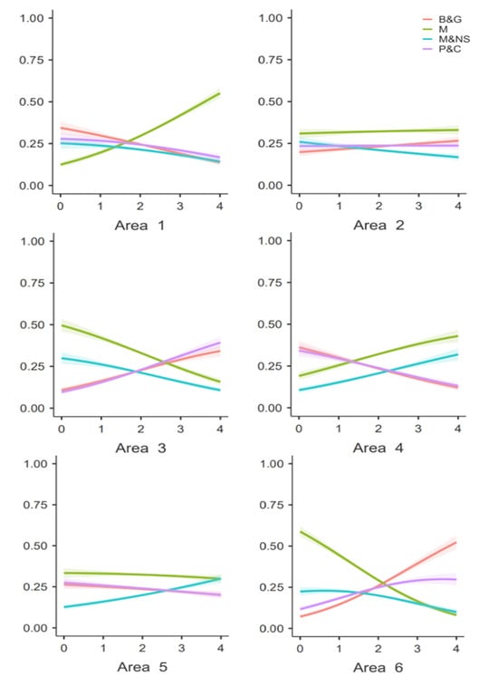
3.2. Proficiency Scores and Competence Areas by STEM Subject
4. Discussion
5. Conclusions
Author Contributions
Funding
Institutional Review Board Statement
Informed Consent Statement
Data Availability Statement
Conflicts of Interest
References
- Martins, I.P. Revisitando orientações CTS/CTSA na educação e no ensino das ciências. Rev. APEduC 2020, 1, 13–29. [Google Scholar]
- Tenreiro-Vieira, C.; Vieira, R.M. Educação em Ciências e Matemática com orientação CTS promotora do pensamento crítico. Rev. Ibero Am. Ciência Tecnol. Soc. 2016, 11, 143–159. [Google Scholar]
- Vieira, R.M.; Tenreiro-Vieira, C. Fostering Scientific Literacy and Critical Thinking in Elementary Science Education. Int. J. Sci. Math. Educ. 2016, 14, 659–680. [Google Scholar] [CrossRef]
- Tenreiro-Vieira, C.; Vieira, R.M. Promover o pensamento crítico e criativo no ensino das ciências: Propostas didáticas e seus contributos em alunos portugueses. Investig. Ensino Ciências 2021, 26, 70–84. [Google Scholar] [CrossRef]
- Aikenhead, G. Educação Científica Para Todos; Edições Pedago: Mangualde, Portugal, 2009. [Google Scholar]
- Izquierdo, M.; Pèrez-Torres, M.; Márquez, C. La presencia CTS en los congresos internacionales de investigación en didáctica de las ciências: Indicios de una evolución enriquecedora. Bol. Assoc. Ibero-Am. CTS 2020, 12, 108–113. [Google Scholar]
- Martins, I.P.; Amador-Rodríguez, R.; Castillo, H.G.C.; Quintanilla-Gatica, M. Breves aproximaciones sobre la historia, las tendencias y las perspectivas del movimiento CTS en América Latina. Assoc. Ibero-Am. CTS 2020, 12, 99–104. [Google Scholar]
- White, D.W. What is STEM education and why is it important? Fla. Assoc. Teach. Educ. J. 2014, 1, 13–29. [Google Scholar]
- Zeidler, D. STEM education: A deficit framework for the twenty first century? A sociocultural socio scientific response. Cult. Stud. Sci. Educ. 2016, 11, 11–26. [Google Scholar] [CrossRef]
- Cachapuz, A. Desafíos de la educación CTSA en la década del 2020. Bol. Assoc. Ibero-Am. CTS 2020, 12, 173–177. [Google Scholar]
- Bybee, R. What is STEM Education. Science 2010, 329, 996. [Google Scholar] [CrossRef] [PubMed]
- Tasiopoulou, E.; Myrtsioti, E.; Gori, J.N.; Xenofontos, N.; Chovardas, A.; Cinganotto, L.; Anichini, G.; Garista, P.; Gras-Velazquez, A. STE(A)M IT Integrated STEM Teaching State of Play; European Choolnet: Brussels, Belgium, 2020. [Google Scholar]
- Yip, W.Y. Developing Undergraduate Student Teachers’ Competence in Integrative STEM Teaching. Front. Educ. 2020, 5, 44. [Google Scholar] [CrossRef]
- Kurup, P.M.; Li, X.; Powell, G.; Brown, M. Building future primary teachers’ capacity in STEM: Based on a platform of beliefs, understandings and intentions. Int. J. STEM Educ. 2019, 6, 10. [Google Scholar] [CrossRef]
- National Research Council. Identifying and Supporting Productive STEM Programs in Out-of-School Settings; The National Academies Press: Washington, DC, USA, 2015. [Google Scholar]
- Ribeiro, F.; Fernandes, J.; Figueiredo, L.; Pinto, F.; Loureiro, P.; Ligeiro, C.; Monteiro, F.; Fernandes, A.; Duarte, A.; Correia, M. Academi@ STEM Mangualde: Atividades Letivas Interdisciplinares do Pré-Escolar ao 3º Ciclo; Município de Mangualde: Mangualde, Portugal, 2021. [Google Scholar]
- Horta, H. STEM Education in Portugal: Education, Policies and Labor Market. Consultant Report—STEM: Country Comparison; Australian Council of Learned Academies: Acton, ACT, Australia, 2013. [Google Scholar]
- European Union. Digital Education Action Plan (2021–2027); European Commission: Brussels, Belgium, 2020. [Google Scholar]
- Ministério da Educação de Portugal. Perfil dos alunos à saída da escolaridade obrigatória. In Profile of Students Leaving Compulsory Education; Ministério da Educação: Lisboa, Portugal, 2017. [Google Scholar]
- Storksdieck, M. Critical information literacy as core skill for lifelong STEM learning in the 21st century: Reflections on the desirability and feasibility for widespread science media education. Cult. Stud. Sci. Educ. 2016, 11, 167–182. [Google Scholar] [CrossRef]
- Redecker, R. European Framework for the Digital Competence of Educators; Joint Research Centre (JRC) & European Commission: Brussels, Belgium, 2017. [Google Scholar]
- Lucas, M.; Bem-haja, P.; Siddiq, F.; Moreira, A.; Redecker, C. The relation between in-service teachers’ digital competence and personal and contextual factors: What matters most? Comput. Educ. 2021, 160, 104052. [Google Scholar] [CrossRef]
- Cattaneo, A.; Antonietti, C.; Rauseo, M. How digitalised are vocational teachers? Assessing digital competence in vocational education and looking at its underlying factors. Comput. Educ. 2022, 176, 104358. [Google Scholar] [CrossRef]
- Çebi, A.; Reisoğlu, İ. Adaptation of Self-Assessment Instrument for Educators’ Digital Competence into Turkish Culture: A Study on Reliability and Validity. Technol. Knowl. Learn. 2022, 27, 569–583. [Google Scholar] [CrossRef]
- Rooy, W.S.V. Using information and communication technology (ICT) to the maximum: Learning and teaching biology with limited digital technologies. Res. Sci. Technol. Educ. 2012, 30, 65–80. [Google Scholar] [CrossRef]
- Fraile, N.M.; Peñalva-Vélez, A.; Lacambra, A.M. Development of Digital Competence in Secondary Education Teachers’ Training. Educ. Sci. 2018, 8, 104. [Google Scholar] [CrossRef]
- Westfall, P.H.; Johnson, W.O.; Utts, J.M. A Bayesian perspective on the Bonferroni adjustment. Biometrika 1997, 84, 419–427. [Google Scholar] [CrossRef]
- Rouder, J.N.; Morey, R.D.; Speckman, P.L.; Province, J.M. Default Bayes Factors for ANOVA Designs. J. Math. Psychol. 2012, 56, 356–374. [Google Scholar] [CrossRef]
- Lee, M.; Wagenmakers, E.-J. Bayesian Cognitive Modeling: A Practical Course; Cambridge University Press: Cambridge, UK, 2013. [Google Scholar]
- R Core Team. R: A Language and Environment for Statistical Computing; R Foundation for Statistical Computing: Vienna, Austria, 2022. [Google Scholar]
- JASP Team. JASP, Version 0.16.4. Computer Software. JASP: Amsterdam, The Netherlands, 2023.
- PORDATA. Estatísticas Sobre Portugal e a Europa. Índice de Envelhecimento dos Docentes em Exercício nos Ensinos Pré-Escolar, Básico e Secundário (Aging Index of Teachers Working in Pre-School, Basic and Secondary Education). Available online: https://www.pordata.pt/ (accessed on 28 May 2022).
- CCPFC—Scientific-Pedagogical Council for Inservice Education. Relatório de Atividades–2021 [Activity Report-2021]; Conselho Científico-Pedagógico da Formação Contínua (CCPFC): Braga, Portugal, 2022. [Google Scholar]




| M&NS | M | P&C | B&G | |
|---|---|---|---|---|
| Gender | ||||
| Female | ||||
| N | 3455 | 5284 | 3740 | 4005 | 
| % | 80.6 | 77.6 | 76.6 | 80.7 | 
| Male | ||||
| N | 830 | 1523 | 1143 | 955 | 
| % | 19.4 | 22.4 | 23.4 | 19.3 | 
| Age range (years) | ||||
| >25 | ||||
| N | 4 | 0 | 2 | 6 | 
| % | 0.1 | 0.0 | 0.0 | 0.1 | 
| 25–29 | ||||
| N | 35 | 13 | 3 | 21 | 
| % | 0.8 | 0.2 | 0.1 | 0.4 | 
| 30–39 | ||||
| N | 210 | 327 | 186 | 255 | 
| % | 4.9 | 4.8 | 3.8 | 5.1 | 
| 40–49 | ||||
| N | 1712 | 2966 | 1834 | 1946 | 
| % | 40.0 | 43.6 | 37.6 | 39.2 | 
| 50–59 | ||||
| N | 1520 | 2623 | 2353 | 2080 | 
| % | 35.5 | 38.5 | 48.2 | 41.9 | 
| <60 | ||||
| N | 804 | 878 | 505 | 652 | 
| % | 18.8 | 12.9 | 10.5 | 13.1 | 
| 95% CI for Mean Difference | ||||||||
|---|---|---|---|---|---|---|---|---|
| Mean Difference | Lower | Upper | SE | t | p Bonf | |||
| B&G | M | 5.013 | 4.364 | 5.662 | 0.253 | 19.846 | <0.001 | *** | 
| M&NS | 4.730 | 4.005 | 5.455 | 0.282 | 16.760 | <0.001 | *** | |
| P&C | 1.126 | 0.425 | 1.827 | 0.273 | 4.126 | <0.001 | *** | |
| M | M&NS | −0.284 | −0.961 | 0.394 | 0.264 | −1.074 | 1.000 | |
| P&C | −3.888 | −4.540 | −3.236 | 0.254 | −15.320 | <0.001 | *** | |
| M&NS | P&C | −3.604 | −4.332 | −2.877 | 0.283 | −12.725 | <0.001 | *** | 
| Models | P(M) | P(M|Data) | BF M | BF 10 | Error % | 
|---|---|---|---|---|---|
| Null model | 0.500 | 3.874 × 10−115 | 3.874 × 10−115 | 1.000 | |
| STEM subject | 0.500 | 1.000 | 2.581 × 10114 | 2.581 × 10114 | 0.005 | 
| Prior Odds | Posterior Odds | BF 10, U | Error % | ||
|---|---|---|---|---|---|
| B&G | M | 0.414 | 1.575 × 1080 | 3.802 × 1080 | 1.844 × 10−87 | 
| M&NS | 0.414 | 4.111 × 1060 | 9.926 × 1060 | 8.983 × 10−69 | |
| P&C | 0.414 | 76.381 | 184.399 | 3.536 × 10−9 | |
| M | M&NS | 0.414 | 0.016 | 0.038 | 4.719 × 10−5 | 
| P&C | 0.414 | 5.193 × 1046 | 1.254 × 1047 | 6.363 × 10−54 | |
| M&NS | P&C | 0.414 | 6.109 × 1033 | 1.475 × 1034 | 8.155 × 10−42 | 
| STEM Subject | Area 1 | Area 2 | Area 3 | Area 4 | Area 5 | Area 6 | 
|---|---|---|---|---|---|---|
| M&NS | 2.1175 | 2.0052 | 1.9575 | 1.9919 | 2.1595 | 1.7064 | 
| M | 2.2293 | 2.0537 | 1.9381 | 1.9578 | 2.0594 | 1.6272 | 
| P&C | 2.2724 | 2.1709 | 2.2224 | 2.0508 | 2.2402 | 1.9083 | 
| B&G | 2.2915 | 2.2220 | 2.2609 | 2.0889 | 2.2974 | 1.9994 | 
| Disclaimer/Publisher’s Note: The statements, opinions and data contained in all publications are solely those of the individual author(s) and contributor(s) and not of MDPI and/or the editor(s). MDPI and/or the editor(s) disclaim responsibility for any injury to people or property resulting from any ideas, methods, instructions or products referred to in the content. | 
© 2023 by the authors. Licensee MDPI, Basel, Switzerland. This article is an open access article distributed under the terms and conditions of the Creative Commons Attribution (CC BY) license (https://creativecommons.org/licenses/by/4.0/).
Share and Cite
Vieira, R.M.; Tenreiro-Vieira, C.C.; Bem-Haja, P.; Lucas, M. STEM Teachers’ Digital Competence: Different Subjects, Different Proficiencies. Educ. Sci. 2023, 13, 1133. https://doi.org/10.3390/educsci13111133
Vieira RM, Tenreiro-Vieira CC, Bem-Haja P, Lucas M. STEM Teachers’ Digital Competence: Different Subjects, Different Proficiencies. Education Sciences. 2023; 13(11):1133. https://doi.org/10.3390/educsci13111133
Chicago/Turabian StyleVieira, Rui Marques, Celina C. Tenreiro-Vieira, Pedro Bem-Haja, and Margarida Lucas. 2023. "STEM Teachers’ Digital Competence: Different Subjects, Different Proficiencies" Education Sciences 13, no. 11: 1133. https://doi.org/10.3390/educsci13111133
APA StyleVieira, R. M., Tenreiro-Vieira, C. C., Bem-Haja, P., & Lucas, M. (2023). STEM Teachers’ Digital Competence: Different Subjects, Different Proficiencies. Education Sciences, 13(11), 1133. https://doi.org/10.3390/educsci13111133
 
        
 
                                                


 
       