An Approach to Environmental Knowledge of Undergraduates in Engineering (Spain): Effect of Environmental Subjects
Abstract
:1. Introduction
2. Materials and Methods
2.1. Subjects
2.2. Research Design and Implementation
2.3. Data Processing
3. Results
3.1. Previous Knowledge
3.2. Effect of Subjects on Environmental Knowledge
3.3. Effect of the Knowledge Acquired in “Environmental Engineering” on “Ecodesign”
3.4. Influence of Gender and Place of Residence
4. Discussion
Supplementary Materials
Author Contributions
Funding
Institutional Review Board Statement
Informed Consent Statement
Data Availability Statement
Acknowledgments
Conflicts of Interest
References
- Singh, R.L.; Singh, P.K. Global Environmental Problems. In Principles and Applications of Environmental Biotechnology for a Sustainable Future. Applied Environmental Science and Engineering for a Sustainable Future; Singh, R., Ed.; Springer: Singapore, 2017. [Google Scholar] [CrossRef]
- Kim, S.; Kim, K.H. Reconsidering Education for Sustainable Society: An East Asian Perspective. REMIE Multidiscip. J. Educ. Res. 2013, 3, 1–18. [Google Scholar] [CrossRef]
- UN (The United Nations). Available online: https://www.un.org/en/ (accessed on 29 January 2022).
- Samperiz, A.; Herrero, J. Evaluation of a summer camp environmental education program in Spain. Appl. Environ. Educ. Commun. 2018, 17, 79–90. [Google Scholar] [CrossRef]
- Ardoin, N.M.; Bowers, A.W. Early childhood environmental education: A systematic review of the research literature. Educ. Res. Rev. 2020, 31, 10035. [Google Scholar] [CrossRef] [PubMed]
- Ardoin, N.M.; Bowers, A.W.; Gaillard, E. Environmental education outcomes for conservation: A systematic review. Biol. Conserv. 2020, 241, 108224. [Google Scholar] [CrossRef]
- Castellanos, P.M.A.; Queiruga-Dios, A.; Encinas, A.H.; Acosta, L.C. Environmental Education in Environmental Engineering: Analysis of the situation in Colombia and Latin America. Sustainability 2020, 12, 7239. [Google Scholar] [CrossRef]
- UNESCO (The United Nations Educational, Scientific and Cultural Organization). Learn for Our Planet: A Global Review of How Environmental Issues are Integrated in Education. Available online: https://unesdoc.unesco.org/ark:/48223/pf0000377362 (accessed on 29 January 2022).
- Villalba, L.; Useche, E. Methodological approach for the construction of environmental management indicators in universities. Clean. Environ. Syst. 2021, 2, 100016. [Google Scholar] [CrossRef]
- Sánchez-Llorens, S.; Agulló-Torres, A.; Del Campo-Gomis, F.J.; Martinez-Poveda, A. Environmental consciousness differences between primary and secondary school students. J. Clean. Prod. 2019, 227, 712–723. [Google Scholar] [CrossRef]
- Sanganyado, E.; Nkomo, S. Incorporating Sustainability into Engineering and Chemical Education Using E-Learning. Educ. Sci. 2018, 8, 39. [Google Scholar] [CrossRef] [Green Version]
- Preedy, V.R.; Watson, R.R. (Eds.) Handbook of Disease Burdens and Quality of Life Measures; Springer: New York, NY, USA, 2010. [Google Scholar] [CrossRef]
- Grodziéska-Jurczak, M.; Stepska, A.; Nieszporek, K.; Bryda, G. Perception of environmental problems among pre-school children in Poland. Int. Res. Geogr. Environ. Educ. 2006, 15, 62–76. [Google Scholar] [CrossRef]
- Mohai, P. Gender differences in the perception of most important environmental problems. Race Gend. Cl. 1997, 5, 153–169. Available online: http://www.jstor.org/stable/41674853 (accessed on 29 January 2022).
- Lee, K. Gender differences in Hong Kong adolescent consumers’ green purchasing behavior. J. Consum. Mark. 2009, 26, 87–96. [Google Scholar] [CrossRef] [Green Version]
- Momsen, J.H. Gender differences in environmental concern and perception. J. Geogr. 2000, 99, 47–56. [Google Scholar] [CrossRef]
- Corrochano, D.; Ferrari, E.; López-Luengo, M.A.; Ortega-Quevedo, V. Educational Gardens and Climate Change Education: An Analysis of Spanish Preservice Teachers’ Perceptions. Educ. Sci. 2022, 12, 275. [Google Scholar] [CrossRef]
- Momsen, J.H. Gender differences in environmental concern and perception in the Caribbean. In La Caraïbe, Données Environnementales; Karthala Editions: Paris, France, 2006; pp. 127–148. [Google Scholar]
- Eze, E. Sociographic analysis of climate change awareness and proenvironmental behaviour of secondary school teachers and students in Nsukka Local Government Area of Enugu State, Nigeria. Int. Res. Geogr. Environ. Educ. 2020, 29, 89–105. [Google Scholar] [CrossRef]
- Nurhidayati, S.; Susantini, E.; Safnowandi, S.; Rachmadiarti, F.; Khaeruman, K. The Uncovering Environmental Knowledge of Senior High School Students about the Local Potential Area Based on Reviewed from Gender and Grade. In Proceedings of the 2nd International Conference on Education and Technology (ICETECH 2021), Kanigoro, Indonesia, 26–27 August 2021; Atlantis Press: Dordrecht, The Netherlands, 2021; pp. 215–220. [Google Scholar]
- Yusuf, R.; Yunus, M.; Maimun, M.; Fajri, I. Environmental Education: A correlational study among Environmental Literacy, Disaster Knowledge, Environmental Sensitivity, and Clean-Living Behavior of post tsunami disaster in Aceh Communities, Indonesia. Pol. J. Environ. Stud. 2022, 31, 411–425. [Google Scholar] [CrossRef]
- Dhenge, S.A.; Ghadge, S.N.; Ahire, M.C.; Gorantiwar, S.D.; Shinde, M.G. Gender attitude towards environmental protection: A comparative survey during COVID-19 lockdown situation. Environ. Dev. Sustain. 2022, 729, 1–46. [Google Scholar] [CrossRef]
- Gough, A.; Whitehouse, H. Centering gender on the agenda for environmental education research. J. Environ. Educ. 2019, 50, 332–347. [Google Scholar] [CrossRef]
- Berenguer, J.; Corraliza, J.A.; Martin, R. Rural-urban differences in environmental concern, attitudes, and actions. Eur. J. Psychol. Assess. 2005, 21, 128–138. [Google Scholar] [CrossRef]
- Liu, X.; Mu, R. Public environmental concern in China: Determinants and variations. Glob. Environ. Change 2016, 37, 116–127. [Google Scholar] [CrossRef]
- Cuadrado, E.; Macias-Zambrano, L.H.; Carpio, A.J.; Tabernero, C. The moderating effect of collective efficacy on the relationship between environmental values and ecological behaviors. Environ. Dev. Sustain. 2022, 24, 4175–4202. [Google Scholar] [CrossRef]
- Kopnina, H.; Cocis, A. Environmental Education: Reflecting on Application of Environmental Attitudes Measuring Scale in Higher Education Students. Educ. Sci. 2017, 7, 69. [Google Scholar] [CrossRef]
- Urbańska, M.; Charzyński, P.; Gadsby, H.; Novák, T.J.; Şahin, S.; Yilmaz, M.D. Environmental Threats and Geographical Education: Students’ Sustainability Awareness—Evaluation. Educ. Sci. 2022, 12, 1. [Google Scholar] [CrossRef]





| General Issues | Specific Issues |
|---|---|
| “Positive statements” | “Positive statements” |
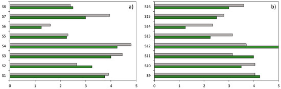
| S1: My daily decisions have an effect on the environment at a global level. S2: I choose environmentally friendly products. S3: I am concerned about the planet’s situation for future generations. S4: Adopting strategies to protect the environment is urgent and necessary. | S9: Nowadays, products are becoming more complex, whereas their useful life is getting shorter. S10: Ecodesign considers the environmental factor as a requirement of the product, with the same relevance as other factors, such as cost or functionality. S11: “Greenwashing” is a marketing strategy. S12: The “carbon footprint” is an environmental indicator that reflects all the greenhouse gas emissions associated with a product. |
| “Negative statements” | “Negative statements” |
| S5: We have the right to use all the advances that technology provides, even if this deteriorates the environment. S6: Environmental damage is a collateral effect that is affordable in economic progress. S7: I would be willing not to be up to date on technological issues if my action entails an environmental benefit. S8: The improvements in the industrial sector to be environmentally responsible only incur an economic expense. | S13: Better quality of life entails less consumption of resources. S14: Ecodesign aims to increase the productivity to obtain a greater profit margin. S15: The “water footprint” is an environmental indicator that only includes water consumed during the manufacturing process. S16: If a product has a low “carbon footprint”, this indicates that its global environmental impact will also be low. |
| Environmental Engineering | |||||
| General Issues | Specific Issues | ||||
| “Positive statements” | “Positive statements” | ||||
| Before | After | Before | After | ||
| S1 | 3.91 ± 1.16 a | 4.34 ± 0.93 a | S9 | 4.09 ± 1.08 a | 4.13 ± 1.07 a |
| S2 | 2.74 ± 1.13 a | 1.87 ± 1.18 a | S10 | 0.54 ± 0.76 a | 1.35 ± 1.19 a |
| S3 | 4.39 ± 0.66 a | 4.22 ± 0.80 a | S11 | 1.45 ± 1.25 a | 1.26 ± 1.14 a |
| S4 | 4.70 ± 0.56 a | 4.57 ± 0.95 a | S12 | 1.39 ± 1.20 a | 0.86 ± 0.95 a |
| “Negative statements” | “Negative statements” | ||||
| Before | After | Before | After | ||
| S5 | 2.26 ± 0.86 a | 2.17 ± 0.78 a | S13 | 1.00 ± 1.00 a | 1.45 ± 1.21 a |
| S6 | 1.48 ± 0.73 a | 1.69 ± 0.82 a | S14 | 1.57 ± 1.20 a | 0.66 ± 0.83 a |
| S7 | 3.78 ± 1.09 a | 3.65 ± 1.37 a | S15 | 1.42 ± 1.18 a | 1.44 ± 1.18 a |
| S8 | 2.35 ± 1.19 a | 1.69 ± 0.82 b | S16 | 1.44 ± 1.24 a | 1.16 ± 1.09 a |
| Ecodesign | |||||
| General Issues | Specific Issues | ||||
| “Positive statements” | “Positive statements” | ||||
| Before | After | Before | After | ||
| S1 | 4.61 ± 0.63 a | 4.60 ± 0.65 a | S9 | 4.36 ± 0.83 a | 4.60 ± 0.58 a |
| S2 | 2.64 ± 0.78 a | 2.96 ± 0.61 a | S10 | 4.07 ± 1.09 a | 4.36 ± 1.11 a |
| S3 | 4.36 ± 0.78 a | 4.36 ± 0.76 a | S11 | 3.36 ± 1.03 a | 4.84 ± 0.47 b |
| S4 | 4.68 ± 0.55 a | 4.84 ± 0.47 a | S12 | 4.00 ± 1.02 a | 4.48 ± 1.08 a |
| “Negative statements” | “Negative statements” | ||||
| Before | After | Before | After | ||
| S5 | 2.50 ± 0.96 a | 2.24 ± 0.83 a | S13 | 2.32 ± 0.94 a | 2.28 ± 0.89 a |
| S6 | 1.86 ± 0.97 a | 1.48 ± 0.65 a | S14 | 2.47 ± 1.07 a | 1.20 ± 0.50 b |
| S7 | 3.03 ± 0.84 a | 3.28 ± 1.02 a | S15 | 2.39 ± 1.22 a | 1.56 ± 1.26 b |
| S8 | 2.00 ± 1.02 a | 2.04 ± 0.89 a | S16 | 3.11 ± 1.26 a | 2.88 ± 1.33 a |
| Before | |||||
| General Issues | Specific Issues | ||||
| “Positive statements” | “Positive statements” | ||||
| Men | Women | Men | Women | ||
| S1 | 3.70 ± 1.17 a | 4.75 ± 0.50 a | S9 | 4.05 ± 1.10 a | 4.25 ± 0.96 a |
| S2 | 2.60 ± 1.10 a | 3.50 ± 1.00 a | S10 | 3.90 ± 0.72 a | 4.25 ± 0.96 a |
| S3 | 4.35 ± 0.67 a | 4.50 ± 0.58 a | S11 | 4.05 ± 1.10 a | 4.25 ± 0.96 a |
| S4 | 4.70 ± 0.57 a | 4.75 ± 0.50 a | S12 | 3.80 ± 1.20 a | 4.50 ± 1.10 a |
| “Negative statements” | “Negative statements” | ||||
| Men | Women | Men | Women | ||
| S5 | 2.45 ± 0.76 a | 1.50 ± 1.00 b | S13 | 3.05 ± 0.89 a | 2.75 ± 1.50 a |
| S6 | 1.55 ± 0.83 a | 1.50 ± 0.58 a | S14 | 2.15 ± 1.31 a | 2.25 ± 0.96 a |
| S7 | 3.85 ± 0.93 a | 3.50 ± 1.73 a | S15 | 2.75 ± 1.21 a | 2.75 ± 1.71 a |
| S8 | 2.40 ± 1.23 a | 2.50 ± 1.29 b | S16 | 3.65 ± 1.23 a | 2.75 ± 0.96 a |
| After | |||||
| General Issues | Specific Issues | ||||
| “Positive statements” | “Positive statements” | ||||
| Men | Women | Men | Women | ||
| S1 | 4.30 ± 0.82 a | 4.80 ± 0.41 a | S9 | 4.60 ± 0.70 a | 4.60 ± 0.51 a |
| S2 | 3.00 ± 0.82 a | 2.93 ± 0.46 a | S10 | 4.70 ± 0.67 a | 4.13 ± 1.30 a |
| S3 | 4.20 ± 0.92 a | 4.47 ± 0.64 a | S11 | 4.70 ± 0.67 a | 4.93 ± 0.26 a |
| S4 | 4.80 ± 0.42 a | 4.87 ± 0.52 a | S12 | 4.20 ± 1.13 a | 4.67 ± 1.04 a |
| “Negative statements” | “Negative statements” | ||||
| Men | Women | Men | Women | ||
| S5 | 2.30 ± 0.95 a | 2.20 ± 0.77 a | S13 | 2.30 ± 0.67 a | 2.27 ± 1.03 a |
| S6 | 1.60 ± 0.70 a | 1.40 ± 0.73 a | S14 | 1.30 ± 0.67 a | 1.13 ± 0.35 a |
| S7 | 3.10 ± 1.10 a | 3.40 ± 0.99 a | S15 | 1.60 ± 1.07 a | 1.53 ± 1.41 a |
| S8 | 2.10 ± 1.10 a | 2.00 ± 0.76 a | S16 | 2.90 ± 1.56 a | 2.87 ± 1.19 a |
| Before | |||||
| General Issues | Specific Issues | ||||
| “Positive statements” | “Positive statements” | ||||
| Rural | Urban | Rural | Urban | ||
| S1 | 3.75 ± 1.25 a | 3.90 ± 1.16 a | S9 | 4.25 ± 0.96 a | 4.05 ± 1.10 a |
| S2 | 3.25 ± 1.26 a | 2.65 ± 1.09 a | S10 | 3.50 ± 0.58 a | 4.05 ± 0.76 a |
| S3 | 4.00 ± 0.82 a | 4.45 ± 0.60 a | S11 | 4.00 ± 1.15 a | 3.15 ± 1.23 a |
| S4 | 4.25 ± 0.50 a | 4.80 ± 0.52 a | S12 | 5.00 ± 0.00 a | 3.70 ± 1.17 b |
| “Negative statements” | “Negative statements” | ||||
| Rural | Urban | Rural | Urban | ||
| S5 | 2.25 ± 0.96 a | 2.30 ± 0.86 a | S13 | 2.25 ± 0.96 a | 3.15 ± 0.93 a |
| S6 | 1.25 ± 0.50 a | 1.60 ± 0.82 a | S14 | 1.25 ± 0.50 a | 2.35 ± 1.27 a |
| S7 | 3.00 ± 1.15 a | 3.95 ± 1.00 a | S15 | 2.50 ± 1.73 a | 2.80 ± 1.20 a |
| S8 | 2.50 ± 1.29 a | 2.40 ± 1.23 b | S16 | 3.00 ± 1.83 a | 3.60 ± 1.10 a |
| After | |||||
| General Issues | Specific Issues | ||||
| “Positive statements” | “Positive statements” | ||||
| Rural | Urban | Rural | Urban | ||
| S1 | 4.62 ± 0.52 a | 4.59 ± 0.71 a | S9 | 4.75 ± 0.46 a | 4.53 ± 0.62 a |
| S2 | 3.13 ± 0.83 a | 2.88 ± 0.49 a | S10 | 4.25 ± 1.39 a | 4.41 ± 1.00 a |
| S3 | 4.88 ± 0.35 a | 4.82 ± 0.53 a | S11 | 4.88 ± 0.35 a | 4.82 ± 0.53 a |
| S4 | 4.80 ± 0.42 a | 4.87 ± 0.52 a | S12 | 4.75 ± 0.71 a | 4.35 ± 1.22 a |
| “Negative statements” | “Negative statements” | ||||
| Rural | Urban | Rural | Urban | ||
| S5 | 2.13 ± 0.83 a | 2.29 ± 0.85 a | S13 | 2.38 ± 1.19 a | 2.24 ± 0.75 a |
| S6 | 1.25 ± 0.46 a | 1.59 ± 0.71 a | S14 | 1.13 ± 0.35 a | 1.24 ± 0.56 a |
| S7 | 2.88 ± 0.64 a | 3.47 ± 1.12 a | S15 | 1.38 ± 1.06 a | 1.65 ± 1.37 a |
| S8 | 1.75 ± 1.04 a | 2.18 ± 0.81 a | S16 | 2.88 ± 1.13 a | 2.88 ± 1.45 a |
Publisher’s Note: MDPI stays neutral with regard to jurisdictional claims in published maps and institutional affiliations. |
© 2022 by the authors. Licensee MDPI, Basel, Switzerland. This article is an open access article distributed under the terms and conditions of the Creative Commons Attribution (CC BY) license (https://creativecommons.org/licenses/by/4.0/).
Share and Cite
Laca, A.; Patiño, Y. An Approach to Environmental Knowledge of Undergraduates in Engineering (Spain): Effect of Environmental Subjects. Educ. Sci. 2022, 12, 501. https://doi.org/10.3390/educsci12080501
Laca A, Patiño Y. An Approach to Environmental Knowledge of Undergraduates in Engineering (Spain): Effect of Environmental Subjects. Education Sciences. 2022; 12(8):501. https://doi.org/10.3390/educsci12080501
Chicago/Turabian StyleLaca, Amanda, and Yolanda Patiño. 2022. "An Approach to Environmental Knowledge of Undergraduates in Engineering (Spain): Effect of Environmental Subjects" Education Sciences 12, no. 8: 501. https://doi.org/10.3390/educsci12080501
APA StyleLaca, A., & Patiño, Y. (2022). An Approach to Environmental Knowledge of Undergraduates in Engineering (Spain): Effect of Environmental Subjects. Education Sciences, 12(8), 501. https://doi.org/10.3390/educsci12080501

