Motivational, Emotional, and Social Factors Explain Academic Achievement in Children Aged 6–12 Years: A Meta-Analysis
Abstract
1. Introduction
1.1. Academic Achievement
1.2. Motivational Factor Components
1.3. Emotional Factor Components
1.4. Social Factor Components
1.5. Motivational, Emotional, and Social Factors and Academic Achievement
1.6. Sociodemographic Factors as Regulators between Motivational, Emotional, and Social Factors and Academic Achievement
1.7. The Present Study
- (a)
- Analyse the predictive capacity of motivational variables on academic performance in students aged 6–12 years and moderating effect that gender, age, and geographical area.
- (b)
- Analyse the predictive capacity of emotional variables on academic performance in students aged 6–12 years and moderating effect that gender, age, and geographical area.
- (c)
- Analyse the predictive ability of social variables on academic performance in students aged 6–12 years and moderating effect that gender, age, and geographical area.
2. Materials and Methods
2.1. Search Procedure and Inclusion Criteria
2.2. Study Selection and Coding Procedure
2.3. Statistical Analyses
2.3.1. Effect Size Calculation
2.3.2. Heterogeneity, Variability and Publication Bias
2.3.3. Meta-Regression
3. Results
3.1. General Description of the Included Studies
3.2. Effect Size and Statistical Significance
3.3. Heterogeneity and Variability Analysis
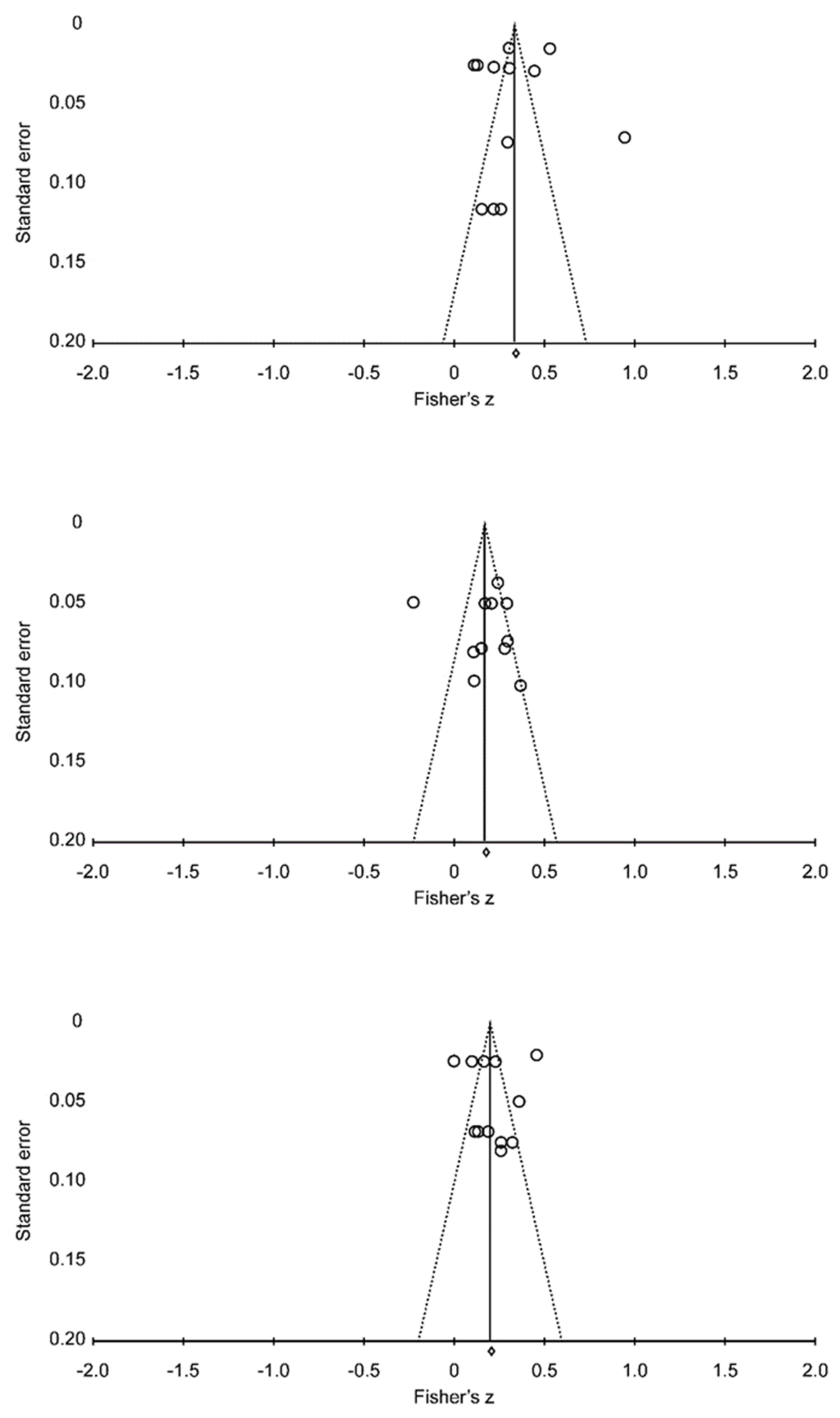
3.4. Publication Bias Analysis
3.5. Meta-Regression and Moderator Analyses
4. Discussion
4.1. Motivational Factors
4.2. Emotional Factors
4.3. Social Factors
4.4. Moderating Effect of Gender, Age, and Geographical Area
4.4.1. Gender
4.4.2. Age
4.4.3. Geographical Area
5. Conclusions
Author Contributions
Funding
Institutional Review Board Statement
Informed Consent Statement
Acknowledgments
Conflicts of Interest
References
- Najimi, A.; Sharifirad, G.; Amini, M.M.; Meftagh, S.D. Academic failure and students′ viewpoint: The influence of individual, internal and external organizational factors. J. Educ. Health Promot. 2013, 2, 22. [Google Scholar] [CrossRef]
- Ursin, J. Transforming finnish higher education: Institutional mergers and conflicting academic identities. Rev. Investig. Educ. 2017, 35, 307–316. [Google Scholar] [CrossRef]
- Tollefson, K.; Osborn, M.K. Cultivating the Learner-Centered Classroom: From Theory to Practice; SAGE Publications: New York, NY, USA, 2007. [Google Scholar]
- Delors, J. Los cuatro pilares de la educación. In La Educación Encierra un Tesoro. Informe a la UNESCO de la Comisión Internacional Sobre la Educación para el Siglo XXI; Santillana/UNESCO: Madrid, Spain, 1996; Available online: https://uom.uib.cat/digitalAssets/221/221918_9.pdf (accessed on 5 January 2019).
- Pascual, A.C.; Muñoz, N.M.; Robres, A.Q. The Relationship between Executive Functions and Academic Performance in Primary Education: Review and Meta-Analysis. Front. Psychol. 2019, 10, 1582. [Google Scholar] [CrossRef]
- McArthur, G.; Castles, A.; Kohnen, S.; Banales, E. Low self-concept in poor readers: Prevalence, heterogeneity, and risk. Peer J. 2016, 4, e2669. [Google Scholar] [CrossRef]
- Sosic-Vasic, Z.; Keis, O.; Lau, M.; Spitzer, M.; Streb, J. The impact of motivation and teacher’s autonomy support on children’s executive functions. Front. Psychol. 2015, 6. [Google Scholar] [CrossRef]
- Von Maurice, J.; Dörfler, T.; Artelt, C. The relation between interests and grades: Path analyses in primary school age. Int. J. Educ. Res. 2014, 64, 1–11. [Google Scholar] [CrossRef]
- Navarro, R.E. El rendimiento académico: Concepto, investigación y desarrollo. REICE Rev. Electrón. Iberoam. Calid. Efic. Cambio Educ. 2003, 1, 1–16. Available online: https://www.redalyc.org/pdf/551/55110208.pdf (accessed on 16 January 2019).
- Chong, W.H. The Role of Personal Agency Beliefs in Academic Self-Regulation: An Asian Perspective. Sch. Psychol. Int. 2007, 28, 63–76. [Google Scholar] [CrossRef]
- Enciso, S.S.; Elías, R.; Zarza, D. Factores asociados al rendimiento académico de estudiantes de Paraguay: Un análisis de los resultados del TERCE. REICE Rev. Electrón. Iberoam. Calid. Efic. Cambio Educ. 2016, 14. [Google Scholar] [CrossRef]
- Schommer-Aikins, M.; Easter, M. Ways of Knowing and Epistemological Beliefs: Combined effect on academic performance. Educ. Psychol. 2006, 26, 411–423. [Google Scholar] [CrossRef]
- Quirk, M.; Schwanenflugel, P.J.; Webb, M.-Y. A Short-Term Longitudinal Study of the Relationship between Motivation to Read and Reading Fluency Skill in Second Grade. J. Lit. Res. 2009, 41, 196–227. [Google Scholar] [CrossRef]
- Rahmani, P. The relationship between self-esteem, achievement goals and academic achievement among the primary school students. Proc. Soc. Behav. Sci. 2011, 29, 803–808. [Google Scholar] [CrossRef]
- Walgermo, B.R.; Foldnes, N.; Uppstad, P.H.; Solheim, O.J. Developmental dynamics of early reading skill, literacy interest and readers’ self-concept within the first year of formal schooling. Read. Writ. 2018, 31, 1379–1399. [Google Scholar] [CrossRef]
- Ainley, M.; Ainley, J. Student engagement with science in early adolescence: The contribution of enjoyment to students’ continuing interest in learning about science. Contemp. Educ. Psychol. 2011, 36, 4–12. [Google Scholar] [CrossRef]
- Cook, D.A.; Artino, A. Motivation to learn: An overview of contemporary theories. Med. Educ. 2016, 50, 997–1014. [Google Scholar] [CrossRef] [PubMed]
- Kusurkar, R.A.; Cate, O.T.; Vos, C.; Westers, P.; Croiset, G. How motivation affects academic performance: A structural equation modelling analysis. Adv. Health Sci. Educ. 2012, 18, 57–69. [Google Scholar] [CrossRef] [PubMed]
- Ryan, R.M.; Deci, E.L. Self-determination theory and the facilitation of intrinsic motivation, social development, and well-being. Am. Psychol. 2000, 55, 68–78. [Google Scholar] [CrossRef]
- Weiner, B. The Development of an Attribution-Based Theory of Motivation: A History of Ideas. Educ. Psychol. 2010, 45, 28–36. [Google Scholar] [CrossRef]
- Van Soom, C.; Donche, V. Profiling first-year students in STEM programs based on autonomous motivation and academic self-concept and relationship with academic achievement. PLoS ONE 2014, 9, e112489. [Google Scholar] [CrossRef]
- Celada, F.J. ¿El suicidio es consecuencia de un bajo autoconcepto y de una autoestima disminuida? Researchgate 2013, 10, 1–23. [Google Scholar] [CrossRef]
- Marsh, H.W.; Seaton, M. Academic self-concept. In International Guide to Student Achievement; Hatie, J., Anderman, E.M., Eds.; Routledge: New York, NY, USA, 2013; pp. 62–63. [Google Scholar]
- Bermúdez, J.; Pérez, A.M.; Ruiz, J.A.; Sanjuán, P.; Rueda, B. Psicología de la Personalidad; UNED: Madrid, Spain, 2011. [Google Scholar]
- Kernis, M.H. Self-Esteem Issues and Answers: A Sourcebook of Current Perspectives; Psychology Press: New York, NY, USA, 2013. [Google Scholar]
- Kiviruusu, O.; Konttinen, H.; Huurre, T.; Aro, H.; Marttunen, M.; Haukkala, A. Self-Esteem and Body Mass Index from Adolescence to Mid-Adulthood. A 26-Year Follow-Up. Int. J. Behav. Med. 2015, 23, 355–363. [Google Scholar] [CrossRef] [PubMed]
- Billings, C.E.; Downey, L.A.; Lomas, J.E.; Lloyd, J.; Stough, C. Emotional Intelligence and scholastic achievement in pre-adolescent children. Pers. Individ. Differ. 2014, 65, 14–18. [Google Scholar] [CrossRef]
- Franco, M.D.G.; Beja, M.J.; Candeias, A.; Santos, N. Emotion Understanding, Social Competence and School Achievement in Children from Primary School in Portugal. Front. Psychol. 2017, 8. [Google Scholar] [CrossRef] [PubMed]
- Lv, B.; Zhou, H.; Guo, X.; Liu, C.; Liu, Z.; Luo, L. The Relationship between Academic Achievement and the Emotional Well-Being of Elementary School Children in China: The Moderating Role of Parent-School Communication. Front. Psychol. 2016, 7. [Google Scholar] [CrossRef] [PubMed]
- Gardner, H. Inteligencias Múltiples. La Teoría en la Práctica; Paidós: Barcelona, Spain, 1995. [Google Scholar]
- Alonso, M.S.L. Análisis del orden en el que el autoconcepto, la autoestima y la autoimagen deberían aparecer en el proceso de maduración personal para alcanzar el bienestar emocional. Rev. INFAD Psicol. 2018, 1, 257–264. [Google Scholar] [CrossRef][Green Version]
- Franco, M.D.G.S.D.C.; Santos, N.N. Desenvolvimento da Compreensão Emocional. Psicol. Teor. Pesqui. 2015, 31, 339–348. [Google Scholar] [CrossRef][Green Version]
- Garner, P.W. Emotional Competence and its Influences on Teaching and Learning. Educ. Psychol. Rev. 2010, 22, 297–321. [Google Scholar] [CrossRef]
- Ferragut, M.; Fierro, A. Inteligencia emocional, bienestar personal y rendimiento académico en preadolescentes. Rev. Latinoam. Psicol. 2012, 44, 95–104. Available online: http://www.scielo.org.co/scielo.php?script=sci_arttext&pid=S0120-05342012000300008 (accessed on 8 January 2019).
- Gustavsen, A.M. Longitudinal relationship between social skills and academic achievement in a gender perspective. Cogent Educ. 2017, 4. [Google Scholar] [CrossRef]
- Jovarini, N.V.; Leme, V.B.R.; Correia-Zanini, M.R.G. Influence of Social Skills and Stressors on Academic Achievement in the Sixth-Grade. Paidéia 2018, 28. [Google Scholar] [CrossRef]
- Selimović, Z.; Selimović, H.; Opić, S. Development of social skills among elementary school children. Int. J. Cogn. Res. Sci. Eng. Educ. 2018, 6, 17–30. [Google Scholar] [CrossRef]
- Goleman, D. Inteligencia Social: La Nueva Ciencia de las Relaciones Humanas; Editorial Kairós: Barcelona, Spain, 2010. [Google Scholar]
- Zhang, F.; You, Z.; Fan, C.; Gao, C.; Cohen, R.; Hsueh, Y.; Zhou, Z. Friendship quality, social preference, proximity prestige, and self-perceived social competence: Interactive influences on children’s loneliness. J. Sch. Psychol. 2014, 52, 511–526. [Google Scholar] [CrossRef]
- Carroll, J.J.; Steward, M.S. The Role of Cognitive Development in Children’s Understandings of Their Own Feelings. Child Dev. 1984, 55, 1486. [Google Scholar] [CrossRef]
- Chou, W.-J.; Huang, M.-F.; Chang, Y.-P.; Chen, Y.-M.; Hu, H.-F.; Yen, C.-F. Social skills deficits and their association with Internet addiction and activities in adolescents with attention-deficit/hyperactivity disorder. J. Behav. Addict. 2017, 6, 42–50. [Google Scholar] [CrossRef]
- Mendo-Lázaro, S.; del Barco, B.L.; Felipe-Castaño, E.; Polo-Del-Río, M.-I.; Gallego, D.I. Cooperative Team Learning and the Development of Social Skills in Higher Education: The Variables Involved. Front. Psychol. 2018, 9, 1536. [Google Scholar] [CrossRef] [PubMed]
- Cordier, R.; Bundy, A.; Hocking, C.; Einfeld, S. Empathy in the Play of Children with Attention Deficit Hyperactivity Disorder. OTJR Occup. Particip. Health 2010, 30, 122–132. [Google Scholar] [CrossRef]
- Garon-Carrier, G.; Boivin, M.; Guay, F.; Kovas, Y.; Dionne, G.; Lemelin, J.-P.; Séguin, J.R.; Vitaro, F.; Tremblay, R.E. Intrinsic Motivation and Achievement in Mathematics in Elementary School: A Longitudinal Investigation of Their Association. Child Dev. 2015, 87, 165–175. [Google Scholar] [CrossRef] [PubMed]
- Guay, F.; Chanal, J.; Ratelle, C.F.; Marsh, H.; LaRose, S.; Boivin, M. Intrinsic, identified, and controlled types of motivation for school subjects in young elementary school children. Br. J. Educ. Psychol. 2010, 80, 711–735. [Google Scholar] [CrossRef] [PubMed]
- Guay, F.; Marsh, H.W.; Boivin, M. Academic self-concept and academic achievement: Developmental perspectives on their causal ordering. J. Educ. Psychol. 2003, 95, 124–136. [Google Scholar] [CrossRef]
- Marsh, H.W.; Craven, R. Reciprocal Effects of Self-Concept and Performance from a Multidimensional Perspective: Beyond Seductive Pleasure and Unidimensional Perspectives. Perspect. Psychol. Sci. 2006, 1, 133–163. [Google Scholar] [CrossRef]
- Marsh, H.W.; Martin, A. Academic self-concept and academic achievement: Relations and causal ordering. Br. J. Educ. Psychol. 2011, 81, 59–77. [Google Scholar] [CrossRef]
- Möller, J.; Retelsdorf, J.; Köller, O.; Marsh, H. The Reciprocal Internal/External Frame of Reference Model: An integration of models of relations between academic achievement and self-concept. Am. Educ. Res. J. 2011, 48, 1315–1346. [Google Scholar] [CrossRef]
- Valentine, J.; DuBois, D.; Cooper, H. The Relation between Self-Beliefs and Academic Achievement: A Meta-Analytic Review. Educ. Psychol. 2004, 39, 111–133. [Google Scholar] [CrossRef]
- Birkeland, M.S.; Melkevik, O.; Holsen, I.; Wold, B. Trajectories of global self-esteem development during adolescence. J. Adolesc. 2012, 35, 43–54. [Google Scholar] [CrossRef] [PubMed]
- Greene, M.L.; Way, N. Self-Esteem Trajectories among Ethnic Minority Adolescents: A Growth Curve Analysis of the Patterns and Predictors of Change. J. Res. Adolesc. 2005, 15, 151–178. [Google Scholar] [CrossRef]
- Rhoades, B.L.; Warren, H.K.; Domitrovich, C.E.; Greenberg, M.T. Examining the link between preschool social–emotional competence and first grade academic achievement: The role of attention skills. Early Child. Res. Q. 2011, 26, 182–191. [Google Scholar] [CrossRef]
- Stiglbauer, B.; Gnambs, T.; Gamsjäger, M.; Batinic, B. The upward spiral of adolescents’ positive school experiences and happiness: Investigating reciprocal effects over time. J. Sch. Psychol. 2013, 51, 231–242. [Google Scholar] [CrossRef]
- Caemmerer, J.M.; Keith, T.Z. Longitudinal, reciprocal effects of social skills and achievement from kindergarten to eighth grade. J. Sch. Psychol. 2015, 53, 265–281. [Google Scholar] [CrossRef]
- Rocha, A.A. Compreensão e Regulação das Emoções: Suas Relações com a Eficácia na Interação Social em Crianças. Ph.D. Thesis, University of Coimbra, Coimbra, Portugal, 2016. Available online: https://repositorio.ul.pt/handle/10451/23031 (accessed on 8 January 2019).
- Trentacosta, C.J.; Izard, C.E.; Mostow, A.J.; Fine, S.E. Children’s emotional competence and attentional competence in early elementary school. Sch. Psychol. Q. 2006, 21, 148–170. [Google Scholar] [CrossRef]
- McKown, C.; Russo-Ponsaran, N.M.; Allen, A.; Johnson, J.K.; Warren-Khot, H.K. Social-Emotional Factors and Academic Outcomes Among Elementary-Aged Children. Infant Child Dev. 2015, 25, 119–136. [Google Scholar] [CrossRef]
- Magelinskaitė, Š.; Kepalaitė, A.; Legkauskas, V. Relationship between Social Competence, Learning Motivation, and School Anxiety in Primary School. Proc. Soc. Behav. Sci. 2014, 116, 2936–2940. [Google Scholar] [CrossRef]
- Pulido-Acosta, F.; Herrera-Clavero, F. Prediciendo el Rendimiento Académico Infantil a través de la Inteligencia Emocional. Educ. Psychol. 2018, 25, 23–30. [Google Scholar] [CrossRef]
- Hermann, K.S.; Betz, N.E. Path Models of the Relationships of Instrumentality and Expressiveness to Social Self-Efficacy, Shyness, and Depressive Symptoms. Sex Roles 2004, 51, 55–66. [Google Scholar] [CrossRef]
- Wiggins, J.S.; Espada, A.Á. Escalas de Adjetivos Interpersonales (IAS): Manual; TEA: Madrid, Spain, 1996. [Google Scholar]
- Martínez-Benlloch, I.; Bonilla-Campos, A. Sistema Sexo/Género, Identidades y Construcción de la Subjetividad; Universitat de València: Valencia, Spain, 2000. [Google Scholar]
- Chan, D.; Ramey, S.; Ramey, C.; Schmitt, N. Modeling Intraindividual Changes in Children’s Social Skills at Home and at School: A Multivariate Latent Growth Approach to Understanding Between-Settings Differences in Children’s Social Skill Development. Multivar. Behav. Res. 2000, 35, 365–396. [Google Scholar] [CrossRef]
- Kokko, K.; Tremblay, R.E.; La Course, E.; Nagin, D.S.; Vitaro, F. Trajectories of Prosocial Behavior and Physical Aggression in Middle Childhood: Links to Adolescent School Dropout and Physical Violence. J. Res. Adolesc. 2006, 16, 403–428. [Google Scholar] [CrossRef]
- Möller, J.; Pohlmann, B.; Köller, O.; Marsh, H. A Meta-Analytic Path Analysis of the Internal/External Frame of Reference Model of Academic Achievement and Academic Self-Concept. Rev. Educ. Res. 2009, 79, 1129–1167. [Google Scholar] [CrossRef]
- Niepel, C.; Brunner, M.; Preckel, F. The longitudinal interplay of students’ academic self-concepts and achievements within and across domains: Replicating and extending the reciprocal internal/external frame of reference model. J. Educ. Psychol. 2014, 106, 1170–1191. [Google Scholar] [CrossRef]
- Parker, P.D.; Marsh, H.W.; Morin, A.J.S.; Seaton, M.; Van Zanden, B. If one goes up the other must come down: Examining ipsative relationships between math and English self-concept trajectories across high school. Br. J. Educ. Psychol. 2014, 85, 172–191. [Google Scholar] [CrossRef]
- Velasco, H. Lecturas de Antropología Social y Cultural: La Cultura y las Culturas; UNED: Madrid, Spain, 2003. [Google Scholar]
- Hofstede, G. Dimensionalizing Cultures: The Hofstede Model in Context. Online Read. Psychol. Cult. 2011, 2, 8. [Google Scholar] [CrossRef]
- Stricker, J.; Buecker, S.; Schneider, M.; Preckel, F. Intellectual Giftedness and Multidimensional Perfectionism: A Meta-Analytic Review. Educ. Psychol. Rev. 2019, 32, 391–414. [Google Scholar] [CrossRef]
- Ayala, E.S.; Jiménez, A.J.G. Las competencias emocionales en el ámbito afectivo-sexual de los adolescentes autóctonos e inmigrantes. Rev. Investig. Educ. 2012, 31, 133. [Google Scholar] [CrossRef][Green Version]
- Botella, J.; Sánchez-Meca, J. Meta-Análisis en Ciencias Sociales y de la Salud; Síntesis: Madrid, Spain, 2015. [Google Scholar]
- Higgins, J.P.; Green, S. Cochrane Handbook for Systematic Reviews of Interventions; The Cochrane Collaboration: Chichester, UK, 2008. [Google Scholar]
- Landis, J.R.; Koch, G.G. The Measurement of Observer Agreement for Categorical Data. Biometrics 1977, 33, 159. [Google Scholar] [CrossRef]
- Cohen, J. Statistical Power Analysis for the Behavioral Sciences; Routledge: New York, NY, USA, 2013. [Google Scholar] [CrossRef]
- Higgins, J.P.T.; Thompson, S.G.; Deeks, J.; Altman, D.G. Measuring inconsistency in meta-analyses. BMJ 2003, 327, 557–560. [Google Scholar] [CrossRef] [PubMed]
- Borenstein, M.; Higgins, J.; Hedges, L.; Rothstein, H.R. Basics of meta-analysis: I2is not an absolute measure of heterogeneity. Res. Synth. Methods 2017, 8, 5–18. [Google Scholar] [CrossRef]
- Grygiel, P.; Modzelewski, M.; Pisarek, J. Academic self-concept and achievement in Polish primary schools: Cross-lagged modelling and gender-specific effects. Eur. J. Psychol. Educ. 2016, 32, 407–429. [Google Scholar] [CrossRef][Green Version]
- Regueiro, B.; Suárez, N.; Valle, A.; Núñez, J.C.; Rosário, P. Homework Motivation and Engagement throughout Compulsory Education//La motivación e implicación en los deberes escolares a lo largo de la escolaridad obligatoria [Motivation and involvement in homework during compulsory education]. Rev. Psicodidáct. 2014, 20, 47–63. [Google Scholar] [CrossRef]
- Zirak, M.; Ahmadian, E. The Relationship between Emotional Intelligence and Creative Thinking with Academic Achievement of Primary School Students of Fifth Grade. Mediterr. J. Soc. Sci. 2015, 6. [Google Scholar] [CrossRef][Green Version]
- Pérez, S.P.; Rodríguez, M.D. Consideraciones prácticas acerca de la detección del sesgo de publicación. Gac. Sanit. 2006, 20, 10–16. [Google Scholar] [CrossRef] [PubMed]
- Egger, M.; Smith, G.D.; Schneider, M.; Minder, C. Bias in meta-analysis detected by a simple, graphical test. BMJ 1997, 315, 629–634. [Google Scholar] [CrossRef]
- Pulido-Acosta, F.; Herrera-Clavero, F. La inteligencia emocional como predictora del rendimiento académico en la infancia: El contexto pluricultural de Ceuta. Rev. Complut. Educ. 2017, 28, 1251–1265. [Google Scholar] [CrossRef]
- Brouzos, A.; Misailidi, P.; Hadjimattheou, A. Associations between Emotional Intelligence, Socio-Emotional Adjustment, and Academic Achievement in Childhood. Can. J. Sch. Psychol. 2014, 29, 83–99. [Google Scholar] [CrossRef]
- Rastegar, A.; Jahromi, R.G.; Haghighi, A.S.; Akbari, A.R. The relation of epistemological beliefs and mathematics achievement: The mediating role of achievement goals, mathematics self-efficacy, and cognitive engagement. Proc. Soc. Behav. Sci. 2010, 5, 791–797. [Google Scholar] [CrossRef][Green Version]
- Weber, M.; Ruch, W. The Role of a Good Character in 12-Year-Old School Children: Do Character Strengths Matter in the Classroom? Child Indic. Res. 2011, 5, 317–334. [Google Scholar] [CrossRef]
- Hong, E.; Peng, Y.; Rowell, L.L. Homework self-regulation: Grade, gender, and achievement-level differences. Learn. Individ. Differ. 2009, 19, 269–276. [Google Scholar] [CrossRef]
- Lockett, C.T.; Harrell, J.P. Racial Identity, Self-Esteem, and Academic Achievement: Too Much Interpretation, Too Little Supporting Data. J. Black Psychol. 2003, 29, 325–336. [Google Scholar] [CrossRef]
- Ewagner, L.; Ruch, W. Good character at school: Positive classroom behavior mediates the link between character strengths and school achievement. Front. Psychol. 2015, 6, 610. [Google Scholar] [CrossRef]
- Downey, L.A.; Lomas, J.; Billings, C.; Hansen, K.; Stough, C. Scholastic Success: Fluid intelligence, personality, and emotional intelligence. Can. J. Sch. Psychol. 2013, 29, 40–53. [Google Scholar] [CrossRef]
- Konold, T.R.; Jamison, K.R.; Stanton-Chapman, T.L.; Rimm-Kaufman, S.E. Relationships among Informant Based Measures of Social Skills and Student Achievement: A Longitudinal Examination of Differential Effects by Sex. Appl. Dev. Sci. 2010, 14, 18–34. [Google Scholar] [CrossRef]
- Fu, R.; Chen, X.; Wang, L.; Yang, F. Developmental trajectories of academic achievement in Chinese children: Contributions of early social-behavioral functioning. J. Educ. Psychol. 2016, 108, 1001–1012. [Google Scholar] [CrossRef]
- Montroy, J.J.; Bowles, R.P.; Skibbe, L.E.; Foster, T.D. Social skills and problem behaviors as mediators of the relationship between behavioral self-regulation and academic achievement. Early Child. Res. Q. 2014, 29, 298–309. [Google Scholar] [CrossRef]
- Brown, C.S.; Leaper, C. Latina and European American Girls’ Experiences with Academic Sexism and their Self-Concepts in Mathematics and Science during Adolescence. Sex Roles 2010, 63, 860–870. [Google Scholar] [CrossRef]
- Leaper, C. Research in developmental psychology on gender and relationships: Reflections on the past and looking into the future. Br. J. Dev. Psychol. 2011, 29, 347–356. [Google Scholar] [CrossRef]
- Oransky, M.; Fisher, C. The development and validation of the meanings of adolescent masculinity scale. Psychol. Men Masc. 2009, 10, 57–72. [Google Scholar] [CrossRef]
- Austin, E.J. Measurement of ability emotional intelligence: Results for two new tests. Br. J. Psychol. 2010, 101, 563–578. [Google Scholar] [CrossRef] [PubMed]
- Mayer, J.D.; Roberts, R.D.; Barsade, S.G. Human Abilities: Emotional Intelligence. Annu. Rev. Psychol. 2008, 59, 507–536. [Google Scholar] [CrossRef]
- Marsh, H.W.; Trautwein, U.; Lüdtke, O.; Köller, O.; Baumert, J. Academic Self-Concept, Interest, Grades, and Standardized Test Scores: Reciprocal Effects Models of Causal Ordering. Child Dev. 2005, 76, 397–416. [Google Scholar] [CrossRef] [PubMed]
- Schiefele, U.; Stutz, F.; Schaffner, E. Longitudinal relations between reading motivation and reading comprehension in the early elementary grades. Learn. Individ. Differ. 2016, 51, 49–58. [Google Scholar] [CrossRef]
- Conradi, K.; Jang, B.G.; McKenna, M.C. Motivation Terminology in Reading Research: A Conceptual Review. Educ. Psychol. Rev. 2013, 26, 127–164. [Google Scholar] [CrossRef]
- Ferrando, M.; Prieto, M.D.; Almeida, L.S.; Ferrándiz, C.; Bermejo, R.; López-Pina, J.A.; Hernández, D.; Sáinz, M.; Fernández, M.-C. Trait Emotional Intelligence and Academic Performance: Controlling for the Effects of IQ, Personality, and Self-Concept. J. Psychoeduc. Assess. 2010, 29, 150–159. [Google Scholar] [CrossRef]
- Hansenne, M.; Legrand, J. Creativity, emotional intelligence, and school performance in children. Int. J. Educ. Res. 2012, 53, 264–268. [Google Scholar] [CrossRef]
- Cecconello, A.M.; Koller, S.H. Competência social e empatia: Um estudo sobre resiliência com crianças em situação de pobreza. Estud. Psicol. 2000, 5, 71–93. [Google Scholar] [CrossRef]
- OECD. Quality Matters in Early Childhood Education and Care: Norway 2012; OECD Publishing: Paris, France, 2003. [Google Scholar]
- Carmona, M.G.; López, J.E. Autoconcepto, dificultades interpersonales, habilidades sociales y conductas asertivas en adolescentes. Rev. Esp. Orientac. Psicopedag. 2015, 26, 42–58. Available online: https://www.redalyc.org/pdf/3382/338241632004.pdf (accessed on 13 January 2019).





| Study | Country | Population | Male | Female | Age (Years) | Performance | Factor Studied | Distribution of Participants |
|---|---|---|---|---|---|---|---|---|
| Billings et al. (2014) | Australia | n = 407 | 200 | 207 | 9–13 | Literacy and arithmetic | Emotional factor | Four schools in the city of Melbourne (Australia) |
| Brouzos, Misailidi, and Hadjimattheou (2014) | Cyprus | n = 106 n = 99 | 55; 48 | 51; 51 | 8–10; 11–13 | Language and mathematics | Emotional factor | Twelve schools, mid-sized urban area of Cyprus |
| Ferragut and Fierro (2012) | Spain | n = 166 | 77 | 89 | 9–12 | All subjects | Emotional factor | One school in the city of Malaga (Spain) |
| Franco et al. (2017) | Portugal | n = 406 | 210 | 196 | 6–11 | Language and mathematics | Emotional factors; social factors | Four schools in Madeira (Portugal) |
| Garon-Carrier et al. (2016) | Canada | n = 1466 | 699 | 767 | 7–10 | Math | Motivational factors | Born 1997–1998 in the province of Quebec (Canada) |
| Grygiel et al. (2017) | Poland | n = 4226 | 1889 | 2337 | 8–11 | Language and mathematics | Motivational factors | The whole country (Poland) |
| Gustavsen (2017) | Norway | n = 2266 | 1128 | 1138 | 6–14 | Language, mathematics, and English | Social factors | Twenty-seven schools in 14 Norwegian municipalities |
| Jovarini et al. (2018) | Brazil | n = 214 | 111 | 103 | 11–17 | All subjects | Social factors | Three schools in the state of Amazonas in Brazil |
| Lv et al. (2016) | China | n = 419 | 233 | 186 | 9–12 | Language, mathematics, and English | Emotional factors | One Liaocheng urban area school (China) |
| McArthur et al. (2016) | Australia | n = 77 | 32 | 45 | 9–12 | Reading, oral language and attention | Motivational factors | The whole country (Australia) |
| Pulido-Acosta and Herrera-Clavero (2017) | Spain | n = 404 | 193 | 211 | 6–12 | All subjects | Emotional factors | Four schools in the city of Ceuta (Spain) |
| Pulido-Acosta and Herrera-Clavero (2018) | Spain | n = 764 | 403 | 361 | 7–12 | All subjects | Emotional factors | Seven schools in the city of Ceuta (Spain) |
| Quirk et al. (2009) | USA | n = 185 | 82 | 103 | 7–9 | Reading: fluency and efficiency | Motivational factors | Four rural area schools in the southeastern US |
| Rahmani (2011) | Iran | n = 200 | 100 | 100 | 7–11 | All subjects | Motivational factors | Tabriz city schools, the industrial zone of Iran |
| Regueiro et al. (2015) | Spain | n = 1257 | 573 | 684 | 9–16 | Language, mathematics, and English | Motivational factors | Eighteen schools in four provinces of northern Spain in urban and rural areas |
| Selimović et al. (2018) | Bosnia-Herzegovina | n = 846 n = 793 | 802 | 837 | 11–15 | All subjects | Social factors | Seventeen schools in Central Bosnia |
| Wagner and Ruch (2015) | Switzerland | n = 179 | 92 | 87 | 10–12 | All subjects | Social factors | Nine classrooms in three schools in the German-speaking area in Switzerland |
| Walgermo et al. (2018) | Norway | n = 1141 | 561 | 580 | 5–7 | Reading | Motivational factors | Sixty-two classes in 19 urban schools in Norway |
| Zirak and Ahmadian (2015) | Iran | n = 156 | 80 | 76 | 10–11 | All subjects | Emotional factor; Social factor | Torbat-e-Heydarieh city schools in northeastern Iran |
| Meta-Regression of Motivational Factors | |||||
| Model Name | TauSq | R2 | Q | df | p-Value |
| ‘Model 1 | 0.0308 | 0 | 407.02 | 11 | <0.001 |
| ‘Model 2 Male | 0.0308 | 0 | 407.02 | 11 | <0.001 |
| ‘Model 3 Female | 0.0308 | 0.01 | 407.02 | 11 | <0.001 |
| ‘Model 4 Age | 0.0308 | 0 | 407.02 | 11 | <0.001 |
| ‘Model 5 Geographical area | 0.0308 | 0.52 | 407.02 | 11 | <0.001 |
| Meta-Regression of Emotional Factors | |||||
| Model Name | TauSq | R2 | Q | df | p-Value |
| ‘Model 1 | 0.0208 | 0 | 83.07 | 11 | <0.001 |
| ‘Model 2 Male | 0.0246 | 0.0208 | 83.07 | 11 | <0.001 |
| ‘Model 3 Female | 0.0208 | 0 | 83.07 | 11 | <0.001 |
| ‘Model 4 age | 0.0208 | 0 | 83.07 | 11 | <0.001 |
| ‘Model 5 Geographical area | 0.0208 | 0.17 | 83.07 | 11 | <0.001 |
| Meta-Regression of Social Factors | |||||
| Model Name | TauSq | R2 | Q | df | p-Value |
| ‘Model 1 | 0.024 | 0 | 261.68 | 12 | <0.001 |
| ‘Model 2 Male | 0.024 | 0.01 | 261.68 | 12 | <0.001 |
| ‘Model 3 Female | 0.024 | 0 | 261.68 | 12 | <0.001 |
| ‘Model 4 Age | 0.024 | 0.65 | 261.68 | 12 | <0.001 |
| ‘Model 5 Geographical area | 0.024 | 0.76 | 261.68 | 12 | <0.001 |
| Covariate | Coefficient | Standard Error | 95% Lower | 95% Upper | Z-Value |
|---|---|---|---|---|---|
| M1. Simple | 0.3324 | 0.0538 | 0.227 | 0.4378 | 6.18 |
| M2. Male | 0 | 0.0001 | −0.0001 | 0.0002 | 0.17 |
| M3. Female | 0 | 0.0001 | −0.0001 | 0.0001 | 0.22 |
| M4. Age | −0.0028 | 0.0309 | −0.0634 | 0.0578 | −0.09 |
| M5. Geographical area-Asia | 0.7658 | 0.1551 | 0.4618 | 1.0697 | 4.94 |
| M5. Geographical area-Eastern Europe | 0.2348 | 0.108 | 0.0231 | 0.4466 | 2.17 |
| M5. Geographical area-Northern Europe | 0.263 | 0.1409 | −0.0132 | 0.5392 | 1.87 |
| M5. Geographical area-Southern Europe | 0.1248 | 0.1406 | −0.1508 | 0.4004 | 0.89 |
| M5. Geographical area-Oceanian | 0.0295 | 0.1165 | −0.1989 | 0.258 | 0.25 |
| Covariate | Coefficient | Standard Error | 95% Lower | 95% Upper | Z-Value |
|---|---|---|---|---|---|
| M1. Simple | 0.1736 | 0.0457 | 0.084 | 0.2632 | 3.8 |
| M2. Male | −0.0001 | 0.0005 | −0.0011 | 0.0009 | −0.25 |
| M3. Female | 0 | 0.0006 | −0.0011 | 0.0011 | 0 |
| M4. Age | 0.0012 | 0.0439 | −0.0849 | 0.0872 | 0.03 |
| M5. Geographical area-Southern Europe | 0.154 | 0.0913 | −0.0249 | 0.3329 | 1.69 |
| M5. Geographical area-Oceanian | 0.2293 | 0.1578 | −0.0799 | 0.5386 | 1.45 |
| Covariate | Coefficient | Standard Error | 95% Lower | 95% Upper | Z-Value |
|---|---|---|---|---|---|
| M1. Simple | 0.213 | 0.0453 | 0.1242 | 0.3019 | 4.7 |
| M2. Male | 0 | 0.0001 | −0.0002 | 0.0002 | −0.12 |
| M3. Female | 0 | 0.0001 | −0.0002 | 0.0002 | −0.17 |
| M4. Age | −0.0705 | 0.022 | −0.1137 | −0.0273 | −3.2 |
| M5. Geographical area-Southern Europe | 0.2142 | 0.1077 | 0.0031 | 0.4252 | 1.99 |
| M5. Geographical area-Northern Europe | 0.3123 | 0.0977 | 0.1207 | 0.5039 | 3.2 |
| M5. Geographical area-Eastern Europe | −0.0223 | 0.0687 | −0.1569 | 0.1123 | −0.32 |
| M5. Geographical area-Central Europe | 0.1476 | 0.0955 | −0.0397 | 0.3348 | 1.54 |
| M5. Geographical area-Asia | 0.1148 | 0.1251 | −0.1303 | 0.36 | 0.92 |
Publisher’s Note: MDPI stays neutral with regard to jurisdictional claims in published maps and institutional affiliations. |
© 2021 by the authors. Licensee MDPI, Basel, Switzerland. This article is an open access article distributed under the terms and conditions of the Creative Commons Attribution (CC BY) license (https://creativecommons.org/licenses/by/4.0/).
Share and Cite
Quílez-Robres, A.; Moyano, N.; Cortés-Pascual, A. Motivational, Emotional, and Social Factors Explain Academic Achievement in Children Aged 6–12 Years: A Meta-Analysis. Educ. Sci. 2021, 11, 513. https://doi.org/10.3390/educsci11090513
Quílez-Robres A, Moyano N, Cortés-Pascual A. Motivational, Emotional, and Social Factors Explain Academic Achievement in Children Aged 6–12 Years: A Meta-Analysis. Education Sciences. 2021; 11(9):513. https://doi.org/10.3390/educsci11090513
Chicago/Turabian StyleQuílez-Robres, Alberto, Nieves Moyano, and Alejandra Cortés-Pascual. 2021. "Motivational, Emotional, and Social Factors Explain Academic Achievement in Children Aged 6–12 Years: A Meta-Analysis" Education Sciences 11, no. 9: 513. https://doi.org/10.3390/educsci11090513
APA StyleQuílez-Robres, A., Moyano, N., & Cortés-Pascual, A. (2021). Motivational, Emotional, and Social Factors Explain Academic Achievement in Children Aged 6–12 Years: A Meta-Analysis. Education Sciences, 11(9), 513. https://doi.org/10.3390/educsci11090513

