Holiday Rentals in Cultural Tourism Destinations: A Comparison of Booking.com-Based Daily Rate Estimation for Seville and Porto
Abstract
:1. Introduction
2. Literature Review
2.1. Efficient Pricing
2.2. Rise of Sharing Economy and Normative Adaptations
2.3. Seville and Porto Vacation Rental Overview
3. Materials and Methods
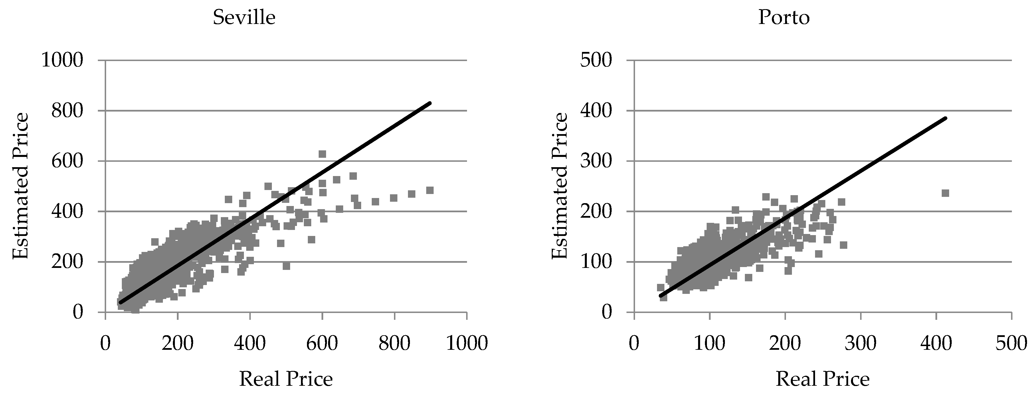
4. Results
5. Discussion
6. Conclusions and Implications
Author Contributions
Funding
Institutional Review Board Statement
Informed Consent Statement
Data Availability Statement
Conflicts of Interest
| 1 | Decreto (Decree) 28/2016 (Boletín Oficial de la Junta de Andalucía 2016). |
| 2 | Article 37 of Ley (Law) 13/2011 of 23 December. |
| 3 | Registro de Turismo de Andalucía, in Spanish. |
| 4 | Alojamento local in Portuguese. |
| 5 | Decreto-Lei n.º 128/2014 of 29 August (Diário da República 2014) was passed and then amended by Decreto-Lei n.º 63/2015 of 23 April (Diário da República 2015). |
| 6 | Decreto-Lei n.º 62/2018 (Diário da República 2018). |
| 7 | Portaria (Ordinance) No. 262/2020 of 6 November (Diário da República 2020). |
| 8 | When Decree 28/2016 (Boletín Oficial de la Junta de Andalucía 2016) came into force. |
| 9 | Registo Nacional de Turismo, in Portuguese. |
| 10 | Instituto Nacional de Estatística, in Portuguese. |
| 11 | Instituto Nacional de Estadística, in Spanish. |
| 12 | Centro de Datos Turísticos del Ayuntamiento de Sevilla, in Spanish. |
References
- Boletín Oficial de la Junta de Andalucía. 2011. Ley 13/2011, de 23 de Diciembre, del Turismo de Andalucía. Seville: Boletín Oficial de la Junta de Andalucía, pp. 3–22. [Google Scholar]
- Boletín Oficial de la Junta de Andalucía. 2016. Decreto 28/2016, de 2 de Febrero, de Las Viviendas con Fines Turísticos y de Modificación del Decreto 194/2010, de 20 de Abril, de Establecimientos de Apartamentos Turísticos. Seville: Boletín Oficial de la Junta de Andalucía, pp. 66–74. [Google Scholar]
- Booking.com. 2018. Sevilla, Apartamentos + Casas. Available online: https://www.booking.com/searchresults.es.html?label=gen173nr-1FCAEoggI46AdIM1gEaEaIAQGYAQq4ARjIAQzYAQHoAQH4AQuIAgGoAgQ&sid=15def371e8a93ef38e3a7eada5b14ac4&ac_click_type=b&ac_position=0&checkin_month=5&checkin_monthday=27&checkin_year=2019&checkout_month= (accessed on 24 September 2018).
- Booking.com. 2019. Porto, Apartamentos + Casas. Available online: https://www.booking.com/searchresults.es.html?label=gen173nr-1DCAEoggI46AdIM1gEaEaIAQGYAQq4ARfIAQ_YAQPoAQGIAgGoAgO4AsyfzYkGwAIB0gIkYjkxNmE4NTctOWI5YS00M2VjLTk1NGItM2ZhZjBkMzA5Mjcy2AIE4AIB&sid=4920a41d6d2e9317f8405699f5adc306&tmpl=searchresults&ac_click_type=b&ac_position=1&class_interval=1&dest_id=2173088&dest_type=city&dtdisc=0&from_sf=1&group_adults=2&group_children=0&iata=OPO&inac=0&index_postcard=0&label_click=undef&no_rooms=1&postcard=0&raw_dest_type=city&room1=A%2CA&sb_price_type=total&search_selected=1&shw_aparth=1&slp_r_match=0&src=index&srpvid=83054c6ee41500e5&ss=Porto%2C%20Norte%20Region%2C%20Portugal&ss_all=0&ss_raw=porto&ssb=empty&sshis=0&top_ufis=1&nflt=ht_id%3D201%3Bht_id%3D220%3B&percent_htype_apt=1&rsf= (accessed on 19 March 2019).
- Cardoso, Diogo Marino de Castro. 2018. What Reasons Lead Guests to Choose Airbnb and Booking.com to Book Peer to Peer Rentals? A Comparison between the Two Major Booking Platforms. Master’s dissertation, Faculty of Economics, University of Porto, Porto, Portugal. [Google Scholar]
- Castro, Conceição, and Fernanda A. Ferreira. 2018. Online hotel ratings and its influence on hotel room rates: The case of Lisbon, Portugal. Tourism & Management Studies 14: 63–72. [Google Scholar] [CrossRef]
- Centro de Datos Turísticos del Ayuntamiento de Sevilla. 2017. Informe Anual 2017. Sevilla: Centro de Datos Turísticos del Ayuntamiento de Sevilla. [Google Scholar]
- Chen, Ching-Fu, and R. Rothschild. 2010. An application of hedonic pricing analysis to the case of hotel rooms in Taipei. Tourism Economics 16: 685–94. [Google Scholar] [CrossRef] [Green Version]
- Cheng, Xusen, Shixuan Fu, and Gert-Jan de Vreede. 2018. A mixed method investigation of sharing economy driven car-hailing services: Online and offline perspectives. International Journal of Information Management 41: 57–64. [Google Scholar] [CrossRef]
- Cheng, Xusen, Shixuan Fu, Jianshan Sun, Anil Bilgihan, and Fevzi Okumus. 2019. An investigation on online reviews in sharing economy driven hospi-tality platforms: A viewpoint of trust. Tourism Management 71: 366–77. [Google Scholar] [CrossRef]
- Coenders, Germà, Josep-Maria Espinet, and Marc Sáez. 2003. Predicting random level and seasonality of hotel prices: A latent growth curve approach. Tourism Analysis 8: 15–31. [Google Scholar] [CrossRef] [Green Version]
- Davidson, Nestor M., and John Infranca. 2016. The Sharing Economy as an Urban Phenomenon. Legal Studies Research Paper Series Research Paper 16–10; Boston: Suffolk University, pp. 215–79. [Google Scholar]
- Diário da República. 2008. Decreto-Lei no. 39/2008, de 7 de Março. Available online: https://dre.pt/application/dir/pdf1sdip/2008/03/04800/0144001456.pdf (accessed on 24 July 2021).
- Diário da República. 2014. Decreto-Lei n.º 128/2014, de 29 de Agosto. Available online: https://dre.pt/application/file/56384665 (accessed on 24 July 2021).
- Diário da República. 2015. Decreto-Lei n.º 63/2015, de 23 de Abril. Available online: https://dre.pt/application/file/67063177 (accessed on 24 July 2021).
- Diário da República. 2018. Lei n.º 62/2018, de 22 de Agosto. Available online: https://data.dre.pt/application/conteudo/116152179 (accessed on 24 July 2021).
- Diário da República. 2020. Portaria No. 262/2020 de 6 de Novembro. Available online: https://dre.pt/application/conteudo/147814581 (accessed on 24 July 2021).
- Dickinger, Astrid, Lidija Lalicic, and Josef Mazanec. 2017. Exploring the generalizability of discriminant word items and latent topics in online tourist reviews. International Journal of Contemporary Hospitality Management 29: 803–16. [Google Scholar] [CrossRef]
- Fearne, Rafael. 2021. An analysis of the distribution and price determinants of Airbnb rentals in Malta. International Journal of Housing Markets and Analysis. [Google Scholar] [CrossRef]
- Fernández-Gámez, Manuel Ángel, Elias Bendodo-Benasayag, José Ramón Sánchez-Serrano, and Maria Helena Pestana. 2020. Hybrid preference assessment for tourism research using solicited and unsolicited opinions: An application in rural tourism. Tourism & Management Studies 16: 7–13. [Google Scholar] [CrossRef]
- Gant, Agustín Cócola. 2016. Holiday rentals: The new gentrification battlefront. Sociological Research Online 21: 112–10. [Google Scholar] [CrossRef]
- Gemar, Germán, Ismael P. Soler, and Laura Melendez. 2019. Analysis of intention to purchase travel on the Web. Tourism & Management Studies 15: 23–33. [Google Scholar] [CrossRef]
- Gibbs, Chris, Daniel Guttentag, Ulrike Gretzel, Lan Yao, and Jym Morton. 2018. Use of dynamic pricing strategies by Airbnb hosts. International Journal of Contemporary Hospitality Management 30: 2–20. [Google Scholar] [CrossRef]
- Google Maps. 2018. Sevilla. Available online: https://www.google.es/maps/place/Sevilla/@37.3846082,-.5.9944208,15z/data=!4m5!3m4!1s0xd126c1114be6291:0x34f018621cfe5648!8m2!3d37.3890924!4d-5.9844589?hl=es (accessed on 24 September 2018).
- Google Maps. 2019. Porto. Google Maps. Year2. Porto. Available online: https://www.google.es/maps/place/Pra%C3%A7a+da+Liberdade; https://wwwgooglees/maps/place/Pra%C3%A7a+da+Liberdade,+Porto,+Portugal/@411466 and https://www.google.es/maps/place/Pra%C3%A7a+da+Liberdade,+Porto,+Portugal/@41.146655,-8.6136942,17z/data=!3m1!4b1!4m5!3m4!1s0xd2464e376a8629f:0x7400d25802357d1a!8m2!3d41.146651!4d-8.6115055?hl=es (accessed on 19 March 2019).
- Gunter, Ulrich, and Irem Önder. 2018. Determinants of Airbnb demand in Vienna and their implications for the traditional accommodation industry. Tourism Economics 24: 270–93. [Google Scholar] [CrossRef]
- Guttentag, Daniel. 2015. Airbnb: Disruptive innovation and the rise of an informal tourism accommodation sector. Current issues in Tourism 18: 1192–217. [Google Scholar] [CrossRef]
- Gyódi, Kristóf. 2017. Airbnb and Booking.com: Sharing Economy Competing Against Traditional Firms? Working Paper. DELab UW (3). Available online: https://www.delab.uw.edu.pl/wp-content/uploads/2017/09/WP_3_2017_K.Gyodi_.pdf (accessed on 12 July 2021).
- Gyódi, Kristóf. 2019. Airbnb in European cities: Business as usual or true sharing economy? Journal of Cleaner Production 221: 536–51. [Google Scholar] [CrossRef]
- Gyódi, Kristóf, and Łukasz Nawaro. 2021. Determinants of Airbnb prices in European cities: A spatial econometrics approach. Tourism Management 86: 104319. [Google Scholar] [CrossRef]
- Hill, Dan. 2015. How much is your spare room worth? IEEE Spectrum 52: 32–58. [Google Scholar] [CrossRef]
- INE-ES (Instituto Nacional de Estadística). 2018. Available online: https://www.ine.es/ (accessed on 24 September 2018).
- INE-PT (Instituto Nacional de Estatística). 2019. Estatísticas de Preços da Habitação ao nível Local 3º Trimestre de 2018. Available online: https://www.ine.pt/ngt_server/attachfileu.jsp?look_parentBoui=356983540&att_display=n&att_download=y (accessed on 20 March 2019).
- Leoni, Veronica, and Jan Olof William Nilsson. 2021. Dynamic pricing and revenues of Airbnb listings: Estimating heterogeneous causal effects. International Journal of Hospitality Management 95: 102914. [Google Scholar] [CrossRef]
- Liang, Ji, and Chunhui Yuan. 2021. Data Price Determinants Based on a Hedonic Pricing Model. Big Data Research 25: 100249. [Google Scholar] [CrossRef]
- Lu, Luqi, and Saloomeh Tabari. 2019. Impact of Airbnb on customers’ behavior in the UK hotel industry. Tourism Analysis 24: 13–26. [Google Scholar] [CrossRef] [Green Version]
- Maitland, Robert. 2008. Conviviality and everyday life: The appeal of new areas of London for visitors. International Journal of Tourism Research 10: 15–25. [Google Scholar] [CrossRef]
- Mohamad, Mohamad Amiruddin, Mohd Hafiz Hanafiah, and Salleh Mohd Radzi. 2021. Understanding tourist mobile hotel booking behaviour: Incorporating perceived enjoyment and perceived price value in the modified Technology Acceptance Model. Tourism & Management Studies 17: 19–30. [Google Scholar] [CrossRef]
- Núñez-Tabales, Julia Margarita, Miguel Ángel Solano-Sánchez, and Lorena Caridad-y-López-del-Río. 2020. Ten Years of Airbnb Phenomenon Research: A Bibliometric Approach (2010–2019). Sustainability 12: 6205. [Google Scholar] [CrossRef]
- Pinto, Ivete, and Conceição Castro. 2019. Online travel agencies: Factors influencing tourists’ purchase decisions. Tourism & Management Studies 15: 7–20. [Google Scholar] [CrossRef]
- Reinhold, Stephan, and Sara Dolnicar. 2021. Sharing economy, collaborative consumption, peer-to-peer accommodation or trading of space? In Airbnb Before, During and After COVID-19. Edited by Sara Dolnicar. Queensland: University of Queensland. [Google Scholar] [CrossRef]
- Rigall i Torrent, Ricard, Modest Fluvià, Ramon Ballester, Albert Saló, Eduard Ariza, and Josep-Maria Espinet. 2011. The effects of beach characteristics and location with respect to hotel prices. Tourism Management 32: 1150–58. [Google Scholar] [CrossRef]
- RNT (Registo Nacional de Turismo). 2019. Alojamento Local 2019. Available online: https://registos.turismodeportugal.pt/HomePage.aspx (accessed on 27 July 2019).
- RTA. (Registro de Turismo de Andalucía). 2016. Oferta de Establecimientos de Alojamiento Turístico. Available online: http://www.juntadeandalucia.es/turismoydeporte/publicaciones/estadisticas/rta_2016_v2.pdf (accessed on 15 February 2020).
- RTA. (Registro de Turismo de Andalucía). 2017. Oferta de Establecimientos de Alojamiento Turístico. Available online: http://www.juntadeandalucia.es/turismoydeporte/publicaciones/estadisticas/rta_2017_v1.pdf (accessed on 15 February 2020).
- RTA (Registro de Turismo de Andalucía). 2018. AT, VFT y VTAR. Sevilla: Consejería de Turismo y Deporte. [Google Scholar]
- Santos, José António C., Manuel Á. Fernández-Gámez, Miguel Ángel Solano-Sánchez, Francisco José Rey-Carmona, and Lorena Caridad y López del Rio. 2021. Valuation Models for Holiday Rentals’ Daily Rates: Price Composition Based on Booking.com. Sustainability 13: 292. [Google Scholar] [CrossRef]
- Solano-Sánchez, Miguel Ángel, Julia Margarita Nuñez-Tabales, José María Caridad y Ocerin, José António C. Santos, and Margarida Custódio Santos. 2019. Dataset for holiday rentals’ daily rate pricing in a cultural tourism destination. Data in Brief 27: 1–5. [Google Scholar] [CrossRef] [PubMed]
- Soler-García, Ismael P., and German Gémar-Castillo. 2017. Impact of the April Fair on Seville hotel room prices: Measurement through a hedonic approach. Tourism & Management Studies 13: 7–12. [Google Scholar] [CrossRef]
- Soler-García, Ismael P., and German Gémar-Castillo. 2018. Hedonic price models with geographically weighted regression: An application to hospitality. Journal of Destination Marketing & Management 9: 126–37. [Google Scholar] [CrossRef]
- Soler-García, Ismael P., German Gémar-Castillo, and Vanesa F. Guzman-Parra. 2019. A comparison of destinations’ impacts on hotel rates. International Journal of Hospitality Management 77: 226–37. [Google Scholar] [CrossRef]
- Suzilo, Donny. 2020. Unpacking the influence of flight booking websites to e-loyalty: Empirical evidence from South East Asian Millennials. Tourism & Management Studies 16: 37–50. [Google Scholar] [CrossRef]
- Tinsa. 2018. Tinsa IMIE Mercados Locales. Informe 2° Trimestre de 2018. Available online: https://www.tinsa.es/download/307600/ (accessed on 24 September 2018).
- Toader, Valentin, Adina Letiţia Negrușa, Oana Ruxandra Bode, and Rozalia Veronica Rus. 2021. Analysis of price determinants in the case of Airbnb listings. Economic Research-Ekonomska Istraživanja, 1–17. [Google Scholar] [CrossRef]
- Tong, Baldwin, and Ulrich Gunter. 2020. Hedonic pricing and the sharing economy: How profile characteristics affect Airbnb accommodation prices in Barcelona, Madrid, and Seville. Current Issues in Tourism, 1–20. [Google Scholar] [CrossRef]
- Veiga, Célia, Margarida Custódio Santos, Paulo Águas, and José António C. Santos. 2017. Are millennials transforming global tourism? Challenges for destinations and companies. Worldwide Hospitality and Tourism Themes 9: 603–16. [Google Scholar] [CrossRef]
- Veiga, Célia, Margarida Custódio Santos, Paulo Águas, and José António C. Santos. 2018. Sustainability as a key driver to address changes. Worldwide Hospitality and Tourism Themes 10: 662–73. [Google Scholar] [CrossRef]
- Vives, Adric, and Marta Jacob. 2020. Dynamic pricing for online hotel demand: The case of resort hotels in Majorca. Journal of Vacation Marketing 26: 268–83. [Google Scholar] [CrossRef]
- Voltes-Dorta, Augusto, and Agustín Sánchez-Medina. 2020. Drivers of Airbnb prices according to property/room type, season and location: A regression approach. Journal of Hospitality and Tourism Management 45: 266–75. [Google Scholar] [CrossRef]
- Zekan, Bozana, Irem Önder, and Ulrich Gunter. 2019. Benchmarking of Airbnb listings: How competitive is the sharing economy sector of European cities? Tourism Economics 25: 1029–46. [Google Scholar] [CrossRef]



| Var. | Seville | Porto | Description | ||
|---|---|---|---|---|---|
| Mean or % | SD | Mean or % | SD | ||
| PRCE | 162.093 | 105.542 | 108.994 | 44.267 | Accommodation price per day |
| MIN | 14.71 | 8.531 | 14.3 | 11.872 | Minutes to walk from accommodations to Plaza del Triunfo (Seville)/Praça da Liberdade (Porto) |
| IDIS | 0.959 | 0.092 | 0.775 | 0.105 | District index according to price per square metre in each district |
| BEDS | 3.94 | 1.9 | 3.04 | 1.422 | Number of beds |
| M2 | 75.8 | 40.818 | 54.62 | 29.376 | Square metres |
| TV | 99% | – | 95% | – | Television (dummy variable) |
| WASH | 96% | – | 29% | – | Washing machine (dummy variable) |
| BAL | 44% | – | 46% | – | Balcony (dummy variable) |
| TER | 36% | – | 22% | – | Terrace (dummy variable) |
| CRT | 34% | – | 17% | – | Courtyard or patio (dummy variable) |
| VIEW | 53% | – | 69% | – | Panoramic views (dummy variable) |
| INS | 21% | – | 41% | – | Soundproofing (dummy variable) |
| PARK | 40% | – | 41% | – | Parking (dummy variable) |
| PETS | 11% | – | 9% | – | Pets allowed (dummy variable) |
| POOL | 3% | – | 1% | – | Swimming pool (dummy variable) |
| BATH | 34% | – | 14% | – | Bathtub (dummy variable) |
| CAL | 8.872 | 0.678 | 9.138 | 0.4597 | Previous users’ ratings (from 0 to 10) |
| PICS | 32.8 | 0.22 | 38.95 | 12.445 | Number of photos |
| VSAT | 8.403 | 0.826 | 8.733 | 0.599 | Visual appeal according to photos (from 0 to 10) |
| HWD | 35% | – | 35% | – | High season weekday (dummy variable) |
| HWE | 13% | – | 17% | – | High season weekend (dummy variable) |
| LWD | 29% | – | 30% | – | Low season weekday (dummy variable) |
| LWE | 10% | – | 14% | – | Low season weekend (dummy variable) |
| HW | 8% | – | NA | NA | Holy Week (dummy variable) for Seville only |
| FAIR | 5% | – | NA | NA | April Fair (dummy variable) for Seville only |
| SJ | NA | NA | 4% | – | São João (dummy variable) for Porto only |
| Type of Data | Seville (Municipality) | Porto (Municipality) |
|---|---|---|
| Population at time of data collection | 3467 HRs (October 2018) | 6400 HRs (March 2019) |
| Sample | 665 HRs | 369 HRs |
| Number of cases included in system | 1623 | 882 |
| District (Seville) | EUR/m2 | Index | Parish (Porto) | EUR/m2 | Index |
|---|---|---|---|---|---|
| Historic quarter | 2398 | 1 | UF: Aldoar, Foz do Douro, Nevogilde | 2250 | 1 |
| Los Remedios | 2196 | 0.916 | |||
| Nervión | 2137 | 0.891 | UF: Cedofeita, Sto. Idelfonso, Sé, Miragaia, S. Nicolau, Vitória | 1860 | 0.826 |
| Triana | 1932 | 0.806 | |||
| South | 1825 | 0.761 | UF: Lordelo do Ouro, Massarelos | 1810 | 0.804 |
| San Pablo–Santa Justa | 1629 | 0.679 | |||
| Bellavista–La Palmera | 1578 | 0.658 | Ramalde | 1429 | 0.635 |
| Macarena | 1301 | 0.543 | Bomfim | 1319 | 0.586 |
| East Alcosa–Torreblanca | 1226 | 0.511 | Paranhos | 1316 | 0.585 |
| Norte | 1041 | 0.434 | Campanhã | 986 | 0.438 |
| Cerro Amate | 974 | 0.406 | |||
| Var. | Description | Seville | Porto | ||
|---|---|---|---|---|---|
| From: | To: | From: | To: | ||
| HWD | High season weekdays | 27 May 2019 | 29 May 2019 | 05 August 2019 | 07 August 2019 |
| HWE | High season weekend | 31 May 2019 | 02 June 2019 | 09 August 2019 | 11 August 2019 |
| LWD | Low season weekdays | 14 January 2019 | 16 January 2019 | 11 November 2019 | 13 November 2019 |
| LWE | Low season weekend | 18 January 2019 | 20 January 2019 | 15 November 2019 | 17 November 2019 |
| HW | Holy Week | 18 April 2019 | 20 April 2019 | NA | |
| FAIR | April Fair | 10 May 2019 | 12 May 2019 | NA | |
| SJ | São João | NA | 23 June 2019 | 25 June 2019 | |
| Variable | Coefficient | Standard Error | Student’s t | Prob. | VIF |
|---|---|---|---|---|---|
| Seville | |||||
| Constant (C) | −65.087 | 15.211 | −4.279 | 0.000 | - |
| MIN | −1.475 | 0.159 | −9.255 | 0.000 | 1.104 |
| BEDS | 14.854 | 0.837 | 17.75 | 0.000 | 1.51 |
| M2 | 0.934 | 0.041 | 23.004 | 0.000 | 1.641 |
| POOL | 31.028 | 8.443 | 3.675 | 0.000 | 1.05 |
| VSAT | 12.868 | 1.767 | 7.283 | 0.000 | 1.27 |
| HWE | 17.56 | 4.191 | 4.19 | 0.000 | 1.207 |
| LWD | −30.783 | 3.287 | −9.364 | 0.000 | 1.32 |
| LWE | −24.09 | 4.604 | −5.232 | 0.000 | 1.171 |
| HW | 151.876 | 5.12 | 29.665 | 0.000 | 1.147 |
| FAIR | 130.666 | 6.274 | 20.825 | 0.000 | 1.091 |
| Porto | |||||
| Constant (C) | −89.584 | 15.542 | −5.764 | 0.000 | - |
| UF: Aldoar, Foz do Douro, Nevogilde | 57.633 | 12.427 | 4.638 | 0.000 | 1.509 |
| MIN | −0.303 | 0.109 | −2.779 | 0.006 | 1.631 |
| BEDS | 12.219 | 0.942 | 12.971 | 0.000 | 1.711 |
| M2 | 0.422 | 0.046 | 9.252 | 0.000 | 1.708 |
| CRT | −9.123 | 2.79 | −3.27 | 0.001 | 1.043 |
| PICS | 0.307 | 0.091 | 3.372 | 0.001 | 1.224 |
| VSAT | 16.458 | 1.861 | 8.846 | 0.000 | 1.186 |
| LWD | −29.699 | 2.365 | −12.557 | 0.000 | 1.131 |
| LWE | −30.649 | 3.131 | −9.79 | 0.000 | 1.112 |
| SJ | 30.62 | 5.327 | 5.748 | 0.000 | 1.074 |
| Variables | Seville | Porto |
|---|---|---|
| Coefficient of determination (R2) | 0.732 | 0.54 |
| Mean relative error | 22.97% | 21.09% |
| Theil inequality index | 0.139 | 0.129 |
Publisher’s Note: MDPI stays neutral with regard to jurisdictional claims in published maps and institutional affiliations. |
© 2021 by the authors. Licensee MDPI, Basel, Switzerland. This article is an open access article distributed under the terms and conditions of the Creative Commons Attribution (CC BY) license (https://creativecommons.org/licenses/by/4.0/).
Share and Cite
Solano-Sánchez, M.Á.; Santos, J.A.C.; Custódio Santos, M.; Fernández-Gámez, M.Á. Holiday Rentals in Cultural Tourism Destinations: A Comparison of Booking.com-Based Daily Rate Estimation for Seville and Porto. Economies 2021, 9, 157. https://doi.org/10.3390/economies9040157
Solano-Sánchez MÁ, Santos JAC, Custódio Santos M, Fernández-Gámez MÁ. Holiday Rentals in Cultural Tourism Destinations: A Comparison of Booking.com-Based Daily Rate Estimation for Seville and Porto. Economies. 2021; 9(4):157. https://doi.org/10.3390/economies9040157
Chicago/Turabian StyleSolano-Sánchez, Miguel Ángel, José António C. Santos, Margarida Custódio Santos, and Manuel Ángel Fernández-Gámez. 2021. "Holiday Rentals in Cultural Tourism Destinations: A Comparison of Booking.com-Based Daily Rate Estimation for Seville and Porto" Economies 9, no. 4: 157. https://doi.org/10.3390/economies9040157
APA StyleSolano-Sánchez, M. Á., Santos, J. A. C., Custódio Santos, M., & Fernández-Gámez, M. Á. (2021). Holiday Rentals in Cultural Tourism Destinations: A Comparison of Booking.com-Based Daily Rate Estimation for Seville and Porto. Economies, 9(4), 157. https://doi.org/10.3390/economies9040157

