Next Article in Journal
Start Switch for Innovation in “Construction Sequencing”: Research Funding
Previous Article in Journal
The Effect of Education on Economic Growth in Sub-Saharan African Countries: Do Institutions Matter?
 
 
Font Type:
Arial Georgia Verdana
Font Size:
Aa Aa Aa
Line Spacing:
Column Width:
Background:
Article

Informal Employment, the Tertiary Sector, and the Gross Domestic Product: A Structural Equations Model for the Mexican Economy

by
David Robles Ortiz
* and
Raymundo Alexei Ambriz Torres
Escuela Superior de Economía, Instituto Politécnico Nacional, Mexico City 11350, Mexico
*
Author to whom correspondence should be addressed.
Economies 2024, 12(11), 301; https://doi.org/10.3390/economies12110301
Submission received: 9 September 2024 / Revised: 28 October 2024 / Accepted: 29 October 2024 / Published: 5 November 2024

Abstract

In Mexico, approximately 55% of the working population is employed informally, contributing 24.4% to the Gross Domestic Product (GDP) in 2022. This study analyzed the impact of wages, taxes, government spending, and unemployment on the informal economy of Mexico from 1980 to 2022, as well as its relationship with the tertiary sector’s contribution to the GDP. The methodology of the study was structural equation modeling. The findings of this study revealed that an increase in taxes, the unemployment rate, and the minimum wage in Mexico tends to be accompanied by a rise in informal employment. Finally, a unitary change in the latent variable informality affected the growth of the tertiary sector’s contribution to the GDP by 0.37 units.

1. Introduction

Labor informality is a complex and difficult-to-measure phenomenon, associated with low productivity, street trade, unemployment, a lack of access to social security, and low tax collection. According to Espejo (2022), labor informality is a structural characteristic in the countries of Latin America and the Caribbean. The International Labor Organization (ILO) reported that in the first quarter of 2021, nearly 76% of self-employed workers and around one-third of wage earners were informally employed (Chacaltana et al. 2019). In Mexico, estimates for the fourth quarter of 2022 indicated that around 32.2 million people or about 55.1% of the working population were informally employed, contributing 24.4% to the Gross Domestic Product (GDP) at current values, according to The National Institute of Statistics, Geography and Informatics (INEGI, by its acronym in Spanish) (INEGI 2023b). This means that for every MXN 100 (Mexican pesos) of GDP, the informal sector contributes MXN 24.
According to Benanav (2019), the informal economy comprises units dedicated to producing goods or services primarily to generate employment and income for those involved. These units typically operate at a low level of organization, where the division of labor and capital units is scarce, sharing the characteristics of family businesses. In Mexico, informality is measured at the individual level; if a worker does not receive social security as part of their employment, they are considered informal. This approach allows for a broader spectrum of the phenomenon to be accounted for, as well as the better observation of employment evolution in this sector in terms of the quantity and characteristics of the people involved, along with their employment conditions (ILO 2021). Various methods are used to measure its impact on a national economy. Vuletin (2008) reported different methodologies for studying the informal economy phenomenon, one of which is a survey. This approach relies on national statistical institutes collecting sample data, providing significant detail about the structure of the informal economy. It is important to note that the results may vary depending on how the questionnaire is formulated and the respondents’ willingness to cooperate. Another method for measuring the informal economy is through calculating the difference between national expenditure and income, as individuals in the informal economy may choose not to report their income to avoid tax obligations. However, informal workers incur visible expenses; so, the disparity between income and expenditure estimates at the national level could be used as an approximation of the informal economy’s size. Similarly, fluctuations in the labor sector can indicate the shift of workers from one sector to another. In other words, they can move from formality to informality. If the total labor force participation remains constant, a reduction in the official (formal) labor force could be interpreted as an increase in the informal economy. The money demand approach, which infers that informal sector transactions are typically conducted in cash, can also be used, where an increase in the informal economy’s size results in a higher demand for money in circulation.
Authors like Dell’Anno and Solomon (2008) estimated the informal economy’s size for the North American economy using a structural equation model. Following the same pattern, Macias and Cazzavillan (2010) examined the informal economy as a latent variable and attempted to explain it through possible observed variables for the Mexican case. The multiple indicators multiple causes approach, also known as the MIMIC model, allows for the indirect measurement of informality and an understanding of the relationships between observable and unobservable variables and their possible correlations. This methodological approach can explain a complex phenomenon such as informality, which is heterogeneous in its measurement and characteristics, where multiple manifestations or symptoms usually occur simultaneously. Perry (2007) argued that structural equation models (SEMs) are suitable for analyzing relationships between observed and unobserved or latent variables, such as informality and its participation in a complex system like the national economy—specifically, the tertiary sector.
Therefore, the objective of this study is to analyze the impact of wages, taxes, government spending, and unemployment as latent variables in the informal economy, as well as its participation in the tertiary sector’s contribution to the GDP, where its participation is greater than that in the rest of the sectors of the Mexican economy. To achieve this objective, a structural equation model is used for the period from 1980 to 2022. The findings of this study revealed that an increase in taxes and unemployment is accompanied by a rise in informality. Similarly, non-substantial wage increases prompt a shift of the workforce from the formal to the informal sector.
This paper is structured as follows: The Section 1 presents the introduction. The Section 2 introduces the theoretical framework of informality in Mexico. The Section 3 shows the aspects of the GDP, public spending, and taxes in Mexico and its relationship with informality. Also, using microdata analysis, the income of informal workers is discussed. The Section 4 explores public policy in Mexico in the fight against informality. The Section 5 presents the methodology used in this research, including its mathematical notation, variable definitions, and the exploratory data analysis employed by the econometric model. The results achieved using the econometric estimation are presented in the Section 6 and discussed in the Section 7. Finally, the conclusions of the research are presented.

2. Theoretical Frame of Informality in Mexico

The literature on the informality topic is extensive. However, it can be analyzed under two major theoretical approaches known as exit and exclusion, which have separately sought to diagnose the causes and establish solutions to combat the phenomenon of informality. The exclusion approach has been one of the most used. Tokman’s (1977) pioneering study on informality in the case of Latin America and the Caribbean assumes that informality is a consequence of the disproportionate growth of the labor force and growing inequality in the distribution of income in developing countries. Harris and Todaro (1970) assume that informality is generated by the existence of a fragmented labor market with institutional rigidities that motivate a dual labor market. The rigidities exposed by the exclusion approach are diverse; the most cited are the educational level and age of the workers, since low-skilled workers are unproductive, making it difficult for them to access formal jobs (Brandt 2011). The previous argument is supported by various studies such as Bahl and Sharma (2023) for the case of India; Herrera-Idárraga (2014) in the Colombian case; and Robles et al. (2019) in the Mexican case. In the case of age of workers, the literature on the subject indicates that young people are more likely to work in this sector due to the lack of skills and experience and low educational level that characterize them. Chacaltana et al. (2019) estimates that approximately 362 million young people, equivalent to 77% of the world’s population, between 15 and 24 years old work informally. In the Mexican case, as of the second quarter of 2022, 59.5% of employed young people have informal jobs (INEGI 2023a).
The exit approach was born with the study of Hirschman (1970), who argues that when the government does not meet the demands of the people, they decide to go elsewhere with their affairs. According to Perry (2007), the exit route is the best explanation of informality, especially in Latin American countries such as Mexico and the Dominican Republic, in the sense that there are no competitive and differentiated labor markets, as established by the exclusion approach, but they are rather complementary with a high degree of integration between them. In other words, the informal people decide to be informal on their own, so they can move from one market to another without any boundaries.
The exit approach can be summarized in three main ideas. The first is that countries differ in history, culture, legal regulation, rule of law, and institutions, so exclusion variables are more important in some countries than in others; this applies not only to countries but between entities of the country itself, as Robles et al. (2019) showed for the Mexican case. Second, the exit approach underlines the heterogeneity of the phenomenon, which is why the ILO (2013) suggests that the measurement and definition of informality should be adapted to the needs and characteristics of each country. The third indicates that it is almost impossible to distinguish between exit or exclusion variables that influence an individual’s decision to work informally (Perry 2007). In this respect, Levy (2008) suggests that a person may decide not to work in the formal market if he or she considers that the benefits of doing so are not greater than those obtained in the informal market. Examples of this are social protection programs, such as the one granted by the Instituto de Salud para el Bienestar (INSABI), which provides free health services to people without social security, like those receiving formal workers (Méndez and Llanos 2021).
The exit and exclusion approach suggests that there are significant effects at the aggregate economy, manifested in the low growth of GDP, low tax collection, the deterioration of public spending, and low wages. Loayza and Rigolini (2006), using self-employment as an indicator of informality and analyzing data from 93 countries, showed a negative relationship between GDP growth and the size of the informal sector. In the long run, this ratio is wider in countries with low per capita GDP, although in the short run, it shows counter-cyclical behavior. Lama et al. (2022) suggest that the economic cycle of the economy, in addition to being strongly related to unemployment, is also related to informality. In other words, when economies are in recession, informality increases within countries.
The relationship between public expenditure and informality is undeniable. Chatterjee and Turnovsky (2023) indicate that increased public spending reduces the proportion of the informal sector. A similar contribution was made by Mawejje (2024), who presented the relationship between public expenditure and GDP growth in 15 southern African countries. The study indicates that informality reduces the positive impact of GDP on increased investment by limiting the efficient allocation of public expenditure per capita among the population of African countries. Moreover, the study by Colombo et al. (2024), conducted for 142 countries, including Mexico, shows that expansive fiscal changes, associated with changes in relative prices, imply a shift of demand towards informality, affecting the multiplier effect of public expenditure.
On the other hand, informality is also strongly linked to fiscal policy in developing countries; even the economic cycle can have distinctive influences on informality and fiscal policy, and direct taxes appear to be pro-cyclical with informality. That is, an increase in taxes leads to an increase in informality in developing countries such as Mexico (Osorio-Copete 2016; Martínez et al. 2018; Schneider and Dominik 2000; Granda-Carvajal and García-Callejas 2023). Vallanti and Gianfreda (2021), in their study for the Italian case, note that more regulations and a strong tax burden on companies motivate them to work informally through the hiring of workers without written contracts and social security. Tahir et al. (2022) assume that, globally, the loss of tax revenue amounts to USD 3.1 trillion annually, or approximately 5% of the global GDP. Similarly, they state that in developing countries like Nigeria, an increase in taxes implies more informality. van Der Molen (2016) identifies that informality is generated not only by an increase in taxes but also by deficient public services as the exit approach demonstrates, a situation described by Levy (2008) for the Mexican case. Pierre et al. (2024) presents a different case for the Latin American countries, suggesting that the collection could be increased via indirect taxes, since the consumption of informal goods is progressive. In other words, higher income in the informal sector leads to higher indirect tax collection. Gómez and Morán (2012) argued that one way to counteract informality is by increasing indirect taxes—specifically, the Value Added Tax (VAT). When analyzing the effects of such a tax, companies may not alter their formal employment because they pass the tax burden on to the price of goods. On the other hand, it may discourage some participants in the value chain from remaining in the formal sector. Since VAT is directed at final consumption, informal workers will bear the tax included in the prices of products offered in formal trade. Nonetheless, high informality in Mexico creates a vicious cycle. The lack of tax revenue limits public spending, which can perpetuate the conditions that foster informality in the country.
Several studies have examined the relationship between unemployment and informality. Villena-Roldán (2024) supports the hypothesis that more unemployment leads to more informality, since those who lose their jobs find in informality a refuge. Perry (2007) noted that high unemployment rates, especially among young people, increase the incentives for them to work in the informal sector, as pointed out by the exclusion approach. Oseguera (2022) analyzes the concentration of the labor market and its relationship with productivity and wages for the Mexican case, stating that in the informal sector, where companies tend to have low productivity, an increase in the labor concentration tends to raise wages. In other words, when workers concentrate more on their tasks and are more productive, they are rewarded with higher wages. This makes sense if we consider aspects such as greater autonomy and the evasion of regulations by businesses that work informally (Levy 2008). Informality is thus a combination of exit and exclusion, because these revenues not paid to the government are used for higher wages. Maloney (2004) suggests that while wage differences between the formal and informal sectors are observed, these disparities do not necessarily result from a dualistic labor market that forces workers to remain in a sector with fewer benefits and lower wages. In other words, informal workers may be gaining unobserved benefits, such as greater scheduling flexibility, which could offset their economic losses to some extent. Informality is thus a combination of exit and exclusion.

Definition of Informality

Although the term informal arose in the early 1970s to refer to activities outside the regulatory framework, it is a concept that has been adapted to the objectives of analysis of the phenomenon. The International Labour Organization (ILO) has two globally accepted concepts for generating statistics on informality: the informal sector and informal employment, which must be adjusted according to the characteristics and needs of each country (ILO 2013).
The informal sector was the first concept to be developed at the 15th International Conference of Labour Statisticians (15th ICLS), held in January 1993 (ILO 2024). The 15th ICLS defined not only the informal sector but also the content, design, and ways of conducting surveys, defining the informal sector as a set of units engaged in producing goods and services for the purpose of generating income. These firms operate on a small scale, with a basic organization where there is little distinction between labor and capital as factors of production. Labor relations are based mainly on casual employment, family ties, or personal and social relationships rather than contractual arrangements that include formal guarantees (ILO 2013). However, the previous definition was intended to measure the phenomenon from a business perspective rather than focusing on the work aspect. The ILO and Women in Informal Employment Globalizing and Organizing (WIEGO) therefore agreed to develop a definition of informal employment that complements the informal sector for several reasons: people can have both formal and informal employment, subsistence activities, and unpaid domestic work, among others. The ILO (2024) defines informal employment as those economic activities characterized by the absence of formal employment contracts and a lack of access to social benefits, such as social security and other benefits provided for in the law.
In Mexico, informality is studied under two dimensions: individual and aggregate, according to the ILO and experts on informality. The individual dimension focuses on the person; if the worker lacks social security for his job, it is considered informal, even if he works for formal enterprises. On the other hand, the aggregate dimension studies the phenomenon of informality at the enterprise level, where an economic unit producing goods and services for the market that has less than 10 employees and no accounting records is an informal sector enterprise. The individual dimension is the most used in Mexico to measure informality for two reasons. The first is that it allows for a wider spectrum of workers located in informality. This is unlike the aggregate dimension, where there are companies that have accounting records, but which nevertheless employ workers for whom social security is not granted. The second reason is the most widely accepted dimension in the country for generating statistics on informality, as a social and non-industrial public policy issue; although micro-enterprises are mainly informal, they require actions to improve their well-being in health or education rather than programs promoting the competitiveness of the economic unit. The workers who constitute them must first be provided with decent employment, social security, and labor benefits, as required by law.

3. Mexican GDP, Unemployment, Public Expending, Taxes, Incomes, and Informality

The GDP is the quintessential indicator of a country’s economic growth, reflecting the health of the economy. In Mexico, the real GDP growth from the first quarter of 2010 to the first quarter of 2023 was about 2.1%. To provide a more robust analysis of GDP behavior, the period from 2010 to 2023 was divided into three sub-periods. The first phase, spanning from the first quarter of 2010 to the first quarter of 2020, corresponded to the 2010s, when the housing and credit crisis in the United States of America (USA) occurred—a crisis that extended to the rest of the world (Figure 1).
The Mexican economy in 2010 showed real GDP growth of 5.3% after experiencing a contraction of 6.1%. According to the Economic Commission for Latin America and the Caribbean (ECLAC) the slow recovery following the crisis was due to an increase in exports without employment expansion, with an unemployment rate of 6.6% occurring that year (CEPAL 2011). Overall, from 2010 to 2020, the average real growth of the economy was only 2.6%. In the second phase, from the second quarter of 2020 to the first quarter of 2021, the economy was in a phase of stagnation due to two factors. The first was the drop in oil prices in 2019, and the second was the onset of the COVID-19 pandemic in March 2020. The Mexican GDP experienced a significant decline, falling by 18.8% in the second quarter of 2020. Considering the period from the second quarter of 2020 to the first quarter of 2021, the real GDP fell by an average of 8.4%. Following the control of the COVID-19 pandemic and the subsequent relaxation of measures to contain it, which severely impacted the economy, an average growth of 5.1% was observed from the second quarter of 2021 to early 2023. In other words, the Mexican economy returned to levels like those prior to the COVID-19 pandemic.
The informal economy contributes considerably to the GDP. According to INEGI (2023b), the informal economy contributed 24.4% of the total GDP in 2022. At the level of economic sectors, it was involved with 11.4% in agriculture; 14.4% in construction; 13.9% in manufacturing; 7.3% in wholesale trade; 28.7% in retail trade; 4.0% in transport and storage; 3.1% in accommodation and food preparation services; 6.0% in other tertiary sector services; and 11.0% in miscellaneous activities such as real estate, business support, leisure, and other services. In other words, 60.1% of the gross value added by informality is concentrated in the tertiary sector of the Mexican economy. This contribution varies with the economic cycle. Figure 2 shows that the informal sector contribution increased over the years, except for 2020, the year in which the COVID-19 pandemic occurred, where its contribution to GDP decreased by 5.15% from 2019 to 2020. Informality has shown greater dynamism in the tertiary sector, specifically in retail trade, with the highest growth rate between periods; in 2010, it was 25.9%, in 2019, it was 26.6%, and in 2021, it was 29%. This represents 12% growth from 2010 to 2021. The INEGI showed that, by 2022, in terms of the gross value added, retail trade was the informal economic activity with the highest participation in the economy (INEGI 2022). This suggested that, at least in the Mexican case, economic crises have a positive impact on informality, shifting labor from one sector to another. However, the permanence of the working population in the formal or informal sector may depend on various factors, such as wage incentives or the productivity of the sector in which they are employed.
The GDP is an indicator that provides an overall picture of employment behavior in the country, with employment being a pro-cyclical variable within the economic cycle. Unemployment is closely related to labor informality, because individuals without formal employment are more likely to seek jobs that provide immediate resources, such as informal employment. In Mexico, the economically active population (EAP), defined as all individuals aged 15 and older who engage in economic activities and/or are seeking employment during the reference week (INEGI 2023b), amounted to approximately 60.6 million people as of the second quarter of 2023. Of these, 97.19% were employed, while 2.80% were seeking employment, with 694,492 of those unemployed being women and 999,950 being men. Various economic crises experienced by the country, such as the 1995 crisis, the 2008 housing crisis, and the COVID-19 pandemic that began in early 2020, have influenced unemployment rates in Mexico.
In the case of labor informality, defined as workers without social security provided by their employment, even if they work in formal companies, around 32.2 million people fall into this category, which means approximately 55.1% of the country’s working population is informally employed. Figure 3 shows two relevant aspects of the Mexican labor market. It highlights the high levels of informality in the country, which have consistently ranged between 57% and 60% of the working population over the years.
It also shows the positive relationship between informality and unemployment, as individuals who have not secured formal employment or have lost it are more likely to engage in informal labor due to the need for short-term income. According to SHCP (2020), workers with formal jobs are mainly concentrated in manufacturing (25.4%), social services, and commercial activities, with a 15% share each. In the case of informal workers, they are primarily found in economic sectors such as trade (21.8%), followed by the agricultural sector (17.8%).
Public spending refers to the investments and expenditures made by the government to provide goods and services to the population. In this context, taxes are one of the primary sources of government revenue. These resources are essential for financing expenses related to infrastructure, education, health, and security, among others. Without adequate tax collection, the government faces difficulties in fulfilling its responsibilities and providing essential services. Informality refers to economic activities that are not officially registered and, therefore, do not contribute to the tax system through tax payments. In Mexico, informality has ranged between 55% and 60% in recent years, which means that these revenues are not subject to taxes. The high rate of informality in Mexico reduces the tax base, meaning there are fewer contributors to the tax system. According to Clavellina et al. (2021), Mexico loses around USD 26,557 trillion (United State Dollar) annually in tax revenue due to informality. Furthermore, tax collection in Mexico is relatively low compared to that in other countries in the Organization for Economic Cooperation and Development (OECD). According to the OECD (2024), the total tax revenue in Mexico was approximately 16.5% of GDP in 2019, one of the lowest among member countries. Insufficient tax revenue due to informality may force the government to rely more on other sources of income, such as borrowing or reducing public spending. This could result in decreased investment in infrastructure, education, health, and other essential services, affecting the overall well-being of the population.
Real wages reflect the true purchasing power of a salary. However, measuring the real wage of people in the informal sector is challenging because those working informally often lack formal income records, making it difficult to obtain accurate data. Nevertheless, the National Survey of Occupation and Employment (ENOE) by INEGI (2023b) collects information on the income of this sector. As previously mentioned, informal workers are primarily concentrated in the tertiary sector of the economy, mainly as sales employees, attendants, and store clerks. When estimating the income of the working population, both formal and informal, it was observed that in the first quarter of 2023, informal workers earned an average of USD 252 per month, while formal workers received an average monthly income of USD 371. This represents a difference of USD 118 per person per month (Figure 4).
The wage disparity between formal and informal workers is evident, especially after the minimum wage increases implemented during Andrés Manuel López Obrador’s administration (2018–2024). From 2018 to 2024, real wages increased by 110%, but these adjustments have not benefited informal workers, who also do not receive job-related benefits, further exacerbating their job insecurity (Maurizio 2019). Moreover, it is important to note that the highest incomes were found among the younger age groups, particularly those between 25 and 34 years old, who also have the highest participation in the informal sector, with an average age of 36.4 years. This is not unique to Mexico.

4. Informality and Public Policy in Mexico

According to the results of the 2019 economic censuses, there are 6.3 million enterprises in the country, of which 94.9% are micro-sized (10 employees or less); 4.9% are small- and medium-sized enterprises (11 to 250 employees); and 0.2% are large-scale (250 employees or more). Of the 6.3 million establishments in the country, 62.6% are informal (INEGI 2020). Despite the impressive number of micro-enterprises located in the informal sector, they are not subject to public policy oriented towards the promotion, productivity, and competitiveness of enterprises, such as the special program for productivity and competitiveness of 2020–2024, the purpose of which was to increase the value added by enterprises in the country. The reason is that micro-enterprises, being production units without fixed establishment and with reduced organization and size (street trade, for example), require more social policy to improve the well-being of property owners in areas such as health, education, and others, while the policy oriented toward the promotion, productivity, and competitiveness of enterprises is directed to financing, regulation, institutional design, and the rule of law, among other business needs (IMCO 2021). Social policy in the field of informality should not only provide a more favorable economic context but also articulate policies that allow for addressing a multidimensional and highly heterogeneous problem.
In this sense, over the past 20 years, programs for combatting informality have been scarce and misdirected. Although it is not the object of this research to analyze each of them, it is relevant to show those that have made progress in terms of the formalization of employment. One of these was the Employment Formalization Program, introduced in 2013, which involved state governments facilitating the transition of workers from the informal sector to the formal labor market. The program was designed to ensure that medium-sized and large establishments complied with the provisions laid down in the Federal Labour Law and the Social Security Law, ensuring that workers enjoy all their rights in terms of social security benefits and promoting the compulsory affiliation with the IMSS scheme for unregistered workers and the voluntary insurance of self-employed workers, domestic workers, ejido owners, and others. In numbers, between 2013 and 2018, the program’s period of operation, informality decreased by three percentage points, from 59.6% to 56.6% (Del Pilar 2019). From 2018 to date, the Mexican government, to combat informality, and considering the heterogeneity of the phenomenon, diversified actions to combat it with programs that prioritized not only the formalization of informal workers but also the training and placement of workers; the improvement of working conditions; enterprise promotion measures; and targeted labor inspection, among others.
The program called “Young people building the future” is a program launched in 2019 with the objective of integrating people aged 18 to 29 into the formal labor market, providing them with monthly financial support and training in companies. According to CONASAMI (2023), program beneficiaries were 2.7 times more likely to find employment than other young people. The program also increased the likelihood of these young people having access to health services by 25.1 per cent at the national level, compared with those who are neither in school nor working.
The program “Integration for domestic workers”, launched in 2020, ensures access to social security for domestic workers who provide their personal care services, assistance, and other care to a household. As of March 2022, the program has managed to incorporate about 43,823 domestic workers, 66% of whom are women and 34% are men (IMSS 2022).
The design of public policies for reducing informality in the country provides multiple benefits. At the social level, it allows workers to access health services and labor benefits, as provided by law. At the economic level, it is manifested in an increase in tax collection, business competitiveness, and productive investment, without forgetting the benefits of work, such as increased social security, better wages, and fairer working conditions.
In this sense, public policy combatting informality must go beyond the creation of formal jobs but also seek incentives that motivate informal workers to include formality, considering, in any case, the heterogeneity that characterizes the phenomenon in the national territory.

5. Methodology

5.1. Structural Equation Modeling

SEMs are statistical tools used to analyze complex relationships between observed and unobserved (latent) variables. A structural model typically includes regression-type relationships between variables, meaning how one variable affects another. Latent variables are underlying elements considered to be the common cause of a set of one or more observed variables, while observed variables are indicators influenced by the latent variable.
SEMs consist of two main components: the measurement component, which specifies the number of observable variables, the parameters to estimate, the latent variables, and the error terms, and the structural equations component, which relates the latent and observed variables. The measurement component in matrix notation, according to Macias and Cazzavillan (2010), is as follows:
Y = λ η + u ,
where
Y = dependent variable—the tertiary sector’s contribution to the GDP;
λ = structural parameters;
η = latent variables—in our case, informality;
u = error term.
The structural equations component is defined by
η = γ X + ν ,
where
η = the latent variable—informality;
γ = structural parameters of the model;
X = matrix of observed variables (wages, taxes, government spending, and unemployment);
ν = error term.
Assuming the independence of the error terms E u , ν = 0 , E ν 2 = σ 2 , and E u u = Θ 2 , where Θ is the diagonal covariance matrix of the measurement errors, substituting Equation (2) into Equation (1) yields
Y = λ γ X + v + u .
From the above, the solution of the model in reduced form is obtained:
y = Π X + w .
In Equation (4), Π is renamed to λ γ , which represents the reduced coefficient matrix, while w = λ v + u is the reduced form of the error terms.

5.2. Structural Model Notation

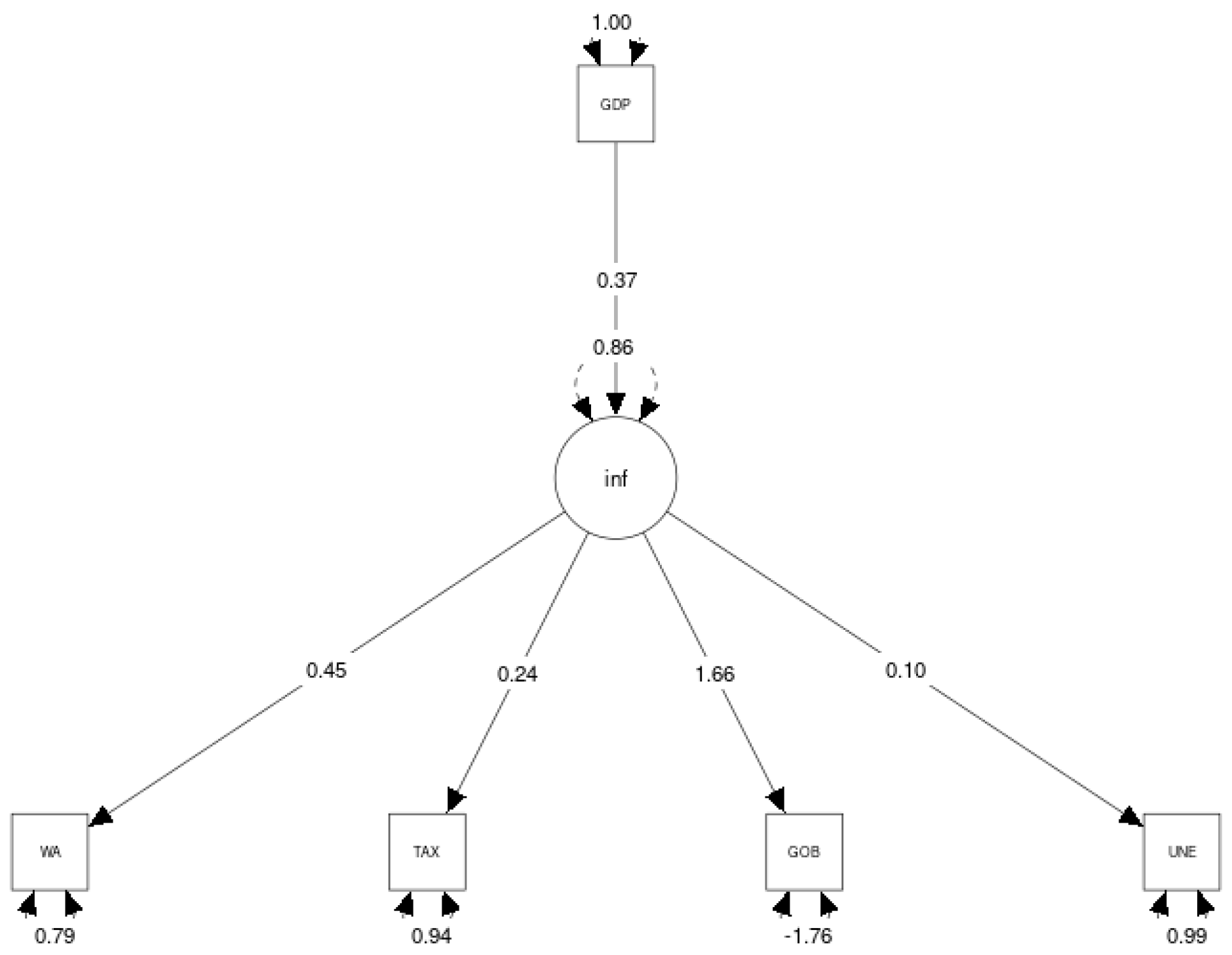
Based on the notation presented in Table 1, the structural equation model was defined, which included the following observed and latent variables, considering the context of the Mexican economy from 1980 to 2022. Generally, in structural equation models, single-headed arrows represent direct influences, while double-headed arrows indicate covariances or correlations. Additionally, observable variables are represented by squares, while latent variables are identified by circles.

5.3. Definition of Variables

The International Monetary Fund (IMF) defines the informal economy as comprising the production of informal sector units. This definition serves as a starting point for classifying measurement methods into two broad categories: official and unofficial approaches. Official approaches, commonly used, are based on surveys and microdata. However, these methods face limitations such as the lack of a standardized statistical framework and data scarcity. On the other hand, unofficial approaches include monetary methods, based on global indicators such as electricity consumption, and the use of MIMIC (Multiple Indicators, Multiple Causes) models and structural equation models to analyze the contribution of the informal economy to national output (Quiros-Romero et al. 2021). The advantage of structural equation models lies in their flexibility, as they can adjust model specification according to stylized facts, incorporate a wide range of variables, both observed and latent, and observe the causal relationships between latent and observed variables.
Regarding the use of structural equation modeling, the research of Dell’Anno and Solomon (2008) stands out. Their study employed both a structural equation model and a theoretical model to analyze the relationship between the shadow economy and the unemployment rate in the United States. The findings suggest that the shadow economy has been declining and that there is a positive correlation between the shadow economy and the unemployment rate. The variables considered in this study include the aggregate indexes of the tax burden, personal current taxes, taxes on production and imports, government social insurance contributions, the unemployment rate, self-employment, the index of bureaucracy, the gross domestic product, the ratio of the money supply aggregates M1 to M2, the civilian labor force, and the shadow economy as a latent variable.
For the case of the Mexican economy, Macias and Cazzavillan (2010) analyze, through a variant of the structural equation model, the evolution of the informal economy in Mexico between 1970 and 2006. Their model explores the causal relationships between observed variables such as taxes, minimum wage, inflation, unemployment, government consumption, money supply, and gross domestic product, identifying their impact on the informal sector as a latent variable. In terms of findings, they highlight that the informal economy in Mexico was initially represented to be 40% of GDP in the 1970s and has stabilized around 30% since the late 1980s. Additionally, the study indicates that low wages and excessive regulation are key factors that promote the informal economy, and there is a positive relationship between GDP growth and informality.
Iglesias (2021) reported that, for structural equation models, having an adequate sample is recommended; however, different criteria have been suggested to determine the minimum sample size. Some propose having at least ten observations per observed variable, while others suggest a ratio of five observations per free parameter in the model (Bentler and Mooijaart 1989). In the model, taxes ( T A X ) were the total tax revenues as a percentage of the GDP. This variable reflected the portion of national production that the government collects through taxes, which can be interpreted as a measure of the government control over economic resources. The tax burden was determined by considering the total fiscal revenues as a percentage of the GDP, providing an overview of the tax pressure on the economy (OECD 2022). In the case of wages ( W A ) , the amount considered was the minimum that an employer is legally required to pay workers for work performed over a specified period. The data were obtained from the National Commission on Minimum Wages (CONASAMI 2024) and from INEGI (2024).
Final government expenditure as a percentage of the GDP ( G O B ) was calculated by considering all current government outlays aimed at acquiring goods and services, including payments to employees. Additionally, it encompassed most defense and national security expenditures, except for military expenditures that are part of the government’s capital formation (World Bank 2024b). The unemployment variable ( U N E ) was quantified using the open unemployment rate in Mexico, which represents the percentage of the labor force that is unemployed and actively seeking employment (INEGI 2023b). As illustrated in Figure 5, informality ( I N F ) was the latent variable of the model, while the value added in services expressed as a percentage of the GDP was the dependent or target variable ( G D P T ) . The latter indicator provides an assessment of the contribution of the services sector to a country’s economy. Specifically, it covers a wide range of economic activities, such as wholesale and retail trade, transportation, government services, and financial, professional, and personal services, as well as education, healthcare, and real estate services. Additionally, this indicator also considers imputed bank service charges, import duties, and any statistical discrepancies identified by national compilers (World Bank 2024a).

5.4. Model Identification

Two necessary conditions for model identification are that the degrees of freedom are greater than or equal to zero d f 0 and that the number of estimated parameters does not exceed the number of observations (Kline 2016). According to Vázquez (2013), to calculate the number of non-redundant entries in the covariance matrix, the following equation can be used:
E c = n n + 1 2 ,
where
E c = the number of non-redundant entries in the covariance matrix with “n” total observed variables;
n = total observed variables.
For the model, there were five observed variables (‘Wage W A G ’, ‘Taxes T a x ’, ‘Government spending G o b ’, ‘Unemployment U N E ’, and ‘Tertiary sector’s contribution to the GDP G D P T ’). Substituting these into Equation (5), the result was 15. Finally, to calculate the degrees of freedom, we subtracted the number of parameters used in the Equation (5) model ( I n c o g = 9 ) from the result obtained from Equation (5), as follows:
d f = E c I n c o g .
Substituting this into Equation (6) resulted in six degrees of freedom, satisfying the condition d f 0 .

5.5. Exploratory Data Analysis and Correlation Matrix

To calculate descriptive statistics during the analysis of exploratory data, start by ordering the data in ascending order. In this sequence, the minimum and maximum values of the dataset are identified. Subsequently, the quartiles are determined: the first quartile (Q1), corresponding to the lower 25% of the data; the median (Q2), representing the central 50%; and the third quartile (Q3), marking the upper 75% of the data. Lastly, the mean is computed by summing all values in the dataset and dividing the sum by the total number of observations. These calculations provide a comprehensive overview of the distribution and fundamental characteristics of the data.
In the same idea, structural equation models are built based on the correlation existing between variables. As a basis for the structural equation model. A correlation matrix has been chosen to evaluate the possible covariance of the variables, ranging from −1 to 1. Since these are continuous variables, Pearson’s correlation coefficient was used for the calculation of the matrix; Equation (7) is used:
r = i = 1 N ( X i X ¯ ) ( Y i Y ¯ ) i = 1 N ( X i X ¯ ) 2 i = 1 N ( Y i Y ¯ ) 2
where:
X i X ¯ = the deviation of each value of X from its mean X ¯ ;
Y i Y ¯ = the deviation of each value of Y from its mean Y ¯ ;
i = 1 N X i X ¯ Y i Y ¯ = the sum of the products of X and Y deviations to obtain covariance;
i = 1 N ( X i X ¯ ) 2 i = 1 N ( Y i Y ¯ ) 2 = the product of standard deviations of X and Y .

5.6. Model Estimation and Fit Indices

Standardized coefficients in a path diagram provide a measure of the relationship between observed variables and latent variables, facilitating the understanding of the relative influence of each factor. These coefficients reflect the degree of association between variables, indicating whether the influence is positive or negative based on the coefficient’s sign. By standardizing coefficients, we can directly compare the impact of one variable on another, assessing the relative magnitude of effects and determining the importance of each variable in the model.
Fit indices in structural models are classified into three main categories. First, there are absolute indices, which measure the absolute fit of the model without comparing it to others. Relative fit indices determine the fit of the model by comparing it to a reference model. Lastly, parsimony indices are useful for evaluating the fit of the model considering its complexity; in other words, more parameters indicate higher complexity.
The root mean square error of approximation (RMSEA) is a global fit index that examines the discrepancy between the covariance matrix reproduced by the model and the observed covariance matrix in population terms. According to Gupta and Singh (2014), values between 0 and 0.05 are considered a good fit, values between 0.05 and 0.08 are an acceptable fit, and values above 0.08 indicate a poor fit. The goodness of fit index (GFI) and the adjusted goodness of fit index (AGFI) measure the proportion of variances and covariances predicted by the reproduced matrix, with values ranging from 0 to 1.

6. Results

The econometric estimation was carried out using R version 4.3.3 software with the lavaan package. Table 2 shows that from 1980 to 2022, the variables of taxes and government spending, both as a percentage of GDP, recorded contributions of 13.48% and 9.86%, respectively. On the other hand, the minimum wage showed an increasing trend over time, reaching its highest value in 2022 of USD 7.8. The unemployment rate, on average, was 4.028%, reaching its peak in 2020 when the Mexican economy experienced a slowdown due to the COVID-19 pandemic. Finally, the tertiary sector’s contribution to the GDP averaged 59.16% during the selected period.
Regarding the correlation matrix (Figure 6), as expected, a positive correlation was observed between government spending and taxes. A positive correlation was also observed between government spending, the tertiary sector’s contribution to the GDP, and the minimum wage.
Regarding the multivariate normality test (Table 3), the Mardia test was performed, which considers skew and kurtosis (Matas-Terrón 2023). The results showed that the data are not distributed symmetrically around the mean. With respect to the kurtosis test, a significant p-value of 0.47 is recorded; however, as the data present bias, the assumption of multivariate normality is not met, so the model was estimated using maximum likelihood. Regarding the observable variables in the model, these were significant at the 95% level, except for unemployment, which was only significant at the 80% level. Regarding informality as a latent and explanatory variable of the Gross Domestic Product of the tertiary sector, it also turned out to be significant, with a p-value of 0.05. To assess the assumptions of linear independence and first-order autocorrelation, Variance Inflation Factors (VIF) and the Durbin–Watson statistic were computed. VIF was employed to establish clear causal relationships (Marsh et al. 2004). For autocorrelation, the Durbin–Watson statistic was used to examine the independence of residuals from the unique error terms associated with each observed variable (Kline 2016) (WA, TAX, GOB, UNE). These error terms represent the portion of each indicator not explained by the latent variable ‘inf’. The results indicated that all variables exhibited moderate multicollinearity, with VIF values below 5, except for the government spending variable, which had a slightly higher but still acceptable value. The Durbin–Watson statistic 1.9072, close to 2, suggests the absence of autocorrelation in the residuals. This supports the model’s validity, indicating that the estimates are not biased by temporal dependency patterns, allowing for more reliable inferences about the relationships between variables.
To estimate the relationships among the latent variables proposed in the model, covariance-based structural equation modeling (CB-SEM) was employed. Following the recommendations of Rigdon et al. (2017), CB-SEM was selected due to its ability to provide precise estimates of causal relationships in well-defined theoretical models. By maximizing likelihood, CB-SEM enables the theory testing and analysis of latent variable interactions, ensuring robust results and reinforcing the confirmatory nature of the relationships among variables. However, CB-SEM has limitations compared to partial least squares structural equation modeling (PLS-SEM). While CB-SEM requires large sample sizes and assumes normality, PLS-SEM is more flexible, accommodating smaller sample sizes and non-normal data. Nevertheless, PLS-SEM has been criticized for estimation bias, particularly in terms of out-of-sample prediction and validity compared to CB-SEM.
The absolute fit of the model was determined using the chi-square/degrees of freedom ratio, indicating an adequate fit of 1.12 < 3. The comparative fit index, as measured by the Tucker–Lewis Index (TLI), was found to be 0.98, slightly greater than the benchmark of 0.95; the relative indices showed a good fit, except for the AGFI, which only indicated a good fit. The parsimonious index PNFI showed an inefficient fit despite having only five observed parameters. As shown in Table 4, a value close to 1 is considered a good fit, with a recommended cutoff point of 0.90 (Gupta and Singh 2014). The comparative fit index (CFI) is also a measure of comparative fit; values between 0.95 and 1 indicate a very good model fit, those between 0.9 and 0.95 indicate a good fit, and those below 0.9 indicate a poor fit (Beaujean 2014). The normed fit index (PNFI) combines model fit information with the number of parameters estimated within it. PNFI values closer to 1.0 indicate a better fit.
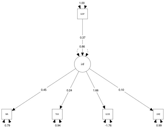
According to the path diagram (Figure 7), the results indicate a positive correlation of 0.45 between wages (WA) and informality (inf), suggesting that a higher wage is associated with a moderate increase in informality. While taxes (TAX) also exhibit a positive correlation with INF (0.24), their impact is less pronounced compared to wages. Conversely, government spending (GOB) has a stronger influence on informality, with a standardized coefficient of 1.66, indicating that increased government spending is associated with a substantial rise in informality. Unemployment (UNE) shows a weaker positive correlation of 0.10 with informality, suggesting a relatively minor effect. Lastly, the GDP tertiary sector (GDP) has a positive correlation of about 0.37 with informality, indicating that the tertiary sector’s contribution to the GDP is associated with a moderate increase in informality. These standardized coefficients provide a clear assessment of how each variable contributes to informality, revealing both the direction and relative magnitude of their effects

7. Discussion

The results of the model revealed that an increase in taxes is positively related to an increase in informality (0.24). As assumed by Colombo et al. (2024) and Granda-Carvajal and García-Callejas (2023) for developing countries. The above can be explained by two arguments. The first is that a higher tax burden on the formal sector motivates captive taxpayers to develop mechanisms for tax evasion when moving from the formal to the informal sector. It is important to mention that the above is not exclusive to developing countries like Mexico but is also observed in industrialized countries. This was the case in Vallanti and Gianfreda’s (2021) study for Italy, where a higher tax burden motivated companies to choose to produce informally. The second is that, in the Mexican case, those who are already located in informality find no incentive to join formality (Levy 2008). This is even more true when the government gives incentives like those already working in formality. For example, in Mexico, considerable resources have been allocated to provide free health services to people who are not affiliated with any social security system. In 2004, the per capita expenditure for the population not insured under the Seguro Popular program was approximately MXN 920, while by 2021, the per capita expenditure for the population not insured under the INSABI program had increased to MXN 2911 (Méndez and Llanos 2021). Neither the now defunct Seguro Popular nor INSABI has reduced informality but instead has encouraged it, since workers not covered by an employment-based social security system meet their needs through the services provided by INSABI, thus discouraging formalization.
Similarly, the results of the econometric estimate indicate a positive correlation between unemployment and informality (0.10). This result suggests that people who are actively seeking employment and do not find it are turning to unregistered activities to generate short-term income; a problem that is exacerbated for young people, as 77% of them work informally worldwide (Chacaltana et al. 2019). In Mexico, it is estimated that by 2022 about 60% of young people had informal jobs.
As for public expenditure, there is a positive relationship with informality. This relationship seems complex. However, as van Nguyen et al. (2022) and Mawejje (2024) point out, developing countries face fiscal deficits and weak institutions, characterized by corruption and poor law enforcement, and this limits the efficient allocation of public expenditure per capita.
The relationship between earnings and informality was surprisingly positive (0.45). Empirically, it could be expected that an increase in the minimum wage would encourage people to leave the informal sector and enter formal labor markets. However, the results indicate otherwise. The relationship between wage increases and informality seems to be complex, but it is not. There are three possible responses to the positive relationship between wages and informality. The first is that small increases in real wages, as seen for the Mexican case, do not have a significant impact on informality. This makes sense, since estimates of informal income are similar or even higher than those of their formal counterparts, meaning that small increases in real wages will not have a substantial effect on the reduction in informality. This argument was supported by Velásquez (2017), Mark (2004), Arindrajit et al. (2010), Lemos et al. (2004), and Manning (2003), who found similar results in studies conducted in several countries. Real wage increases should be accompanied by a mix of public policies that include not only wage increases but also increased investment in education and labor training and measures to discourage workers from informal employment. The second answer is that, with a small wage gap between the two labor markets, informal workers may be gaining unseen benefits such as greater flexibility in working hours and activities; in some ways, these can compensate for the economic losses that would be incurred if they worked in formality (Maloney 2004 and Levy 2008). The third answer is that, as assumed by Oseguera (2022), when informal workers are more productive, they are rewarded with higher incomes in the short term, despite being penalized through the lack of labor benefits established in the labor law.
Finally, a change in informality affected the growth of the contribution of the tertiary sector to GDP by 0.37 units. It is important to remember that informality is a latent variable that is not observable. This result is in line with INEGI estimates, since the informal economy contributed 24.4% to the total national GDP in 2022, mainly in the tertiary sector.

8. Conclusions

The structural equation model applied to the context of the Mexican economy from 1980 to 2022 revealed significant findings. As expected, there was a positive relationship between the tax burden and higher levels of informality. Regarding government spending, a positive relationship was confirmed in the model. That is, increased government spending does not necessarily lead to a reduction in informality; rather, it depends on how it is implemented.
Finally, the model also demonstrated a positive relationship between informality and GDP, specifically in the tertiary sector. Informality is concentrated in low-value-added activities, such as food preparation or retail sales, typical of the tertiary sector of the economy. Addressing the issue of informality would have various economic and social benefits. Economically, it would lead to higher tax revenue, increased labor productivity, and a reduction in the potential fiscal deficits in the short and long term, among other benefits. Socially, the benefits would not only provide workers with jobs offering competitive wages and benefits but also have positive effects on reducing poverty, income inequality, and labor exclusion.
Although structural equation models are a viable option for modelling theoretical relationships between phenomena of economic reality, they also present certain limitations, ranging from the discussion of the ideal method for estimating parameters, covariance or partial least squares, to large databases for econometric modeling, since a robust model requires the use of large samples, which are not always available or are non-existent. The same thing happens with the lack of databases of institutional variables, such as the government efficiency index, and corruption or individual well-being perception indicators, among others, which would allow for modeling not only the impact on the national economy but also the relationship between the government and informality.
The design of public policies to combat informality provides multiple benefits that impact social, labor, and economic indicators. In the social sphere, it allows for access to health services and benefits, as established by law; in the labor field, it gives workers certainty through fair employment contracts and wages; in economic matters, it increases tax collection, strengthening public finances and encouraging greater investment in infrastructure and services. The proposal for public policy to combat informality must therefore consider the following points: first, the promotion of economic growth with job creation is a high-priority requirement in order to reduce the problem, which is relevant not only for the country’s export development but also for the promotion and expansion of its production chains oriented toward domestic consumption, as around 60% of the informal companies in the country are located in the tertiary sector; second, it is essential to strengthen the creation of physical capital and human resources in line with the needs of national production; third, it is necessary to provide incentives for the transition of informal to formal workers, through special schemes which help them during their first years to structure a formal business project; fourth, increasing access to social protection requires ensuring the smooth operation of income transfer programs such as the “youth building the future,” which has had good results so far, and the reduction in others such as INSABI, which encourages informality by providing benefits similar to those received by formal workers, such as access to health services; fifth and last, any action, mechanism, and instrument used in the fight against informality must consider the heterogeneity of the phenomenon, since each federal entity in the country shows a different situation, whether it is in evolution, characteristics, or behavior.
One proposal for a future study is to identify the relationship between informality and components of the tertiary sector of the economy, which allows for an in-depth analysis of the impact that this phenomenon has on the aggregate economy and thus on the development of targeted public policy, because of the heterogeneity which characterizes it. Combating and eliminating informality is a goal that requires collaboration between civil society, the private sector, and the government through comprehensive policies that cover fiscal, labor, and social aspects. Only in this way can significant progress be made in addressing a heterogeneous issue such as informality.

Author Contributions

Conceptualization, D.R.O.; methodology and software, R.A.A.T.; validation, R.A.A.T.; formal analysis and investigation, D.R.O.; resources, D.R.O.; data curation, R.A.A.T.; writing—original draft preparation, D.R.O. and R.A.A.T.; writing—review and editing, D.R.O. and R.A.A.T.; visualization, D.R.O. and R.A.A.T.; supervision, D.R.O.; project administration, D.R.O. All authors have read and agreed to the published version of the manuscript.

Funding

This research was funded by Instituto Politécnico Nacional, grant number SIP20241636, and registered by Secretaría de Investigación y Posgrado, Instituto Politécnico Nacional.

Institutional Review Board Statement

Not applicable.

Informed Consent Statement

Not applicable.

Data Availability Statement

The paper uses publicly available data. The sources and data are defined in Section 5.

Conflicts of Interest

The authors declare no conflict of interest.

References

  1. Arindrajit, Dube, T. William Lester, and Michael Reich. 2010. Minimum Wage Effects Across State Borders: Estimates Using Contiguous Counties. The Review of Economics and Statistics 92: 945–64. [Google Scholar] [CrossRef]
  2. Bahl, Shweta, and Ajay Sharma. 2023. Informality, education-occupation mismatch, and wages: Evidence from India. Applied Economics 56: 2260–94. [Google Scholar] [CrossRef]
  3. Beaujean, Alexander A. 2014. Latent Variable Modeling Using R: A Step-by-Step Guide, 1st ed. Oxfordshire: Routledge. [Google Scholar] [CrossRef]
  4. Benanav, Aaron. 2019. The origins of informality: The ILO at the limit of the concept of unemployment. Journal of Global History 14: 107–25. [Google Scholar] [CrossRef]
  5. Bentler, Peter M., and Ab Mooijaart. 1989. Choice of structural model via parsimony: A rationale based on precision. Psychological Bulletin 106: 315–17. [Google Scholar] [CrossRef]
  6. Brandt, Nicola. 2011. Informality in Mexico, OECD Economics Department Working Papers. No. 896. Paris: OECD Publishing. [Google Scholar] [CrossRef]
  7. CEPAL. 2011. México: Evolución económica durante 2010. Available online: https://repositorio.cepal.org/server/api/core/bitstreams/fc6b0c2b-ef81-45ae-a0b0-2dd9d0ba4ced/content (accessed on 1 July 2024).
  8. Chacaltana, Juan, Florence Bonnet, and Vicky Leung. 2019. The Youth Transition to Formality. Geneva: International Labour Organization. ISBN 978-92-2-133667-9. [Google Scholar]
  9. Chatterjee, Santanu, and Stephen. J. Turnovsky. 2023. Government expenditure and informality in an emerging economy: The recent experience of India. Indian Economic Review 58 Suppl. S2: 293–318. [Google Scholar] [CrossRef]
  10. Clavellina, Miller J. L., M. I. Domínguez Rivas, and V. Herrera González. 2021. Elementos y Consideraciones para una Nueva Reforma Hacendaria. In Senado de la República. Available online: http://bibliodigitalibd.senado.gob.mx/bitstream/handle/123456789/5307/1%20Publicacion%20nueva_reforma%20F.pdf?sequence=1&isAllowed=y (accessed on 13 June 2024).
  11. Colombo, Emilio, Davide Furceri, Pietro Pizzuto, and Patrizio Tirelli. 2024. Public expenditure multipliers and informality. European Economic Review 164: 104703. [Google Scholar] [CrossRef]
  12. CONASAMI. 2023. El efecto del programa “jóvenes construyendo el futuro” usando datos de la encuesta nacional de ingresos y gastos de los hogares, 2022. Dirección técnica. Comisión nacional de los salarios mínimos. Agosto de 2023. Available online: https://www.gob.mx/cms/uploads/attachment/file/857719/El_efecto_del_programa_JCF_usando_datos_de_la_ENIGH_2022.pdf (accessed on 10 June 2024).
  13. CONASAMI. 2024. Evolution of the Minimum Real Wage; Mexico City: Government of Mexico. Available online: https://www.gob.mx/conasami/documentos/evolucion-del-salario-minimo (accessed on 10 June 2024).
  14. Del Pilar, Martínez M. 2019. Con EPN informalidad laboral bajo 3 puntos porcentuales. El Economista. Available online: https://www.eleconomista.com.mx/capitalhumano/Con-EPN-informalidad-laboral-bajo-3-puntos-porcentuales-20190215-0027.html (accessed on 10 June 2024).
  15. Dell’Anno, Roberto, and Offiong H. Solomon. 2008. Shadow economy and unemployment rate in USA: Is there a structural relationship? An empirical analysis. Applied Economics 40: 2537–55. [Google Scholar] [CrossRef]
  16. DOF. 2024. Exchange Rate to Settle Obligations Denominated in Foreign Currency Payable in the Mexican Republic. Diario Official de la Federación, January 31. [Google Scholar]
  17. Espejo, Andrés. 2022. Informalidad Laboral en América Latina: Propuesta Metodológica Para Su Identificación a Nivel Subnacional. CEPAL, Naciones Unidas. Available online: https://www.cepal.org/es/publicaciones/47726-informalidad-laboral-america-latina-propuesta-metodologica-su-identificacion (accessed on 1 May 2024).
  18. Government of Mexico. 2024. Data Mexico. Employment—Sales Employees, Brokers and Shop Assistants. Available online: https://www.economia.gob.mx (accessed on 21 January 2024).
  19. Gómez, Sabaini C. Juan, and Dalmiro Morán. 2012. Informalidad y Tributación en América Latina: Explorando Los Nexos Para Mejorar la Equidad. CEPAL. Available online: https://repositorio.cepal.org/server/api/core/bitstreams/bd8e7674-043b-4a2c-8da6-2ddff8204520/content (accessed on 10 June 2024).
  20. Granda-Carvajal, Catalina, and Danny García-Callejas. 2023. Informality, tax policy and the business cycle: Exploring the links. International Tax and Public Finance 30: 114–66. [Google Scholar] [CrossRef]
  21. Gupta, Karnika, and Narendra Singh. 2014. Fit Estimation in Structural Equation Modeling. A Synthesis of Related Statistics. In HSB Research Review. Hisar: Haryana School of Business, Guru Jambheswar University of Science and Technology, pp. 20–27. [Google Scholar]
  22. Harris, John R., and Michael P. Todaro. 1970. Migration, Unemployment and Development: A Two-Sector Analysis. The American Economic Review 60: 126–42. [Google Scholar]
  23. Herrera-Idárraga, Paula. 2014. Three Empirical Essays on Education and Informality in the Labor Market of a Developing Country: The Colombian Case. Ph.D. thesis, Universitat de Barcelona, Barcelona, Spain. [Google Scholar]
  24. Hirschman, Albert Otto. 1970. Exit, Voice, and Loyalty: Responses to Decline in Firms, Organizations, and States. Cambridge, MA: Harvard University Press. [Google Scholar]
  25. Iglesias, Labraca Juan Miguel. 2021. Modelos de Ecuaciones Estructurales. [Grado en Matemáticas, Universidad de Almería]. Available online: http://hdl.handle.net/10835/13177 (accessed on 10 October 2024).
  26. ILO. 2013. Measuring Informality: A Statistical Manual on the Informal Sector and Informal Employment. Geneva: International Labour Organization (ILO). Available online: https://www.ilo.org/publns (accessed on 10 October 2024).
  27. ILO. 2021. Employment and Informality in Latin America and the Caribbean: An Insufficient and Uneven Recovery; Geneva: International Labour Organization (ILO). Available online: https://www.ilo.org/es/publications/empleo-e-informalidad-en-america-latina-y-el-caribe-una-recuperacion (accessed on 1 May 2024).
  28. ILO. 2024. International Conference of Labour Statisticians (ICLS); Geneva: International Labour Organization (ILO). Available online: https://ilostat.ilo.org/es/about/standards/icls/?playlist=4194a13&video=38313ec (accessed on 10 October 2024).
  29. IMCO. 2021. Pymes de la Informalidad a la Competitividad. Centro de Investigación en Política Pública. Available online: https://imco.org.mx/resultados/page/6/?cs=de%20la%20informalidad%20a%20la%20competitividad&t%5B0%5D=investigacion#038;t%5B0%5D=investigacion (accessed on 1 May 2024).
  30. IMSS. 2022. Avanza el Acceso Pleno a Los Derechos de Las Personas Trabajadoras Del Hogar. Nº 153/2022. Available online: http://www.imss.gob.mx/prensa/archivo/202203/153 (accessed on 10 October 2024).
  31. INEGI. 2020. Censos Económicos, 2019. Comunicado de Prensa. Núm. 305/20. 16 de Julio de 2020. Página 1/3. Available online: https://www.inegi.org.mx/contenidos/saladeprensa/boletines/2020/otrtemecon/ceneconresdef2019_Nal.pdf (accessed on 1 May 2024).
  32. INEGI. 2022. Encuesta Nacional de Ocupación y Empleo (ENOE). Available online: https://www.inegi.org.mx/programas/enoe/15ymas/#microdatos (accessed on 2 June 2024).
  33. INEGI. 2023a. Estadísticas a propósito del día del trabajo. INEGI, April 28, 1–5. [Google Scholar]
  34. INEGI. 2023b. Medición de la Economía Informal (MEI). Available online: https://www.inegi.org.mx/contenidos/saladeprensa/boletines/2023/MDEI/MDEI2022.pdf (accessed on 2 December 2023).
  35. INEGI. 2024. Demografía y Sociedad. Empleo y Ocupación: Tabulados. Available online: https://www.inegi.org.mx/temas/empleo/#tabulados (accessed on 21 January 2024).
  36. Kline, Rex B. 2016. Principles and Practice of Structural Equation Modeling, 4th ed.New York, NY: Guilford Press. [Google Scholar]
  37. Lama, Ruy, Gustavo Leyva, and Carlos Urrutia. 2022. Labor Market Policies and Business Cycles in Emerging Economies. IMF Economic Review 70: 300–37. Available online: https://doi-org.bibliotecaipn.idm.oclc.org/10.1057/s41308-021-00153-5 (accessed on 10 October 2024). [CrossRef]
  38. Lemos, Sara, Roberto Rigobon, and Kevin Lang. 2004. Minimum Wage Policy and Employment Effects: Evidence from Brazil [with Comments]. Economía 5: 219–66. Available online: https://docs.iza.org/dp15340.pdf (accessed on 10 October 2024). [CrossRef]
  39. Levy, Santiago. 2008. Social Policy, Informality, and Economic Growth in Mexico. Washington, DC: Brookings Institution Press. [Google Scholar]
  40. Loayza, Norman, and Jamele Rigolini. 2006. Informality Trends and Cycles. World Bank Policy Research, Working Paper. Nº. 4078. Washington, DC: World Bank. [Google Scholar]
  41. Macias, José B., and Guido Cazzavillan. 2010. Modeling the informal economy in Mexico. A structural equation approach. The Journal Of Developing Areas 44: 345–65. [Google Scholar] [CrossRef]
  42. Maloney, William F. 2004. Informality revisited. World Development 32: 1159–78. [Google Scholar] [CrossRef]
  43. Manning, Alan. 2003. Monopsony in Motion: Imperfect Competition in Labor Markets. Princeton: Princeton University Press. [Google Scholar] [CrossRef]
  44. Mark, B. Stewart. 2004. The Employment Effects of the National Minimum Wage. The Economic Journal 114: C110–C116. [Google Scholar] [CrossRef]
  45. Marsh, Herbert W., Martin Dowson, James Pietsch, and Richard Walker. 2004. Why Multicollinearity Matters: A Reexamination of Relations Between Self-Efficacy, Self-Concept, and Achievement. Journal of Educational Psychology 96: 518–22. [Google Scholar] [CrossRef]
  46. Martínez, Luis David, Ignacio Caamal Cauich, José Antonio Ávila Dorantes, and Lucio Alberto Pat Fernández. 2018. Política fiscal, mercado de trabajo y empleo informal en México. Revista Mexicana de Economía y Finanzas 13: 77–98. [Google Scholar] [CrossRef]
  47. Matas-Terrón, Antonio. 2023. Modelos de Ecuaciones Estructurales Con la Librería SEM de R. Métodos de Investigación. Universidad de Málaga. Available online: https://dx.doi.org/10.5281/zenodo.7817028 (accessed on 1 May 2024).
  48. Maurizio, Roxana. 2019. Temporary employment and its impact on wages in Latin America. Revista Iberoamericana De Estudios De Desarrollo = Iberoamerican Journal of Development Studies 8: 186–215. [Google Scholar] [CrossRef]
  49. Mawejje, Joseph. 2024. Government expenditure, informality, and economic growth: Evidence from Eastern and Southern African countries. African Development Review/Revue Africaine de Développement 36: 125–38. [Google Scholar] [CrossRef]
  50. Méndez, J. S. Méndez, and Guerrero A. Llanos. 2021. De Seguro Popular a INSABI: Mayor Población Con menor Atención. Centro de Investigación Económica y Presupuestaria (CIEP). Available online: https://ciep.mx/wp-content/uploads/2021/06/evolucion_insabi-2.pdf (accessed on 1 October 2024).
  51. OECD. 2022. Key Indicators of Informality Based on Individuals and Their Households (KIIbIH): Informal Workers by Urbanisation Level. Edition 2021. Paris: OECD International Development Statistics (database). [Google Scholar] [CrossRef]
  52. OECD. 2024. OECD Employment Outlook 2024: The Net-Zero Transition and the Labour Market. Paris: OECD Publishing. [Google Scholar] [CrossRef]
  53. Oseguera, Sauri. 2022. The relationship between labor market concentration and wages in Mexico. Estudios Económicos 37: 45–102. [Google Scholar] [CrossRef]
  54. Osorio-Copete, Lina M. 2016. Reforma tributaria e informalidad laboral en Colombia: Un análisis de equilibrio general dinámico y estocástico. Ensayos Sobre Política Económica 34: 126–45. [Google Scholar] [CrossRef]
  55. Perry, Guillermo. 2007. Informality: Exit and Exclusion. Washington, DC: World Bank Publications. [Google Scholar]
  56. Pierre, Bachas, Lucie Gadenne, and Anders Jensen. 2024. Informality, Consumption Taxes, and Redistribution. The Review of Economic Studies 91: 2604–34. [Google Scholar]
  57. Quiros-Romero, M. Gabriel, Thomas F. Alexander, and M. Jennifer Ribarsky. 2021. Measuring the Informal Economy. Washington, DC: International Monetary Fund. [Google Scholar]
  58. Rigdon, E. Edward, Marko Sarstedt, and Christian M. Ringle. 2017. On comparing results from CB-SEM and PLS-SEM: Five perspectives and five recommendations. Marketing: ZFP–Journal of Research and Management 39: 4–16. [Google Scholar] [CrossRef]
  59. Robles, Ortiz David, Horacio Sánchez Bárcenas, and Luz Dary Beltrán Jaimes. 2019. La informalidad en las zonas metropolitanas de México: Un análisis de sus principales determinantes. Desarrollo y Sociedad 83: 219–62. [Google Scholar] [CrossRef]
  60. Schneider, Friedrich, and H. Enste Dominik. 2000. Shadow Economies: Size, Causes, and Consequences. Journal of Economic Literature 38: 77–114. [Google Scholar] [CrossRef]
  61. SHCP. 2020. Documento Relativo al Cumplimiento de Las Disposiciones Contenidas en el Artículo 42, Fracción I, de la ley de Presupuesto y Responsabilidad Hacendaria; PRE-CRITERIOS 2021. Available online: https://www.finanzaspublicas.hacienda.gob.mx/work/models/Finanzas_Publicas/docs/paquete_economico/precgpe/precgpe_2021.pdf (accessed on 1 July 2024).
  62. Tahir, Suleiman, Ahmadu Sanda, Dal Didia, and Baban Hasnat. 2022. The Nexus Between Taxation and Gender-Based Informality: Evidence from Nigerian Enterprise Survey Data. Journal of Applied Economic Sciences 17: 237–49. [Google Scholar]
  63. Tokman, V. E. 1977. Dinámica del Mercado de Trabajo Urbano: El Sector Informal Urbano en América Latina. Geneva: International Labour Organization. [Google Scholar]
  64. Vallanti, Giovanna, and Giuseppina Gianfreda. 2021. Informality, regulation and productivity: Do small firms escape EPL through shadow employment? Small Business Economics 57: 1383–412. [Google Scholar] [CrossRef]
  65. van Der Molen, Paul. 2016. Informal economies, state finances and surveyors. Survey Review 50: 16–25. [Google Scholar] [CrossRef]
  66. van Nguyen, Phuc, Duc Hong Vo, Toan Pham-Khanh Tran, and Ngoc Phu Tran. 2022. Public spending and informal economy in the Asian countries. Cogent Economics & Finance 10: 2101220. [Google Scholar] [CrossRef]
  67. Vázquez, Molina Joan. 2013. Modelos de Ecuaciones Estructurales en Psicología. Available online: http://hdl.handle.net/10251/44523 (accessed on 10 December 2023).
  68. Velásquez, Pinto Mario. 2017. Salario Mínimo y Empleo, Evidencia Empírica y Relevancia Para América Latina. ILO Working Papers 994969689102676. Geneva: International Labour Organization. [Google Scholar]
  69. Villena-Roldán, Benjamín. 2024. Unpacking the Persistence of Informality. Journal of Labor Research 45: 203–31. [Google Scholar] [CrossRef]
  70. Vuletin, Guillermo. 2008. Measuring the Informal Economy in Latin America and the Caribbean. IMF Working Paper No. 08/102. Available online: https://ssrn.com/abstract=1153724 (accessed on 1 October 2024).
  71. World Bank. 2024a. General Government Final Consumption Expenditure (% of GDP). World Development Indicators. January 21. Available online: https://data.worldbank.org/indicator/NE.CON.GOVT.ZS (accessed on 3 May 2024).
  72. World Bank. 2024b. Services, Value Added (% of GDP). February 16. Available online: https://data.worldbank.org/indicator/NV.SRV.TOTL.ZS?end=2022start=1960view=chart (accessed on 3 May 2024).
Figure 1. Mexico: annual GDP variation, 2010-2023; quarterly GDP, 2010/Q1-2023/Q1 (INEGI 2023b). The red color indicates negative values.
Figure 1. Mexico: annual GDP variation, 2010-2023; quarterly GDP, 2010/Q1-2023/Q1 (INEGI 2023b). The red color indicates negative values.
Economies 12 00301 g001
Figure 2. Contribution of the informal economy to Mexico’s GDP, 2003–2022 (INEGI 2023b).
Figure 2. Contribution of the informal economy to Mexico’s GDP, 2003–2022 (INEGI 2023b).
Economies 12 00301 g002
Figure 3. Unemployment rate and labor informality (OECD 2024).
Figure 3. Unemployment rate and labor informality (OECD 2024).
Economies 12 00301 g003
Figure 4. Evolution of wages: formal vs. informal, 2010 to 2023 (Government of Mexico 2024; DOF 2024). Note: Exchange rate on 31 January 2024.
Figure 4. Evolution of wages: formal vs. informal, 2010 to 2023 (Government of Mexico 2024; DOF 2024). Note: Exchange rate on 31 January 2024.
Economies 12 00301 g004
Figure 5. Path diagram of the structural model for Mexico.
Figure 5. Path diagram of the structural model for Mexico.
Economies 12 00301 g005
Figure 6. Correlation matrix.
Figure 6. Correlation matrix.
Economies 12 00301 g006
Figure 7. Standardized parameters.
Figure 7. Standardized parameters.
Economies 12 00301 g007
Table 1. Symbols for latent and observed variables in SEMs (Beaujean 2014).
Table 1. Symbols for latent and observed variables in SEMs (Beaujean 2014).
SymbolDescription
Circle
Latent Variable
An unobservable element derived from an underlying theoretical construct.
Square
Observed Variable
Represents concepts or phenomena that are directly measurable.
Straight line with one arrow
Causal relationship
Indicates a direct causal relationship between variables, where a change in one variable causes a change in another variable.
Triangle
Constant
Fixed parameters of the model.
Curved line with two arrows
←→
Correlation
Indicates a correlation relationship between two variables, where both variables vary together but no direct cause-and-effect relationship is established.
Table 2. Descriptive statistics of the variables.
Table 2. Descriptive statistics of the variables.
TAXWAGOBUNEGDPT
Min9.900.147.6652.28055.89
1st Quantile12.0011.448.7053.28058.35
Median12.8075.609.8923.90059.24
Mean13.4851.169.8694.02859.16
3rd Quantile15.1076.8111.2364.85060.06
Max17.70146.8912.2166.27061.81
T A X = taxes; W A = wages; G O B = government spending; U N E = unemployment; G D P T = tertiary sector’s contribution to the GDP.
Table 3. Structural equation model results.
Table 3. Structural equation model results.
Testp-ValueStatistic
Normality
Mardia Skewness0.0002
Mardia Kurtosis 0.47301 *
Autocorrelation
Durbin–Watson0.4561 * 1.9072
Observable variablesTAXWAGOBUNEGDPT
p (>|z|)0.000 *0.022 *0.000 *0.095
Regression model
p (>|z|) 0.005 *
Multicollinearity
VIF1.34 * 2.72 * 3.09 * 1.11 *
* Significant variables at the 95% level (p < 0.05) regression model and observable variables, VIF < 5 Multicollinearity test, Mardia’s tests indicates multivariate normality, then data follows a multivariate normality distribution at the 0.05 significance level.
Table 4. Fit indices.
Table 4. Fit indices.
IndexValueEvaluation
RMSEA0.054Good fit
GFI0.979Very Good fit
AGFI0.937Good fit
CFI0.994Very Good fit
PNFI0.475Inefficient fit
χ2/gl 1.125Good fit
TLI0.988Good fit
R M S E A = Root Mean Square Error of Approximation; G F I = Goodness of Fit Index; A G F I = Adjusted Goodness of Fit Index; C F I = Comparative Fit Index; P N F I = Parsimony Normed Fit Index; χ 2 g l = Absolute Fit Index; TLI = Tucker–Lewis Index (comparative fit index).
Disclaimer/Publisher’s Note: The statements, opinions and data contained in all publications are solely those of the individual author(s) and contributor(s) and not of MDPI and/or the editor(s). MDPI and/or the editor(s) disclaim responsibility for any injury to people or property resulting from any ideas, methods, instructions or products referred to in the content.

Share and Cite

MDPI and ACS Style

Robles Ortiz, D.; Ambriz Torres, R.A. Informal Employment, the Tertiary Sector, and the Gross Domestic Product: A Structural Equations Model for the Mexican Economy. Economies 2024, 12, 301. https://doi.org/10.3390/economies12110301

AMA Style

Robles Ortiz D, Ambriz Torres RA. Informal Employment, the Tertiary Sector, and the Gross Domestic Product: A Structural Equations Model for the Mexican Economy. Economies. 2024; 12(11):301. https://doi.org/10.3390/economies12110301

Chicago/Turabian Style

Robles Ortiz, David, and Raymundo Alexei Ambriz Torres. 2024. "Informal Employment, the Tertiary Sector, and the Gross Domestic Product: A Structural Equations Model for the Mexican Economy" Economies 12, no. 11: 301. https://doi.org/10.3390/economies12110301

APA Style

Robles Ortiz, D., & Ambriz Torres, R. A. (2024). Informal Employment, the Tertiary Sector, and the Gross Domestic Product: A Structural Equations Model for the Mexican Economy. Economies, 12(11), 301. https://doi.org/10.3390/economies12110301

Note that from the first issue of 2016, this journal uses article numbers instead of page numbers. See further details here.

Article Metrics

Back to TopTop