Next Article in Journal
International Migration of Human Resources in the Conditions of Social Transformations
Next Article in Special Issue
Do Import Tariff Adjustments Bolster Domestic Production? Analysis of the South African-Brazilian Poultry Market Case
Previous Article in Journal
National Governance Quality, COVID-19, and Stock Index Returns: OECD Evidence
Previous Article in Special Issue
The Impact of Government Expenditure in Agriculture and Other Selected Variables on the Value of Agricultural Production in South Africa (1983–2019): Vector Autoregressive Approach
 
 
Font Type:
Arial Georgia Verdana
Font Size:
Aa Aa Aa
Line Spacing:
Column Width:
Background:
Article

Is Market Power or Efficiency behind Economic Performance? The Case of the Czech Food Processing Industry

by
Zdeňka Žáková Kroupová
1,
Gabriela Trnková
2 and
Monika Roman
3,*
1
Department of Economics, Faculty of Economics and Management, Czech University of Life Sciences Prague, 165 00 Prague, Czech Republic
2
Department of Economics, Faculty of Informatics and Management, University of Hradec Králové, 500 03 Hradec Králové, Czech Republic
3
Department of Logistics, Institute of Economics and Finance, Warsaw University of Life Sciences, 02-787 Warsaw, Poland
*
Author to whom correspondence should be addressed.
Economies 2022, 10(9), 215; https://doi.org/10.3390/economies10090215
Submission received: 16 August 2022 / Revised: 30 August 2022 / Accepted: 1 September 2022 / Published: 6 September 2022

Abstract

:
This article attempts to identify the main reason for the profitability of Czech food processing companies. For this purpose, an analysis of the profitability of the food industry was carried out in the framework of the Structure–Conduct–Performance (SCP) paradigm; specifically, the relative market power (RMP) hypothesis versus the efficiency hypothesis was tested. The analysis used data at the micro-economic level of six Nomenclature of Economic Activities (NACE) sub-sectors of the Czech food processing industry in the period 2016–2020. The final dataset consisted of 2639 observations of 623 companies. The data came from the database of Bisnode Albertina and the Czech Statistical Office. Stochastic frontier analysis (SFA) and a regression model were used in the study. Based on the research carried out, performance does not seem to be explained by a greater market power represented by a firm’s market share. Only one sub-sector was proven to have a higher marginal effect of market power on profitability than technical efficiency. Thus, it can be concluded that companies with relatively larger market shares do not have greater market power and thus do not achieve higher profitability.

1. Introduction

The food industry is one of the traditional manufacturing sectors with an irreplaceable position in the food value chain. Production of food, beverages, and tobacco products in the Czech Republic contributed 2.19% to the gross added value of the national economy at current prices and 2.53% to total employment in 2019 (Mezera et al. 2020). Further, Mezera et al. (2020) mention that food production as a sector, in the European Union but also in the Czech Republic, is based on the entrepreneurial base of small- and medium-sized enterprises, but in a strong competitive environment, production concentration and specialization are promoted at the same time. The growing concentration in the Czech food industry is a result not only of increasing pressure to higher efficiency due to global competition but also due to changes in the competitive structure within the commodity chain after the entry of large multinational chains into the Czech retail market (Blažková and Dvouletý 2018).
Uncertainty in commodity markets due to the Russo-Ukrainian war, high energy, oil, and basic agricultural commodity prices will place pressure on cost savings and higher production efficiency, which may be further reflected in increased market concentration in individual food sectors. Many food companies, especially small- and medium-sized enterprises, are already reporting existential problems, which can lead to their bankruptcies. More mergers and acquisitions may also occur.
According to Blažková and Dvouletý (2017b), a higher market concentration in the Czech food industry leads to higher margins for food processing firms, which can be the result of efficiency or market power; however, in both cases, it is reflective of the better market position of processors in relation to concentrated retail in the Czech Republic. Furthermore, the market power of large enterprises may lead to lower competition and higher prices and cause welfare losses. Milczarek-Andrzejewska (2014) draws similar conclusions when analyzing agri-food industry in Poland. An analysis of the effects of market power shows that it affects market inefficiency in several ways. First, the use of market power by sellers leads to deadweight loss (Koichiro and Reguant 2016). This loss is due to allocation inefficiency because too little product is supplied at prices that are too high for consumers. Other costs related to the existence of market power on the sellers’ side result from X-inefficiency (ESX) and rent-seeking phenomena. Furthermore, market power can lead to certain benefits. These include economies of scale (if the merger of companies leads to lower costs across the entire industry) and incentives to incur research and development expenditure (without monopoly profits, companies would not finance such expenses) (Church and Ware 2000).
Digal and Ahmadi-Esfahani (2002) review the methods in the case of market power analysis on the example of the food industry. For example, Loecker et al. (2020) analyzed the increase in the market power of companies in the manufacturing, retail, and wholesale trade sectors of the United States of America. There are other thematically related studies, but there is a lack of detailed studies on the analysis of both market power, efficiency, and the performance of companies in the food industry sector in the Czech Republic.
In light of these events, the question arises of what the main profitability driver of Czech food processing companies is. Is higher profitability more associated with higher market power or a better ability to convert inputs into outputs, or is it a combination of both factors? The aim of the paper is to test the hypotheses explaining the profitability of the Czech food industry in the framework of the Structure–Conduct–Performance (SCP) paradigm, specifically the relative market power (RMP) hypothesis versus the efficiency hypothesis.
The structure of the paper is as follows. First, the theoretical background of our research is presented. Further, the technical efficiency model and estimation strategy are specified, and then the regression model, its variables, and dataset used for analysis are described. The next part is dedicated to the interpretation and discussion of the obtained results. Finally, some conclusions summarizing the main findings and implications are drawn.

2. Theoretical Background

In recent years, there has been growing concern that a trend has emerged in which markets around the world are becoming more concentrated and less competitive. Many authors (Swinnen and Vandeplas 2010; Blažková 2016; Nes et al. 2021) document the increase in market concentration and consolidation processes in the food processing industry as well. According to the Organisation for Economic Co-operation and Development (OECD 2018), there is a growing contention that big is bad and that the growth of large firms with high market shares is increasing in concentration and weakening competition, driving up profits, damaging innovation and productivity, and increasing inequality. Therefore, the analysis of the relationship between market structure and firm performance is gaining importance. Although there is a general acceptance of the positive relationship between market power and firm profitability, there is no consensus as to the causation.
The theoretical framework that explains the linkage between market power, efficiency, and performance is grounded in two basic alternative paradigms (see, for example, Berger 1995; Gumbau and Maudos 2000; Seelanatha 2010; Destiartono and Purwanti 2021). The Structure–Conduct–Performance paradigm, according to Harvard school, affirms that concentration favors the adoption of collusive agreements, thus leading to obtaining monopoly rents. Furthermore, the paradigm of efficiency structure (ES) posits that the concentration of the market is the result of greater efficiency in production.
According to the SCP hypothesis, which found its roots in industrial organization economics and was first introduced by Mason (1939) and utilized by Bain (1951), the structure of industry influences the conduct of actors within the industry, which in turn determines their performance (Bain 1956). Thus, more highly concentrated markets enable firms to collude more easily. Producers in highly concentrated industries will likely communicate with each other to jointly set the output prices and amounts to generate monopoly rents (Lelissa and Kuhil 2018). The relative market power hypothesis, which is a special case of the SCP, posited that only firms with large market shares and well-differentiated products can exercise their market power to gain superior profit on non-competitive price setting behavior (Berger 1995; Seelanatha 2010). The SCP hypothesis explains the concentration level as the proxy of market structure; meanwhile, the RMP hypothesis more emphasizes the firm´s market share. In both cases, the positive relationship between market concentration and performance (SCP), or market share and performance (RMP), is a result of the anti-competitive behavior of firms in the industry. Market power is considered as the main determinant of firm performance (Lelissa and Kuhil 2018). There are many ways to measure market power, most often using n-firm concentration ratio (CRn), Herfindahl Hirschman Index (HHI), Lerner index, entropy index, etc. Furthermore, Mala et al. (2018) and Seelanatha (2010), following Smirlock (1985), use market share as a measure of relative market share.
According to the efficiency structure hypothesis, higher profits are likely due to improved efficiency levels, but not because of greater market power (Demsetz 1973). The most efficient firms, with better organization and management of their resources, enjoy lower production costs and are more profitable, gain market share, and consequently, the concentration of the market increases. Thus, the positive relationship between profit and concentration or profit and market share results from the lower cost achieved and efficient production process (Goldberg and Rai 1996).
Early ES hypothesis studies had not used direct efficiency measures. Berger and Hannan (1993) were the first to think about explicitly integrating efficiency variables in the models. According to Seelanatha (2010), the incorporation of direct measures of efficiency captures the impact of all factors affecting the firm´s performance. Currently, the ES hypothesis is usually proposed in two different forms, X-efficiency (ESX) and scale-efficiency (ESS), depending on the type of efficiency considered. X-efficiency can be distinguished from technical and allocative efficiency (Ariyaratne et al. 2000). Technical efficiency refers to the firm’s ability to minimize input use in the production of a given output vector or the ability to obtain maximum output from a given input vector (Kumbhakar and Lovell 2000). Allocative efficiency is linked to the ability of a firm to produce at a given level of output using inputs in their optimal proportions given their respective prices or to produce an optimal combination of outputs given their respective prices (Farrell 1957). Finally, scale efficiency gives insights into whether the firm operates at the most productive scale size where the average productivity reaches a maximum level (Kounetas and Tsekouras 2007).
Berger (1995) tests all four above-mentioned hypotheses (SCP, RMP, ESX, and ESS) for the US banking sector, followed by Seelanatha (2010) for the banking sector in Sri Lanka, Chortareas et al. (2011) for the banking sector in Latin America, Mala et al. (2018) for the Indonesian banking sector, Destiartono and Purwanti (2021) for the Indonesian fertilizer industry, etc. Although these hypotheses have been applied to analyze determinants of firm performance, especially in the case of banking markets in developed and developing economies, in the case of the food processing industry, the evidence is limited. This paper, therefore, seeks to fill this gap in the empirical literature from the perspective of the relationship between market power, efficiency, and performance in the Czech food processing industry.
Within the food and beverage processing industry on the international scene, few authors deal with the issue of the relationship between market power, efficiency, and profitability, or they analyze these determinants of profitability separately. For example, Hazledine (1989) used data on all the firms in sixteen Canadian food and beverage manufacturing industries to examine intra-industry profitability differences. He found that eight industries have some form of market power, usually accompanied, however, by efficiency differences as well. Oustapassidis et al. (2000) examine the market power versus efficiency hypothesis for Greek food industries, however, without incorporation of direct efficiency measures. Their results do not provide support either for the efficiency or for the market power hypothesis alone, but they suggest that market share carries with it both efficiency and market power characteristics. Setiawan et al. (2013) extend the SCP framework by including price rigidity and investigate the relationship between industrial concentration, price rigidity, technical efficiency, and price–cost margin in the Indonesian food and beverages industry.
In the Czech environment, the authors Blažková and Dvouletý have been dealing with determinants of profitability for a long time (Blažková 2016; Blažková and Dvouletý 2017a, 2017b, 2019). However, they do not compare the effect of market power and some direct efficiency measures on performance. Blažková (2016) evaluated the market concentration in the Czech food and beverages industry over the period 2003–2014. The results show that the market concentration measured by CR4 and HHI has increased, especially in the sectors with relatively low concentration. However, Blažková (2016) emphasizes that the level of concentration of the Czech food market in the observed period was still low in comparison with the subsequent stage of the commodity chain, i.e., retail, which may cause a worse market position for food processors and disproportions in profits of processors and traders. In subsequent research, Blažková and Dvouletý (2017a, 2017b) analyze in more detail the relationship between market concentration and profitability measured by return on equity and return on assets (Blažková and Dvouletý 2017a) and between market concentration and price–cost margin (Blažková and Dvouletý 2017b) during the same period. Obtained results from both studies (Blažková and Dvouletý 2017a, 2017b) reported a positive influence of higher market concentration on profitability. In addition, the growth of the number of firms in sectors leads to a decrease in price–cost margins.
Furthermore, Blažková and Dvouletý (2017a, 2017b) state that higher market concentration in the Czech food industry leads to higher margins and profitability of food processing firms, which can be the result of efficiency or market power. This study aims to build on their research in terms of analyzing this causality, thus to investigate whether the performance of Czech food processing firms is a consequence of market power (RMP hypothesis) or efficiency (ESX hypothesis) by incorporation of a direct measure of efficiency based on stochastic frontier analysis.
Understanding the relationship between market power, efficiency, and performance is important for determining effective economic policy governing antitrust, intellectual property, industry regulation, and international trade (Blažková and Dvouletý 2017b). Chortareas et al. (2011) mention that the market power and efficient structure hypotheses have contrasting implications for regulation, particularly in relation to mergers and antitrust policies. If the evidence favors the efficient structure hypothesis, then mergers (and market concentration in general) are motivated by efficiency considerations, which should increase consumer and producer surplus. If, however, the evidence validates the market power hypotheses, it would imply that the motivation behind mergers is monopolistic price setting. As a consequence, an argument for pursuing antitrust policies emerges.

3. Methodology

The empirical analysis testing the hypothesis of performance, represented by the Return on Assets (ROA), is based on two phases. The first one employs stochastic frontier analysis (SFA) to estimate the technical efficiency of the food processing industry. The second phase employs a regression model to verify how the performance of companies in the Czech food processing industry is affected by efficiency and market power.

3.1. Technical Efficiency Model Specification and Estimation Strategy

The empirical model is specified under the assumption of the cost-minimizing behavior in the form of an input distance function (IDF) because the estimation of the IDF compared to a cost function does not require any price information, which is an important advantage of the IDF; hence, reliable input prices are not available at the firm level. Formally, the IDF is specified as (Kumbhakar et al. 2007):
D I ( x , y , t ) = max { ρ : x ρ L ( y ) } ,
where x denotes the input vector, y denotes the output vector, L(y) is the input requirement set (Caves et al. 1982), and t is a time trend variable capturing technological change (Chambers 1988).
The IDF exhibits several interesting properties. It is symmetric, monotonic, linear homogeneous, and concave in inputs and quasi-concave in outputs (Coelli and Perelman 2000). The value of the IDF measures the maximum amount by which the input vector can be deflated, given the output vector. In other words, the IDF measures the minimal proportional contraction of the input vector required to bring it to the frontier of the input requirement set for the output vector. Thus, by definition, the IDF provides a measure of technical efficiency since its reciprocal to Farrell’s (1957) input-based technical efficiency (Hailu and Veeman 2000):
T E I = 1 D I ( x , y , t )
As Irz and Thirtle (2005) add, the IDF takes a value greater or equal to one for any input–output combination (x,y) belonging to the technology set: D I ( y , x , t ) 1 . A value of greater than one indicates that the observed input–output combination is technically inefficient. A value of unity indicates that the input–output combination belongs to the input isoquant, representing the minimum input quantities necessary to produce a given output vector, and the producer is technically efficient.
For the interpretation of the IDF estimates, the duality between the cost and input distance functions is another important property. This is expressed as (Färe and Primont 1994):
C ( w , y , t ) = min x { w x : D I ( y , x , t ) 1 } ,
where w denotes an input price vector. The log derivative of the IDF with respect to mth output, obtained by the application of the envelope theorem on Equation (3), gives (Irz and Thirtle 2005):
ln D I ( x * ( w , y , t ) , y , t ) ln y m = ln C ( w , y , t ) ln y m = e m , i t
Equation (4) represents that the elasticity of the IDF with respect to the mth output is equal to the negative of the cost elasticity of that output. According to Rasmussen (2010), from these IDF elasticities, the returns to scale can be quantified:
R T S = [   e m , i t ] 1
This measure, under a certain assumption about technology and prices (Morroni 2006), informs about the percentage increase in costs in response to a 1% increase in all outputs. Thus, it can be interpreted equivalently to economies (diseconomies) of scale, which are present if costs increase by a smaller (larger) rate than output (Singbo and Larue 2016).
The elasticity of the IDF with respect to the jth input captures the relative importance of that input in the transformation process (Irz and Thirtle 2005). In terms of the log derivative of the IDF, this elasticity of the IDF with respect to the jth input (Singbo and Larue 2016) is calculated as:
ln D I ( x , y , t ) ln x j = S j , t ,
where S j , t is a cost-share of the given input.
Finally, the log derivative of the IDF with respect to time provides a dual measure of technological change with a cost-saving interpretation (Karagiannis et al. 2004):
T C H = ln D I ( x * ( w , y , t ) , y , t ) t = ln C ( w , y , t ) t
A negative value for this measure indicates technological regress and a positive value of technological progress.
The IDF can be approximated by the flexible translog functional form. In our model that employs J-inputs (x), output (y), and time (t) the translog IDF takes the following form:
ln D i t I = α 0 + α m ln y i t + 1 2 α m m ( ln y i t ) 2 + j = 1 J γ m j ln y i t ln x j , i t + j = 1 J β j ln x j , i t + 1 2 j = 1 J k = 1 K β j k ln x j , i t ln x k , i t + δ t t + 1 2 δ t t t 2 + δ m t ln y m , i t t + j = 1 J δ j t ln x j , i t t ,
where subscripts i, with i = 1, 2, …, I, and t, with t =1, …, T, refer to a certain company and year, respectively. α, β, γ, and δ are vectors of the parameters to be estimated. The symmetry property of the IDF assumes that: β j k = β k j (Tsionas et al. 2015). The linear homogeneity of degree one in inputs is imposed by dividing the inputs by one of the inputs (x1 in this case). This implies that the parameters of the IDF are restricted: j = 1 J β j = 1 ; j = 1 J β j k = 0 ; j = 1 J γ m j = 0 ; j = 1 J δ j t = 0 (Sipiläinen 2007). After this normalization, the IDF takes the following form:
ln D i t I   ln x 1 i t = α 0 + α m ln y i t + 1 2 α m m ( ln y i t ) 2 + j = 2 J γ m j ln y i t ln x ˜ j , i t + j = 2 J β j ln x ˜ j , i t + 1 2 j = 2 J k = 2 K β j k ln x ˜ j , i t ln x ˜ k , i t + δ t t + 1 2 δ t t t 2 + δ m t ln y m , i t t + j = 2 J δ j t ln x ˜ j , i t t ,
where ln x ˜ j , i t = ln x j , i t ln x 1 , i t .
The IDF specified in (9) can be extended to the stochastic frontier model by the introduction of an error term εit. Our research followed the latest approach to technical efficiency investigation (Kumbhakar et al. 2014; Colombi et al. 2014). Hence, the error term is composited from time-invariant (persistent) technical inefficiency (ηi), time-varying (transient) technical inefficiency (uit) for which holds η i + u i t = ln D i t I , latent heterogeneity (μi), and statistical error term (vit). The resulting four-error component model, named by Tsionas and Kumbhakar (2014) as the generalized true random-effects model (GTRE), can be written as:
ln x 1 , i t = α 0 + α m ln y i t + 1 2 α m m ( ln y i t ) 2 + j = 2 J β j ln x ˜ j , i t + 1 2 j = 2 J k = 2 K β j k ln x ˜ j , i t ln x ˜ k , i t + j = 2 J γ m j ln y i t ln x ˜ j , i t + δ t t + 1 2 δ t t t 2 + δ m t ln y m , i t + j = 2 J δ j t ln x ˜ j , i t t η i u i t + μ i + v i t ,
where v i t ~ N ( 0 , σ v 2 ) , u i t ~ N + ( 0 , σ u 2 ) , η i ~ N + ( 0 , σ η 2 ) ,   μ i ~ N ( 0 , σ μ 2 ) .
The GTRE model specified in (10) can be estimated by a four-step procedure that controls for the potential endogeneity of netputs (Bokusheva and Čechura 2017). In particular, this study addresses two potential sources of endogeneity—firms’ heterogeneity and the simultaneity of inputs with technical efficiency. For the four-step estimation procedure, the model is rewritten according to Kumbhakar et al. (2014):
ln x 1 , i t = α 0 * + α m ln y i t + 1 2 α m m ( ln y i t ) 2 + j = 2 J β j ln x ˜ j , i t + 1 2 j = 2 J k = 2 K β j k ln x ˜ j , i t ln x ˜ k , i t + j = 2 J γ m j ln y i t ln x ˜ j , i t + δ t t + 1 2 δ t t t 2 + δ m t ln y m , i t + j = 2 J δ j t ln x ˜ j , i t t + α i + ε i t
where α 0 * = α 0 E ( η i ) E ( u i t ) , α i = μ i ( η i E ( η i ) ) and ε i t = v i t ( u i t E ( u i t ) ) .
This specification ensures that αi and εit have zero means and constant variance. In step 1, the two-step system generalized method of moments (GMM) estimator (Arellano and Bover 1995; Blundell and Bond 1998) is used to obtain consistent estimates of the IDF parameters. The system GMM, solving the endogeneity problem and the problem of weak instruments, estimates a model in differences and levels and employs two types of instruments: the level instruments for the differenced equations and the lagged differences for the equations in levels. In particular, we used 2–3 lags for internal (GMM style) instruments. The validity of instruments is tested by the Hansen J-test, which evaluates the joint validity of the instruments, and the Arellano–Bond test for the autocorrelation, which evaluates lags as valid instruments (Roodman 2009). In step 2, residuals are used from the system GMM level equation to estimate a random effects panel model employing the generalized least squares (GLS) estimator to obtain theoretical values of α i = μ i ( η i E ( η i ) ) and ε i t = v i t ( u i t E ( u i t ) ) . In step 3, the transient technical inefficiency is estimated from the theoretical value of εit using the standard stochastic frontier technique with assumptions: v i t ~ N ( 0 , σ v 2 ) ,   u i t ~ N + ( 0 , σ u 2 ) . Finally, in step 4, the persistent technical inefficiency is estimated using the theoretical value of αi and the stochastic frontier model with the following assumptions: μ i ~ N ( 0 , σ μ 2 ) ,   η i ~ N + ( 0 , σ η 2 ) , and the overall technical efficiency (OTE) is quantified based on Kumbhakar et al. (2014):
O T E i t = exp ( η ^ i ) exp ( u ^ i t )
All these estimates are performed in the SW STATA 14.0. For code, see Kumbhakar et al. (2015) and Roodman (2009).

3.2. Regression Model and Variables

The panel data regression model was used to verify how the market power, efficiency level, and other determinants affect the performance of the Czech food processing industry.
The performance is represented by the return on assets in line with Evanoff and Fortier (1988), Seelanatha (2010), Destiartono and Purwanti (2021). ROA measures the company management ability to generate profits from the total assets of the company regardless of the way of funding. The relative market share was used to proxy the market power for examining the influence of market structure on performance and technical efficiency estimated by the SFA described above to represent the firm´s efficiency.
The market share and subsequently market concentration were calculated according to Blažková (2016) on the basis of sales data, i.e., sales of own products, services, and goods as a percentage of sales of the firm in the given sub-sector of the Czech food processing industry divided by the sum of sales of all firms in the sub-sector.
The empirical model is specified as a random effects model:
R O A i t = α + β M S M S i t + β T E T E i t + k = 1 K β k Z k , i t + ε i t ,
where ROA is return on assets, MS refers to market share, TE represents technical efficiency, and Zk represents control variable, subscripts i, with i = 1, 2, …, I, and t, with t = 1, …, T, referring to a certain company and year, respectively. α and β are vectors of the parameters to be estimated, and 𝜀 is the error that consists of two errors: within-entity error and between-entity error.
The specification of the model follows previous studies (Seelanatha 2010; Destiartono and Purwanti 2021) and includes several control variables to mitigate the omitted variable bias. In particular, the following control variables are used: the total capital intensity defined as total assets-to-output ratio, fixed capital intensity calculated as fixed assets-to-output ratio, labor intensity defined as personal cost-to-output ratio, and risk defined as debt-to-assets ratio. The specification of this model as random effects allows us to include dummy variables, e.g., for sub-sectors and size that are also mostly time invariant. However, based on the statistical significance at 10% level, only the dummy variables for size (based on the number of employees) are included in the model of the food industry performance, and to analyze the effect of inter-sector heterogeneity in our results, the model in Equation (13) is also estimated using sub-sector data. All these models are estimated by the generalized least squares (GLS) estimator in the software STATA 14.0. For more details, see Hsiao (2003).
Moreover, we employed three variants of the regression model. Model 1 tests the positive relationship between market structure and profitability; ROA is regressed on market shares, while efficiency measures are not directly considered. Model 2 adds efficiency measures and focuses on a change in the relationship between ROA and market share found by model 1. Model 3 represents a fully specified model that includes market power, efficiency, and control variables and tests the effect of market share vs. the effect of technical efficiency.
Furthermore, the concentration ratio of the four largest firms in the market and the Herfindahl–Hirschman Index (HHI) were used to better describe the market structure in the individual sub-sectors of the food industry:
C R 4 = i = 1 4 S i
H H I = i = 1 n ( S i ) 2
where Si denotes the individual market share; n denotes number of firms in the sub-sector. While the 𝐶𝑅4 index only measures the percentage of the turnover held by the four largest firms in the industry, HHI shows the inequality of distribution of market shares among all firms in the industry. According to Nes et al. (2021), HHI is often considered as a better indicator of market power than the CR4 index, because the CR4 index considers exclusively the relevance of the top four firms and disregards the distribution of market shares of a given industry. HHI index ranges from 0 (no concentration and highly competitive system) to 10,000 (pure monopoly). The thresholds for determining the competition level were taken from Naldi and Flamini (2014).

3.3. Data

The data required for estimating the IDF and the profitability model are obtained from the database Bisnode Albertina. This database collects information on all Czech business entities listed in the Register of Economic Entities. Specifically, this database contains registration information, company’s subject of activity according to Nomenclature of Economic Activities (NACE), financial statements, annual reports, and payment information.
The analysis uses micro-level data of the Czech food processing industry in the period 2016–2020. In particular, this study focuses on the following NACE:
C 10.1 Processing and preserving of meat and production of meat products;
C 10.5 Manufacture of dairy products;
C 10.6 Manufacture of grain mill products, starches, and starch products;
C 10.7 Manufacture of bakery and farinaceous products;
C 10.8 Manufacture of other food products;
C 10.9 Manufacture of prepared animal feeds.
Since not all food producers in the Bisnode Albertina database have complete information, companies with incomplete financial statements and less than three consecutive years of observations in the analyzed period are excluded from our dataset. This procedure decreases the problem associated with the entry and exit of companies from the database and allows for the use of the GMM estimator with a sufficient number of lagged instruments. The final dataset consists of 2639 observations of 623 companies. Table 1 presents the structure of the dataset based on NACE sub-sectors.
The following output and input variables are defined to estimate the IDF: output (y), represented by revenues from the sale of own products and services, revenues from sold goods, change in inventory of own products, and capitalization deflated by the NACE sub-sector index of food processing prices (2015 = 100); labor (xL), represented by the personnel costs deflated by the index of gross wages and salaries in the manufacturing industry (2015 = 100); capital (xC), represented by the book value of fixed assets deflated by the index of producer prices in the industry (2015 = 100); and material (xM), the total cost of materials and energy deflated by the index of producer prices in the industry (2015 = 100). All these price indexes are from the Czech Statistical Office.
Before the estimation, these variables were transformed to logarithm and were normalized by their sample mean. This procedure allows us to interpret the first-order parameters of the IDF as output elasticity and input cost shares, evaluated on the sample mean. Furthermore, we used the following instrumental variables for the system GMM: return on sale, share of inventories in current assets, material costs–sales ratio, and current liquidity. These variables were also obtained from the Bisnode Albertina database.

4. Results and Discussion

4.1. Food Processing Technology

The input distance function, of which the estimate1 is presented in Appendix A, Table A1, provides us the information about the technology of the Czech food industry. In particular, it informs us about the input shares, cost elasticity of output, and technological change. The input cost shares (Table 2) reveal that the Czech food industry employs highly materially intensive technology, with the labor share prevailing over the capital share. Two NACE sub-sectors can be highlighted regarding the input shares—the NACE 10.7 (Manufacture of bakery and farinaceous products), which employs the most labor-intensive and the least material-intensive technology from investigated sub-sectors, and the NACE 10.5 (Manufacture of dairy products), which technology is the least labor- and capital-intensive but the most material-intensive from the evaluated NACE sub-sectors. Moreover, in the analyzed period, these two sub-sectors exhibited the highest (NACE 10.5) and the lowest (NACE 10.7) technological regression.
The estimated elasticity of output (−0.99) and its dual measure—returns to scale (1.02)—reveal that the production process occurs almost under the optimal scale, evaluated on the sample mean. In other words, the average food processor in the sample is scale efficient. However, the inter- and intra-sectoral differences can be observed (Figure 1). Intersectorally, NACE 10.1 (processing and preserving of meat and production of meat products) exhibited the highest average returns to scale (RTS = 1.04), representing increasing returns to scale in the analyzed period. However, the movement to the optimal scale of operations has been observable in this sub-sector since 2017. Furthermore, NACE 10.6 and 10.7 (the sector with mean RTS = 0.999) exhibited the movement away from the optimal scale in the last years of the analyzed period. Intra-sectorally, the highest variability of RTS is revealed in the NACE 10.8 (manufacture of other food products), where the distribution of RTS is positively skewed.
To make the description of technology comprehensive, the technological change derived from the IDF must be added. Table 2 presents that the food industry exhibited technological regression in the analyzed period, evaluated on the sample mean. However, the second order differentiation of the translog IDF with respect to time indicates that the technological regression decelerated. Furthermore, Figure 2 presents that the negative values of technological change switched to the positive values in the middle of the analyzed period. Of the analyzed sub-sectors, the earliest such switch in the nature of technological change occurred in NACE 10.8.

4.2. Profitability, Technical Efficiency and Market Share

The previous section revealed that individual sub-sectors differ in the input shares, cost elasticity of output, and technological change. Therefore, technical efficiency, which is one of the explanatory variables of profitability, was estimated for each individual sub-sector. In addition, the influence of the market structure on profitability is examined according to individual sub-sectors. Nes et al. (2021) emphasize that for the determination of market power within a market, it is necessary to define the relevant market, which can be defined by the geographical area (Czech Republic) and product aggregation (the NACE sub-sectors).
Table 3 and Figure 3 and Figure 4 provide a general overview of the profitability, efficiency, and market power of companies in the Czech processing industry and their development. A detailed overview by individual sub-sectors is given in Appendix A in Table A2.
The best economic results expressed by the ROA indicator are achieved by the NACE 10.6 (manufacture of grain mill products, starches, and starch products) and by the NACE 10.8 (manufacture of other food products, e.g., sugar, cocoa, sweets, coffee, tea, spices and ready-to-eat meals). Similar results are also obtained by Blažková and Dvouletý (2019). Firms operating in both sub-sectors differ in terms of the mean value of the market share (10.6–2.582%, 10.8–0.835%) and its variability (see Figure 4a, which presents inter-sectoral and intra-sectoral differences in market share), which is mainly due to the different number of firms in the industry (10.6–40, 10.8–130). In the case of NACE 10.6, it is clear that there are few companies with considerably high market share. However, other indicators of market power do not indicate an uneven distribution of market shares, i.e., increased concentration in the sub-sector. Both these sectors can be described as unconcentrated markets2 (HHI < 1500) with effective competition or monopolistic competition3 (CR4 < 40%), and both these sectors achieve the highest level of technical efficiency. While NACE 10.6 is, according to currently available information from the year 2019 in the publication of Mezera et al. (2020), rather marginal from the point of view of the share of personnel costs (3.8%) or added value (4.0%) of the entire food sector, NACE 10.8. is the second most important sector in terms of share of personnel costs (22.0%) and added value (23.7%).
The least profitable sector of the Czech food processing industry was in the observed period NACE 10.7 (Manufacture of bakery and farinaceous products) and NACE 10.1 (processing and preserving of meat and production of meat products). Both sub-sectors achieve a rather lower level of technical efficiency and, according to the HHI, can be described as unconcentrated markets with the lowest mean value of the market share and its variability (10.7–0.532, 10.1–0.829; see Figure 4a) due to a large number of firms in both sub-sectors (10.7–201, 10.1–134). However, NACE 10.1 reaches CR4 below the threshold of 40 and can thus be characterized as a sector with an effective competition or monopolistic competition. NACE 10.7 moves on this boundary and can be characterized as a sector with loose oligopoly with the dominance of four companies (Penam, a.s. (Brno), La Lorraine, a.s. (Kladno), United Bakeries, a.s. (Prague), Mondelez ČR Biscuit Production s.r.o. (Prague)), which are significantly different from the others with their market share. According to Mezera et al. (2020), these are sub-sectors that belong to the main production branches of food products. They contribute the most to the personal costs (10.7–28.7% and 10.1–20.6%) and added value (10.7–20.6% and 10.1–18.6%) of the entire food sector. Almost 70% of all food industry companies in the Czech Republic operate in these two sectors.
Based on the development of all three indicators representing the market structure (relative market share, CR4, HHI), the general concentration in the Czech food processing sector has increased; however, there are differences in development between individual sub-sectors (Figure 4c,e,f). Moreover, for a better description of the development of the industry in terms of market structure, it would be necessary to have a longer time series. Similar conclusions are also reached by Blažková (2016) for the period 2003–2014. Blažková (2016) emphasizes that the level of concentration of the Czech food market is still low in comparison with the subsequent stage of the commodity chain, i.e., retail, which may cause a worse market position of food processors and traders. Taking a more detailed look at the market structure in particular sub-sectors, it is possible to state that all monitored sub-sectors can be characterized as highly competitive industries, as the value of HHI did not exceed 1500 in any of the sectors (see Table A2). The highest HHI value is reached in 10.9 (manufacture of prepared animal feeds, 781.5). According to CR4 (49.1%), this industry can be evaluated as an industry with loose oligopoly or monopolistic competition with the dominant market position of these four companies: Vafo Praha, s.r.o. (Prague), Afeed, a.s. (Hustopeče), Partner in Pet Food CZ, s.r.o. (Prague), De Heus, a.s. (Bučovice). Sub-sector 10.7 and 10.9 are the only sub-sectors where the CR4 level is higher than 40, which indicates the existence of loose oligopoly or monopolistic competition. The lowest inequality among market shares is observed by NACE 10.8 (manufacture of other food products, HHI = 265.2); the four largest firms hold only 23.1% of the market.
Table 3 also presents average values for overall technical efficiency and its parts: transient and persistent technical efficiency. Given that our model estimates input-oriented technical efficiency, these results show that companies in the food processing industry can reduce their cost by 17.1%, evaluated on the sample mean. The highest cost savings (17.9% on average) can be achieved by improving the efficiency of input transformation in NACE 10.5 (manufacture of dairy products). Furthermore, NACE 10.8 (manufacture of other food products), as was mentioned above, is revealed as the most efficient sub-sector, evaluated on sub-sector means (see Table A2 in Appendix A). However, Figure 4b declares that there are no considerable differences in overall technical efficiency among analyzed sub-sectors, both in the mean values and in the distribution. Focusing on the intra-sectoral differences in more detail, our results point out that the sub-sector with the highest variability in overall technical efficiency is NACE 10.6 (manufacture of grain mill products, starches, and starch products) followed by NACE 10.9 (manufacture of prepared animal feeds); in both cases, the variability in persistent technical efficiency contributes more strongly to this result.
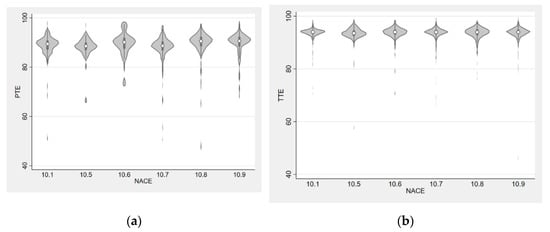
Moreover, in all sub-sectors analyzed, persistent technical inefficiency, representing structural problems in the organization of the production process or the presence of systematic shortfalls in managerial capabilities (Filippini and Greene 2016), is a more serious problem than transient technical inefficiency (Table A2 and Figure A1 in Appendix A) that relates to non-systematic management problems, shocks associated with new production technologies, and changes in human capital (Njuki and Bravo-Ureta 2015). The outliers in Figure A1 in Appendix A inform us that few companies, particularly in NACE 10.1, 10.7, and 10.8, have systematically lagged behind the sub-sectoral best practice.
Table 4 presents the estimation results of three models investigating the relationship between profitability and market power/efficiency. Model 1 explains the effects of market power on profitability without including efficiency and control variables, model 2 focuses on the impact of efficiency, and model 3 represents the fully specified model that includes market power, efficiency, and control variables. The Wald test proves that these models are statistically significant at 5% significance level; however, the R2 of models 1 and 2 are considerably low. Incorporation of the efficiency into the model does not change the sign of the market share parameter, but it affects its statistical significance. This result shows the importance of efficiency in explaining profitability (if we also estimate the model without the market share, the parameter of technical efficiency is almost unchanged; see Table A3 in Appendix A). The introduction of the control variables, in general, maintains the above results that market power and technical efficiency positively affect profitability and that efficiency is the more important source of profitability; hence, the marginal effect of efficiency is greater than the marginal effect of market power. The findings support the efficiency structure hypothesis that higher profits are likely due to improved efficiency.
The parameters of control variables are statistically significant at 5% level of significance. The total capital intensity and risk negatively affect profitability. The negative relationship between indebtedness (however expressed using debt-to-equity ratio) of Czech food companies and profitability is also observed by Blažková and Dvouletý (2018). The effects of fixed capital intensity and labor intensity on profitability are positives. Moreover, the statistical significance of dummy variables of size confirms that there are intra-industrial differences in profitability resulting from different sizes of companies. However, contrary to our expectations, the signs of size dummy parameters reveal that large companies do not capture the cost advantages over the smaller ones. An explanation for these results is provided by examining the returns to scale of food producers divided into three size groups (Table A4 in Appendix A). While medium and large companies exhibit diseconomies of scale and have to reduce the scale of their operations to gain cost advantages, small companies benefit from economies of scale.
The result that efficiency (not market share) is the main performance driver is also confirmed by the sub-sector models estimates (see Table A5 in Appendix A). Table 5 summarizes these findings and presents that a statistical significance at the 5% level and a higher marginal effect of market share are revealed only in NACE 10.9 (manufacture of prepared animal feeds). NACE 10.9 is the sector with the highest HHI value (781.5). There are companies with a relatively high market share (on average 1.7%), and at the same time, based on the CR4 concentration coefficient, it can be stated that during the monitored period, the four largest companies held an average of 49.1% of the market. It turns out that here the market share already has a significant effect on the profitability of companies in the sector; thus, it can mean non-competitive price setting behavior. To sum up, the results, with the exception of NACE 10.9, allows for the rejection of the hypothesis of collusion in the particular sub-sectors of the Czech food processing industry.

5. Conclusions

The aim of the paper was to explain the performance of Czech food processing firms in the period of 2016–2020 using market power (RMP hypothesis) and efficiency (ESX hypothesis). For this purpose, a panel data regression model was used. The analysis was based on microeconomic data obtained from the database Bisnode Albertina, and the final dataset consists of 2639 observations of 623 companies. The market power was expressed by the relative market share and efficiency by technical efficiency estimated by SFA for particular NACE sub-sectors. Part of the analysis of technical efficiency is also the determination of differences in technology, return to scales, and technological change of food processing firms. To estimate technical efficiency, the input distance function in the specification of the Generalized True Random Effect model was employed. The market structure was described by the CR4 and HHI measures as well.
Our results indicate that performance does not seem to be explained by a greater market power represented by a firm´s market share. In contrast, the ability to effectively convert inputs into outputs is the biggest driving force behind the profitability of most sectors in the food industry. With a focus on individual sub-sectors, only NACE 10.9 (manufacture of prepared animal feeds) was proven to have a higher marginal effect of market power on profitability than efficiency. Thus, the results (with the exception of NACE 10.9) allow for the rejection of the hypothesis that the firms with relatively bigger market shares have superior market power and use it to set market prices and therefore achieve higher profitability.
Based on the performed analysis, it is also possible to rank individual NACE sectors according to market structure measures, technical efficiency, and profitability. From the point of view of the market structure, all sub-sectors of the Czech food industry can be characterized according to the HHI as highly competitive industries; according to the CR4, only two sub-sectors are industries with loose oligopoly or monopolistic competition (10.9 and 10.7), and for the remaining sub-sectors, it is typical effective competition. It is possible to state that in the monitored period, there was an overall increase in market concentration in the monitored set of food processing companies, but with differences between individual sub-sectors.
The highest profitability was achieved in NACE 10.6 (manufacture of grain mill products, starches, and starch products), i.e., in the sector with the highest technical efficiency and the highest average market share. In contrast, the lowest profitability was observed for companies in NACE 10.7 (manufacture of bakery and farinaceous products), i.e., sub-sector with a rather lower level of technical efficiency and the lowest average market share. However, it must be added that there are no large differences in technical efficiency between individual sub-sectors, both in the mean values and in the distribution.
This study points to: (i) a strong competitive environment (according to the market structure measures—CR4, HHI) where firms do not form agreements and thus cannot jointly influence prices and thus their profitability (with the exception of NACE 10.9). Although concentration in the Czech food processing sector is increasing over time, as pointed out by Blažková (2016), it is probably still too low to have a significant impact on the profitability of companies; (ii) the importance of increasing the efficiency of the Czech food processing industry, as this is the main way that companies can influence their profitability.
Based on the obtained results, two recommendations for policymakers can be proposed. First, it was found that the concentration of the Czech manufacturing industry is very low, and market power in most sectors does not affect profitability. In contrast, there is a highly concentrated retail trade with foreign chains that have great market power, which is likely to increase in the future. Therefore, it will be crucial to ensure a healthy competitive environment at all levels of the agricultural and food verticals. Related to this is the adoption of the currently much-discussed amendment to the Act on Significant Market Power, which should be formulated as precisely as possible in order to consistently combat unfair business practices (for example, selling at below-cost prices or prices lower than the purchase price), protect Czech processors and not only increase the administrative burden for food companies. Support for the creation of various sales cooperatives could also increase the bargaining power of processors. From the point of view of the competitive environment, the support of so-called short supply chains can also be beneficial, although it is not mainstream, by the support of local products.
Second, in order to increase the efficiency of Czech processing companies, the policymakers should create a competitive business environment that supports knowledge transfer, product and process innovation, as well as suitable investments, e.g., building storage and processing capacities.
For further research in this area, it would be advisable to employ a longer time series and to take into account the property ties between individual enterprises of the Czech processing industry firms. In the next step of the profitability–market power–efficiency research, the authors would like to logically follow up on the results found and include the next level of the agricultural food chain, specifically retail.

Author Contributions

Conceptualization, G.T., Z.Ž.K. and M.R.; methodology, Z.Ž.K.; software, Z.Ž.K.; validation, Z.Ž.K.; formal analysis, Z.Ž.K.; investigation, G.T., Z.Ž.K. and M.R.; resources, G.T. and Z.Ž.K.; data curation, G.T.; writing—original draft preparation, G.T., Z.Ž.K. and M.R.; writing—review and editing, G.T., Z.Ž.K. and M.R.; visualization, M.R.; supervision, M.R. All authors have read and agreed to the published version of the manuscript.

Funding

This research received no external funding.

Institutional Review Board Statement

Not applicable.

Informed Consent Statement

Not applicable.

Data Availability Statement

Not applicable.

Acknowledgments

The work was supported by the internal project “SPEV–Economic Impacts under the Industry 4.0/Society 5.0 Concept”, 2022, University of Hradec Králové, Faculty of Informatics and Management, Czech Republic. The authors thank FIM student Tomáš Mlateček for continuous feedback and the final visual form of the article.

Conflicts of Interest

The authors declare no conflict of interest.

Appendix A

Figure A1. Violin plot of persistent technical efficiency in % (PTE) (a) and transient technical efficiency in % (TTE) (b). Source: own calculations.
Figure A1. Violin plot of persistent technical efficiency in % (PTE) (a) and transient technical efficiency in % (TTE) (b). Source: own calculations.
Economies 10 00215 g0a1
Table A1. IDF estimates.
Table A1. IDF estimates.
ln_xCCoef.Std. Err.P > |t|
ln_y−0.9870.0100.000
ln_xL0.2300.0210.000
ln_xM0.7050.0180.000
t0.0080.0030.004
ln_y_2−0.0240.0200.223
ln_xL_20.1380.0540.010
ln_xM_20.1430.0430.001
ln_yxL−0.0490.0230.032
ln_yxM0.0660.0220.003
ln_xLxM−0.1150.0500.021
t_2−0.0250.0020.000
ln_yt0.0020.0020.254
ln_xLt−0.0050.0050.300
ln_xMt0.0070.0070.310
_cons−0.0720.0280.010
Tests p-value
F-test4026.370F [14,622]0.000
AR(2)−0.870 0.384
Hansen102.010Chi2[83]0.077
Wald test of second order parameters19.180F [10,622]0.000
Number of instruments98
Number of groups623
Source: Own calculations.
Table A2. Profitability in %, market share in %, technical efficiency in %, and concentration. Source: own calculations.
Table A2. Profitability in %, market share in %, technical efficiency in %, and concentration. Source: own calculations.
10.110.510.610.710.810.9
Return on assets4.1675.2425.9442.2975.8054.376
Market share0.8291.8412.5820.5320.8351.653
Hefindahl–Hirschman Index433.294570.319521.548512.976265.206781.525
CR434.53639.01836.97840.31023.07649.048
Transient technical efficiency93.63893.41993.64093.41993.60293.550
Persistent technical efficiency88.57587.82689.23787.91189.42589.284
Overall technical efficiency82.97882.07983.57982.17183.74583.577
Table A3. Model 4 estimates. Source: own calculations.
Table A3. Model 4 estimates. Source: own calculations.
ROAModel 4
Coef.Std.Err.P > |z|
Market share
Overall technical efficiency1.0430.0600.000
Constant−0.8220.0500.000
Rho0.464
R20.094
Wald test298.41Chi2[1]0.000
Table A4. Returns to scale in size groups. own calculations.
Table A4. Returns to scale in size groups. own calculations.
SmallMediumLarge
MeanStd. Dev.MeanStd. Dev.MeanStd. Dev.
Returns to scale1.0380.0570.9810.0360.9450.034
Table A5. Estimation results by sub-sector. own calculations.
Table A5. Estimation results by sub-sector. own calculations.
ROA10.110.5 10.6
Coef.Std.Err.P > |z|Coef.Std.Err.P > |z|Coef.Std.Err.P > |z|
Market share0.9570.7070.1762.7250.8020.0010.3540.8040.660
Overall technical efficiency1.3110.1840.0002.1940.2690.0001.4290.2670.000
Total capital intensity−0.0150.0120.211−0.0320.0240.185−0.0660.0440.137
Fixed capital intensity0.0330.0140.0220.0910.0270.0010.0530.0460.258
Labor intensity−0.4421.6050.783−0.8214.9650.8690.6500.4940.188
Risk−0.0010.0000.000−0.0010.0000.000
D_small0.0680.0450.1320.1690.0640.008
D_medium0.0710.0420.0900.1550.0600.010−0.0440.0510.391
Constant−1.0360.1620.000−1.8810.2550.000−1.1010.2220.000
Rho0.300 0.719 0.643
R20.362 0.228 0.248
Wald test221.95Chi2[8]0.000131.92Chi2[8]0.00032.32Chi2[6]0.000
10.710.810.9
Coef.Std.Err.P > |z|Coef.Std.Err.P > |z|Coef.Std.Err.P > |z|
Market share−0.1970.6320.7551.0730.9960.2810.7820.3040.010
Overall technical efficiency1.3090.1230.0000.8110.1410.0000.550.1620.001
Total capital intensity−0.0220.0140.132−0.0010.0090.878−0.0120.0060.036
Fixed capital intensity0.0350.0160.0290.0010.0130.9350.0130.0070.081
Labor intensity0.2480.0910.0070.3380.4650.4670.5880.3770.119
Risk−0.0010.0000.000−0.0020.0000.000−0.0010.0000.000
D_small0.0810.0500.1020.0870.0490.0800.0580.0490.233
D_medium0.0550.0470.2440.0560.0430.1870.0460.0460.312
Constant−1.0800.1170.000−0.6190.1360.000−0.4110.1600.010
Rho0.397 0.576 0.284
R20.176 0.206 0.216
Wald test192.57Chi2[8]0.000113.13Chi2[8]0.00055.96Chi2[8]0.000

Notes

1
The estimated IDF fulfills the theoretical and econometrical assumptions. The signs of the first-order coefficients show that the estimated IDF is non-increasing in output and non-decreasing in inputs at the sample mean since all variables in the logarithm are normalized by their sample mean. That is, monotonicity conditions are fulfilled at the sample mean. Moreover, the IDF is concave in inputs and quasi-concave in outputs. The appropriate specification of the IDF in trans-log form is confirmed by the Wald test at 5% significance level, and the majority of parameters are statistically significant at 5% significance level. In addition, the AR(2) test and the Hansen‘s J-test statistics confirm the validity of GMM estimates.
2
According to Naldi and Flamini (2014), the thresholds for HHI for determination of the competition level are as follows: 0 < 1500—unconcentrated markets, 1500–2500—moderately concentrated markets, >2500 highly concentrated markets.
3
According to Naldi and Flamini (2014), the thresholds for CR4 for determination of the competition level are as follows: 0%—perfect competition, 0–40% effective competition or monopolistic competition, 40–60% loose oligopoly or monopolistic competition, >60% tight oligopoly or dominant firm with a competitive fringe.

References

  1. Arellano, Manuel, and Olympia Bover. 1995. Another look at the instrumental variable estimation of error-components models. Journal of Econometrics 68: 29–51. [Google Scholar] [CrossRef]
  2. Ariyaratne, Chatura B., Allen M. Featherstone, Michael R. Langemeier, and David G. Barton. 2000. Measuring X-Efficiency and Scale Efficiency for a Sample of Agricultural Cooperatives. Agricultural and Resource Economics Review 29: 198–7. [Google Scholar] [CrossRef]
  3. Bain, Joe S. 1951. Relation of Profit Rate to Industry Concentration: American Manufacturing, 1936–1940. The Quarterly Journal of Economics 65: 293–324. [Google Scholar] [CrossRef]
  4. Bain, Joe S. 1956. Barriers to New Competition. Cambridge: Harvard University Press. [Google Scholar] [CrossRef]
  5. Berger, Allen N. 1995. The Profit-Structure Relationship in Banking—Tests of Market-Power and Efficient-Structure Hypotheses. Journal of Money, Credit and Banking 27: 404–31. [Google Scholar] [CrossRef]
  6. Berger, Allen N., and Timothy H. Hannan. 1993. Using Efficiency Measures to Distinguish Among Alternative Explanations of the Structure-Performance Relationship in Banking. Managerial Finance 23: 6–31. [Google Scholar] [CrossRef]
  7. Bisnode Albertina. 2022. Albertina CZ Gold Edition. Version 5.3.7.0. Prague: Dun&Bradstreet Czech Republic, a.s. [Google Scholar]
  8. Blažková, Ivana. 2016. Convergence of Market Concentration: Evidence from Czech Food Processing Sectors. AGRIS On-Line Papers in Economics and Informatics 8: 25–36. [Google Scholar] [CrossRef]
  9. Blažková, Ivana, and Ondřej Dvouletý. 2017a. Drivers of ROE and ROA in the Czech food industry in the context of market concentration. Agris On-Line Papers in Economics and Informatics 9: 3–14. [Google Scholar] [CrossRef]
  10. Blažková, Ivana, and Ondřej Dvouletý. 2017b. Is the price-cost margin affected by the market concentration? Evidence from the Czech food and bevarages industry. BEH—Business and Economic Horizons 13: 256–69. [Google Scholar] [CrossRef]
  11. Blažková, Ivana, and Ondřej Dvouletý. 2018. The causes of firm performance variation in the Czech food processing industry in the context of the outlier effect. Management Research Review 41: 968–86. [Google Scholar] [CrossRef]
  12. Blažková, Ivana, and Ondřej Dvouletý. 2019. Investigating the differences in entrepreneurial success through the firm-spefic factors: Microeconomic evidence from the Czech food industry. Journal of Entrepreneurship in Emerging Economies 11: 154–76. [Google Scholar]
  13. Blundell, Richard, and Stephen Bond. 1998. Initial conditions and moment restrictions in dynamic panel data models. Journal of Econometrics 87: 115–43. [Google Scholar] [CrossRef]
  14. Bokusheva, Raushan, and Lukáš Čechura. 2017. Evaluating Dynamics, Sources and Drivers of Productivity Growth at the Farm Level. OECD Food, Agriculture and Fisheries Papers, No. 106. Paris: OECD Publishing. 64p. [Google Scholar] [CrossRef]
  15. Caves, Douglas W., Laurits R. Christensen, and Erwin W. Diewert. 1982. The Economic Theory of Index Numbers and the Measurement of Input, Output, and Productivity. Econometrica 50: 1393–414. [Google Scholar] [CrossRef]
  16. Chambers, Robert G. 1988. Applied Production Analysis: A Dual Approach. New York: Cambridge University Press. 331p. [Google Scholar]
  17. Chortareas, Georgios E., Jesus G. Garza-Garcia, and Claudia Girardone. 2011. Banking sector performance in Latin America: Market power versus efficiency. Review of Development Economies 15: 307–25. [Google Scholar] [CrossRef]
  18. Church, Jeffrey, and Roger Ware. 2000. Industrial Organization. A Strategic Approach. New York: McGraw-Hill Irwin. [Google Scholar]
  19. Coelli, Timothy, and Sergio Perelman. 2000. Technical Efficiency of European railways: A Distance Function Approach. Applied Economics 32: 1967–76. [Google Scholar] [CrossRef]
  20. Colombi, Roberto, Subal C. Kumbhakar, Gianmaria Martini, and Giorgio Vittadini. 2014. Closed-skew normality in stochastic frontiers with individual effects and long/short-run efficiency. Journal of Productivity Analysis 42: 123–36. [Google Scholar] [CrossRef]
  21. Demsetz, Harold. 1973. Industry structure, market rivalry, and public policy. The Journal of Law and Economics 16: 1–9. [Google Scholar] [CrossRef]
  22. Destiartono, Mohamad Egi, and Evi Yulia Purwanti. 2021. Market power or efficiency? An empirical study on the Indonesian fertilizer industry. Journal Ekonomi dan Bisnis 24: 361–78. [Google Scholar] [CrossRef]
  23. Digal, Lary N., and Fredoun Z. Ahmadi-Esfahani. 2002. Market power analysis in the retail food industry: A survey of methods. The Australian Journal of Agricultural and Resource Economics 46: 559–84. [Google Scholar] [CrossRef]
  24. Evanoff, Douglas D., and Diana L. Fortier. 1988. Re-evaluation of the Structure-Conduct Performance Paradigm in Banking. Journal of Financial Services Research 1: 277–94. [Google Scholar] [CrossRef]
  25. Färe, Rolf, and Daniel Primont. 1994. The Unification of Ronald W. Shephard’s Duality Theory. Journal of Economics 60: 199–207. [Google Scholar] [CrossRef]
  26. Farrell, Michael J. 1957. The Measurement of Productive Efficiency. Journal of the Royal Statistical Society 120: 253–90. [Google Scholar] [CrossRef]
  27. Filippini, Massimo, and William Greene. 2016. Persistent and Transient Productive Inefficiency: A Maximum Simulated Likelihood Approach. Journal of Productivity Analysis 45: 187–96. [Google Scholar] [CrossRef]
  28. Goldberg, Lawrence G., and Anoop Rai. 1996. The structure-peformance relationship for European banking. Journal of Banking and Finance 20: 745–71. [Google Scholar] [CrossRef]
  29. Gumbau, Mercedes, and Joaquín Maudos. 2000. Profitability, Market Structure and Efficiency: An Application to the Spanish Industry. Working Papers. Serie EC 2000-05; València: Instituto Valenciano de Investigaciones Económicas, S.A. (Ivie). [Google Scholar]
  30. Hailu, Atakelty, and Terrence S. Veeman. 2000. Environmentally Sensitive Productivity Analysis of the Canadian Pulp and Paper Industry, 1959–1994: An Input Distance Function Approach. Journal of Environmental Economics and Management 40: 251–74. [Google Scholar] [CrossRef]
  31. Hazledine, Tim. 1989. Market power or relative efficiency? an examination of profitability performance in the Canadian food and beverage sector. Agribusiness 5: 25–42. [Google Scholar] [CrossRef]
  32. Hsiao, Cheng. 2003. Analysis of Panel Data. New York: Cambridge University Press, pp. 34–41. [Google Scholar]
  33. Irz, Xavier, and Colin Thirtle. 2005. Dual Technological Development in Botswana Agriculture: A Stochastic Input Distance Function Approach. Journal of Agricultural Economics 55: 455–78. [Google Scholar] [CrossRef]
  34. Karagiannis, Gannis, Peter Midmore, and Vangelis Tzouvelekas. 2004. Parametric Decomposition of Output Growth Using a Stochastic Input Distance Function. American Journal of Agricultural Economics 86: 1044–57. [Google Scholar] [CrossRef]
  35. Koichiro, Ito, and Mar Reguant. 2016. Sequential Markets, Market Power, and Arbitrage. American Economic Review 106: 1921–57. [Google Scholar] [CrossRef]
  36. Kounetas, Kostas, and Kostas Tsekouras. 2007. Measuring Scale Efficiency Change Using a Translog Distance Function. International Journal of Business and Economics 6: 63–69. [Google Scholar]
  37. Kumbhakar, Subal C., and Knox C. A. Lovell. 2000. Stochastic Frontier Analysis. Cambridge: Cambridge University Press. [Google Scholar] [CrossRef]
  38. Kumbhakar, Subal C., Gudbrand Lien, and J. Brian Hardaker. 2014. Technical efficiency in competing panel data models: A study of Norwegian grain farming. Journal of Productivity Analysis 41: 321–37. [Google Scholar] [CrossRef]
  39. Kumbhakar, Subal C., Hung-Jen Wang, and Alan P. Horncastle. 2015. A Practitioner’s Guide to Stochastic Frontier Analysis Using Stata. New York: Cambridge University Press, pp. 274–78. [Google Scholar]
  40. Kumbhakar, Subal C., Luis Orea, Ana Rodriguez-Álvarez, and Efthymios G. Tsionas. 2007. Do we estimate an input or an output distance function? An application of the mixture approach to European railways. Journal of Productivity Analysis 27: 87–100. [Google Scholar] [CrossRef]
  41. Lelissa, Tesfaye Boru, and Abdurezak Mohammed Kuhil. 2018. The structure conduct performance model and competing hypothesis—A review of literature. Research Journal of Finance and Accounting 9: 76–89. [Google Scholar]
  42. Loecker, Jan Doe, Jan Eeckhout, and Gabriel Unger. 2020. The rise of market power and the macroeconomic implications. The Quarterly Journal of Economics 135: 561–644. [Google Scholar] [CrossRef]
  43. Mala, Chajar Matari Fath, Ahmad Rodoni, and Bahrul Yaman. 2018. Market Power and Efficiency of Islamic Banking and Conventional Banking in Indonesia. Global Review of Islamic Economics and Business 6: 131–43. [Google Scholar] [CrossRef]
  44. Mason, Edward S. 1939. Price and Production Policies of Large-Scales Enterprises. American Economic Review 29: 61–74. [Google Scholar]
  45. Mezera, Josef, Martin Plášil, and Zdeňka Náglová. 2020. Panorama Potravinářského Průmyslu 2019 [Panorama of the Food Industry 2019]. Prague: Ministry of Agriculture of the Czech Republic. [Google Scholar]
  46. Milczarek-Andrzejewska, Dominika. 2014. Zagadnienie siły w Ekonomii—Na Przykładzie Sektora Rolno-Spożywczego w Polsce. Warsaw: Institute of Rural and Agricultural Development Polish Academy of Sciences. [Google Scholar]
  47. Morroni, Mario. 2006. Knowledge, Scale and Transactions in the Theory of the Firm. New York: Cambridge University Press. 372p. [Google Scholar]
  48. Naldi, Maurizio, and Marta Flamini. 2014. The CR4 Index and the Interval Estimation of the Herfindahl-Hirschman Index: An Empirical Comparison. SSRN Electronic Journal 6: 1–11. [Google Scholar] [CrossRef]
  49. Nes, Kjersti, Liesbeth Colen, and Pavel Ciaian. 2021. Market Power in Food Industry in Selected EU Member States. Luxembourg: Publications Office of the European Union. [Google Scholar]
  50. Njuki, Eric, and Boris E. Bravo-Ureta. 2015. The Economic Costs of Environmental Regulation in U.S. Dairy Farming: A Directional Distance Function Approach. American Journal of Agricultural Economics 97: 1087–106. [Google Scholar] [CrossRef]
  51. OECD. 2018. Market Concentration—Issues Paper by the Secretariat. Available online: https://one.oecd.org/document/DAF/COMP/WD(2018)46/en/pdf (accessed on 4 May 2022).
  52. Oustapassidis, Kostats, Aspassia Vlachvei, and Ourania Notta. 2000. Efficiency and Market Power in Greek Food Industries. American Journal of Agricultural Economics 82: 623–29. [Google Scholar] [CrossRef]
  53. Rasmussen, Svend. 2010. Scale efficiency in Danish agriculture: An input distance-function approach. European Review of Agricultural Economics 37: 335–67. [Google Scholar] [CrossRef]
  54. Roodman, David. 2009. How to do xtabond2: An introduction to difference and system GMM in Stata. Stata Journal 9: 86–136. [Google Scholar] [CrossRef]
  55. Seelanatha, Lalith. 2010. Market structure, efficiency and performance of banking industry in Sri Lanka. Banks and Bank Systems 5: 20–31. [Google Scholar]
  56. Setiawan, Maman, Grigorios Emvalomatis, and Alfons Oude Lansink. 2013. Structure, conduct, and performance: Evidence from the Indonesian food and beverages industry. Empirical Economies 45: 1149–65. [Google Scholar] [CrossRef]
  57. Singbo, Alphonse, and Bruno Larue. 2016. Scale Economies, Technical Efficiency, and the Sources of Total Factor Productivity Growth of Quebec Dairy Farms. Canadian Journal of Agricultural Economics/Revue Canadienne d’Agroeconomie 64: 339–63. [Google Scholar] [CrossRef]
  58. Sipiläinen, Timo. 2007. Sources of productivity growth on Finnish dairy farms—Application of input distance function. Acta Agriculturae Scandinavica Section C 4: 65–67. [Google Scholar] [CrossRef]
  59. Smirlock, Michael. 1985. Evidence on the (Non) Relationship between Concentration and Profitability in Banking. Journal of Money, Credit and Banking 17: 69–83. [Google Scholar] [CrossRef]
  60. Swinnen, Johan F. M., and Anneleen Vandeplas. 2010. Market power and rents in global supply chain. Agricultural Economics 41: 109–20. [Google Scholar] [CrossRef]
  61. Tsionas, Efthymios G., and Subal C. Kumbhakar. 2014. Firm heterogeneity, persistent and transient technical inefficiency: A generalized true random-effects model. Journal of Applied Econometrics 29: 110–32. [Google Scholar] [CrossRef]
  62. Tsionas, Efthymios G., Subal C. Kumbhakar, and Emir Malikov. 2015. Estimation of Input Distance Functions: A System Approach. American Journal of Agricultural Economics 97: 1478–93. [Google Scholar] [CrossRef] [Green Version]
Figure 1. Violin plot (a) and the development (b) of returns to scale. Source: own calculation.
Figure 1. Violin plot (a) and the development (b) of returns to scale. Source: own calculation.
Economies 10 00215 g001
Figure 2. Technological change development. Source: own calculation.
Figure 2. Technological change development. Source: own calculation.
Economies 10 00215 g002
Figure 3. Violin plots of return on assets in % (ROA) (a) and development of ROA in % (b). Source: own calculation.
Figure 3. Violin plots of return on assets in % (ROA) (a) and development of ROA in % (b). Source: own calculation.
Economies 10 00215 g003
Figure 4. Violin plots of market share in % (MS) (a) and overall technical efficiency in % (OTE) (b) and development of market share (c), TE (d), and Hefindahl–Hirschman Index (HHI) (e), and CR4 (f). Source: own calculation.
Figure 4. Violin plots of market share in % (MS) (a) and overall technical efficiency in % (OTE) (b) and development of market share (c), TE (d), and Hefindahl–Hirschman Index (HHI) (e), and CR4 (f). Source: own calculation.
Economies 10 00215 g004
Table 1. Structure of the dataset. Source: Bisnode Albertina (2022).
Table 1. Structure of the dataset. Source: Bisnode Albertina (2022).
NACENumber of CompaniesNumber of Observations
10.1134555
10.558258
10.640162
10.7201854
10.8130544
10.963266
Table 2. Technology description. Source: own calculations.
Table 2. Technology description. Source: own calculations.
Estimated Sample MeanNACE Sub-Sector with the Lowest MeanNACE Sub-Sector with the Highest Mean
Labor-share23.0%10.510.7
Material-share70.5%10.710.5
Capital-share6.5%10.510.9
Output-elasticity−0.98710.110.7
Technological change−0.00810.510.7
Table 3. Profitability, market share, technical efficiency, and concentration. Source: own calculations.
Table 3. Profitability, market share, technical efficiency, and concentration. Source: own calculations.
Estimated Sample MeanNACE Sub-Sector with the Lowest MeanNACE Sub-Sector with the Highest Mean
Return on assets4.13%10.710.6
Market share1.02%10.710.6
Hefindahl–Hirschman Index478.7010.810.9
CR437.16%10.810.9
Transient technical efficiency93.53%10.510.6
Persistent technical efficiency88.57%10.510.8
Overall technical efficiency82.88%10.510.8
Table 4. The estimation results of profitability model. Source: own calculations.
Table 4. The estimation results of profitability model. Source: own calculations.
ROAModel 1Model 2 Model 3
Coef.Std.Err.P > |z|Coef.Std.Err.P > |z|Coef.Std.Err.P > |z|
Market share0.4060.2010.0430.3080.1940.1120.5640.2250.012
Overall technical efficiency 1.0390.0600.0001.0690.0650.000
Total capital intensity −0.0090.0050.044
Fixed capital intensity 0.0170.0050.001
Labor intensity 0.1950.0620.002
Risk −0.0010.0000.000
D_small 0.0640.0200.001
D_medium 0.0500.0190.008
Constant0.0380.0050.000−0.8220.0500.000−0.8610.0600.000
Rho0.447 0.463 0.426
R20.004 0.096 0.209
Wald test4.090Chi2[1]0.043301.02Chi2[2]0.000579.91Chi2[8]0.000
Table 5. Sub-sectors comparison. Source: own calculations.
Table 5. Sub-sectors comparison. Source: own calculations.
10.110.510.610.710.810.9
Coef.Coef.Coef.Coef.Coef.Coef.
Market share0.9572.7250.354−0.1971.0730.782 ***
Overall technical efficiency1.311 ***2.194 ***1.429 ***1.309 ***0.811 ***0.550 ***
Note: *** significant at α = 1%.
Publisher’s Note: MDPI stays neutral with regard to jurisdictional claims in published maps and institutional affiliations.

Share and Cite

MDPI and ACS Style

Žáková Kroupová, Z.; Trnková, G.; Roman, M. Is Market Power or Efficiency behind Economic Performance? The Case of the Czech Food Processing Industry. Economies 2022, 10, 215. https://doi.org/10.3390/economies10090215

AMA Style

Žáková Kroupová Z, Trnková G, Roman M. Is Market Power or Efficiency behind Economic Performance? The Case of the Czech Food Processing Industry. Economies. 2022; 10(9):215. https://doi.org/10.3390/economies10090215

Chicago/Turabian Style

Žáková Kroupová, Zdeňka, Gabriela Trnková, and Monika Roman. 2022. "Is Market Power or Efficiency behind Economic Performance? The Case of the Czech Food Processing Industry" Economies 10, no. 9: 215. https://doi.org/10.3390/economies10090215

APA Style

Žáková Kroupová, Z., Trnková, G., & Roman, M. (2022). Is Market Power or Efficiency behind Economic Performance? The Case of the Czech Food Processing Industry. Economies, 10(9), 215. https://doi.org/10.3390/economies10090215

Note that from the first issue of 2016, this journal uses article numbers instead of page numbers. See further details here.

Article Metrics

Back to TopTop