Cryptocurrencies and Tokens Lifetime Analysis from 2009 to 2021
Abstract
1. Introduction
2. Methodology
2.1. Concept of the Time-to-Event Data Analysis
2.2. Comparison of Two or More Groups of Survival Data
2.3. Cox Proportional Hazards Model (CPHM)
2.4. Aalen Additive Hazards Model (AAHM)
- is the vector of observations
- is the design matrix with ith row given by
- is the vector of parameter functions
- is the vector of martingales (error terms) each with mean zero.
- Weights 1: , that is is a diagonal matrix with each element of the main diagonal equals to unit.
- Weights 2: where is the number of individuals at risk at time .
- Weights 3: where is the Kaplan–Meier estimate of the survival function at time for and .
- Weights 4: where is the kth diagonal element of the variance-covariance matrix (11). Hence, is a diagonal matrix whose main diagonal elements are the ratio of the Kaplan–Meier estimates of the survival function at time and the standard error of the Aalen estimate of the parameter function of interest at time .
2.5. Dataset
3. Results and Interpretation
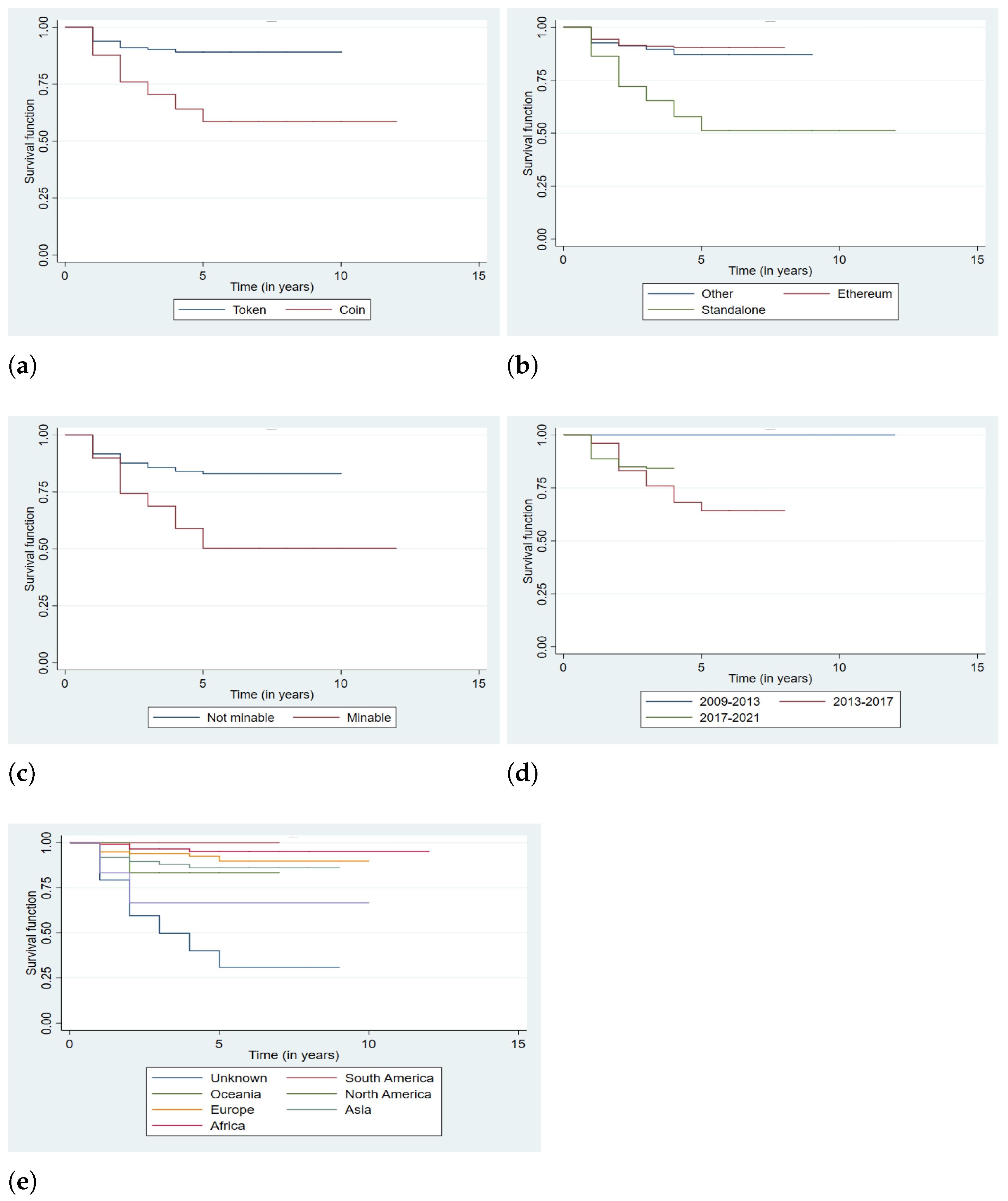
3.1. Cox Proportional Hazards Model (CPHM)
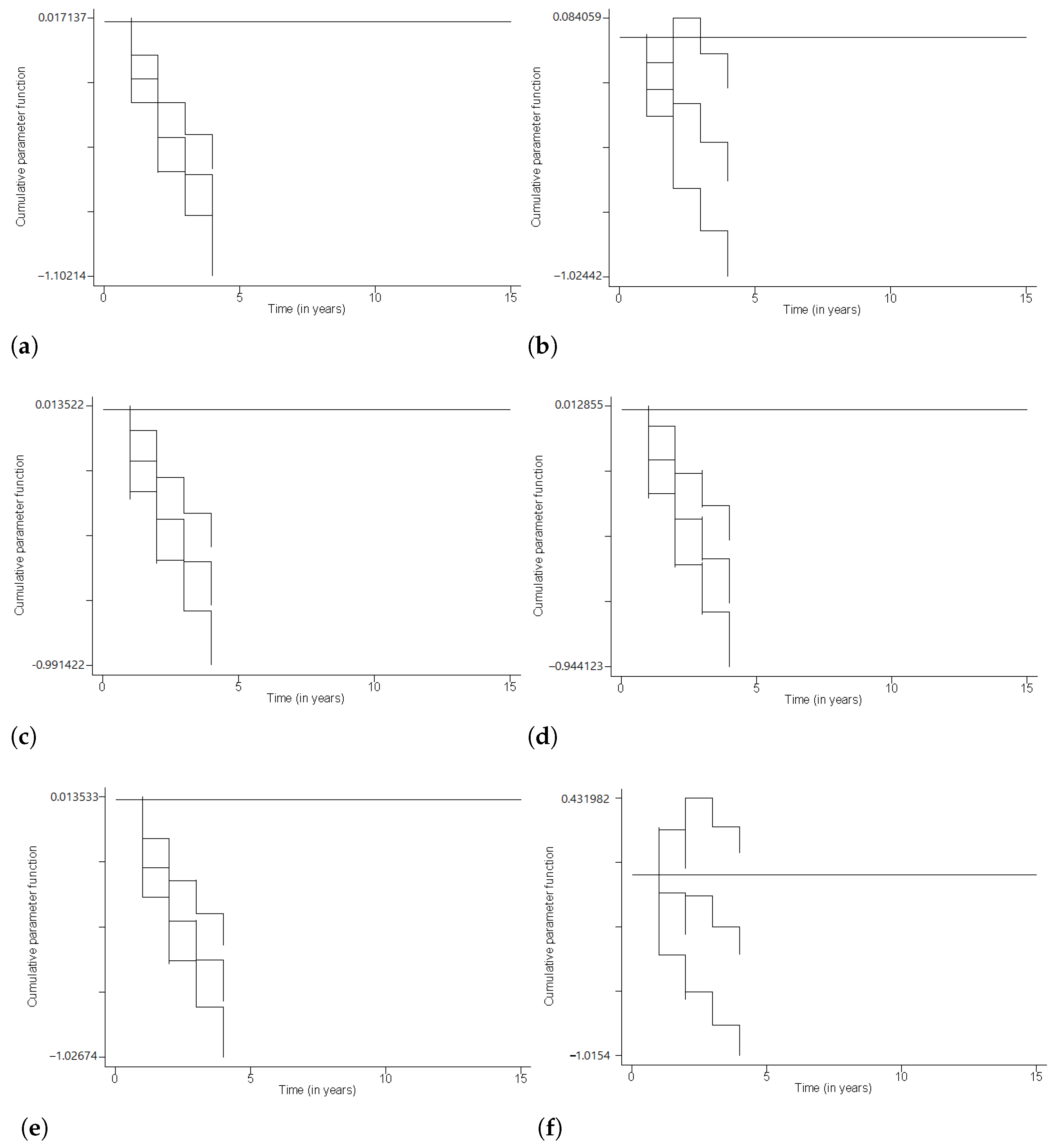
3.2. Aalen Additive Hazards Model (AAHM)
4. Conclusions
Author Contributions
Funding
Institutional Review Board Statement
Informed Consent Statement
Data Availability Statement
Acknowledgments
Conflicts of Interest
References
- Aalen, Odd Olai, Ørnulf Borgan, and Håkon Kristian Gjessing. 2008. Survival and Event History Analysis. New York: Springer. [Google Scholar]
- Angela, Scott-Briggs. 2016. Ten types of digital currencies and how they work. Online Trading: Free Introductory eBook 2016: 24. [Google Scholar]
- Azimli, Asil. 2020. The impact of COVID-19 on the degree of dependence and structure of risk-return relationship: A quantile regression approach. Finance Research Letters 36: 101648. [Google Scholar] [CrossRef] [PubMed]
- Blundell-Wignall, Adrian. 2014. The Bitcoin question: Currency versus trust-less transfer technology. In OECD Working Papers on Finance, Insurance and Private Pensions, No 37. Paris: OECD Publishing. [Google Scholar]
- Breslow, Norman Edward. 1974. Covariance analysis of censored survival data. Biometrics 30: 89–99. [Google Scholar] [CrossRef] [PubMed]
- Chan, Stephen, Jeffrey Chu, Saralees Nadarajah, and Joerg Osterrieder. 2017. A statistical analysis of cryptocurrencies. Journal of Risk and Financial Management 10: 12. [Google Scholar] [CrossRef]
- Collet, David. 2003. Modeling Survival Data in Medical Research, 2nd ed. London: Chapman & Hall. [Google Scholar]
- Cox, David Roxbee. 1972. Regression models and life-tables (with discussion). Journal of the Royal Statistical Society, Series B 34: 187–220. [Google Scholar]
- De Best, Raynor. 2022. Number of cryptocurrencies worldwide. Statista 1: 2022. [Google Scholar]
- Efron, Bradley. 1977. The efficiency of Cox’s likelihood function for censored data. Journal of the American Statistical Association 72: 557–65. [Google Scholar] [CrossRef]
- Gatabazi, Paul, and Gaëtan Kabera. 2015. Survival Analysis and Its Stochastic Process Approach with Application to Diabetes Data. Johannesburg: University of Johannesburg. [Google Scholar]
- Gatabazi, Paul, Jules Clement Mba, and Edson Pindza. 2019a. Analysis of Cryptocurrencies Adoption Using Fractional Grey Lotka-Volterra Models. Johannesburg: University of Johannesburg. [Google Scholar]
- Gatabazi, Paul, Jules Clement Mba, and Edson Pindza. 2019b. Fractional Grey Lotka-Volterra model with application to cryptocurrencies adoption. Chaos: An Interdisciplinary Journal of Nonlinear Science 29: 073116. [Google Scholar] [CrossRef] [PubMed]
- Gatabazi, Paul, Jules Clement Mba, and Edson Pindza. 2019c. Modeling cryptocurrencies transaction counts using variable-order fractional grey Lotka-Volterra dynamical system. Chaos Solitons & Fractals 127: 283–90. [Google Scholar]
- Gatabazi, Paul, Jules Clement Mba, Edson Pindza, and Coenraad Labuschagne. 2019d. Grey Lotka-Volterra model with application to cryptocurrencies adoption. Chaos, Solitons & Fractals 122: 47–57. [Google Scholar]
- Gatabazi, Paul, Melesse Sileshi Fanta, and Shaun Ramroop. 2019e. Resampled Cox proportional hazards model for the infant mortality at the Kigali University Teaching Hospital. The Open Public Health Journal 12: 136–44. [Google Scholar] [CrossRef]
- Gatabazi, Paul, Melesse Sileshi Fanta, and Shaun Ramroop. 2018. Multiple events model for the infant mortality at Kigali University Teaching Hospital. The Open Public Health Journal 11: 464–73. [Google Scholar] [CrossRef][Green Version]
- Gatabazi, Paul, Melesse Sileshi Fanta, and Shaun Ramroop. 2020a. Comparison of three classes of marginal risk set model in predicting infant mortality among newborn babies at Kigali University Teaching Hospital, Rwanda, 2016. BMC Pediatrics 20: 62. [Google Scholar] [CrossRef] [PubMed]
- Gatabazi, Paul, Melesse Sileshi Fanta, and Shaun Ramroop. 2020b. Some Statistical Methods in Analysis of Single and Multiple Events with Application to Infant Mortality Data. KwaZulu Natal: University of KwaZulu Natal. [Google Scholar]
- Hendrickson, Joshua, Thomas Hogan, and William Luther. 2016. The political economy of Bitcoin. Economics Inquiry 54: 925–39. [Google Scholar] [CrossRef]
- Hosmer, David, Stanley Lemeshow, and Susanne May. 2008. Regression Modeling of Time-to-Event Data, 2nd ed. Haboken: John Wiley & Sons Inc. [Google Scholar]
- Hosmer, David, and Patrick Royston. 2002. Using Aalen’s linear hazards model to investigate time-varying effects in the proportional hazards regression model. The STATA Journal 2: 331–50. [Google Scholar] [CrossRef]
- Klein, John, and Melvin Moeschberger. 2003. Techniques for Censored and Truncated Data, 2nd ed. New York: Springer. [Google Scholar]
- Mba, Jules Clement, and Qing-Guo Wang. 2019. Multi-Period Portfolio Optimization: A Differential Evolution Copula-Based Approach. Johannesburg: University of Johannesburg. [Google Scholar]
- Mulaik, Stanley. 2009. Foundations of Factor Analysis, 2nd ed. Boca Raton: Chapman & Hall/CRC. [Google Scholar]
- Thul, Joaquin. 2021. El Salvador legalises Bitcoin: Hype or breakthrough? Infocus Macro Comment 9: 2021. [Google Scholar]
- Urquhart, Andrew. 2016. The inefficiency of Bitcoin. Economics Letters 148: 80–82. [Google Scholar] [CrossRef]
- Wu, Ke, Spencer Wheatley, and Didier Sornette. 2018. Classification of cryptocurrency coins and tokens by the dynamics of their market capitalizations. Royal Sosiety Open Science 5: 180381. [Google Scholar] [CrossRef]
- Xiao, Hui, Xiong Xiong, and Weiwei Chen. 2021. Introduction to the special issue on impact of COVID-19 and cryptocurrencies on the global fnancial market. Financial Innovation 7: 27. [Google Scholar] [CrossRef]
- Youssef, Manel, Khaled Mokni, and Ahdi Noomen Ajmi. 2021. Dynamic connectedness between stock markets in the presence of the COVID-19 pandemic: Does economic policy uncertainty matter? Financial Innovation 7: 13. [Google Scholar] [CrossRef] [PubMed]




| p-Value (P) | Interpretation | 
|---|---|
| No evidence to reject the null hypothesis | |
| Slight evidence against the null hypothesis | |
| Moderate evidence against the null hypothesis | |
| Strong evidence against the null hypothesis | |
| Overwhelming evidence against the null hypothesis | 
| Variable | Description | Code/Value/Unit | 
|---|---|---|
| Type | The type of a cryptocurrency | |
| Blockchain | Indicator of the type of blockchain of a cryptocurrency | |
| Series | Indicator on when a cryptocurrency was released | (2009–2013) | 
| (2013–2017) | ||
| (2017–2021) | ||
| Mining | Indicator on whether a cryptocurrency is minable or not | |
| Region | Region in which a cryptocurrency’ s’headquarters are based | |
| Variable | Log-Rank Test Statistic (p-Value) | Wilcoxon Test Statistic (p-Value) | 
|---|---|---|
| Type | 42.02 () | 35.45 () | 
| Blockchain | 66.90 () | 55.62 () | 
| Mining | 32.22 () | 22.34 () | 
| Series | 13.10 (0.001) | 8.04 (0.018) | 
| Region | 153.49 () | 132.03 () | 
| Covariate (Reference) | Level | Haz. Ratio | Std. Err. | z | P > z | 95% Conf. Int. | 
|---|---|---|---|---|---|---|
| Type (Token) | Coin | 0.737 | 0.350 | −0.640 | 0.521 | [0.290; 1.872] | 
| Blockchain (Other) | Ethereum | 0.798 | 0.382 | −0.470 | 0.638 | [0.312; 2.041] | 
| Standalone | 2.771 | 1.159 | 2.440 | 0.015 | [1.221; 6.288] | |
| Series (Series 1) | Series 2 | 2.840 | 0.671 | |||
| Series 3 | 0.952 | 1.450 | 0.424 | [1.413; 3.624] | ||
| Mining (Not minable) | Minable | 0.855 | 0.208 | −0.640 | 0.520 | [0.530; 1.378] | 
| Region (Unknown) | South America | 0.396 | −0.562 | 0.741 | [0.067; 0.201]. | |
| Oceania | 0.402 | 0.414 | −0.880 | 0.377 | [0.053; 3.031] | |
| North America | 0.148 | 0.059 | −4.800 | [0.068; 0.322] | ||
| Europe | 0.230 | 0.068 | −4.980 | [0.129; 0.410] | ||
| Asia | 0.075 | 0.036 | −5.370 | [0.029; 0.193] | ||
| Africa | 0.755 | 0.554 | −0.380 | 0.702 | [0.179; 3.182] | 
| Test 1 | Test 2 | Test 3 | Test 4 | ||||||
|---|---|---|---|---|---|---|---|---|---|
| Covariate (Reference) | Level | z | P | z | P | z | P | z | P | 
| Type (Token) | Coin | −0.477 | 0.634 | 0.004 | 0.997 | −0.385 | 0.700 | −2.229 | 0.026 | 
| Blockchain (Other) | Ethereum | −0.451 | 0.652 | −0.437 | 0.662 | −0.510 | 0.610 | 7.230 | |
| Standalone | 3.098 | 0.002 | 2.712 | 0.007 | 2.907 | 0.004 | 5.196 | ||
| Series (Series 1) | Series 2 | 6.114 | 6.052 | 6.090 | 5.558 | ||||
| Series 3 | 6.519 | 6.524 | 6.526 | 7.719 | |||||
| Mining (Not minable) | Minable | −0.324 | 0.746 | −0.754 | 0.451 | −0.448 | 0.654 | 0.990 | 0.322 | 
| Region (Unknown) | South America | −7.367 | −7.784 | −7.487 | −7.365 | ||||
| Oceania | −2.956 | 0.003 | −2.935 | 0.003 | −2.984 | 0.003 | −7.153 | ||
| North America | −5.895 | −6.312 | −5.985 | −6.110 | |||||
| Europe | −5.332 | −5.661 | −5.403 | −5.497 | |||||
| Asia | −6.327 | −6.837 | −6.471 | −6.353 | |||||
| Africa | −1.468 | 0.142 | −1.339 | 0.181 | −1.418 | 0.156 | −7.350 | ||
| Publisher’s Note: MDPI stays neutral with regard to jurisdictional claims in published maps and institutional affiliations. | 
© 2022 by the authors. Licensee MDPI, Basel, Switzerland. This article is an open access article distributed under the terms and conditions of the Creative Commons Attribution (CC BY) license (https://creativecommons.org/licenses/by/4.0/).
Share and Cite
Gatabazi, P.; Kabera, G.; Mba, J.C.; Pindza, E.; Melesse, S.F. Cryptocurrencies and Tokens Lifetime Analysis from 2009 to 2021. Economies 2022, 10, 60. https://doi.org/10.3390/economies10030060
Gatabazi P, Kabera G, Mba JC, Pindza E, Melesse SF. Cryptocurrencies and Tokens Lifetime Analysis from 2009 to 2021. Economies. 2022; 10(3):60. https://doi.org/10.3390/economies10030060
Chicago/Turabian StyleGatabazi, Paul, Gaëtan Kabera, Jules Clement Mba, Edson Pindza, and Sileshi Fanta Melesse. 2022. "Cryptocurrencies and Tokens Lifetime Analysis from 2009 to 2021" Economies 10, no. 3: 60. https://doi.org/10.3390/economies10030060
APA StyleGatabazi, P., Kabera, G., Mba, J. C., Pindza, E., & Melesse, S. F. (2022). Cryptocurrencies and Tokens Lifetime Analysis from 2009 to 2021. Economies, 10(3), 60. https://doi.org/10.3390/economies10030060
 
         
                                                

 
       