Sustainable GIoT-Based Mangrove Monitoring System for Smart Coastal Cities with Energy Harvesting from SMFCs
Abstract
1. Introduction
2. Design and Assembly of Sedimentary Microbial Fuel Cell
2.1. Materials
2.2. SMFC Fabrication
3. GIoT-Based Monitoring System
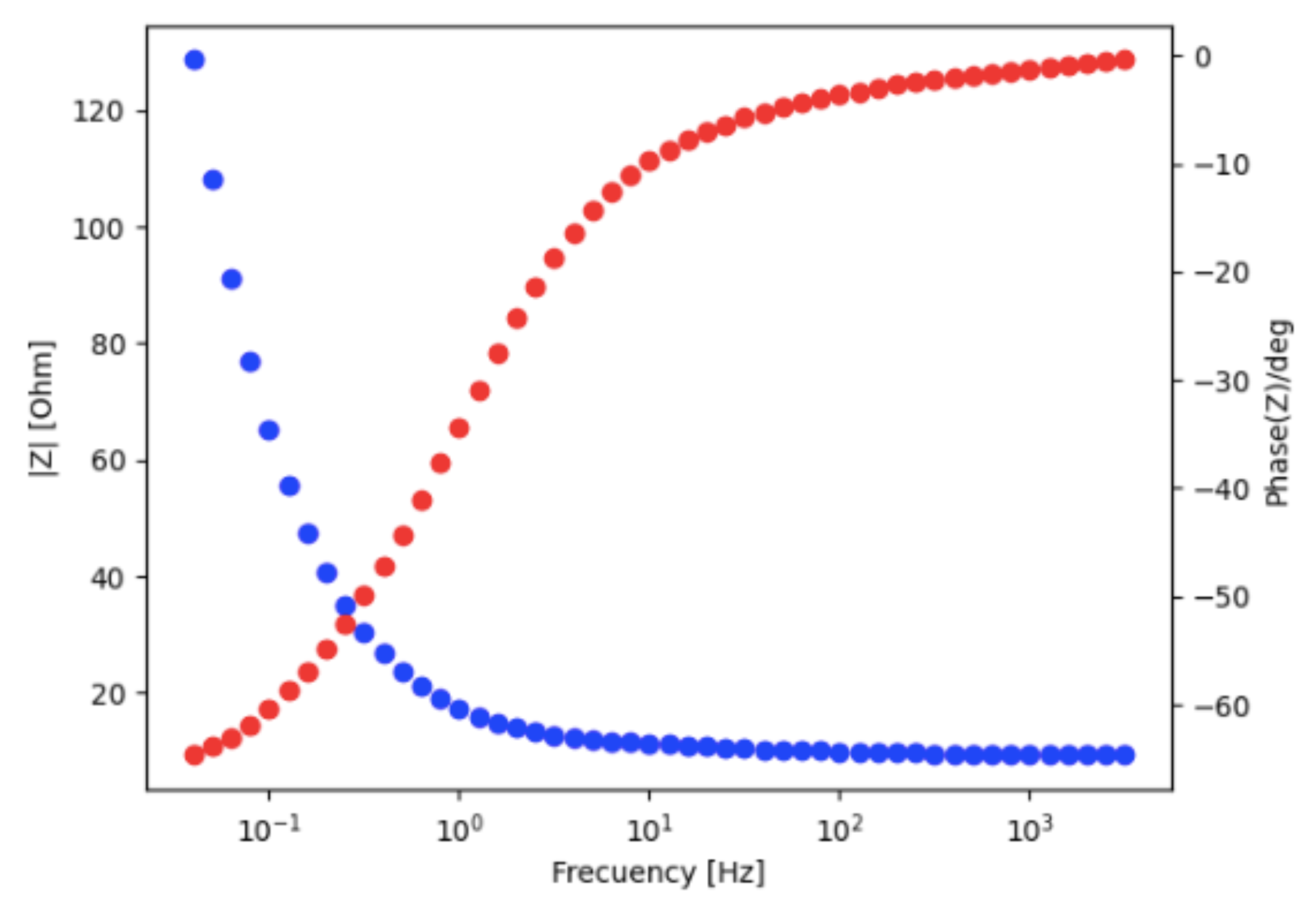
3.1. SMFC Characterization
3.2. Wireless Sensing Node Design
3.3. BLE-LoRa Wireless Sensor Network Framework
3.4. Power Management Strategy
3.5. Energy Harvesting Circuit
4. Experimental Results
4.1. SMFC Power Generation Results
4.2. Sensing Node’s Energy Consumption Results
- DPM-1: Energy = 1 node × baseline consumption per hour × 12 h = 6.85 mWh
- DPM-2: Energy = 2 node × baseline consumption per hour × 4 h = 4.56 mWh
- DPM-3: Energy = 3 node × baseline consumption per hour × 4 h = 6.85 mWh
- DPM-4: Energy = 4 node × baseline consumption per hour × 4 h = 9.13 mWh
4.3. Sustainability Analysis and Interpretation
5. Discussion
6. Conclusions
Author Contributions
Funding
Data Availability Statement
Acknowledgments
Conflicts of Interest
References
- Almalki, F.A.; Alsamhi, S.H.; Sahal, R.; Hassan, J.; Hawbani, A.; Rajput, N.S.; Saif, A.; Morgan, J.; Breslin, J. Green IoT for Eco-Friendly and Sustainable Smart Cities: Future Directions and Opportunities. Mob. Netw. Appl. 2023, 28, 178–202. [Google Scholar] [CrossRef]
- Malik, A.; Kushwah, R. A Survey on Next Generation IoT Networks from Green IoT Perspective. Int. J. Wirel. Inf. Netw. 2022, 29, 36–57. [Google Scholar] [CrossRef]
- Patel, B.; Vasa, J.; Mewada, H. Exploring GreenIoT’s technical landscape: Sustainable development, deployment, use case and research challenges. e-Prime-Adv. Electr. Eng. Electron. Energy 2024, 9, 100703. [Google Scholar] [CrossRef]
- Tuysuz, M.F.; Trestian, R. From serendipity to sustainable green IoT: Technical, industrial and political perspective. Comput. Netw. 2020, 182, 107469. [Google Scholar] [CrossRef]
- Pandiyan, P.; Saravanan, S.; Kannadasan, R.; Krishnaveni, S.; Alsharif, M.H.; Kim, M.K. A comprehensive review of advancements in green IoT for smart grids: Paving the path to sustainability. Energy Rep. 2024, 11, 5504–5531. [Google Scholar] [CrossRef]
- Alalwan, A.A.; Baabdullah, A.M.; Dwivedi, Y.K.; Al-Sulaiti, K.I.; Khoualdi, K.; Albanna, H. Utilization of green internet of things (GIoT) applications towards sustainable performance: The antecedents and consequences of carbon footprint. J. Clean. Prod. 2024, 467, 142956. [Google Scholar] [CrossRef]
- Sam, K.; Zabbey, N.; Gbaa, N.D.; Ezurike, J.C.; Okoro, C.M. Towards a framework for mangrove restoration and conservation in Nigeria. Reg. Stud. Mar. Sci. 2023, 66, 103154. [Google Scholar] [CrossRef]
- Friess, D.A.; Rogers, K.; Lovelock, C.E.; Krauss, K.W.; Hamilton, S.E.; Lee, S.Y.; Lucas, R.; Primavera, J.; Rajkaran, A.; Shi, S. The State of the World’s Mangrove Forests: Past, Present, and Future. Annu. Rev. Environ. Resour. 2019, 44, 89–115. [Google Scholar] [CrossRef]
- Singh, J.; Kaur, R.; Singh, D. Energy harvesting in wireless sensor networks: A taxonomic survey. Int. J. Energy Res. 2021, 45, 118–140. [Google Scholar] [CrossRef]
- Williams, A.J.; Torquato, M.F.; Cameron, I.M.; Fahmy, A.A.; Sienz, J. Survey of Energy Harvesting Technologies for Wireless Sensor Networks. IEEE Access 2021, 9, 77493–77510. [Google Scholar] [CrossRef]
- Sanislav, T.; Mois, G.D.; Zeadally, S.; Folea, S.C. Energy Harvesting Techniques for Internet of Things (IoT). IEEE Access 2021, 9, 39530–39549. [Google Scholar] [CrossRef]
- León Ávila, B.Y.; García Vázquez, C.A.; Pérez Baluja, O.; Cotfas, D.T.; Cotfas, P.A. Energy harvesting techniques for wireless sensor networks: A systematic literature review. Energy Strategy Rev. 2025, 57, 101617. [Google Scholar] [CrossRef]
- Calautit, K.; Nasir, D.; Hughes, B.R. Low power energy harvesting systems: State of the art and future challenges. Renew. Sustain. Energy Rev. 2021, 147, 111230. [Google Scholar] [CrossRef]
- Bao, X.; Jiang, Y.; Han, L.; Xu, X.; Zhu, H. Distributed dynamic scheduling algorithm of target coverage for wireless sensor networks with hybrid energy harvesting system. Sci. Rep. 2024, 14, 27931. [Google Scholar] [CrossRef]
- Scarpulla, M.A.; McCandless, B.; Phillips, A.B.; Yan, Y.; Heben, M.J.; Wolden, C.; Xiong, G.; Metzger, W.K.; Mao, D.; Krasikov, D.; et al. CdTe-based thin film photovoltaics: Recent advances, current challenges and future prospects. Sol. Energy Mater. Sol. Cells 2023, 255, 112289. [Google Scholar] [CrossRef]
- Miyasaka, T.; Kulkarni, A.; Min, G.; Öz, S.; Jena, A. Perovskite Solar Cells: Can We Go Organic-Free, Lead-Free, and Dopant-Free? Adv. Energy Mater. 2020, 10, 1902500. [Google Scholar] [CrossRef]
- Donovan, C.; Dewan, A.; Peng, H.; Heo, D.; Beyenal, H. Power management system for a 2.5W remote sensor powered by a sediment microbial fuel cell. J. Power Sources 2011, 196, 1171–1177. [Google Scholar] [CrossRef]
- Sunkur, R.; Kantamaneni, K.; Bokhoree, C.; Rathnayake, U.; Fernando, M. Mangrove mapping and monitoring using remote sensing techniques towards climate change resilience. Sci. Rep. 2024, 14, 6949. [Google Scholar] [CrossRef] [PubMed]
- Wu, Y.; Lu, C.; Wu, K.; Gao, W.; Yang, N.; Lin, J. Advancements and trends in mangrove species mapping based on remote sensing: A comprehensive review and knowledge visualization. Glob. Ecol. Conserv. 2025, 57, e03408. [Google Scholar] [CrossRef]
- Luk, S.Y.; Sajjad, M. From space to screen: Recent advances in remote sensing for mangrove valuation through a bibliometric lens. Ocean Coast. Manag. 2025, 269, 107844. [Google Scholar] [CrossRef]
- Yaqoob, A.A.; Ibrahim, M.N.M.; Guerrero-Barajas, C. Modern trend of anodes in microbial fuel cells (MFCs): An overview. Environ. Technol. Innov. 2021, 23, 101579. [Google Scholar] [CrossRef]
- Zhang, Y.; Naafs, B.D.A.; Huang, X.; Song, Q.; Xue, J.; Wang, R.; Zhao, M.; Evershed, R.P.; Pancost, R.D.; Xie, S. Variations in wetland hydrology drive rapid changes in the microbial community, carbon metabolic activity, and greenhouse gas fluxes. Geochim. Cosmochim. Acta 2022, 317, 269–285. [Google Scholar] [CrossRef]
- Feregrino-Rivas, M.; Ramirez-Pereda, B.; Estrada-Godoy, F.; Cuesta-Zedeño, L.F.; Rochín-Medina, J.J.; Bustos-Terrones, Y.A.; Gonzalez-Huitron, V.A. Performance of a sediment microbial fuel cell for bioenergy production: Comparison of fluvial and marine sediments. Biomass Bioenergy 2023, 168, 106657. [Google Scholar] [CrossRef]
- Abdollahpoor, H.D.; Rahimnejad, M.; Mashkour, M.; Oh, S.E.; Soavi, F. Optimizing power generation in sediment microbial fuel cells through multi-electrode configurations. J. Taiwan Inst. Chem. Eng. 2024, 105809. [Google Scholar] [CrossRef]
- Umaz, R.; Garrett, C.; Qian, F.; Li, B.; Wang, L. A Power Management System for Multianode Benthic Microbial Fuel Cells. IEEE Trans. Power Electron. 2017, 32, 3562–3570. [Google Scholar] [CrossRef]
- Emalya, N.; Munawar, E.; Suhendrayatna, S.; Fathanah, U.; Yunardi, Y. An overview of recent advances in sediment microbial fuel cells for wastewater treatment and energy production. IOP Conf. Ser. Earth Environ. Sci. 2021, 922, 012002. [Google Scholar] [CrossRef]
- Hu, X.; Sobotka, D.; Czerwionka, K.; Zhou, Q.; Xie, L.; Makinia, J. Effects of different external carbon sources and electron acceptors on interactions between denitrification and phosphorus removal in biological nutrient removal processes. J. Zhejiang Univ. Sci. B 2018, 19, 305–316. [Google Scholar] [CrossRef]
- Wang, H.; Ye, Y.; Zhang, J.; Ning, H.; Xiang, Y.; Song, X.; Zhao, W.; Guo, F. Power performance improvement in sediment microbial fuel cells: Recent advances and future challenges. Int. J. Hydrog. Energy 2023, 48, 24426–24446. [Google Scholar] [CrossRef]
- Kubota, K.; Watanabe, T.; Maki, H.; Kanaya, G.; Higashi, H.; Syutsubo, K. Operation of sediment microbial fuel cells in Tokyo Bay, an extremely eutrophicated coastal sea. Bioresour. Technol. Rep. 2019, 6, 39–45. [Google Scholar] [CrossRef]
- Lobato, J.; González del Campo, A.; Fernández, F.J.; Cañizares, P.; Rodrigo, M.A. Lagooning microbial fuel cells: A first approach by coupling electricity-producing microorganisms and algae. Appl. Energy 2013, 110, 220–226. [Google Scholar] [CrossRef]
- Tremouli, A.; Martinos, M.; Lyberatos, G. The Effects of Salinity, pH and Temperature on the Performance of a Microbial Fuel Cell. Waste Biomass Valor. 2017, 8, 2037–2043. [Google Scholar] [CrossRef]
- Li, L.H.; Sun, Y.M.; Yuan, Z.H.; Kong, X.Y.; Li, Y. Effect of temperature change on power generation of microbial fuel cell. Environ. Technol. 2013, 34, 1929–1934. [Google Scholar] [CrossRef] [PubMed]
- Villaseñor-Camacho, J.; Rodríguez-Romero, L.; Fernández-Marchante, C.; Fernández-Morales, F.; Rodrigo-Rodrigo, M. The salinity effects on the performance of a constructed wetland-microbial fuel cell. Ecol. Eng. 2017, 107, 1–7. [Google Scholar] [CrossRef]
- Kim, G.Y.; Park, K.; Lee, G.S.; Kim, S.R.; Hong, S.H.; Um, I.K.; Yu, S. Physical properties of Quaternary sediments from the western South Korea Plateau, East Sea. Quat. Int. 2022, 631, 115–127. [Google Scholar] [CrossRef]
- Song, N.; Jiang, H.L. Effects of initial sediment properties on start-up times for sediment microbial fuel cells. Int. J. Hydrog. Energy 2018, 43, 10082–10093. [Google Scholar] [CrossRef]
- Livi, L.F.; Catani, J. A new remote monitor and control system based on SigFox IoT network. Rev. Sci. Instrum. 2021, 92, 094705. [Google Scholar] [CrossRef]
- Almuhaya, M.A.M.; Jabbar, W.A.; Sulaiman, N.; Abdulmalek, S. A Survey on LoRaWAN Technology: Recent Trends, Opportunities, Simulation Tools and Future Directions. Electronics 2022, 11, 164. [Google Scholar] [CrossRef]
- Baumgardt, A.; Bachheibl, F.; Gerling, D. Utilization of the battery recovery effect in hybrid and electric vehicle applications. In Proceedings of the 2014 17th International Conference on Electrical Machines and Systems (ICEMS), Hangzhou, China, 22–25 October 2014; pp. 254–260. [Google Scholar] [CrossRef]













| Stages | Single-Sensing Node Energy Consumption per Hour | Mangrove GIoT Network Energy Consumption per Hour Spatial-DPM Strategy |
|---|---|---|
| Sleep + peripherals off | 5.85 μWh | 11.7 μWh |
| Active (all sensors) | 3.16 mWh | 6.32 mWh |
| BLE Tx | 24.72 mWh | 49.44 mWh |
| Average consumption | 0.571 mWh | 1.142 mWh |
| Parameters | Time (Days) | |||||||
|---|---|---|---|---|---|---|---|---|
| 1 | 2 | 3 | 4 | 5 | 6 | 7 | 8 | |
| SMFC electrode voltage (mV) | 204 | 198 | 196 | 201 | 195 | 197 | 196 | 194 |
| Average supercap voltage (V) | 5.1 | 4.9 | 4.85 | 4.93 | 4.89 | 4.94 | 4.91 | 4.92 |
| Supercap energy (J) | 1.35 | 1.21 | 1.18 | 1.22 | 1.21 | 1.22 | 1.21 | 1.21 |
| Number of Tx lossed packets per day | 2 | 1 | 0 | 3 | 2 | 1 | 2 | 4 |
| Packed delivery ratio (PDR) per day (%) | 97.91 | 98.95 | 100 | 96.87 | 97.91 | 98.95 | 97.91 | 95.83 |
| Average pH per day | 8.35 | 8.17 | 8.4 | 8.28 | 8.21 | 8.33 | 8.41 | 8.26 |
| Average conductivity per day (μS/cm) | 134 | 132 | 135 | 131 | 129 | 132 | 130 | 128 |
| Average temperature per day (°C) | 26.9 | 28.7 | 26.7 | 27.4 | 28.1 | 27.5 | 26.8 | 27.6 |
| System Features | [17] | [18] | [19] | [24] | [25] | [26] | Our Study |
|---|---|---|---|---|---|---|---|
| Energy source | SMFC | — | — | SMFC | SMFC | SMFC | SMFC |
| Monitoring system | Sensor network | SPOT-5 | IKONOS, LIDAR | — | — | — | GIoT |
| Power generation | 3.4 mW/m2 | — | — | 394 μW/m2 | 32 mW/m2 | 49 mW/m2 | 15.1 mW/m2 |
| Sensor node consumption | 2.5 W | — | — | — | — | — | 1.45 mW |
| Communication protocol | — | — | — | — | — | — | BLE-LoRa |
| Mangrove analysis | — | Indirect (NDVI, EVI) | Mangrove type classification | — | — | — | Mangrove health (Temp, pH, EC) |
Disclaimer/Publisher’s Note: The statements, opinions and data contained in all publications are solely those of the individual author(s) and contributor(s) and not of MDPI and/or the editor(s). MDPI and/or the editor(s) disclaim responsibility for any injury to people or property resulting from any ideas, methods, instructions or products referred to in the content. |
© 2025 by the authors. Licensee MDPI, Basel, Switzerland. This article is an open access article distributed under the terms and conditions of the Creative Commons Attribution (CC BY) license (https://creativecommons.org/licenses/by/4.0/).
Share and Cite
Castillo-Atoche, A.; García, N.C.; Atoche-Enseñat, R.; Estrada-López, J.J.; Quijano-Cetina, R.; Chávez, L.; Vázquez-Castillo, J.; Castillo-Atoche, A. Sustainable GIoT-Based Mangrove Monitoring System for Smart Coastal Cities with Energy Harvesting from SMFCs. Technologies 2025, 13, 549. https://doi.org/10.3390/technologies13120549
Castillo-Atoche A, García NC, Atoche-Enseñat R, Estrada-López JJ, Quijano-Cetina R, Chávez L, Vázquez-Castillo J, Castillo-Atoche A. Sustainable GIoT-Based Mangrove Monitoring System for Smart Coastal Cities with Energy Harvesting from SMFCs. Technologies. 2025; 13(12):549. https://doi.org/10.3390/technologies13120549
Chicago/Turabian StyleCastillo-Atoche, Andrea, Norberto Colín García, Ramón Atoche-Enseñat, Johan J. Estrada-López, Renan Quijano-Cetina, Luis Chávez, Javier Vázquez-Castillo, and Alejandro Castillo-Atoche. 2025. "Sustainable GIoT-Based Mangrove Monitoring System for Smart Coastal Cities with Energy Harvesting from SMFCs" Technologies 13, no. 12: 549. https://doi.org/10.3390/technologies13120549
APA StyleCastillo-Atoche, A., García, N. C., Atoche-Enseñat, R., Estrada-López, J. J., Quijano-Cetina, R., Chávez, L., Vázquez-Castillo, J., & Castillo-Atoche, A. (2025). Sustainable GIoT-Based Mangrove Monitoring System for Smart Coastal Cities with Energy Harvesting from SMFCs. Technologies, 13(12), 549. https://doi.org/10.3390/technologies13120549

