Abstract
In this research, we mainly increase the adhesion of PMMA substrate and film, which is reflected in the environmental test. This study used plasma-enhanced atomic layer deposition (PEALD) to find the relationship between the intensity of XRD reflection peak and the root-mean-square surface roughness (σRMS) of hafnium dioxide (HfO2) at different thicknesses by reducing the plasma power at different process temperatures. In this experiment, HfO2 was found to have the highest intensity of XRD at its maximum thickness. According to the different intensities of XRD of HfO2 at different thicknesses, aluminum oxide (Al2O3) was inserted as crystallization cutoff layers, and the two materials were combined into nanolaminates. The corresponding σRMS value also changed from 1.25 to 0.434 nm after treatment under the fourth experimental design. This study improved this mismatch between interfaces by adjusting the yield strength and ductility using Al2O3 layers and by creating an inhibition layer. In addition, through the processing of inserted Al2O3 layers, the degree of crystallization was changed so that the material and substrate could maintain their normal surfaces without cracking after the environmental tests. After inserting five 1 nm thick Al2O3 layers, the environmental test results were improved. The test time was increased from the original 56 h to 352 h.
1. Introduction
Modern optoelectronic technology products are changing every day. Because of the continuous optimization of optical components, substrates of various shapes are produced [1]. In this respect, the high difficulty of processing traditional glass substrates has led to the greater use of plastic substrates. However, the application of plastic substrates faces several problems. For example, the limitations of plastic substrates themselves include low environmental tolerance, such as their easy yellowing in ultraviolet environments, bad adhesion, easy absorption of water vapor, and high coefficient of thermal expansion (CTE). These last three problems notably cause great trouble to coatings. Plastic substrates gradually replace glass substrates primarily because glass substrates are difficult to process into special-shaped surfaces. However, when these nonplanar substrates are coated to increase their optical performance, the optical performance often decreases. This is because traditional and physical vapor deposition (PVD) technologies have their directivity and can easily cause gradients on nonplanar surfaces. Such inhomogeneous thickness results in different property losses at different locations [2]. Compared with some coating technologies, atomic layer deposition (ALD) can process many materials and can better cover special-shaped surfaces than PVD [3,4]. Thus, our laboratory chose this technology.
To solve the mismatch between films and plastic substrates, a paper published by K. Pfeiffer et al. in 2019 [5] mentioned that the use of an adhesion layer or the plasma surface treatment of a substrate can effectively solve the adhesion problem of plastic substrates. Under plasma-enhanced ALD (PEALD) technology [6], the spectral performance of films indicated that they had good uniformity, with their spectra changing little after 16 h of environment testing under ISO 9022-2 conditions [5].
In 2017, Lae Ho Kim et al. deposited hafnium dioxide (HfO2), aluminum oxide (Al2O3), and Al2O3/HfO2 composite films on a P-type Si (100) substrate and soda-lime glass in a 6 in. PEALD chamber to study their water vapor permeability and chemical and physical properties [7]. These authors found that the Al2O3/HfO2 composite film could reduce water vapor penetration and even improve surface roughness. Meanwhile, regarding the CTE and film mismatch of plastic substrates, we relied on many recent studies on the yield strength, hardness, and ductility of composite materials [8,9,10,11,12,13]. We found that these properties decrease after crystallization. Thus, avoiding crystallization and adjusting various aspects of these properties is a major study direction.
In 2020, Kim et al. used ALD to deposit HfO2 single-layer films using different processes. At the same process temperature of 250 °C, the intensity of XRD and film roughness of PEALD were higher than those of thermal ALD (THALD) [14]. In 2017, Yaowei Wei et al. found that when HfO2 was deposited using ALD at 250 °C, the refractive index and intensity of XRD increased as the number of cycles increased [15], and the HfO2 film began to crystallize at 500 cycles. However, plastic substrates do not tolerate high temperatures, so THALD is obviously not a suitable technology. Thus, controlling the PEALD deposition film without crystallization is a key point of study.
In 2017, Svetlana Shestavea et al. discussed film stress using PEALD to deposit HfO2, silicon dioxide (SiO2), and Al2O3 [16]. They found that inserting multiple 3 nm and 1.5 nm Al2O3 layers in a 200 nm thick HfO2 film could effectively reduce film stress. In addition, they observed that there was no cavity between the HfO2/Al2O3 composite layer and the substrate and that good adhesion was maintained. When they used HfO2, the temperature, stress, and surface roughness were lower, indirectly proving that the possibility of crystallization was lower.
Because the combination of HfO2 and Al2O3 layers can improve their surface roughness and reduce stress, these two materials were chosen in this study. In addition, considering its optical properties after making a multilayer film, SiO2, which has the lowest refractive index among various oxides and has small dispersion and absorption, was selected as the third design material. According to the above discussion, the clever use of insertion layers between the selected materials to avoid crystallization is the key point of this research.
2. Materials and Methods
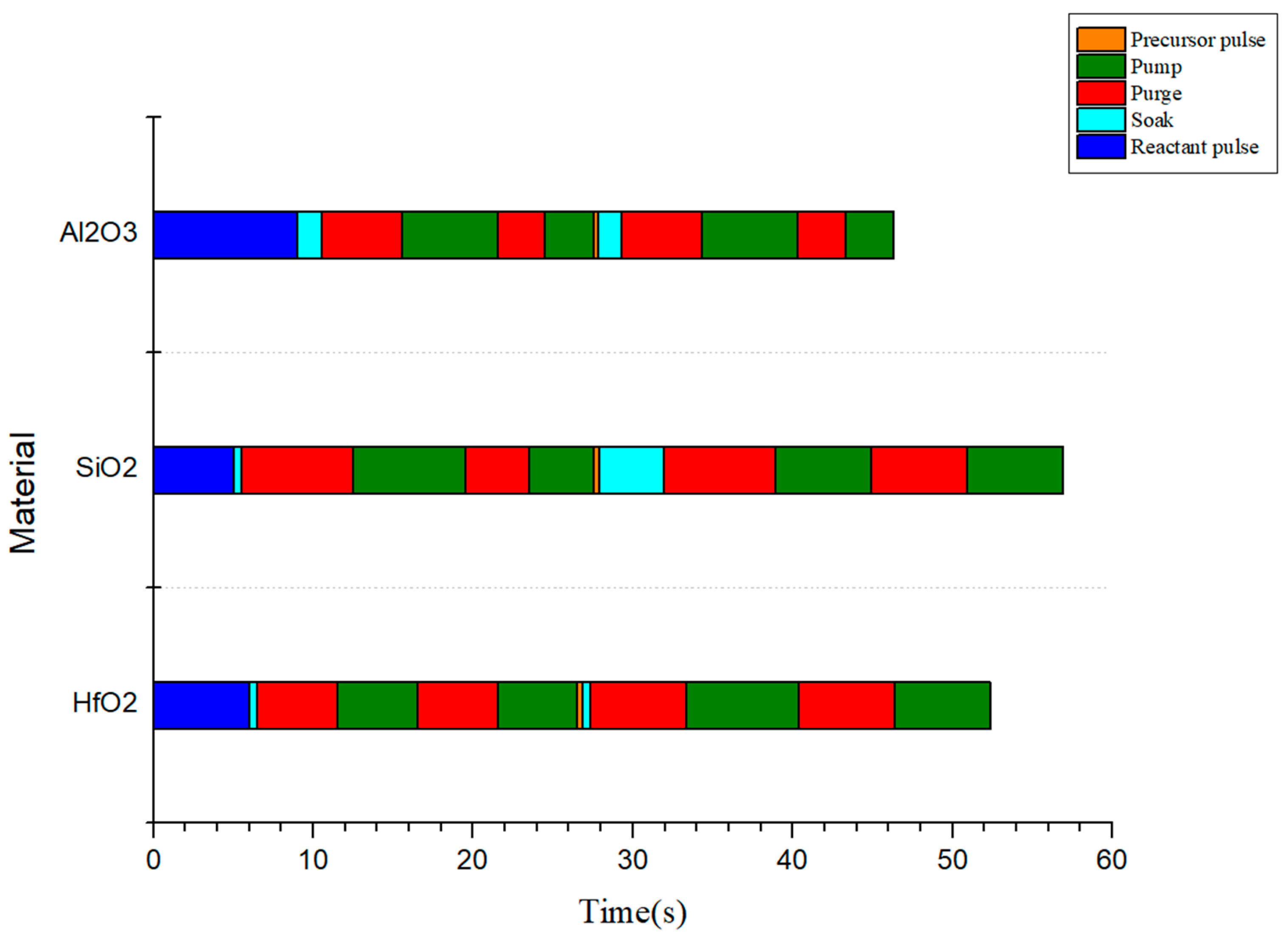
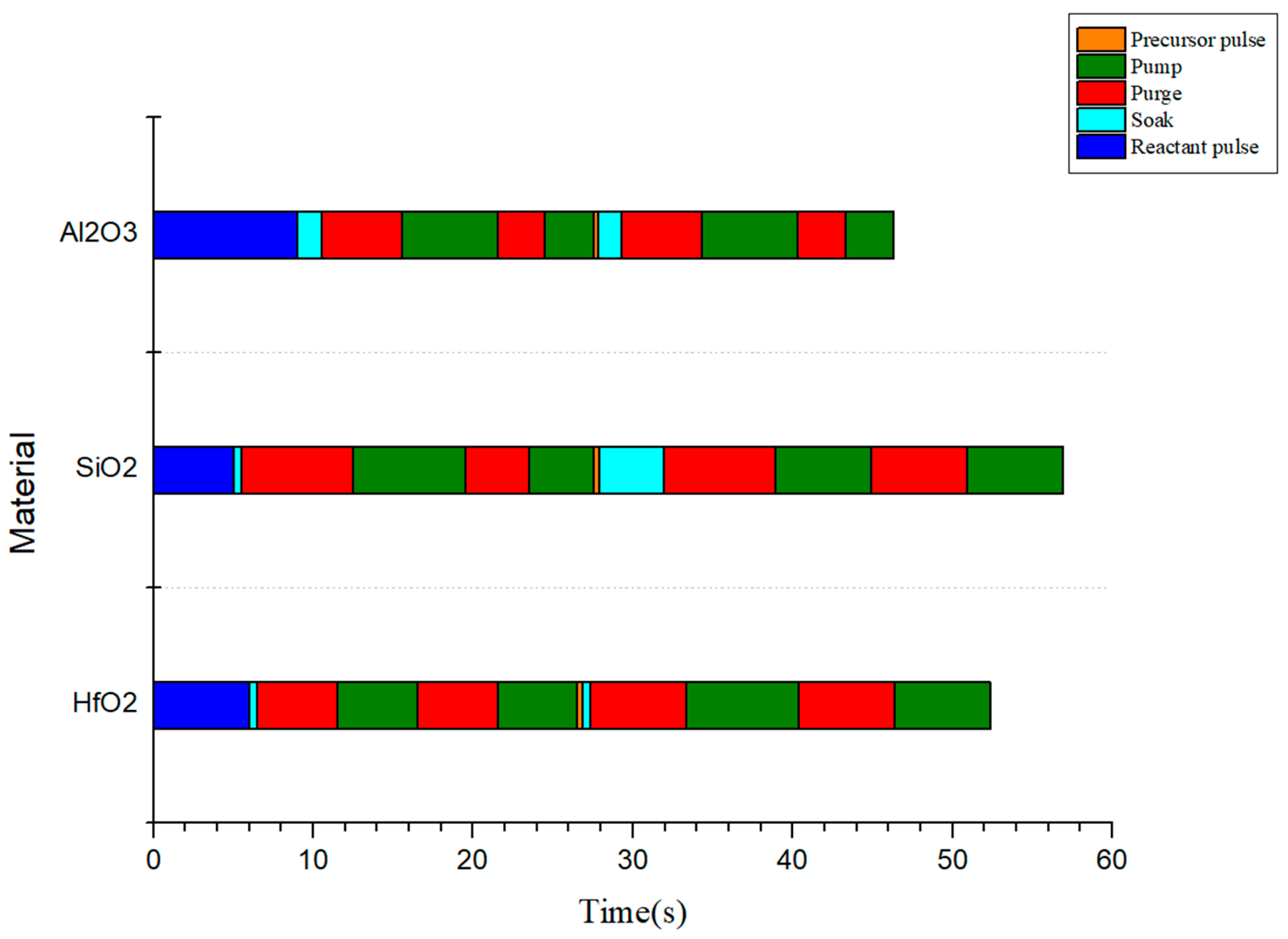
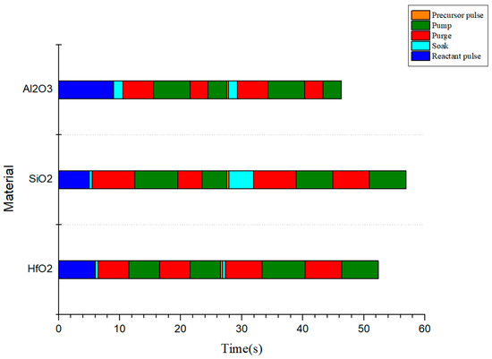
The process utilized for the coating process in this experiment was PEALD. It utilized a mechanical pump, and the deposition process started after the vacuum pressure reached 10 mTorr. The precursors of Al2O3, SiO2, and HfO2 are trimethylaluminium (TMA), tris (dimethylamino)silane (3DMAS), and tetrakis (ethylmethylamino)hafnium (TEMAH), respectively. The equipment was equipped with three heating devices: a precursor, a pipeline, and a chamber. The precursor was heated using a heating cloth that covered the bottle body, whereas the pipeline used a heating tape to prevent steam condensation due to low temperatures, which could result in decreased flow into the chamber. Meanwhile, the chamber was heated using an electric resistance wire. All three heating methods were monitored using thermocouples. The plasma source was based on remote radio frequency technology [17] and was introduced into a quartz-coated electrode column via a feedthrough to enhance plasma effectiveness. Finally, the coating was evenly spread onto the substrate through a showerhead. The system architecture and coating process parameters are illustrated in Figure 1 and Figure 2, respectively.
Figure 1.
ALD system schematic diagram.
Figure 2.
Schematic diagram of one cycle of the ALD process parameters.
The following instruments were utilized for measurement and validation in our experiments. Thin films with a predetermined thickness were deposited using coating equipment. Then, an ellipsometer (SENTECH’s SENresearch 4.0) was used to fit the thin film thickness, refractive index, and extinction coefficient. Furthermore, X-ray diffraction (XRD; Bruker D8 ADVANCE XRD instrument) was used to analyze the film crystallization and was used with a Veeco Innova Atomic force microscope (AFM) produced by Bruker to examine the film roughness. Using various data feedback obtained by the ellipsometer, XRD, and AFM, we reviewed and adjusted the film process parameters to achieve optimal film settings. After coating multilayer films with different film thickness designs, the samples were measured using a HITACHI UH4150 spectrometer for transmittance and reflectance to compare with the original simulated data, and the true film pile-up was observed using a transmission electron microscope (TEM; JEOL, JEM2100) which produced by JEOL. Finally, the finished product was put into a programmable constant temperature and humidity machine (GTH-080ST-SP; Jufu Instruments). According to the EIAJ ED-4701/100 standard, the environment tolerance of the sample was observed at a humidity of 85% and a temperature of 85 °C, and a 10× Zeiss Axioskop duplex optical microscope (OM) was used to observe microscopic appearance changes.
3. Results
Four layers of AR films were coated on a poly(methyl methacrylate) (PMMA) substrate, and the experimental design was assigned into four groups. The thickness of SiO2 in the four groups was not changed, but there were different HfO2/Al2O3 ratios to make nanolaminate. Group 1 was the original design without any layers inserted. Group 2 had a 1.5 nm thick Al2O3 layer inserted for every 20 nm of HfO2, and there were four pairs in the nanolaminate. Group 3 had a 1.5 nm thick Al2O3 layer inserted for every 15 nm of the HfO2 layer, and there were five pairs in the nanolaminate. Group 4 had a1.5 nm thick Al2O3 layer inserted for every 10 nm of the HfO2 layer, and there were eight pairs in the nanolaminates. The design diagram is shown in Figure 3. Meanwhile, Figure 4 shows the actual stack conditions of the design groups corresponding to TEM. In the following, we propose five key factors to discuss the optical properties and environmental test results produced by different designs.
Figure 3.
Design schematic diagram of Groups 1–4.
Figure 4.
TEM for (a) the original design with no layers inserted, (b) four layers of Al2O3 layers inserted in HfO2, (c) five layers of Al2O3 layers inserted in HfO2, and (d) eight layers of Al2O3 layers inserted in HfO2.
3.1. Material of Thin Film
In terms of the optical properties of the three materials, we achieved good n values and low k values. As mentioned in the literature, the higher the packing density, the greater the refractive index [18]. Figure 5 and Figure 6 show the refractive index and extinction coefficient of HfO2 and SiO2. The n and k values were measured using an ellipsometer. Indeed, at 150 W, the refractive index was the highest and the extinction coefficient was the smallest.
Figure 5.
(a) Refractive index and (b) extinction coefficient of HfO2.
Figure 6.
(a) Refractive index and (b) extinction coefficient of SiO2.
Although the plasma power of 150 W produced the maximum refractive index and minimum extinction coefficient, it caused film cracks on the plastic substrates (Figure 7). To prevent the absorption from being too much and to avoid causing film cracks, we chose to reduce the plasma power to 100 W and used this power to form an Al2O3 film. The obtained refractive index and extinction coefficient are shown in Figure 8. The data on the refractive indices and extinction coefficients of HfO2, SiO2, and Al2O3 are summarized and listed in Table 1.
Figure 7.
Cracking of the thin film of HfO2 (a) and SiO2 (b) at a plasma power of 150 W.
Figure 8.
(a) Refractive index and (b) extinction coefficient of Al2O3.
Table 1.
Refractive indices and extinction coefficients of three materials at 510 nm.
3.2. Surface Roughness and Intensity of XRD
To ensure the completeness and effectiveness of the oxidation reaction during the experiment, plasma was used to produce the oxidation reaction, and Ar was added to the plasma to improve the efficiency of the oxidation reaction [19]. According to different thicknesses, this experiment found a positive correlation between surface roughness and intensity of XRD. The experimental data are shown in Table 2.
Table 2.
Intensity of XRD and root-mean-square roughness of HfO2 depending on cycles or thicknesses at 60 °C and a plasma power of 100 W with O2/Ar gas.
There were different intensities of XRD under different cycle numbers, as shown in Figure 9. When the cycle was at 700, the intensity of XRD was the highest, reaching 2256.09. The surface roughness under different cycle numbers is shown in Figure 10. When the cycle was at 700, the surface roughness also reached 1.25 nm. As the cycle number dropped to 300, the intensity of XRD was only about 1/7 of the origin, and the surface roughness was less than half of what it was at a cycle number of 700. At this time, inserting the Al2O3 could significantly reduce the intensity of XRD. The data obtained are shown in Table 3.
Figure 9.
Various XRD intensities of HfO2 films deposited with different cycles.
Figure 10.
Different cycles with different σRMS values of HfO2.
Table 3.
Pairs in nanolaminate corresponding to intensity of XRD and σRMS.
3.3. Nanolaminates
Figure 11 shows the surface of different numbers of inserted layers in the experiment observed using an OM, and the cracking state began to appear after different environmental test hours. The original design without inserted layers cracked after 52 h, which was observed using an OM. Meanwhile, the environmental test time grew and even reached 300 h when five layers were inserted. When eight layers were inserted, the environmental test time reached the lowest of 46 h, which was even worse than that of the unprocessed design.
Figure 11.
Surfaces of different numbers of inserted layers (a) after 52 h without handling, (b) after 284 h with four layers inserted, (c) after 300 h with five layers inserted, (d) and after 46 h with eight layers inserted.
In this experiment, the PMMA substrate was coated with multilayer films, including one with no inserted layer and those with four, five, and eight layers inserted. Figure 12 shows that the best environmental test time was achieved when five layers of Al2O3 were inserted. Under this design, environmental tests verified the Al2O3 thicknesses of 1, 1.5, and 2 nm (Figure 13).
Figure 12.
Nanolaminates with various layers inserted and HTHH test time results.
Figure 13.
Layers inserted with different Al2O3 thicknesses in nanolaminates.
According to the environmental test data, if 1 nm Al2O3 insertion layers were used, the environmental testing time increased significantly from 300 to 352 h when using 1.5 nm. In other words, as the insertion layers’ thickness decreased, the environmental test results became better. Figure 14 shows the cracking status of different Al2O3 layer thicknesses after different hours of environmental tests. At the same scale, cracking under 2 nm Al2O3 insertion layers had more intertwined fine lines. As the thickness of the insertion layers decreased, the density of these fine lines gradually became smaller.
Figure 14.
The surface with (a) 1 nm, (b) 1.5 nm, and (c) 2 nm of Al2O3 insertion layers by OM.
3.4. Optical Properties
The AR coating was deposited on the PMMA substrate using the four previous designs with HfO2, SiO2, and Al2O3, and the corresponding spectra were measured as Figure 15 shows. The original design without inserted layers had a measured spectrum similar to the design spectrum, with an average reflectance of about 0.67%. If the five layers of Group 3 were used (Figure 16), even if the Al2O3 layer’s thickness was changed to 1 and 2 nm, the difference in the center wavelength of the spectrum was not significant.
Figure 15.
Four groups on PMMA substrates with 1.5 nm thick Al2O3 insertion layers compared according to their spectra.
Figure 16.
Spectra of various Al2O3 insertion layer thicknesses of the AR film on a PMMA substrate measured using a spectrometer.
4. Discussion
First, in this study, as shown in Section 3.1, we increased the refractive index by increasing the temperature and increasing the plasma power. Increasing the temperature and plasma power provided enough migration energy between molecules to increase the packing density and help complete the reaction to reduce the K value. However, the high deformation and easy deterioration of plastic substrates must be considered, and this cannot be achieved by increasing the temperature and plasma power as in the past. For plastic substrates, we must lower the process temperature to 60 °C.
Second, according to the references above, the issues related to the interfaces of composite materials can be classified into three categories: strength, hardness, and ductility. The mechanisms regarding strength and hardness are included in three scale ranges. The first is the Hall–Petch scale, which is related to the strengthening and hardening of nanocomposite layers and dislocation pile-up on interfaces [20]. Strengthening effects operate in composite layers with relatively thick single-layer thicknesses, with the strength and hardness increasing as the thickness decreases on the scale of hundreds of nanometers. The second scale is at tens of nanometers, and the strengthening and hardening mechanism is a confined layer slip. At this scale, as the thickness decreases, the strength and hardness increase slowly because a single dislocation ring is in the layer. If the distance between layers is insufficient, the dislocation rings also decrease, so it is more localized to the thickness of a single layer [21,22]. The last scale is the interface barrier strength (IBS), which is related to the passage of a single dislocation through the composite interface, and the thickness is only a few nanometers [23].
In Hall–Petch’s model, reducing the grain size increased the strength of the material. This experiment believed that grain size was related to surface roughness. In the study by Lae Ho Kim et al. (2017), the addition of Al2O3 insertion layers reduced the surface roughness of HfO2 [7]. That is why we reduce the film thickness in Section 3.2 and find the correlation between surface roughness and intensity of XRD.
Third, when using the insertion layers, the above experiments showed that the cycle positively correlated with the surface roughness and intensity of XRD. Therefore, when the thickness of HfO2 decreases, the intensity of XRD and surface roughness are expected to decrease. Meanwhile, Svetlana Shestavea et al. used ultrathin Al2O3 layers to reduce the thickness of HfO2 and improved the stress from 660 to 440 MPa [16]. As one of the causes of film cracks is the mismatch in the CTE between the substrate and the film, reducing stress is one way to solve film cracks. In other words, reducing the thickness of HfO2 is expected to reduce stress, improve the mismatch between the film and the substrate, and prevent the film from cracking. When the thickness of a single layer of HfO2 was reduced in this study, the environmental test results were consistent with those above.
The results after inserting eight layers were not logically consistent; the reason was related to a ductility issue.
Zhang et al. studied the relevance of single-layer thickness (h) on the deformation behavior of Cu/Nb and Cu/Zr multilayer films [24]. Their results showed that the ductile behaviors of Cu/Nb and Cu/Zr multilayer films were different from those of single Nb and Zr films. The ductility arrival peaked at a specific thickness and then generally decreased as the thickness decreased, a phenomenon that was exactly the opposite of those of strength and hardness. Regarding the experimental results, the ductility of the nanocomposite layer might reach its maximum peak when the thickness of HfO2 was 15 nm. If the thickness was thinner than 15 nm, the thickness of HfO2 decreased, and the ductility decreased greatly. This was the reason for the film cracking in the environmental tests.
Theoretically, when the thickness of the insertion layer is in the IBS scale, the strength and ductility drop sharply. This method can localize the stress in insertion layers or resist the stress to suppress fractures, that is, when the fracture is localized in the insertion layers, the fracture is not extended [24]. As the thickness of the insertion layers increases, the number of environmental test hours decreases because the ductility increases when the thickness of the insertion layers increases at this scale. When the ductility increases, the stress is not localized or interrupted in the insertion layers, so there is a greater chance for the energy to penetrate, leading to comprehensive membrane cracks.
Finally, we considered the role of optical properties. The measured spectrum of Group 2 began to slowly deviate from the simulated spectrum of the original design, with the degree of deviation being greater than that of Group 1. Similarly, the degree of deviation of Group 3 was greater than that of Group 2, and that of Group 4 was greater than that of Group 3 (Figure 15). The greater the number of inserted layers in nanolaminates, the more serious the degree of deviation from the simulated spectrum [18,25].
As the number of inserted layers increased, the difference between the real spectrum and the simulated spectrum became larger. However, when we inserted five layers in the nanolaminates, the change in reflectance of the spectrum was still acceptable. If the five-layer design was used and Al2O3 was adjusted from 1.5 to 1 and 2 nm thick, respectively, the difference in the spectral center wavelength on the PMMA substrate was small. Considering the significant improvement in the environmental test tolerance properties, compared with the variation in spectral performance, this can be ignored in actual applications.
Author Contributions
Conceptualization, C.-C.K.; methodology, C.-C.K. and C.-F.W.; validation, C.-C.K., C.-C.W. and C.-F.W.; formal analysis, C.-C.W. and C.-F.W.; investigation, C.-C.W. and C.-F.W.; resources, C.-C.K.; data curation, C.-C.K., C.-C.W. and C.-F.W.; writing—original draft preparation, C.-C.W.; writing—review and editing, C.-C.W.; visualization, C.-C.W.; supervision, C.-C.K., L.-C.S. and M.-C.L.; project administration, C.-C.K. All authors have read and agreed to the published version of the manuscript.
Funding
The authors would like to thank the Ministry of Science and Technology for financially supporting this research under contract no. NSTC 113-2221-E-008-047.
Institutional Review Board Statement
Not applicable.
Informed Consent Statement
Not applicable.
Data Availability Statement
Data are contained within the article.
Conflicts of Interest
The authors declare no conflicts of interest.
References
- Aitchison, B.; Cumbo, M.L.J. Optical Design and Fabrication (Freeform, IODC, OFT). In Proceedings of the FTh3B.5, Denver, CO, USA, 9–13 July 2017. [Google Scholar]
- Weiss, T.; Ebert, W. Atomic Layer Deposition for Coating of Complex 3D Optics: From theory to practice. Opt. Photonik 2017, 12, 42–45. [Google Scholar] [CrossRef][Green Version]
- Profijt, H.B.; Potts, S.E.; van de Sanden, M.C.M.; Kessels, W.M.M. Plasma-Assisted Atomic Layer Deposition: Basics, Opportunities, and Challenges. J. Vac. Sci. Technol. A Vac. Surf. Film. 2011, 29, 050801. [Google Scholar] [CrossRef]
- Pakkala, A.; Putkonen, M. Chapter 8—Atomic layer deposition. In Handbook of Deposition Technologies for Films and Coatings, 3rd ed.; Martin, P.M., Ed.; William Andrew Publishing: Boston, MA, USA, 2010; pp. 364–391. [Google Scholar]
- Paul, P.; Pfeiffer, K.; Szeghalmi, A. Antireflection Coating on PMMA Substrates by Atomic Layer Deposition. Coatings 2020, 10, 64. [Google Scholar] [CrossRef]
- Jain, N.K.; Sawant, M.S.; Nikam, S.H.; Jhavar, S. Metal Deposition: Plasma-Based Processes. In Encyclopedia of Plasma Technology; CRC Press: Boca Raton, FL, USA, 2016; pp. 722–740. [Google Scholar]
- Kim, L.H.; Jang, J.H.; Jeong, Y.J.; Kim, K.; Baek, Y.; Kwon, H.J.; An, T.K.; Nam, S.; Kim, S.H.; Jang, J.; et al. Highly-impermeable Al2O3 /HfO2 moisture barrier films grown by low-temperature plasma-enhanced atomic layer deposition. Org. Electron. 2017, 50, 296–303. [Google Scholar] [CrossRef]
- Coy, E.; Yate, L.; Kabacińska, Z.; Jancelewicz, M.; Jurga, S.; Iatsunskyi, I. Topographic reconstruction and mechanical analysis of atomic layer deposited Al2O3/ TiO2 nanolaminates by nanoindentation. Mater. Des. 2016, 111, 584–591. [Google Scholar] [CrossRef]
- Zhang, J.Y.; Zhang, P.; Zhang, X.; Wang, R.H.; Liu, G.; Zhang, G.J.; Sun, J. Mechanical properties of fcc/fcc Cu/Nb nanostructured multilayers. Mater. Sci. Eng. A 2012, 545, 118–122. [Google Scholar] [CrossRef]
- Wen, S.P.; Zong, R.L.; Zeng, F.; Gao, Y.; Pan, F. Nanoindentation investigation of the mechanical behaviors of nanoscale Ag/Cu multilayers. J. Mater. Res. 2007, 22, 3423–3431. [Google Scholar] [CrossRef]
- Dayal, P.; Savvides, N.; Hoffman, M. Characterisation of nanolayered aluminium/palladium thin films using nanoindentation. Thin Solid Film. 2009, 517, 3698–3703. [Google Scholar] [CrossRef]
- Costescu, R.M. Ultra-Low Thermal Conductivity in W/Al2O3 Nanolaminates. Science 2004, 303, 989–990. [Google Scholar] [CrossRef]
- Mata, M.; Anglada, M.; Alcalá, J. Contact Deformation Regimes Around Sharp Indentations and the Concept of the Characteristic Strain. J. Mater. Res. 2002, 17, 964–976. [Google Scholar] [CrossRef]
- Kim, K.-M.; Jang, J.S.; Yoon, S.-G.; Yun, J.-Y.; Chung, N.-K. Structural, Optical and Electrical Properties of HfO2 Thin Films Deposited at Low-Temperature Using Plasma-Enhanced Atomic Layer Deposition. Materials 2020, 13, 2008. [Google Scholar] [CrossRef]
- Wei, Y.; Xu, Q.; Wang, Z.; Liu, Z.; Pan, F.; Zhang, Q.; Wang, J. Growth properties and optical properties for HfO2 thin films deposited by atomic layer deposition. J. Alloys Compd. 2018, 735, 1422–1426. [Google Scholar] [CrossRef]
- Shestaeva, S.; Bingel, A.; Munzert, P.; Ghazaryan, L.; Patzig, C.; Tünnermann, A.; Szeghalmi, A. Mechanical, structural, and optical properties of PEALD metallic oxides for optical applications. Appl. Opt. 2016, 56, C47. [Google Scholar] [CrossRef] [PubMed]
- Heil, S.B.S.; Van Hemmen, J.L.; Hodson, C.J.; Singh, N.; Klootwijk, J.H.; Roozeboom, F.; Van de Sanden, M.C.M.; Kessels, W.M.M. Deposition of TiN and HfO2 in a commercial 200 mm remote plasma atomic layer deposition reactor. J. Vac. Sci. Technol. A Vac. Surf. Film. 2007, 25, 1357. [Google Scholar] [CrossRef]
- Martin, P.J.; Netterfield, R.P.; Sainty, W.G. Modification of the optical and structural properties of dielectric ZrO2 films by ion-assisted deposition. J. Appl. Phys. 1984, 55, 235–241. [Google Scholar] [CrossRef]
- Jung, H.; Oh, I.K.; Yoon, C.M.; Park, B.E.; Lee, S.; Kwon, O.; Lee, W.J.; Kwon, S.H.; Kim, W.H.; Kim, H. Effects of Ar Addition to O2 Plasma on Plasma-Enhanced Atomic Layer Deposition of Oxide Thin Films. ACS Appl. Mater. Interfaces 2018, 10, 40286–40293. [Google Scholar] [CrossRef] [PubMed]
- Misra, A.; Krug, H. Deformation Behavior of Nanostructured Metallic Multilayers. Adv. Eng. Mater. 2001, 3, 217–222. [Google Scholar] [CrossRef]
- Misra, A.; Hirth, J.P.; Hoagland, R.G. Length-scale-dependent deformation mechanisms in incoherent metallic multilayered composites. Acta Mater. 2005, 53, 4817–4824. [Google Scholar] [CrossRef]
- Zhou, Q.; Xie, J.Y.; Wang, F.; Huang, P.; Xu, K.W.; Lu, T.J. The mechanical behavior of nanoscale metallic multilayers: A survey. Acta Mech. Sin. 2015, 31, 319–337. [Google Scholar] [CrossRef]
- Rao, S.I.; Hazzledine, P.M. Atomistic Simulations of Dislocation-Interface Interactions in the Cu-Ni Multilayer System. MRS Online Proc. Libr. 1999, 578, 389. [Google Scholar] [CrossRef]
- Zhang, J.Y.; Zhang, X.; Wang, R.H.; Lei, S.Y.; Zhang, P.; Niu, J.J.; Liu, G.; Zhang, G.J.; Sun, J. Length-scale-dependent deformation and fracture behavior of Cu/X (X = Nb, Zr) multilayers: The constraining effects of the ductile phase on the brittle phase. Acta Mater. 2011, 59, 7368–7379. [Google Scholar] [CrossRef]
- Iatsunskyi, I.; Coy, E.; Viter, R.; Nowaczyk, G.; Jancelewicz, M.; Baleviciute, I.; Załęski, K.; Jurga, S. Study on Structural, Mechanical, and Optical Properties of Al2O3-TiO2 Nanolaminates Prepared by Atomic Layer Deposition. J. Phys. Chem. C 2015, 119, 20591–20599. [Google Scholar] [CrossRef]
Disclaimer/Publisher’s Note: The statements, opinions and data contained in all publications are solely those of the individual author(s) and contributor(s) and not of MDPI and/or the editor(s). MDPI and/or the editor(s) disclaim responsibility for any injury to people or property resulting from any ideas, methods, instructions or products referred to in the content. |
© 2024 by the authors. Licensee MDPI, Basel, Switzerland. This article is an open access article distributed under the terms and conditions of the Creative Commons Attribution (CC BY) license (https://creativecommons.org/licenses/by/4.0/).















