Miniaturized Compact Reconfigurable Half-Mode SIW Phase Shifter with PIN Diodes
Abstract
1. Introduction
2. Design of the HM-SIW Phase Shifter
2.1. Transmission Line Topology
2.2. Phase Shifting Topology
2.3. Working Principle
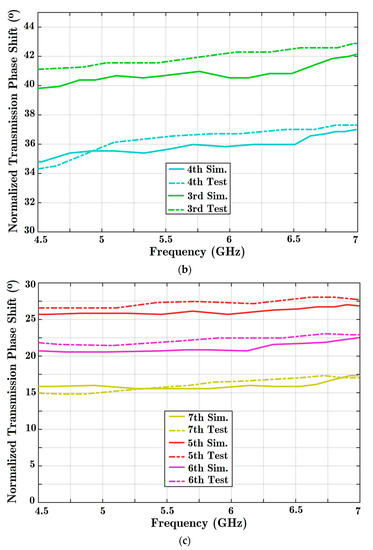
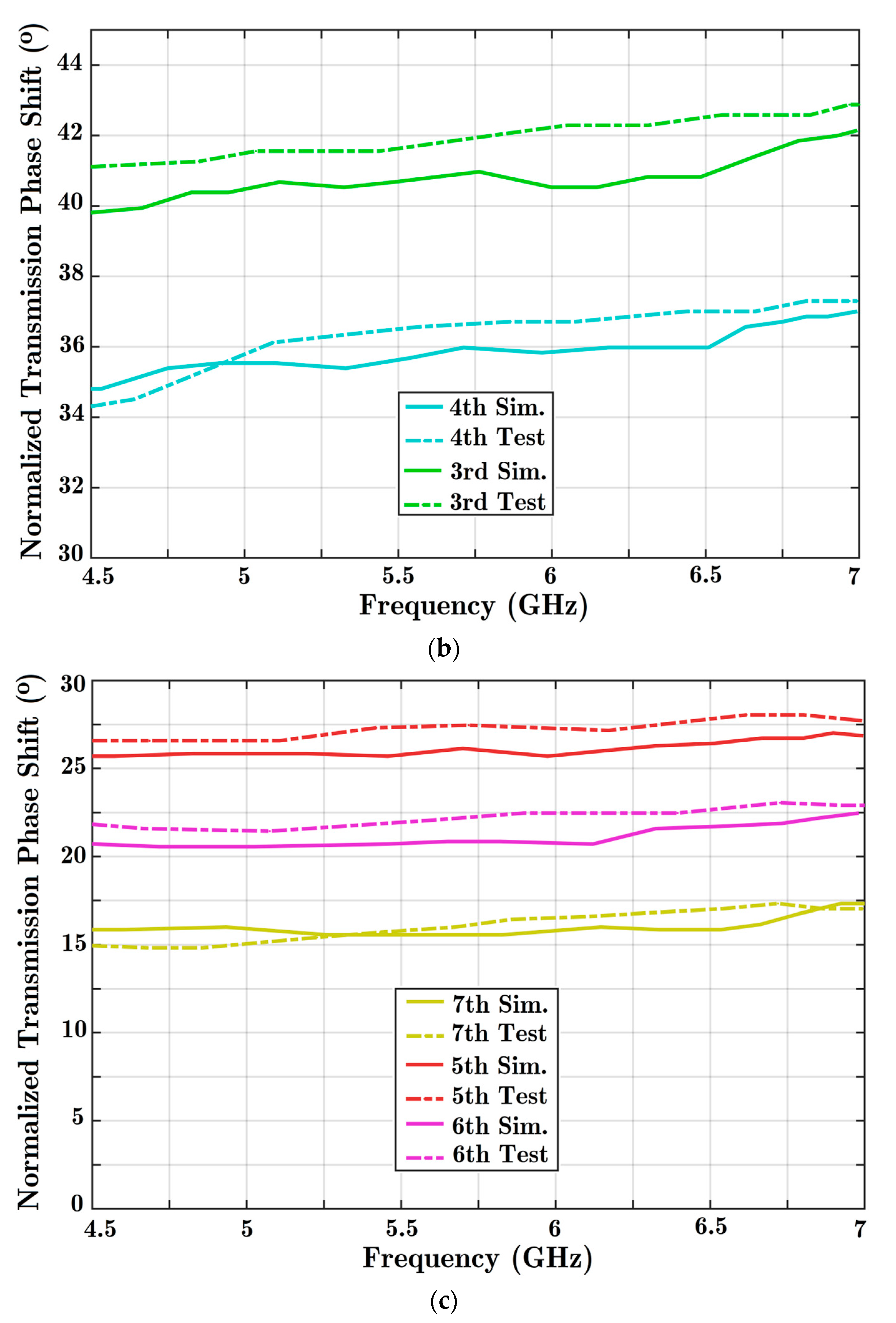
3. Results and Discussion of Varied Solutions
4. Conclusions
Author Contributions
Funding
Informed Consent Statement
Data Availability Statement
Conflicts of Interest
Abbreviations
| SIW | Substrate integrated waveguide |
| HM-SIW | Half-mode substrate integrated waveguide |
| RF | Radio frequency |
| RLC | Resistor, inductance, capacitance |
| SOLT | Short, open, load, through |
| CST, ANSYS HFSS, AWR, and ADS are different simulation software | |
Appendix A



Appendix B


References
- Schiffman, B.M. A new class of broad-band microwave 90-degree phase shifters. IRE Trans. Microw. Theory Tech. 1958, 6, 232–237. [Google Scholar] [CrossRef]
- Qiu, L.-L.; Zhu, L.; Ouyang, Z.-A.; Deng, L. Wideband Butler matrix based on dual-layer HMSIW for enhanced miniaturization. IEEE Microw. Wirel. Compon. Lett. 2021, 32, 25–28. [Google Scholar] [CrossRef]
- Akbari, M.; Farahani, M.; Ghayekhloo, A.; Zarbakhsh, S.; Sebak, A.-R.; Denidni, T.A. Beam tilting approaches based on phase gradient surface for mmWave antennas. IEEE Trans. Antennas Propag. 2020, 68, 4372–4385. [Google Scholar] [CrossRef]
- Guo, Y.-X.; Zhang, Z.-Y.; Ong, L.C. Improved wide-band Schiffman phase shifter. IEEE Trans. Microw. Theory Tech. 2006, 54, 1196–1200. [Google Scholar] [CrossRef]
- Rohaninezhad, M.; Ghayekhloo, A.; Afsahi, M.; Denidni, T.A. Design of a Transparent System for Mutual Coupling Reduction of Microstrip Array Antennas with Confined Water. Phys. Status Solidi (a) 2022, 219, 2200082. [Google Scholar] [CrossRef]
- Ghayekhloo, A.; Akbari, M.; Afsahi, M.; Orouji, A.A.; Sebak, A.R.; Denidni, T.A. Multifunctional transparent electromagnetic surface based on solar cell for backscattering reduction. IEEE Trans. Antennas Propag. 2019, 67, 4302–4306. [Google Scholar] [CrossRef]
- Zarbakhsh, S.; Sebak, A.R. Multifunctional Drone-Based Antenna for Satellite Communication. IEEE Trans. Antennas Propag. 2022, 70, 7223–7227. [Google Scholar] [CrossRef]
- Omam, Z.R.; Abdel-Wahab, W.M.; Raeesi, A.; Palizban, A.; Pourziad, A.; Nikmehr, S.; Gigoyan, S.; Safavi-Naeini, S. Ka-band passive phased-array antenna with substrate integrated waveguide tunable phase shifter. IEEE Trans. Antennas Propag. 2020, 68, 6039–6048. [Google Scholar] [CrossRef]
- Kim, D.-C.; Park, S.-J.; Kim, T.-W.; Minz, L.; Park, S.-O. Fully digital beamforming receiver with a real-time calibration for 5G mobile communication. IEEE Trans. Antennas Propag. 2019, 67, 3809–3819. [Google Scholar] [CrossRef]
- Louati, S.; Talbi, L.; Hettak, K.; Boutayeb, H. 28 GHz Digital SIW Phase Shifter Using Embedded PIN Diodes. In Proceedings of the IEEE International Symposium on Antennas and Propagation and USNC-URSI Radio Science Meeting (AP-S/URSI), Denver, CO, USA, 10–15 July 2022; pp. 848–849. [Google Scholar] [CrossRef]
- Ghayekhloo, A.; Boutayeb, H.; Talbi, L. Developing an Electromagnetic Vortex Beam Structure Based on Advanced Plasma Transmit-array. In Proceedings of the IEEE International Symposium on Antennas and Propagation and USNC-URSI Radio Science Meeting (AP-S/URSI), Denver, CO, USA, 10–15 July 2022; pp. 740–741. [Google Scholar] [CrossRef]
- Khodaee, M.; Akbari, M.; Zarbakhsh, S. A Novel Antenna with Dual Band-Notched Characteristics using Shorting Pin and Z-Shaped Slot on Conductor Backed. Appl. Comput. Electromagn. Soc. J. ACES 2013, 28, 809–814. [Google Scholar]
- Akbari, M.; Khodaee, M.; Zarbakhsh, S.; Gholami, R. A simple UWB antenna with dual stop-band performance using rectangular slot and strip line ended up shorting pin. Prog. Electromagn. Res. C 2013, 42, 83–94. [Google Scholar] [CrossRef]
- Ali, Q.; Shahzad, W.; Ahmad, I.; Safiq, S.; Bin, X.; Abbas, S.M.; Sun, H. Recent developments and challenges on beam steering characteristics of reconfigurable Transmitarray antennas. Electronics 2022, 11, 587. [Google Scholar] [CrossRef]
- Parment, F.; Ghiotto, A.; Vuong, T.-P.; Duchamp, J.-M.; Wu, K. Double dielectric slab-loaded air-filled SIW phase shifters for high-performance millimeter-wave integration. IEEE Trans. Microw. Theory Tech. 2016, 64, 2833–2842. [Google Scholar] [CrossRef]
- An, S.; Zheng, B.; Tang, H.; Li, H.; Zhou, L.; Dong, Y.; Haerinia, M.; Zhang, H. Ultrawideband Schiffman Phase Shifter Designed with Deep Neural Networks. IEEE Trans. Microw. Theory Tech. 2022, 70, 4694–4705. [Google Scholar] [CrossRef]
- Cano, J.L.; Mediavilla, A.; Tribak, A. Parametric design of a class of full-band waveguide differential phase shifters. Electronics 2019, 8, 346. [Google Scholar] [CrossRef]
- Shi, J.; Nie, Y.; Han, P.; Zhang, W.; Cao, Q. Compact filtering phase shifter with simple structure. IEEE Microw. Wirel. Compon. Lett. 2021, 31, 1263–1266. [Google Scholar] [CrossRef]
- Dong, Q.; Wu, Y.; Chen, W.; Yang, Y.; Wang, W. Single-layer dual-band bandwidth-enhanced filtering phase shifter with two different predetermined phase-shifting values. IEEE Trans. Circuits Syst. II Express Briefs 2020, 68, 236–240. [Google Scholar] [CrossRef]
- Zhu, X.; Yang, T.; Chi, P.-L.; Xu, R. Novel passive vector-sum reconfigurable filtering phase shifter with continuous phase-control and tunable center frequency. IEEE Trans. Microw. Theory Tech. 2021, 70, 1188–1197. [Google Scholar] [CrossRef]
- Wu, K.; Bozzi, M.; Fonseca, N.J.G. Substrate integrated transmission lines: Review and applications. IEEE J. Microw. 2021, 1, 345–363. [Google Scholar] [CrossRef]
- Hautcoeur, J.; Ghayekhloo, A.; Hettak, K.; Talbi, L.; Boutayeb, H.; Wu, K. 60 GHz Frequency Sensor Antenna for Short-Range Millimeter-Wave Detection Application. IEEE Sens. Lett. 2022, 6, 1–4. [Google Scholar] [CrossRef]
- Karami, F.; Boutayeb, H.; Amn-e-Elahi, A.; Ghayekhloo, A.; Talbi, L. Developing Broadband Microstrip Patch Antennas Fed by SIW Feeding Network for Spatially Low Cross-Polarization Situation. Sensors 2022, 22, 3268. [Google Scholar] [CrossRef]
- Sellal, K.; Talbi, L.; Denidni, T.A.; Lebel, J. Design and implementation of a substrate integrated waveguide phase shifter. IET Microw. Antennas Propag. 2008, 2, 194–199. [Google Scholar] [CrossRef]
- Muneer, B.; Qi, Z.; Shanjia, X. A broadband tunable multilayer substrate integrated waveguide phase shifter. IEEE Microw. Wirel. Compon. Lett. 2015, 25, 220–222. [Google Scholar] [CrossRef]
- Zhang, W.; Shen, Z.; Xu, K.; Shi, J. A compact wideband phase shifter using slotted substrate integrated waveguide. IEEE Microw. Wirel. Compon. Lett. 2019, 29, 767–770. [Google Scholar] [CrossRef]
- Omam, Z.R.; Abdel-Wahab, W.M.; Pourziad, A.; Nikmehr, S.; Palizban, A.; Gigoyan, S.; Safavi-Naeini, S. Tunable substrate integrated waveguide phase shifter using high dielectric constant slab. IEEE Microw. Wirel. Compon. Lett. 2020, 30, 485–488. [Google Scholar] [CrossRef]
- Ebrahimpouri, M.; Nikmehr, S.; Pourziad, A. Broadband compact SIW phase shifter using omega particles. IEEE Microw. Wirel. Compon. Lett. 2014, 24, 748–750. [Google Scholar] [CrossRef]
- Yang, T.; Ettorre, M.; Sauleau, R. Novel phase shifter design based on substrate-integrated-waveguide technology. IEEE Microw. Wirel. Compon. Lett. 2012, 22, 518–520. [Google Scholar] [CrossRef]
- Sellal, K.; Talbi, L.; Nedil, M. Design and implementation of a controllable phase shifter using substrate integrated waveguide. IET Microw. Antennas Propag. 2012, 6, 1090–1094. [Google Scholar] [CrossRef]
- Louati, S.; Boutayeb, H.; Hettak, K.; Talbi, L. New reconfigurable SIW phase shifter with transverse CPW-based stubs and PIN Diodes. In Proceedings of the IEEE International Symposium on Antennas and Propagation and USNC-URSI Radio Science Meeting (AP-S/URSI), Denver, CO, USA, 10–15 July 2022; pp. 850–851. [Google Scholar] [CrossRef]
- Boutayeb, H.; Zhai, W.; Repeta, M. Switchable lens antenna with integrated frequency selective structure. U.S. Patent 11,515,653, 29 November 2022. [Google Scholar]
- Wu, Z.; Shim, Y.; Rais-Zadeh, M. Miniaturized UWB filters integrated with tunable notch filters using a silicon-based integrated passive device technology. IEEE Trans. Microw. Theory Tech. 2012, 60, 518–527. [Google Scholar] [CrossRef]
- Nosrati, M.; Vahabisani, N.; Daneshmand, M. A novel ultra wideband (UWB) filter with double tunable notch-bands using MEMS capacitors. In Proceedings of the IEEE MTT-S International Microwave Symposium Digest (MTT), Seattle, WA, USA, 2–7 June 2013; pp. 1–3. [Google Scholar] [CrossRef]
- Shao, C.; Chu, H.; Zhu, X.-H.; Guo, Y.-X. Tunable Phase Shifter with Small Phase Error and Insertion Loss Fluctuation Using a Resonator-Based Structure. IEEE Trans. Circuits Syst. II Express Briefs 2022, 70, 11–15. [Google Scholar] [CrossRef]
- Dehbashi, R.; Oskouei, H.D.; Forooraghi, K. A novel broad-band microstrip radial stub resonator used in bias-T application. Microw. Opt. Technol. Lett. 2006, 48, 1766–1770. [Google Scholar] [CrossRef]
- Cheng, Y.; Hong, W.; Wu, K. Half mode substrate integrated waveguide (HMSIW) directional filter. IEEE Microw. Wirel. Compon. Lett. 2007, 17, 504–506. [Google Scholar] [CrossRef]
- Nguyen-Trong, N.; Fumeaux, C. Half-mode substrate-integrated waveguides and their applications for antenna technology: A review of the possibilities for antenna design. IEEE Antennas Propag. Mag. 2018, 60, 20–31. [Google Scholar] [CrossRef]
- Ho, M.-H.; Hsu, C.-I.G.; Tang, K.-H.; Hong, W. Miniaturized band pass filter design using half mode substrate integrated coaxial resonators. Micromachines 2022, 13, 389. [Google Scholar] [CrossRef] [PubMed]
- Fallah, M.; Ghayekhloo, A.; Abdolali, A. Design of frequency selective band stop shield using analytical method. J. Microw. Optoelectron. Electromagn. Appl. 2015, 14, 217–228. [Google Scholar] [CrossRef]
- Karami, F.; Rezaei, P.; Amn-e-Elahi, A.; Abolfathi, A.; Kishk, A.A. Broadband and efficient patch array antenna fed by substrate integrated waveguide feed network for Ku-band satellite applications. Int. J. RF Microw. Comput. Aided Eng. 2021, 31, e22772. [Google Scholar] [CrossRef]
- Karami, F.; Rezaei, P.; Amn-e-Elahi, A.; Abolfathi, A. An X-Band Substrate Integrated Waveguide Fed Patch Array Antenna: Overcoming low efficiency, narrow impedance bandwidth, and cross-polarization radiation challenges. IEEE Antennas Propag. Mag. 2021, 63, 25–32. [Google Scholar] [CrossRef]
- Wu, K.; Deslandes, D.; Cassivi, Y. The substrate integrated circuits-a new concept for high-frequency electronics and optoelectronics. In Proceedings of the 6th International Conference on Telecommunications in Modern Satellite, Cable and Broadcasting Service, Nis, Yugoslavia, 1–3 October 2003; pp. I–III. [Google Scholar] [CrossRef]
- Rayas-Sanchez, J.E.; Gutierrez-Ayala, V. A general EM-based design procedure for single-layer substrate integrated waveguide interconnects with microstrip transitions. In Proceedings of the IEEE MTT-S International Microwave Symposium Digest, Atlanta, GA, USA, 15–20 June 2008; pp. 983–986. [Google Scholar] [CrossRef]
- Shao, W.; Li, J.-L. Design of a half-mode SIW high-pass filter. Appl. Comput. Electromagn. Soc. J. ACES 2011, 26, 447–451. [Google Scholar]
- Bianchi, G.; Sorrentino, R. Electronic Filter Simulation & Design; McGraw Hill Professional: New York, NY, USA, 2007. [Google Scholar]
- Bidgoli, H.A.; Khodaei, M.; Tayarani, M. Multioctave Power Amplifier Design Using 9:1 Planar Impedance Transformer. IEEE Microw. Wirel. Compon. Lett. 2020, 31, 45–48. [Google Scholar] [CrossRef]












| References | [20] | [24] | [25] | [26] | [27] | [28] | [29] | [30] | [35] | This Work |
|---|---|---|---|---|---|---|---|---|---|---|
| Technology | Two reconfigurable filter couplers | Change in the diameter and position of posts | Change length of slots | Two slots location | Control the distance of a high dielectric constant | Different cross-sectional elements | Change in the position of posts | Change the waveguide loading | Tunable resonators with varactor | Parallel embedded component with HM-SIW |
| Frequency (GHz) | 1–1.3 | 10 | 10–14 | 26 | 29–31 | 4.2–7.2 | 22.5–26.5 | 9.5–10.5 | 6.5 | 4.5–7 |
| Phase difference (°) | 300 | 55 | 90 and 180 | −90, −45, 0, 45, 90 | 275 | 45 and 90 | 60 | 45 | 360 | ~60 |
| Insertion loss (dB) | −4 | −1 | −1.5 | −1.5 | −2 | −2.5 | −1.5 | −1 | −3.5 | <−2 |
| Number of layers and complexity | Complex | 1 | 2 | 1 | Complex | 1 | 1 | 2 | 1 | 1 |
| Reconfigurable | √ | × | × | × | √ | × | × | √ | √ | √ |
| Size (λ0 × λ0) | 1.1 × 0.9 | 0.84 × 0.33 | × | 1.9 × 1.43 | 0.6 × 0.4 | 0.8 × 0.67 | 3.6 × 0.7 | 1.5 × 0.5 | 0.91 × 0.3 | 0.76 × 0.31 |
Disclaimer/Publisher’s Note: The statements, opinions and data contained in all publications are solely those of the individual author(s) and contributor(s) and not of MDPI and/or the editor(s). MDPI and/or the editor(s) disclaim responsibility for any injury to people or property resulting from any ideas, methods, instructions or products referred to in the content. |
© 2023 by the authors. Licensee MDPI, Basel, Switzerland. This article is an open access article distributed under the terms and conditions of the Creative Commons Attribution (CC BY) license (https://creativecommons.org/licenses/by/4.0/).
Share and Cite
Wappi, F.D.; Mnasri, B.; Ghayekhloo, A.; Talbi, L.; Boutayeb, H. Miniaturized Compact Reconfigurable Half-Mode SIW Phase Shifter with PIN Diodes. Technologies 2023, 11, 63. https://doi.org/10.3390/technologies11030063
Wappi FD, Mnasri B, Ghayekhloo A, Talbi L, Boutayeb H. Miniaturized Compact Reconfigurable Half-Mode SIW Phase Shifter with PIN Diodes. Technologies. 2023; 11(3):63. https://doi.org/10.3390/technologies11030063
Chicago/Turabian StyleWappi, Franky Dakam, Bilel Mnasri, Alireza Ghayekhloo, Larbi Talbi, and Halim Boutayeb. 2023. "Miniaturized Compact Reconfigurable Half-Mode SIW Phase Shifter with PIN Diodes" Technologies 11, no. 3: 63. https://doi.org/10.3390/technologies11030063
APA StyleWappi, F. D., Mnasri, B., Ghayekhloo, A., Talbi, L., & Boutayeb, H. (2023). Miniaturized Compact Reconfigurable Half-Mode SIW Phase Shifter with PIN Diodes. Technologies, 11(3), 63. https://doi.org/10.3390/technologies11030063

