From Peak to Plunge: A Multi-Database Analysis of State-Level Disparities in Hydromorphone Use in the US
Abstract
1. Introduction
| Properties | Data | Source |
|---|---|---|
| FDA approved for (age) | Severe pain (adults) | [15] |
| Pharmacodynamics | Opioid (µ agonist) | [16] |
| Formulations | Immediate-release and extended-release tablets and capsules, oral solution, IV | [4] |
| US Schedule (UK Class) | II (A) | [4] |
| Dose (mg/day) | 2–8 I, 8–32 E | [4] |
| Half-life (hours) | 8–15 | [16] |
| StreetRx.com cost/year (2023) | USD 15,534.4 I, USD 62,137.6 E | [6] |
2. Materials and Methods
3. Results
3.1. ARCOS 2010–2023
3.2. Medicaid 2013–2023


3.3. Medicare 2013–2023


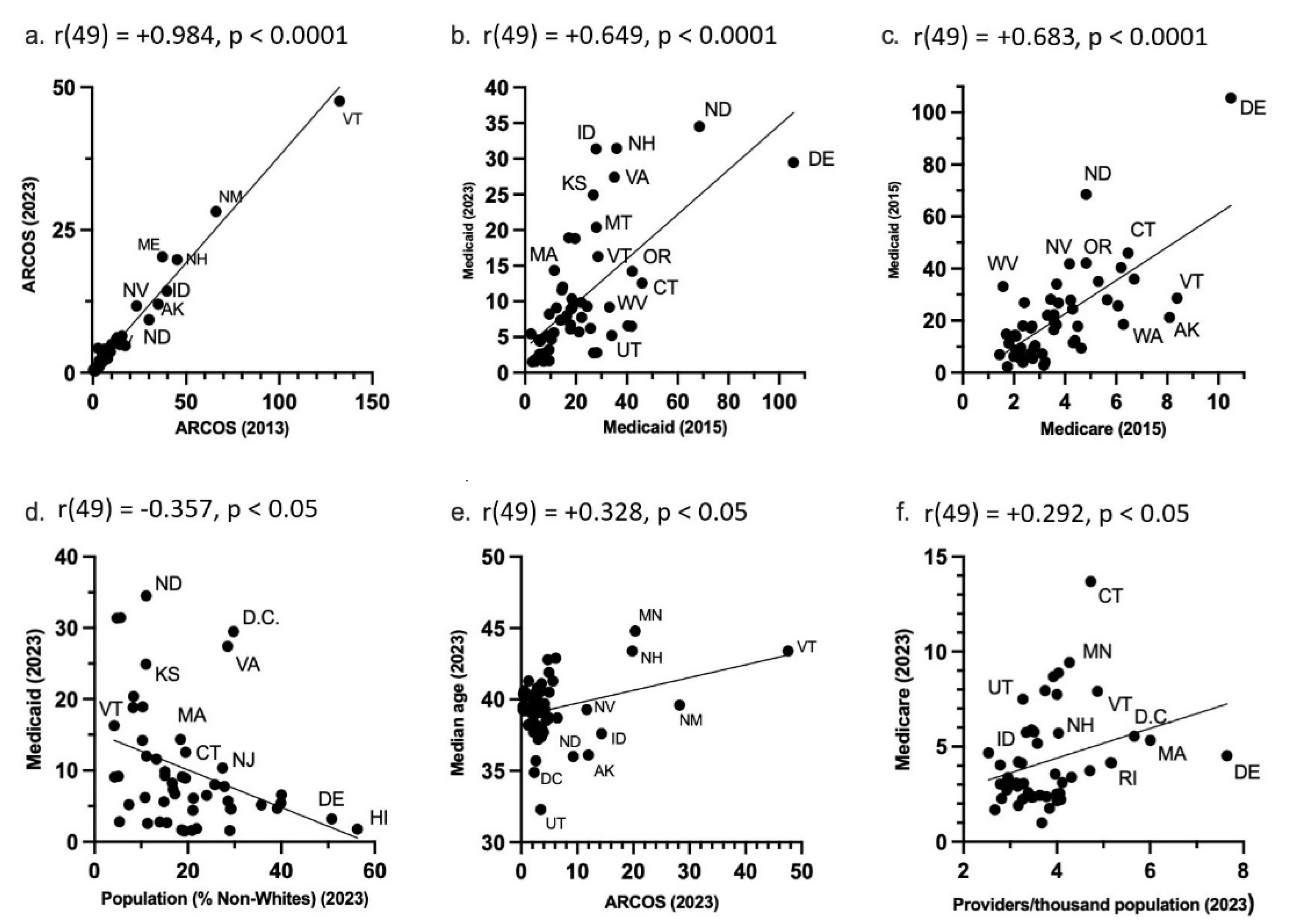
3.4. Correlations
4. Discussion
5. Conclusions
Supplementary Materials
Author Contributions
Funding
Institutional Review Board Statement
Informed Consent Statement
Data Availability Statement
Acknowledgments
Conflicts of Interest
Abbreviations
| ARCOS | Drug Enforcement Administration’s Automated Reports and Consolidated Orders System |
| CDC | Centers for Disease Control and Prevention |
| CMS | Centers for Medicare and Medicaid Services |
| US | United States |
References
- Dowell, D.; Ragan, K.R.; Jones, C.M.; Baldwin, G.T.; Chou, R. CDC Clinical Practice Guideline for Prescribing Opioids for Pain—United States, 2022. MMWR Recomm. Rep. 2022, 71, 1–95. [Google Scholar] [CrossRef]
- Liu, L.; Xu, M.; Wang, J.; Hu, Y.; Huang, Z. Research Progress of Hydromorphone in Clinical Application. Physiol. Res. 2025, 10, 41–48. Available online: https://www.biomed.cas.cz/physiolres/pdf/74/74_41.pdf (accessed on 3 July 2025). [CrossRef]
- Murray, A.; Hagen, N.A. Hydromorphone. J. Pain Symptom Manag. 2005, 29, 57–66. Available online: https://www.jpsmjournal.com/article/S0885-3924(05)00033-3/fulltext (accessed on 3 July 2025). [CrossRef] [PubMed]
- US Drug Enforcement Administration, Diversion Control Division. Hydromorphone; DEA: Washington, DC, USA, 2024. Available online: https://deadiversion.usdoj.gov/drug_chem_info/hydromorphone.pdf (accessed on 3 July 2025).
- Mutter, R.; Black, J.; Iwanicki, J. Changes in the street prices of prescription opioids during the COVID-19 pandemic. Psychiatr Serv. 2023, 74, 63–65. [Google Scholar] [CrossRef] [PubMed]
- Madera, J.D.; Ruffino, A.E.; Feliz, A.; McCall, K.L.; Davis, C.S.; Piper, B.J. Declining but Pronounced State-Level Disparities in Prescription Opioid Distribution in the United States. Pharmacy 2024, 12, 14. [Google Scholar] [CrossRef] [PubMed]
- Gikoska, M.; Florio, A.K.; George, A.; Piper, B.J. Analysis of buprenorphine distribution patterns among pharmacies and hospitals in the USA from 2019 to 2023. BMJ Open 2024, 15, e094454. [Google Scholar] [CrossRef]
- Veazie, S.; Mackey, K.; Peterson, K.; Bourne, D. Managing acute pain in patients taking medication for opioid use disorder: A rapid review. J. Gen. Intern. Med. 2020, 35, 945–953. [Google Scholar] [CrossRef]
- McCormick, Z.; Chu, S.K.; Chang-Chien, G.C.; Joseph, P. Acute pain control challenges with buprenorphine/naloxone therapy in a patient with compartment syndrome secondary to McArdle’s disease: A case report and review. Pain Med. 2013, 14, 1187–1191. [Google Scholar] [CrossRef]
- Solgama, J.P.; Liu, E.; Davis, M.; Graham, J.; McCall, K.L.; Piper, B.J. State-level variation in distribution of oxycodone and opioidrelated deaths from 2000 to 2021: An ecological study of ARCOS and CDC WONDER data in the USA. BMJ Open 2024, 14, e073765. [Google Scholar] [CrossRef]
- Piper, B.J.; Shah, D.T.; Simoyan, O.M.; McCall, K.L.; Nichols, S.D. Trends in medical use of opioids in the US, 2006–2016. Am. J. Prev. Med. 2018, 54, 652–660. [Google Scholar] [CrossRef]
- Drug Enforcement Administration. ARCOS Retail Drug Summary Reports; US Department of Justice: Washington, DC, USA, 2025. Available online: https://www.deadiversion.usdoj.gov/arcos/retail_drug_summary/arcos-drug-summary-reports.html (accessed on 3 July 2025).
- Medicaid.gov. State Drug Utilization Data; Centers for Medicare & Medicaid Services: Baltimore, MD, USA, 2025. Available online: https://www.medicaid.gov/medicaid/prescription-drugs/state-drug-utilization-data (accessed on 3 July 2025).
- Centers for Medicare & Medicaid Services. Medicare Part D Prescribers—By Geography and Drug; Centers for Medicare & Medicaid Services: Baltimore, MD, USA, 2023. Available online: https://data.cms.gov/provider-summary-by-type-of-service/medicare-part-d-prescribers/medicare-part-d-prescribers-by-geography-and-drug (accessed on 3 July 2025).
- MedlinePlus Hydromorphone: MedlinePlus Drug Information; U.S. National Library of Medicine: Baltimore, MD, USA, 2025. Available online: https://medlineplus.gov/druginfo/meds/a682013.html (accessed on 11 July 2025).
- Khadivi, A.; Hughes, B. Hydromorphone; StatPearls Publishing: Treasure Island, FL, USA, 2024. Available online: https://www.ncbi.nlm.nih.gov/books/NBK470393/ (accessed on 11 July 2025).
- US Census Bureau. State Population Totals and Components of Change: 2020–2024; US Census Bureau: Washington, DC, USA, 2025. Available online: https://www.census.gov/data/tables/time-series/demo/popest/2020s-state-total.html (accessed on 3 July 2025).
- Medicaid.gov. State Drug Utilization Data Datasets; Centers for Medicare & Medicaid Services: Baltimore, MD, USA, 2025. Available online: https://data.medicaid.gov/dataset/6c114b2c-cb83-559b-832f-4d8b06d6c1b9 (accessed on 3 July 2025).
- Centers for Medicare & Medicaid Services. Monthly Enrollment by State; Centers for Medicare & Medicaid Services: Baltimore, MD, USA, 2025. Available online: https://www.cms.gov/data-research/statistics-trends-and-reports/medicare-advantagepart-d-contract-and-enrollment-data/monthly-enrollment-state (accessed on 3 July 2025).
- Association of American Medical Colleges, U.S. Physician Workforce Data Dashboard; AAMC: Washington, DC, USA, 2024. Available online: https://www.aamc.org/data-reports/report/us-physician-workforce-data-dashboard (accessed on 3 July 2025).
- US Census Bureau. State Population Estimates: 2020s; Census Bureau: Washington, DC, USA, 2025. Available online: https://www.census.gov/data/datasets/time-series/demo/popest/2020s-state-detail.html (accessed on 3 July 2025).
- Datawrapper. Datawrapper: Create Charts, Maps, and Tables; Datawrapper GmbH: Berlin, Germany, 2025. Available online: https://www.datawrapper.de/ (accessed on 3 July 2025).
- Berkman, S.J.; Roscoe, E.M.; Bourret, J.C. Comparing self-directed methods for training staff to create graphs using Graphpad Prism. J. Appl. Behav. Anal. 2019, 52, 188–204. [Google Scholar] [CrossRef]
- Eidbo, S.A.; Kropp Lopez, A.K.; Hagedorn, J.D.; Mathew, V.; Kaufman, D.E.; Nichols, S.D.; McCall, K.L.; Piper, B.J. Declines and regional variation in opioid distribution by U.S. hospitals. Pain 2022, 163, 1186–1192. [Google Scholar] [CrossRef] [PubMed]
- Akoglu, H. User’s Guide to Correlation Coefficients. Turk. J. Emerg. Med. 2018, 18, 91–93. Available online: https://pmc.ncbi.nlm.nih.gov/articles/PMC6107969/ (accessed on 3 July 2025). [CrossRef] [PubMed]
- NIHCM Foundation. Visualizing the Impact of the Opioid Overdose Crisis; National Institute for Health Care Management: Washington, DC, USA, 2022; Available online: https://nihcm.org/publications/visualizing-the-impact-of-the-opioid-overdose-crisis (accessed on 21 July 2025).
- GovFacts. The Opioid Crisis: Prevention, Treatment, and Recovery. GovFacts. Updated July 2025; Cited 21 July 2025. Available online: https://govfacts.org/federal/cdc/the-opioid-crisis-prevention-treatment-and-recovery/ (accessed on 21 July 2025).
- Saunders, H.; Panchal, N.; Zitter, S. Opioid Deaths Fell in Mid-2023, But Progress Is Uneven and Future Trends Are Uncertain; KFF: San Francisco, CA, USA, 2024; Available online: https://www.kff.org/mental-health/issue-brief/opioid-deaths-fell-in-mid-2023-but-progress-is-uneven-and-future-trends-are-uncertain/ (accessed on 21 July 2025).
- Centers for Disease Control and Prevention (CDC). Overdose Prevention: Prevention Strategies; CDC: Atlanta, GA, USA, 2025. Available online: https://www.cdc.gov/overdose-prevention/prevention/index.html (accessed on 21 July 2025).
- Centers for Disease Control and Prevention (CDC). Overdose Data to Action (OD2A): About the Program; CDC: Atlanta, GA, USA, 2025. Available online: https://www.cdc.gov/overdose-prevention/php/od2a/about.html (accessed on 21 July 2025).
- Centers for Disease Control and Prevention (CDC). Opioid Rapid Response Program (ORRP); CDC: Atlanta, GA, USA, 2025. Available online: https://www.cdc.gov/overdose-prevention/orrp/index.html (accessed on 21 July 2025).
- PDMP Training and Technical Assistance Center. Prescription Drug Monitoring Program (PDMP) Overview; Brandeis University: Waltham, MA, USA, 2025. Available online: https://www.pdmpassist.org/ (accessed on 21 July 2025).
- Centers for Disease Control and Prevention (CDC). Prescription Drug Monitoring Programs (PDMPs); CDC: Atlanta, GA, USA, 2024. Available online: https://www.cdc.gov/overdose-prevention/php/interventions/prescription-drug-monitoring-programs.html (accessed on 21 July 2025).
- Centers for Medicare & Medicaid Services (CMS). Opioid Crisis in America; CMS: Baltimore, MD, USA, 2025. Available online: https://www.cms.gov/priorities/key-initiatives/opioids (accessed on 21 July 2025).
- Low, C.Y.; McCall, K.L.; Piper, B.J. Declines in Tapentadol Use in the US but Pronounced Regional Variation. Pharmacy 2025, 13, 67. Available online: https://pubmed.ncbi.nlm.nih.gov/40407505/ (accessed on 21 July 2025). [CrossRef] [PubMed]
- Drug Enforcement Administration (DEA). Quotas for Controlled Substances; DEA Diversion Control Division: Washington, DC, USA, 2024. Available online: https://www.deadiversion.usdoj.gov/quotas/quotas.html (accessed on 21 July 2025).
- Berenbrok, L.A.; Murphy, M.; Herbert, S. Community Pharmacies Are Closing. Here’s What to Do If Your Neighborhood Location Does Too; PBS NewsHour: Arlington, VA, USA, 2025; Available online: https://www.pbs.org/newshour/health/community-pharmacies-are-closing-heres-what-to-do-if-your-neighborhood-location-does-too (accessed on 21 July 2025).
- Centers for Medicare & Medicaid Services (CMS). A Prescriber’s Guide to Medicare Prescription Drug (Part D) Opioid Policies; CMS: Baltimore, MD, USA, 2024. Available online: https://www.cms.gov/files/document/mln2886155-prescribers-guide-medicare-prescription-drug-part-d-opioid-policies.pdf (accessed on 21 July 2025).
- Centers for Disease Control and Prevention (CDC). Achieving Health Equity Around Overdoses; CDC: Atlanta, GA, USA, 2024. Available online: https://www.cdc.gov/overdose-prevention/health-equity/achieving-health-equity-around-overdoses.html (accessed on 21 July 2025).
- Lucas, J.W.; Sohi, I. Chronic Pain and High-impact Chronic Pain in U.S. Adults, 2023; National Center for Health Statistics: Hyattsville, MD, USA, 2024. Available online: https://www.cdc.gov/nchs/products/databriefs/db518.htm (accessed on 21 July 2025).
- Association of American Medical Colleges (AAMC). New AAMC Report Shows Continuing Projected Physician Shortage; AAMC: Washington, DC, USA, 2024; Available online: https://www.aamc.org/news/press-releases/new-aamc-report-shows-continuing-projected-physician-shortage (accessed on 21 July 2025).
- Jane, S. Millions in US Live in Places Where Doctors Don’t Practice and Telehealth Doesn’t Reach—KFF Health News; KFF Health News: San Francisco, CA, USA, 2025. Available online: https://kffhealthnews.org/news/article/dead-zone-sickest-counties-slow-internet-broadband-desert-health-care-provider-shortage/ (accessed on 21 July 2025).
- Sarhill, N.; Walsh, D.; Nelson, K.A. Hydromorphone: Pharmacology and clinical applications in cancer patients. Support Care Cancer 2001, 9, 84–96. [Google Scholar] [CrossRef]
- US Food and Drug Administration. Hydromorphone Hydrochloride, USP; FDA: Silver Spring, MD, USA, 2023. Available online: https://www.accessdata.fda.gov/drugsatfda_docs/label/2023/019034s046lbl.pdf (accessed on 21 July 2025).
- American Hospital Association (AHA). Stem the Tide: Opioid Stewardship Measurement Implementation Guide; AHA: Chicago, IL, USA, 2020. Available online: https://www.aha.org/system/files/media/file/2020/07/HIIN-opioid-guide-0520.pdf (accessed on 21 July 2025).
- Macy, B. Dopesick: Dealers, Doctors, and the Company that Addicted America; Little, Brown & Company: New York, NY, USA, 2018. [Google Scholar]
- Attanasio, P.; Jacobs, K.; Shore, D.; Singer, B.; van der Meer, G.; Blake, P.; Kaplan, M.G.; Moran, T.L.; Friend, R.; Lerner, G.; et al. House [Television Series]; Fox Broadcasting Company: Los Angeles CA, USA, 2004–2012; Available online: https://www.imdb.com/title/tt0412142/ (accessed on 3 July 2025).
- Falco, E.; Schulze, P.; Jerins, R.; Akalitus, G.; Peyton, F.; Peyton, K.; Facinelli, P.; Wallem, L.; Brixius, L.; Falco, E. Nurse Jackie [Television Series]; Showtime Networks: New York, NY, USA, 2009–2015. Available online: https://www.imdb.com/title/tt1190689/ (accessed on 3 July 2025).
- Glod, S.A. The Other Victims of the Opioid Epidemic. N. Engl. J. Med. 2017, 376, 2101–2102. [Google Scholar] [CrossRef]
- Guzikevits, M.; Gordon-Hecker, T.; Rekhtman, D.; Salameh, S.; Israel, S.; Shayo, M.; Gozal, D.; Perry, A.; Gileles-Hillel, A.; Choshen-Hillel, S. Sex Bias in Pain Management Decisions. Proc. Natl. Acad. Sci. USA 2024, 5, 121. [Google Scholar] [CrossRef]
- Johnson-Jennings, M.; Duran, B.; Hakes, J.; Paffrath, A.; Little, M.M. The influence of undertreated chronic pain in a national survey: Prescription medication misuse among American Indians, Asian Pacific Islanders, Blacks, Hispanics and whites. SSM Popul. Health 2020, 11, 100563. [Google Scholar] [CrossRef]
- O’Gurek, D.T.; Leasy, M.J. Guidelines and Policies. Prim. Care Clin. Off. Pract. 2022, 49, 507–515. [Google Scholar] [CrossRef]
- Phillips, J.K.; Ford, M.A.; Bonnie, R.J. Evidence on Strategies for Addressing the Opioid Epidemic; Nih.gov; National Academies Press (US): Washington, DC, USA, 2020. Available online: https://www.ncbi.nlm.nih.gov/books/NBK458653/ (accessed on 21 July 2025).
- Pitt, A.L.; Humphreys, K.; Brandeau, M.L. Modeling Health Benefits and Harms of Public Policy Responses to the US Opioid Epidemic. Am. J. Public Health 2018, 108, 1394–1400. [Google Scholar] [CrossRef]
- Wei, Y.J.J.; Schmidt, S.; Fillingim, R.B.; Brock, G.; Schmidt, S.; Winterstein, A.G. Unrelieved pain and risk of opioid use disorder or overdose in older adults prescribed opioids. Pain 2025, 166, e252–e260. [Google Scholar] [CrossRef]
- Winger, J.G.; Plumb Vilardaga, J.C.; Keefe, F.J. Indices of pain variability. Pain 2019, 160, 2411–2412. [Google Scholar] [CrossRef]
- Schepis, T.S.; Wastila, L.; Ammerman, B.; McCabe, V.V.; McCabe, S.E. Prescription Opioid Misuse Motives in US Older Adults. Pain Med. 2019, 21, 2237–2243. [Google Scholar] [CrossRef]
- Jobski, K.; Bantel, C.; Hoffmann, F. Characteristics and completeness of spontaneous reports by reporter’s role in Germany: An analysis of the EudraVigilance database using the example of opioid -associated abuse, dependence, or withdrawal. Pharmacol. Res. Perspect. 2023, 11, e01077. [Google Scholar] [CrossRef]
- Heneka, N.; Shaw, T.; Rowett, D.; Phillips, J.L. Quantifying the burden of opioid medication errors in adult oncology and palliative care settings: A systematic review. Palliat. Med. 2015, 30, 520–532. [Google Scholar] [CrossRef]
- Gustafsson, M.; Silva, V.; Valeiro, C.; Joaquim, J.; van Hunsel, F.; Matos, C. Misuse, Abuse and Medication Errors’ Adverse Events Associated with Opioids—A Systematic Review. Pharmaceuticals 2024, 17, 1009. [Google Scholar] [CrossRef]



| Medicaid (2015) | Medicare (2015) | ARCOS (2023) | Medicaid (2023) | Medicare (2023) | Median Age (2023) | % Non-Whites (2023) | Providers/Thousand People (2023) | |
|---|---|---|---|---|---|---|---|---|
| ARCOS (2013) | 0.124 | 0.408 ** | 0.984 *** | 0.266 | 0.199 | 0.293 * | −0.277 * | 0.056 |
| Medicaid (2015) | 0.683 *** | 0.117 | 0.649 *** | 0.337 * | −0.247 | −0.175 | 0.152 | |
| Medicare (2015) | 0.389 ** | 0.488 ** | 0.572 *** | −0.041 | −0.073 | 0.385 * | ||
| ARCOS (2023) | 0.258 | 0.233 | 0.328 * | 0.325 * | 0.042 | |||
| Medicaid (2023) | 0.192 | 0.098 | 0.357 * | 0.015 | ||||
| Medicare (2023) | 0.162 | 0.195 | 0.292 * | |||||
| Median age (2023) | −0.049 | 0.299 * | ||||||
| % Non-Whites (2023) | 0.320 * |
Disclaimer/Publisher’s Note: The statements, opinions and data contained in all publications are solely those of the individual author(s) and contributor(s) and not of MDPI and/or the editor(s). MDPI and/or the editor(s) disclaim responsibility for any injury to people or property resulting from any ideas, methods, instructions or products referred to in the content. |
© 2025 by the authors. Licensee MDPI, Basel, Switzerland. This article is an open access article distributed under the terms and conditions of the Creative Commons Attribution (CC BY) license (https://creativecommons.org/licenses/by/4.0/).
Share and Cite
Patel, K.S.; Pande, L.J.; McCall, K.L.; Piper, B.J. From Peak to Plunge: A Multi-Database Analysis of State-Level Disparities in Hydromorphone Use in the US. Pharmacy 2025, 13, 147. https://doi.org/10.3390/pharmacy13050147
Patel KS, Pande LJ, McCall KL, Piper BJ. From Peak to Plunge: A Multi-Database Analysis of State-Level Disparities in Hydromorphone Use in the US. Pharmacy. 2025; 13(5):147. https://doi.org/10.3390/pharmacy13050147
Chicago/Turabian StylePatel, Krisha S., Leana J. Pande, Kenneth L. McCall, and Brian J. Piper. 2025. "From Peak to Plunge: A Multi-Database Analysis of State-Level Disparities in Hydromorphone Use in the US" Pharmacy 13, no. 5: 147. https://doi.org/10.3390/pharmacy13050147
APA StylePatel, K. S., Pande, L. J., McCall, K. L., & Piper, B. J. (2025). From Peak to Plunge: A Multi-Database Analysis of State-Level Disparities in Hydromorphone Use in the US. Pharmacy, 13(5), 147. https://doi.org/10.3390/pharmacy13050147

