Developmental Aspects of Greek Vowel Reduction in Different Prosodic Positions
Abstract
1. Introduction
1.1. Phonetic Vowel Reduction
1.2. Phonetic Vowel Reduction in Greek
1.3. Vowel Production and Vowel Reduction in Children
- To investigate the development of vowel production and vowel reduction across a wide range of ages (from 3 years old to adults) of both genders under various stress conditions (stressed, pre-stressed, and post-stressed vowels) due to their differing prosodic strengths;
- To examine the relationship between temporal and spatial stress-induced vowel reduction across ages.
2. Materials and Methods
2.1. Participants
2.2. Speech Material
2.3. Recordings
2.4. Measurements
2.4.1. Acoustic Analysis
- By controlling for differences in anatomy and speech rate in the normalized values, we can directly infer in which stress condition children face the greatest difficulties in reduction;
- Without controlling for differences in anatomy and speech rate that normalized values allow, the correlation between temporal and spatial vowel reduction is problematic because each speaker has a different speech rate and different sizes in the acoustic space, making it impossible to see in the overall data of each age group how a change in duration due to the stress conditions results in a change in spectral characteristics;
- Examining only the normalized values for the phenomenon of vowel reduction is sufficient because, as shown in Christodoulidou et al. (2023), the degree of vowel reduction between the stress conditions and the observed age-related differences in this degree do not depart extensively from non-normalized measurements.
2.4.2. Statistical Analysis
3. Results
3.1. Normalized/Relative Vowel Duration
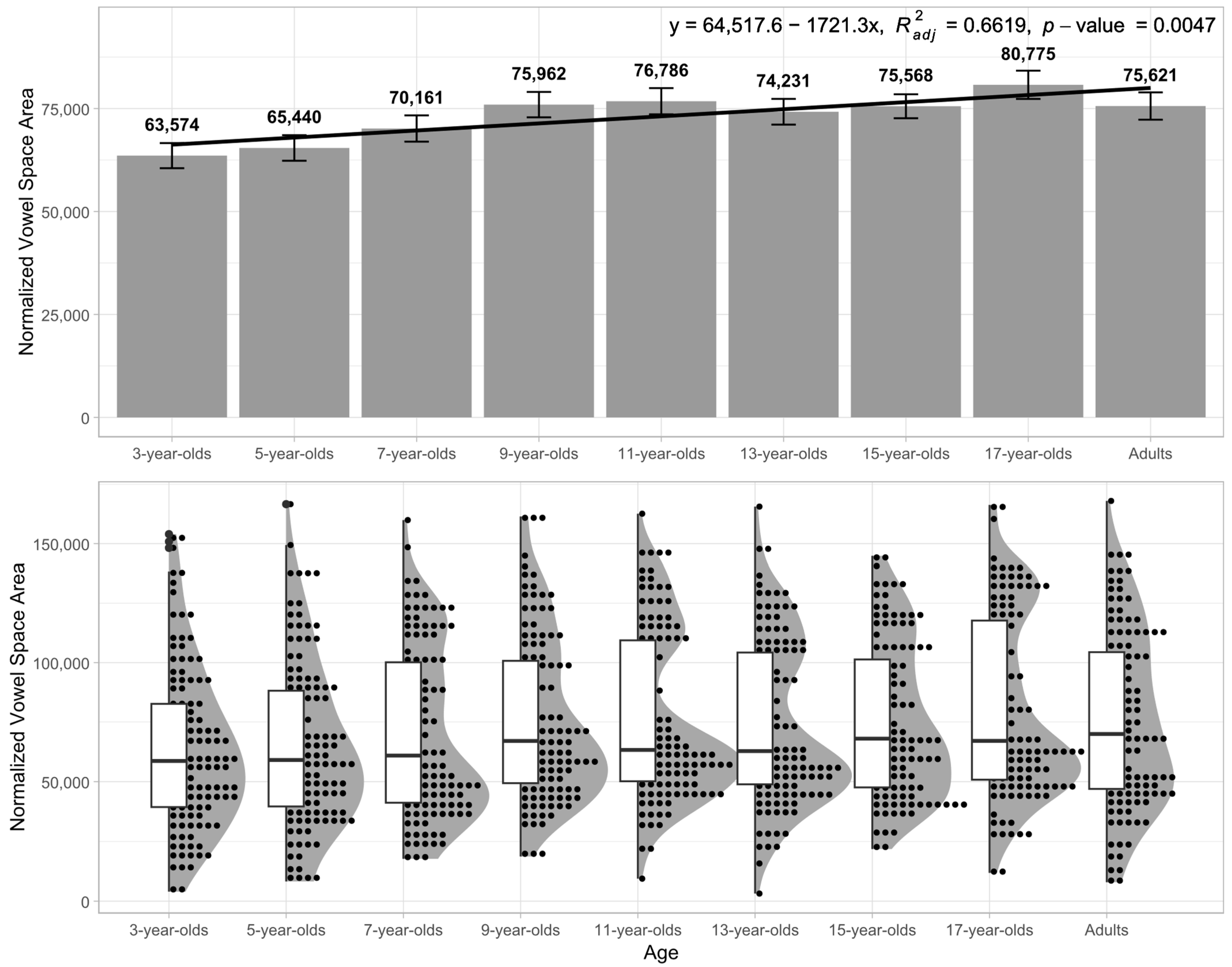
3.2. Normalized Vowel Space Areas
3.3. Euclidean Distances
3.4. Relationship between Temporal and Spatial Vowel Reduction
3.4.1. Correlations between Relative Vowel Duration and Normalized Vowel Space Areas
3.4.2. Correlations between Relative Vowel Duration and Euclidean Distances
4. Discussion
4.1. Vowel Development
4.2. Development of Vowel Reduction
4.3. Gender-Related Differences
5. Conclusions
Supplementary Materials
Author Contributions
Funding
Institutional Review Board Statement
Informed Consent Statement
Data Availability Statement
Acknowledgments
Conflicts of Interest
Appendix A
| Test Words | HelexKids | ||
|---|---|---|---|
| CV Containing the Examined Vowel | |||
| Unstressed | Stressed | Total | |
| [ˈɣɐlɐtɐ] | 21,615 | 13,883 | 35,498 | 
| [sɐˈlɐtɐ] | 21,615 | 13,883 | 35,498 | 
| [ɣɐlɐˈtɐ] | 21,615 | 13,883 | 35,498 | 
| [ˈpolɛmo] | 16,506 | 11,613 | 28,119 | 
| [poˈlɛmɐ] | 16,506 | 11,613 | 28,119 | 
| [polɛˈmo] | 16,506 | 11,613 | 28,119 | 
| [ˈkodinɐ] | 6752 | 3280 | 10,032 | 
| [koˈdino] | 6752 | 3280 | 10,032 | 
| [kodiˈnɐ] | 6752 | 3280 | 10,032 | 
| [ˈbɐlonɐ] | 20,217 | 8853 | 29,070 | 
| [bɐˈlono] | 20,217 | 8853 | 29,070 | 
| [bɐloˈnɐ] | 20,217 | 8853 | 29,070 | 
| [ˈmɐɣulɐ] | 2353 | 2277 | 4630 | 
| [mɐˈɣulɐ] | 2353 | 2277 | 4630 | 
| [mɐɣuˈlɐ] | 2353 | 2277 | 4630 | 
| MINIMUM | 2353 | 2277 | 4630 | 
| MAXIMUM | 21,615 | 13,883 | 35,498 | 
References
- Abakarova, Dzhuma, Khalil Iskarous, and Aude Noiray. 2018. Quantifying lingual coarticulation in German using mutual information: An ultrasound study. The Journal of the Acoustical Society of America 144: 897–907. [Google Scholar] [CrossRef] [PubMed]
- Adank, Patti M., Roel Smits, and Roeland van Hout. 2004. A comparison of vowel normalization procedures for language variation research. The Journal of the Acoustical Society of America 116: 3099–107. [Google Scholar] [CrossRef] [PubMed]
- Allen, George D., and Sarah Hawkins. 1980. Phonological rhythm: Definition and development. In Child Phonology: Production. Edited by Grace H. Yeni-Komshian, James F. Kavanagh and Charles A. Ferguson. New York: Academic Press, vol. 1, pp. 227–56. [Google Scholar]
- Arvaniti, Amalia. 1999. Standard Modern Greek. Journal of the International Phonetic Association 29: 167–72. [Google Scholar] [CrossRef]
- Arvaniti, Amalia. 2000. The phonetics of stress in Greek. Journal of Greek Linguistics 1: 9–39. [Google Scholar] [CrossRef]
- Babatsouli, Elena. 2019. Melodies of child Greek-English phonological interference. Revista de Estudos da Línguagem 17: 209–36. [Google Scholar] [CrossRef]
- Babatsouli, Elena. 2020. Separation of vowel sequences by consonant addition in a child’s bilingual development. Journal of Monolingual and Bilingual Speech 2: 290–314. [Google Scholar] [CrossRef]
- Babatsouli, Elena. 2021. What is in the ‘I’ of the beholder: Modeling the processing of consonant addition in a child’s pronoun. Communications in Statistics: Case Studies, Data Analysis and Applications 7: 670–94. [Google Scholar] [CrossRef]
- Ballard, Kirrie J., Danica Djaja, Joanne Arciuli, Deborah G. H. James, and Jan van Doorn. 2012. Developmental trajectory for production of prosody: Lexical stress contrastivity in children ages 3 to 7 years and in adults. Journal of Speech, Language, and Hearing Research 55: 1822–35. [Google Scholar] [CrossRef]
- Baltazani, Mary. 2007. Prosodic Rhythm and the Status of Vowel Reduction in Greek. Selected Papers on Theoretical and Applied Linguistics 17: 31–43. [Google Scholar]
- Barbier, Guillaume, Pascal Perrier, Lucie Ménard, Yohan Payan, Mark K. Tiede, and Joseph S. Perkell. 2015. Speech planning in 4-year-old children versus adults: Acoustic and articulatory analyses. Paper presented at INTERSPEECH 2015, Dresden, Germany, September 6–10; pp. 374–78. [Google Scholar]
- Barnes, Jonathan. 2006. Strength and Weakness at the Interface: Positional Neutralization in Phonetics and Phonology. (Phonology and Phonetics 10). Berlin and New York: Mouton de Gruyter. [Google Scholar]
- Boë, Louis-Jean, Jean Granat, Pierre Badin, Denis Autesserre, David Pochic, Nassim Zga, Nathalie Henrich, and Lucie Ménard. 2007. Skull and Vocal Tract Growth from Newborn to Adult. Paper presented at the 7th International Seminar on Speech Production, Ubatuba, Brazil, December 13–17; pp. 75–82. [Google Scholar]
- Boersma, Paul, and David Weenink. 2023. Praat: Doing Phonetics by Computer. (Version 6.3.08), 1992–2023. Available online: https://www.praat.org (accessed on 10 February 2023).
- Botinis, Antonis. 1989. Stress and Prosodic Structure in Greek: A phonological, Acoustic, Physiological And Perceptual Study. Lund: Lund University Press. [Google Scholar]
- Browman, Catherine P., and Louis Goldstein. 1992. Articulatory Phonology: An overview. Phonetica 49: 155–80. [Google Scholar] [CrossRef]
- Buder, Eugene H., and Carol Stoel-Gammon. 2002. American and Swedish children’s acquisition of vowel duration: Effects of vowel identity and final stop voicing. The Journal of Acoustical Society of America 111: 1854–64. [Google Scholar] [CrossRef] [PubMed]
- Busby, Peter. A., and G. L. Plant. 1995. Formant frequency values of vowels produced by preadolescent boys and girls. The Journal of Acoustical Society of America 97: 2603–6. [Google Scholar] [CrossRef] [PubMed]
- Chen, Francine R. 1980. Acoustic Characteristics and Intelligibility of Clear and Conversational Speech at the Segmental Level. Master’s thesis, MIT, Cambridge, MA, USA. [Google Scholar]
- Cheng, Hei Y., Bruce E. Murdoch, Justine V. Goozée, and Dion Scott. 2007. Electropalatographic assessment of tongue-to-palate contact patterns and variability in children, adolescents, and adults. Journal of Speech, Language, and Hearing Research 50: 375–92. [Google Scholar] [CrossRef]
- Chopper, Cynthia G., and Rory Turnbull. 2018. Exploring variation in phonetic reduction: Linguistic, social, and cognitive factors. In Rethinking Reduction: Interdisciplinary Perspectives on Conditions, Mechanisms, and Domains for Phonetic Variation. Edited by Francesco Cangemi, Meghan Clayards, Oliver Niebuhr, Barbara Schuppler and Margaret Zellers. Berlin: De Gruyter Mouton, pp. 25–72. [Google Scholar]
- Christodoulidou, Polychronia, Katerina Nicolaidis, and Dimitrios Stamovlasis. 2023. Vowel Reduction by Greek-Speaking Children: The Effect of Stress and Word Length. Paper presented at INTERSPEECH 2023, Dublin, Ireland, August 20–24; pp. 4773–7. [Google Scholar]
- Cooke, J. D. 1980. The organization of simple, skilled movements. In Tutorials in Motor Behavior. Edited by George E. Stelmach and Jean Requin. Amsterdam: North-Holland, pp. 199–212. [Google Scholar]
- Dauer, Rebecca M. 1980a. Stress and Rhythm in Modern Greek. Ph.D. dissertation, University of Edinburgh, Edinburgh, Scotland. [Google Scholar]
- Dauer, Rebecca M. 1980b. The reduction of unstressed high vowels in modern Greek. Journal of the International Phonetic Association 10: 17–27. [Google Scholar] [CrossRef]
- DeCasper, Anthony J., and Melanie J. Spence. 1986. Prenatal maternal speech influences newborns’ perception of speech sounds. Infant Behavior and Development 9: 133–50. [Google Scholar] [CrossRef]
- Delforge, Ann M. 2008. Unstressed Vowel Reduction in Andrean Spanish. In Selected Proceedings of the 3rd Conference on Laboratory Approaches to Spanish Phonology. Somerville: Cascadilla Proceedings Project, pp. 107–24. [Google Scholar]
- Ericsdotter, Christine, and Anna M. Ericsson. 2001. Gender differences in vowel duration in read Swedish: Preliminary results. Working Papers of the Department of Linguistics, Lund University 49: 34–37. [Google Scholar]
- Fitch, Tecumseh W., and Jay Giedd. 1999. Morphology and development of the human vocal tract: A study using magnetic resonance imaging. The Journal of the Acoustical Society of America 106: 1511–22. [Google Scholar] [CrossRef]
- Flege, James E. 1988. Effects of speaking rate on tongue position and velocity movement. The Journal of the Acoustical Society of America 84: 901–16. [Google Scholar] [CrossRef] [PubMed]
- Fourakis, Marios. 1991. Tempo, stress and vowel reduction in American English. The Journal of the Acoustical Society of America 90: 1816–27. [Google Scholar] [CrossRef]
- Fourakis, Marios, Antonis Botinis, and Maria Katsaiti. 1999. Acoustic characteristics of Greek vowels. Phonetica 56: 28–43. [Google Scholar] [CrossRef]
- Gendrot, Cédric, and Martine Adda-Decker. 2005. Impact of Duration on F1/F2 Formant Values of Oral Vowels: An Automatic Analysis of Large Broadcast News Corpora in French and German. Paper presented at INTERSPEECH 2005, Lisbon, Portugal, September 4–8; pp. 2453–56. [Google Scholar]
- Gerosa, Matteo, Sungbok Lee, Diego Giuliani, and Shrikanth Narayanan. 2006. Analyzing Children’s Speech: An Acoustic Study of Consonants and Consonant-Vowel Transition. Presented at the International Conference on Acoustics, Speech, and Signal Processing, Toulouse, France, May 14–19; pp. 393–96. [Google Scholar]
- Green, Jordan R., and Ignatius S. B. Nip. 2010. Some organization principles in early speech development. In Speech Motor Control: New Developments in Basic and Applied Research. Edited by Ben Maassen and Pascal van Lieshout. Oxford: Oxford University Press, pp. 171–88. [Google Scholar]
- Green, Jordan R., Christopher A. Moore, and Kevin J. Reilly. 2002. The sequential development of lip and jaw control for speech. Journal of Speech, Language, and Hearing Research 45: 66–79. [Google Scholar] [CrossRef] [PubMed]
- Harmegnies, Bernard, and Dolors Poch-Olivé. 1992. A study of style-induced vowel variability: Laboratory versus spontaneous speech in Spanish. Speech Communication 11: 429–37. [Google Scholar] [CrossRef]
- Hillenbrand, James, Laura A. Getty, Michael J. Clark, and Kimberlee Wheeler. 1995. Acoustic characteristics of American English vowels. The Journal of Acoustical Society of America 97: 3099–111. [Google Scholar] [CrossRef]
- Huber, Jessica E., Elaina T. Stathopoulos, Gina M. Curione, Theresa A. Ash, and Kenneth Johnson. 1999. Formants of children, women, and men: The effects of vocal intensity variation. The Journal of Acoustical Society of America 106: 1532–42. [Google Scholar] [CrossRef]
- Joos, Martin. 1948. Acoustic Phonetics. Waverly and Baltimore: Linguistic Society of America. [Google Scholar]
- Jusczyk, Peter W., Anne Cutler, and Naney J. Redanz. 1993. Infants’ preference for the predominant stress patterns of English words. Child Development 64: 675–87. [Google Scholar] [CrossRef] [PubMed]
- Jusczyk, Peter W., Derek M. Houston, and Mary Newsome. 1999. The beginnings of word segmentation in English-learning infants. Cognitive Psychology 38: 159–207. [Google Scholar] [CrossRef]
- Kallay, Jeffrey E., Layra Dilley, and Melissa A. Redford. 2022. Prosodic development during the early school-age years. Journal of Speech, Language, and Hearing Research 65: 4025–46. [Google Scholar] [CrossRef]
- Kapatsinski, Vsevolod, Shelece Easterday, and Joan Bydee. 2020. Vowel reduction: A usage-based perspective. Italian Journal of Linguistics 32: 19–44. [Google Scholar]
- Kehoe, Margaret, Carol Stoel-Gammon, and Eugene Buder. 1995. Acoustic correlates of stress in young children’s speech. Journal of Speech and Hearing Research 38: 338–50. [Google Scholar] [CrossRef][Green Version]
- Kelmali, Eirini. 2020. An Acoustic Analysis of Greek Fricatives and Vowels Produced by Adults and Children. Ph.D. dissertation, Aristotle University of Thessaloniki, Thessaloniki, Greece. [Google Scholar]
- Kent, Ray D. 1992. The biology of phonological development. In Phonological Development: Models, Research, Implications. Edited by Charles A. Ferguson, Lise Menn and Carol Stoel-Gammon. Timonium: York Press, pp. 65–90. [Google Scholar]
- Kent, Ray D., and Carrie Rountrey. 2020. What acoustic studies tell us about vowels in developing and disordered speech. American Journal of Speech-Language Pathology 29: 1749–78. [Google Scholar] [CrossRef]
- Koopmans-van Beinum, Florina J. 1980. Vowel Contrast Reduction, an Acoustic and Perceptual Study of Dutch Vowels in Various Speech Conditions. Ph.D. thesis, University of Amsterdam, Amsterdam, The Netherlands. [Google Scholar]
- Kuehn, David P., and Kenneth L. Moll. 1976. A cineradiographic study of VC and CV articulatory velocities. Journal of Phonetics 4: 303–20. [Google Scholar] [CrossRef]
- Kul, Małgorzata. 2010. Towards a gradual scale of vowel reduction: A pilot study. Poznań Studies in Contemporary Linguistics 46: 429–56. [Google Scholar] [CrossRef]
- Ladefoged, Peter, and Keith Johnson. 2010. A Course in Phonetics, 6th ed. Boston: Cengage Learning. [Google Scholar]
- Lee, Sue A. S., Barbara Davis, and Peter MacNeilage. 2010. Universal production patterns and ambient language influences in babbling: A crosslinguistic study of Korean- and English-learning infants. Journal of Child Language 37: 293–318. [Google Scholar] [CrossRef]
- Lee, Sungbok, Alexandros Potamianos, and Shrikanth Narayanan. 1999. Acoustics of children’s speech: Developmental changes of temporal and spectral parameters. The Journal of Acoustical Society of America 105: 1455–68. [Google Scholar] [CrossRef]
- Lee, Wai-Sum. 2016. Gender-related Frequency Characteristics in Children’s Speech. Paper presented at the International Symposium on Applied Phonetics (ISAPh 2016), Nagoya, Japan, March 25–28; pp. 56–61. [Google Scholar]
- Lehiste, Isle. 1970. Suprasegmentals. Cambridge: MIT Press. [Google Scholar]
- Lengeris, Angelos. 2012. Phonetic Vowel Reduction in Standard Modern Greek. In Selected Papers of the 10th International Conference on Greek Linguistics. Komotini: Democritus University of Thrace, pp. 401–7. [Google Scholar]
- Lindblom, Björn. 1963. Spectrographic study of vowel reduction. The Journal of the Acoustical Society of America 35: 1773–81. [Google Scholar] [CrossRef]
- Lindblom, Björn. 1990. Explaining phonetic variation: A sketch of the H&H Theory. In Speech Production and Speech Modelling. Edited by William J. Hardcastle and Alain Marchal. Dordrecht: Kluwer Academic Publishers, pp. 403–39. [Google Scholar]
- Mahr, Tristan J., Jennifer U. Soriano, Paul J. Rathouz, and Katherine C. Hustad. 2021. Speech development between 30 and 119 months in typical children II: Articulation rate growth curves. Journal of Speech, Language, and Hearing Research 64: 4057–70. [Google Scholar] [CrossRef] [PubMed]
- Mennen, Ineke, and Areti Okalidou. 2007. Greek speech acquisition. In The International Guide to Speech Acquisition. Edited by Sharynne McLeod. Clifton Park: Thomson Delmar Learning, pp. 398–411. [Google Scholar]
- Meunier, Christine, and Robert Espesser. 2011. Vowel reduction in conversational speech in French: The role of lexical factors. Journal of Phonetics 39: 271–78. [Google Scholar] [CrossRef]
- Miller, Patricia D. 1972. Vowel Neutralization and Vowel Reduction. Paper presented at the 8th Regional Meeting Chicago Linguistic Society, Chicago, IL, USA, April 14–16; pp. 482–89. [Google Scholar]
- Moon, Seung-Jae, and Björn Lindblom. 1994. Interaction between duration, context, and speaking style in English stressed vowels. The Journal of the Acoustical Society of America 96: 40–55. [Google Scholar] [CrossRef]
- Nespor, Marina, Marcela Peña, and Jacques Mehler. 2003. On the different roles of vowels and consonants in speech processing and language acquisition. Lingue e Linguaggio 2: 203–29. [Google Scholar]
- Nicolaidis, Katerina. 1990. Vowel reduction: Evidence from Greek. Speech Research Laboratory, Reading University, Work in Progress 6: 77–121. [Google Scholar]
- Nicolaidis, Katerina. 2003. Acoustic Variability of Vowels in Greek Spontaneous Speech. Paper at the XVth International Congress of Phonetic Sciences (ICPhS), Universidad Autónoma de Barcelona, Barcelona, Spain, August 3–9; pp. 3221–24. [Google Scholar]
- Noiray, Aude, Dzhuma Abakarova, Elina Rubertus, Stella Krüger, and Mark Tiede. 2018. How do children organize their speech in the first years of life? Insight from ultrasound imaging. Journal of Speech, Language and Hearing Research 61: 1355–68. [Google Scholar] [CrossRef] [PubMed]
- Nord, Lennart. 1986. Acoustic studies of vowel reduction in Swedish. Quarterly Progress and Status Report 27: 19–36. [Google Scholar]
- Oh, Sejin. 2019. Phonetic and Phonological Vowel Reduction in Brazilian Portuguese. Paper presented at the 19th International Congress of Phonetic Sciences (ICPhS), Melbourne, Australia, August 5–9; pp. 137–41. [Google Scholar]
- Ostry, David J., Rosemary F. Feltham, and Kevin G. Munhall. 1984. Characteristics of speech motor development in children. Developmental Phonology 20: 859–71. [Google Scholar] [CrossRef]
- Panhellenic Association of Logopedists. 1995. Dokimasia Phonitikis kai Phonologikis Ekseliksis. [Phonetic and Phonological Development Test]. Athens: PAL. [Google Scholar]
- Papadopoulou, K. 2000. Phonological Acquisition of Modern Greek. Unpublished BSc. Honours thesis, University of Newcastle, Tyne, UK. [Google Scholar]
- Pettinato, Michèle, Outi Tuomainen, Sonia Granlund, and Valerie Hazan. 2016. Vowel space area in later childhood and adolescence: Effects of age, sex and ease of communication. Journal of Phonetics 54: 1–14. [Google Scholar] [CrossRef]
- Pollock, Karen E., and Mary C. Berni. 2003. Incidence of non-rhotic vowel errors in children: Data from the Memphis Vowel Project. Clinical Linguistics and Phonetics 17: 393–401. [Google Scholar] [CrossRef] [PubMed]
- Pollock, Karen E., Diane M. Brammer, and Carlin F. Hageman. 1993. An acoustic analysis of young children’s production of word stress. Journal of Phonetics 21: 183–99. [Google Scholar] [CrossRef]
- R Core Team. 2022. R: A Language and Environment for Statistical Computing. Vienna: R Foundation for Statistical Computing. Available online: https://www.R-project.org/ (accessed on 15 January 2022).
- Redford, Melissa A. 2019. Speech production from a developmental perspective. Journal of Speech, Language and Hearing Research 62: 2946–62. [Google Scholar] [CrossRef]
- Sabev, Mitko, and Elinor Payne. 2019. A Cross-Varietal Continuum of Unstressed Vowel Reduction: Evidence from Bulgarian and Turkish. Paper presented at the 19th International Congress of Phonetic Sciences (ICPhS), Melbourne, Australia, August 5–9; pp. 1164–68. [Google Scholar]
- Schneider, Kartin, and Bernd Μöbius. 2006. Production of Word Stress in German: Children and Adults. Paper presented at the 3rd International Conference on Speech Prosody, Dresden, Germany, May 2–5; pp. 333–36. [Google Scholar]
- Schwartz, Richard G., Kakia Petinou, Lisa Goffman, Gerri Lazowski, and Christine Cartusciello. 1995. Young children’s production of syllable stress: An acoustic analysis. The Journal of Acoustical Society of America 99: 3192–200. [Google Scholar] [CrossRef]
- Sfakianaki, Anna. 2002. Acoustic Characteristics of Greek Vowels Produced by Adults and Children. In Selected Papers on Theoretical and Applied Linguistics from the 14th International Symposium. Thessaloniki: Department of Theoretical and Applied Linguistic, pp. 383–94. [Google Scholar]
- Simpson, Adrian P. 2009. Phonetic differences between male and female speech. Language and Linguistics Compass 3: 621–40. [Google Scholar] [CrossRef]
- Smith, Bruce L., Mary K. Kenney, and Sarmad Hussain. 1996. A longitudinal investigation of duration and temporal variability in children’s speech production. The Journal of Acoustical Society of America 99: 2344–49. [Google Scholar] [CrossRef]
- Stoel-Gammon, Carol, and Karen E. Pollock. 2008. Vowel development and disorders. In The Handbook of Clinical Linguistics. Edited by Martin J. Ball, Michael R. Perkins, Nicole Müller and Sara Howard. Malden: Blackwell Publishing, pp. 525–48. [Google Scholar]
- Story, Brad H., Houri K. Vorperian, Kate Bunton, and Reid B. Durtschi. 2018. An age-dependent vocal tract model for males and females based on anatomic measurements. The Journal of Acoustical Society of America 143: 3079–102. [Google Scholar] [CrossRef]
- Terzopoulos, Aris, Lynne Duncan, Georgia Niolaki, Jackie Masterson, and Mark Wilson. 2024. HelexKids. Available online: https://www.helexkids.org/ (accessed on 10 February 2024).
- Thomas, Erik R., and Tyler Kendall. 2024. NORM: The Vowel Normalization and Plotting Suite. Available online: http://lingtools.uoregon.edu/norm/about_norm1.php#scaling (accessed on 10 February 2024).
- Tiffany, William R. 1959. Non-random sources of variation in vowel quality. Journal of Speech and Hearing Research 2: 305–17. [Google Scholar] [CrossRef] [PubMed]
- Tubi, Rachel, Avivit Ben-David, and Osnat Segal. 2024. Characteristics of lexical stress in Hebrew-speaking children with childhood apraxia of speech. Journal of Speech, Language, and Hearing Research 67: 711–28. [Google Scholar] [CrossRef] [PubMed]
- von Hofsten, Claes. 1989. Motor development as the development of systems: Comments on the special section. Developmental Psychology 25: 930–53. [Google Scholar] [CrossRef]
- Vorperian, Houri K. 2000. Anatomic Development of the Vocal Tract Structures as Visualized by MRI. Ph.D. dissertation, University of Wisconsin-Madison, Madison, WI, USA. [Google Scholar]
- Vorperian, Houri K., and Ray D. Kent. 2007. Vowel acoustic space development in children: A synthesis of acoustic and anatomic data. Journal of Speech, Language, and Hearing Research 50: 1510–45. [Google Scholar] [CrossRef] [PubMed]
- Vorperian, Houri K., Raymond D. Kent, Mary J. Lindstrom, Cliff M. Kalina, Lindell R. Gentry, and Brian S. Yandell. 2005. Development of vocal tract length during childhood: A magnetic resonance imaging study. The Journal of the Acoustical Society of America 117: 338–50. [Google Scholar] [CrossRef] [PubMed]
- Walsh, Bridget, and Anne Smith. 2002. Articulatory movements in adolescents: Evidence for protracted development of speech motor control processes. Journal of Speech, Language, and Hearing Research 45: 1119–33. [Google Scholar] [CrossRef]
- Yang, Jing, and Robert A. Fox. 2013. Acoustic Development of Vowel Production in American English Children. Paper presented at INTERSPEECH 2013, Lyon, France, August 25–29; pp. 1263–67. [Google Scholar]
- Zharkova, Natalia. 2017. Voiceless alveolar stop coarticulation in typically developing 5-year-olds and 13-year-olds. Clinical Linguistics & Phonetics 31: 503–13. [Google Scholar]
- Zharkova, Natalia. 2018. An ultrasound study of the development of lingual coarticulation during childhood. Phonetica 75: 245–71. [Google Scholar] [CrossRef]
- Zharkova, Natalia, Nigel Hewlett, and William J. Hardcastle. 2008. An ultrasound study of lingual coarticulation in children and adults. Paper presented at the 8th International Seminar of Speech Production (ISSP), Strasbourg, France, December 8–12; pp. 161–64. [Google Scholar]











| Vowel | Pre-Stressed | Post-Stressed | Stressed | 
|---|---|---|---|
| [i] | [kodiˈnɐ] ‘nearby’ | [ˈkodinɐ] ‘I got shorter’ | [koˈdino] ‘to shorten’ | 
| [ε] | [polɛˈmo] ‘I battle’ | [ˈpolɛmo] ‘war’ | [poˈlɛmɐ] ‘(you) battle’ | 
| [ɐ] | [ɣɐlɐˈtɐ] ‘milkman’ | [ˈɣɐlɐtɐ] ‘cartons of milk’ | [sɐˈlɐtɐ] ‘salad’ | 
| [o] | [bɐloˈnɐ] ‘balloon seller’ | [ˈbɐlonɐ] ‘I mended’ | [bɐˈlono] ‘I mend’ | 
| [u] | [mɐɣuˈlɐ] ‘with huge cheeks’ | [ˈmɐɣulɐ] ‘cheeks’ | [mɐˈɣulɐ] ‘huge cheek’ | 
| Disclaimer/Publisher’s Note: The statements, opinions and data contained in all publications are solely those of the individual author(s) and contributor(s) and not of MDPI and/or the editor(s). MDPI and/or the editor(s) disclaim responsibility for any injury to people or property resulting from any ideas, methods, instructions or products referred to in the content. | 
© 2024 by the authors. Licensee MDPI, Basel, Switzerland. This article is an open access article distributed under the terms and conditions of the Creative Commons Attribution (CC BY) license (https://creativecommons.org/licenses/by/4.0/).
Share and Cite
Christodoulidou, P.; Nicolaidis, K.; Stamovlasis, D. Developmental Aspects of Greek Vowel Reduction in Different Prosodic Positions. Languages 2024, 9, 322. https://doi.org/10.3390/languages9100322
Christodoulidou P, Nicolaidis K, Stamovlasis D. Developmental Aspects of Greek Vowel Reduction in Different Prosodic Positions. Languages. 2024; 9(10):322. https://doi.org/10.3390/languages9100322
Chicago/Turabian StyleChristodoulidou, Polychronia, Katerina Nicolaidis, and Dimitrios Stamovlasis. 2024. "Developmental Aspects of Greek Vowel Reduction in Different Prosodic Positions" Languages 9, no. 10: 322. https://doi.org/10.3390/languages9100322
APA StyleChristodoulidou, P., Nicolaidis, K., & Stamovlasis, D. (2024). Developmental Aspects of Greek Vowel Reduction in Different Prosodic Positions. Languages, 9(10), 322. https://doi.org/10.3390/languages9100322
 
        
 
                                                



 
       