Abstract
This study investigates the effects of gender and the learning context on learners’ perceptions of Arabic consonant contrasts. To this end, 60 intermediate Arabic learners, half of which were males and half of which were females, were recruited from two different learning contexts: a study-abroad (SA) program in Egypt and an at-home (AH) setting at a western American university. Learners in the two groups were tested before and after a semester of Arabic study using a perception task that involved distinguishing four Arabic consonant contrasts: /d - dˁ/, /h - ħ/, /s - sˁ/, and /t - tˁ/). The results reveal that the advantage of females in segmental identification accuracy was not verified, as female performance did not significantly differ from male performance in any of the four target consonant contrasts. In contrast, the learning context was found to positively impact learners’ perceptions of the target Arabic consonants, as the SA group significantly outperformed their counterparts in the AH environment on the /h - ħ/ and /d - dˁ/ contrasts. However, there were no significant differences between learners in the two different contexts regarding the two other consonant contrasts (i.e., /s - sˁ/ and /t - tˁ/). The findings bring insights into the understanding of the gender-based differences in identifying problematic Arabic consonantal contrasts for English learners in two different contexts of learning, and they shed light on the implications for language pedagogy for pronunciation training.
1. Introduction
Learning a second language (L2) is a complex and challenging process for adult L2 learners who typically encounter several novel grammatical structures and phonological properties including new sounds, stress placement, and intonation patterns. For example, L2 learners find it difficult to learn novel sound contrasts that do not exist in their native language (Strange and Shafer 2008; Shehata 2018). However, the past few decades have witnessed extensive research regarding the role of gender and learning contexts in L2 learning. In this regard, previous research has indicated that when gender is explored as a social construct rather than a biological one, it appears to “impact the level of access learners have to L2 use opportunities and therefore the ability to get L2 input and negotiate meaning, which appear to affect L2 development” (Hansen Edwards 2008, p. 255). Although prior research provides some evidence for a female advantage in mastering pronunciation (e.g., Díaz-Campos 2004; Jiang et al. 2009; Moyer 2010), “gender has received scant attention in L2 phonology studies”, and fewer studies have examined the role of the context of learning in the acquisition of Arabic pronunciation (Moyer 2016, p. 8).
The learning context, moreover, has been reported to play a significant role in promoting language acquisition (Longcope 2003; Serrano et al. 2011). For instance, prior research has shown that studying abroad can be a highly effective way to improve students’ language abilities (Dewey 2004; DuFon and Churchill 2006; Llanes and Muñoz 2013). This is due to a number of factors. First, studying abroad exposes learners to authentic language input produced by native speakers, which can improve their language proficiency and can help them develop more natural speech. Second, learners are often required to use the language in real-life situations, such as ordering food in a restaurant or navigating public transportation, which can help them develop their speaking and listening skills. Third, learners are immersed in the culture of the target language, which can help them understand and use the language more effectively. Given its importance, several studies show that immersion in the target cultural context can improve language learners’ communication skills (Lafford 1995), L2 vocabulary (Milton and Meara 1995), pronunciation skills (Díaz-Campos 2004), and L2 fluency (Freed et al. 2004). Despite its importance, the impact of the learning context is not well studied, because most research studies have primarily focused on certain aspects of language acquisition, such as vocabulary, grammar, and communicative competence, in relation to a small number of languages, like English (Matsumura 2001; Ren 2013; Schauer 2004; Taguchi 2013) and other modern languages including French (Turner 2022) and Spanish (Leonard and Shea 2017). However, there is a dearth of research studies on the impact of the learning context and gender on language perception, particularly in less-commonly taught languages like Arabic. Addressing this gap in previous research, therefore, the present study aims to explore the influence of gender on L2-pronunciation learning in two different learning contexts. That is, the main objective of this study is twofold: (1) to examine the gender differences in the perception of four pairs of contrastive Arabic consonants (i.e., /d - dˁ/, /h - ħ/, /s - sˁ/, and /t - tˁ/) by English learners of Arabic and (2) to investigate the role of the context of learning in the acquisition of the target consonant contrasts. This study contributes to the ongoing research on L2 perception that has indicated its significance for language production (Almbark 2014).
2. Literature Review
2.1. Gender and Language Acquisition
Many studies have examined the role of gender in language acquisition over the past few decades. In this regard, researchers have looked into a variety of neurological, cognitive, and interconnected individual differences, such as long-term attainment (Główka 2014), motivation (Mori and Gobel 2006), attitude (Field 2000), personality (Nyikos 1990), and learning strategies (Green and Oxford 1995), that may differ for the two genders. Several studies have found a female advantage in terms of better oral fluency (Jiang et al. 2009) and a lower degree of foreign accent (Moyer 2010). For instance, Schirmer et al. (2002) found that women were better than men at identifying emotional prosody, and they were more likely to automatically rely on emotional-prosodic contexts while processing words. A further study by Imaizumi et al. (2004) found that men also had slower reaction times. Moreover, Rymarczyk and Grabowska (2007) investigated how a listener’s gender affects their ability to understand prosody. To this end, they focused on prosodic utterances that were both non-affective and affective/emotional. The findings reveal that different parts of the right hemisphere were stimulated in response to distinct emotional intonations (as opposed to neutral or indifferent ones) and that the listener’s sex affected how the brain ordered prosodic activity. Additionally, other studies, such as Hughes (2006) and Holthouse (2010), showed that while females do better under a more cooperative and empathetic approach, males prefer direct and competitive instructional techniques that involve more space and mobility to improve knowledge processing.
It is important to note that despite the plethora of literature on the topic, there is still a debate on whether gender differences in language processing actually exist. Some studies claim that gender differences solely affect children, with females acquiring languages more quickly and doing better on language examinations in primary grades (Beltz et al. 2013; Lange et al. 2016). In contrast, other studies display that there are “no consistent differences between males and females in language-related cortical regions” (Wallentin 2009, p. 175). A third group of studies, however, claim that male and female differences in performance for specific skills, such as writing and verbal performance, are modest at a young age and only become apparent during adolescence and early adulthood (see Coley 2001). According to Moyer (2016), for example, females may be better able to distinguish subtle phonetic and prosodic differences, because they process language using hemispheric integration and have higher phonological memory, which will benefit the “perception and/or production of new sounds, and by extension, long term acquisition” (p. 23). Therefore, further empirical studies are needed to sort out the conflicting ideas and to determine whether there are differences between how men and women perceive non-native sounds, which is the first goal of this study.
2.2. Research on Language-Learning Contexts
The last three decades have witnessed an increased interest in understanding the role of learning contexts in language learning. Numerous studies have quantitatively and qualitatively explored how different aspects of language learning are affected by learning contexts (Pliatsikas and Marinis 2013a, 2013b). In this respect, prior research compares SA and AH learning contexts to provide a better understanding of the factors that influence L2 development in different learning contexts (see Kroll et al. 2018; Freed et al. 2004). This knowledge can inform language teaching and learning practices and can help optimize language-learning experiences for learners in different contexts. The field of second-language acquisition (SLA) showed contradictory results regarding the influence of the learning context on language acquisition. Some studies have revealed that SA is an effective L2 learning setting, because it involves immersing students in the target language environment (Jacobs et al. 2016). That is, the SA setting provides ample opportunities for L2 learners to receive authentic input and informative feedback as well as to interact in the target L2. The AH environment, however, is commonly criticized for not providing sufficient exposure to the L2 or opportunities for interactive communication in the target language. Furthermore, positive results are reported for the SA learning context in relation to accent (Martinsen et al. 2014), grammar (Marqués-Pascual 2011; Pliatsikas and Marinis 2013a), oral proficiency (Mora and Valls-Ferrer 2012; Segalowitz and Freed 2004), pragmatic competence (Matsumura 2001), writing proficiency (Sasaki 2011), and vocabulary (Horst 2005; Pellicer-Sánchez and Schmitt 2010). For instance, Collentine’s (2004) study highlights the different types of gains that can be achieved in language learning depending on the context of instruction. To this end, two groups of Spanish learners participated in this study: an AH group at an American university and an SA group in Spain. Learners in the two groups were tested before and after the semester using an oral proficiency interview. The results indicate different types of gains for learners in the two language-learning contexts. While the AH context provided learners with a more structured environment for the explicit learning of grammatical and lexical rules, the SA context offered more opportunities for immersion in the language and practice with complex discourse-level skills, such as conveying meaning in context and developing oral proficiency. This study called for the significance of considering these different contexts and their potential benefits when designing language-learning programs for students.
In contrast, other studies demonstrated the negative impact of the SA context, where L2 learners experience cultural shock and fear (Pellegrino 2005) and mainly use their L1 with their L1 fellows, resulting in no improvement in the L2 target (Allen 2010). Further investigations have not revealed any significant advantages for the SA context. For example, Wilkinson (2002) investigated the discourse patterns of study-abroad students during their summer program in France. This study used conversation analysis and ethnographic techniques, along with interviews and observations, to analyze audio-recorded conversations between study-abroad students and their French hosts. It was found that despite being required to use the target language with their host families in an authentic environment for a communicative purpose, the L2 learners still relied heavily on typical classroom interaction patterns. In other words, learners missed out on one of the most important benefits of studying abroad, which is the opportunity to interact differently and to use a broader range of language than that of the classroom context. This study concluded that the quality of the interaction was not as high as might be expected for studying abroad, and “perhaps immersion in a target language community during study abroad does not always take students as far beyond the classroom as one might intuitively believe” (p. 169). Overall, this study highlights the importance of designing study-abroad programs that go beyond the classroom setting and that encourage learners to engage in authentic interactions with members of the target language community. Such programs could help learners to develop their communicative competence in a more naturalistic context and to better understand the cultural nuances of the target language community.
Together, previous research findings indicate that different learning contexts may have varying effects on different aspects of learners’ L2 acquisition including fluency (Mora and Valls-Ferrer 2012) as well as reading and writing (Dewey 2004; Segalowitz and Freed 2004). However, the influence of learning contexts on the perception of L2 contrastive consonants is not clear. Thus, the second goal of the present study is to examine how learning contexts influence learners’ perceptions of Arabic contrastive consonants.
2.3. Perception of Arabic Consonants
Arabic is a Semitic language that is officially spoken by more than 422 million people in 22 countries throughout the Middle East as well as North Africa and includes two distinct forms of the Arabic language: Modern Standard Arabic (MSA) and a number of colloquial spoken dialects (Ryding 2006). While MSA is used in formal settings, the colloquial Arabic varieties are commonly utilized in daily life conversations throughout the Arab world. The last three decades have witnessed an increase in the number of learners in the United States, where new programs have been established (Allen 2004; Furman et al. 2010). Previous research has mainly explored the acquisition of Arabic reading (Shehata 2021), writing (Alkadi 2015), vocabulary (Golonka et al. 2015), and oral skills (Albirini 2013). For example, Dewey et al. (2013a) indicated that oral advancement in L2 Arabic in the SA context can be predicted by factors such as the amount of time spent speaking Arabic with individuals outside of the participants’ SA social circle, the fluency of the participants’ Arab friends in English, and the degree of friendship in the host community. Moreover, Dewey et al. (2013b) looked at the social networks that 71 Arabic students created while studying abroad in Jordan and Egypt. They found that L2 learners believed speaking the target language with close friends and host families would be more advantageous than speaking it with strangers. Personality and the time spent with native speakers were the two key factors that influenced the creation of social networks. Talking to people outside of the core social circle had a positive supplementary effect; however, it was not as significant. They did not provide the L2 learners with any linguistic assessments in order to determine the effect this had on gains.
However, few studies have examined the acquisition of Arabic phonological features by adult L2 learners (Hong and Sarmah 2009), and very little research has examined the Modern Standard Arabic contrastive consonants experimentally (Shehata 2015b, 2018) or has addressed the difficulties that native American English speakers encounter in learning them (Shehata 2015a). For instance, Al Mahmoud (2013) investigated the perception of different Arabic contrasts by 22 English learners of Arabic using a forced-choice AXB discrimination task, in which they were asked whether the second sound they heard (X) was similar to the first sound (A) or the third one (B). The results display that learners were better at differentiating contrastive Arabic consonants with English equivalents (i.e., /t - d/ and /θ - ð/) than those with no English equivalents (i.e., /x - ɣ/, /ħ - h/, and /x - ħ/). Additionally, Shehata (2015b) explored the effects of training in various talker-variable presentation styles on the learning of Arabic pharyngeal–glottal consonant contrast /h - ħ/ by native English speakers without a prior knowledge of Arabic using two discrimination AXB tasks: non-lexical and lexical. The findings demonstrate that learners who heard the target consonant contrasts produced by multiple talkers significantly outperformed those in the single-talker training group. This improvement was attributed to the richness of the input given to students in the multiple-talker training condition, which facilitated their accurate distinction of the target Arabic pharyngeal–glottal contrast.
Moreover, Hayes-Harb and Durham (2016) examined the perception of Arabic emphatic–plain contrasts by native English speakers using two different tasks: cross-language vowel-identification and -discrimination tasks. In the first task, participants listened to the target stimuli and were asked to identify which English vowel each word included. In the second test, however, they listened to the target stimuli in triads (AXB) and had to choose which of A and B sounded the most like X. The findings show that English speakers tended to rely more on the following vowels than consonants to distinguish between Arabic emphatic and plain consonants. It was also found that learners’ discrimination accuracy was higher when the next vowel was /æ/, followed by /u/ and /i/. Along the same lines, Shehata (2018) explored the perception and production of 10 Arabic consonant contrasts by English learners of Arabic at different proficiency levels. The results indicate that some contrastive consonants, such as /t - tˁ/, /h - ħ/, and /s - sˁ/, are more challenging to perceive by English learners of Arabic than others, such as /ħ - ʕ/. To date, however, no prior research seems to explore the effects of gender and the learning environment on learners’ perceptions of Arabic consonant contrasts, which is the focus of this paper.
2.4. The Present Study
This study investigates the role of gender and the learning context in learners’ perceptions of Arabic consonant contrasts. That is, this study aims to shed light on the complex interplay between gender, the learning context, and phonetic perception in the context of Arabic language learning. The following research questions are addressed in the present study:
- Does gender influence second-year Arabic learners’ perceptions of Arabic consonant contrasts?
- Does studying Arabic in an SA context improve learners’ perceptions of Arabic consonant contrasts compared to an AH context?
- Do the two genders behave differently in the SA and AH settings?
In this study, the SA context refers to a short-term SA program, in which students spent three months in an immersion setting, i.e., Egypt, as opposed to a traditional semester at an American university in the US. It is hypothesized that learners in the SA setting will perform better than their counterparts in the domestic setting and that females’ perception accuracy surpasses that of males. The findings of this study could inform the development of more effective teaching strategies that take into account learners’ individual differences and could contribute to a deeper understanding of the factors that shape the acquisition of a second language.
3. Materials and Methods
3.1. Participants
Sixty English learners of Arabic (30 males, 30 females; mean = 22.9 years; range = 19–28) were recruited from two different language-learning contexts: an AH formal classroom setting at a large Midwestern American university and an SA program in Cairo, Egypt (N = 30). Each group included 30 second-year Arabic learners—15 females and 15 males—who were majoring in different fields, such as engineering, biology, international studies, education, and linguistics. No participants reported having a hearing, speech, or language deficiency problem.
3.2. Stimuli
This study included four minimal pairs contrasting the target Arabic consonant contrasts, /d - dˁ/, /h - ħ/, /s - sˁ/, and /t - tˁ/, in initial position as shown in Table 1. The words were read in the context of the sentence, “I want to write the word hir and after that I will write ħir”. Each word was read two times by two native Arabic speakers in each sentence position (medial and final), resulting in a total of thirty-two individual nonword productions (e.g., 16 productions of /h/ and 16 productions of /ħ/ for each speaker). Five tokens of each of these words were randomly extracted from the productions of each speaker using version 6.4.05 of PRAAT software (Boersma 2001). This resulted in a total of 80 tokens (eight words x five tokens per word x two talkers) that were used in the word-identification task.
Table 1.
Stimuli used in the present study.
3.3. Procedures
The pre-test and post-test were taken at the beginning and end of the semester, respectively, in both locations. Learners in the two groups performed a forced-choice word identification, in which the listeners heard an auditory word and simultaneously saw two words written in Arabic on a computer screen, as presented in Figure 1. They were asked to identify which of the two words matched the auditory word they heard by pressing a right or left shift key on a computer keyboard. Crucially, each item involved an auditory word (e.g., hir) and the written presentation of that word along with its minimal-pair correspondent (e.g., hir and ħir). In this way, it was possible to investigate the confusability of pairs of words differing only in the segments of interest (i.e., h and ħ).
Figure 1.
What the screen looked like for the listeners.
The DMDX experiment presentation software was used to present the visual and auditory stimuli and to collect responses (Forster and Forster 2003). Listeners had no time limit to respond to the auditory stimuli in the listening task. After completing the word-identification task, listeners were asked to fill out a written questionnaire that included detailed questions about their age, gender, language experience, and open-ended questions about their impressions of this study and any conscious strategies they might have used in completing the task.
4. Results
4.1. The Results for Research Question 1
The proportion correct (the proportion of responses correctly identifying the intended production of the talker) was calculated for each participant. The data were submitted to an Analysis of Variance, with time (two levels: pre-test and post-test) as a within-subject factor and gender (two levels: females and males) as a between-subject variable. This analysis showed no significant main effect of gender (F(1, 28) = 473.342, p < 0.19, partial η2 = 0. 75). The effect of time was significant (F(1, 28) = 79.641, p < 0. 001, partial η2 = 0. 64), with performance on the post-test (0.71) being higher than that on the pre-test (0.58). The interaction of gender and time was not significant (F(1, 28) = 39.876, p < 0. 23, partial η2 = 0.547).
Despite the non-significant interaction, follow-up tests focusing on each test separately were run, revealing that there was no significant effect of gender on performance on the post-test (F(1, 28) = 151.385, p < 0.102); females: 0.783, males: 0.636). Similarly, the effect of gender on performance on the pre-test was not significant (F(1, 28) = 3.543, p < 0.069); male group: 0.51, female group: 0.684); male group: 0.51, female group: 0.684). See Figure 2 for a visual presentation of these results.
Figure 2.
The proportion correct for male and female subjects in the two tests; bars represent +/−1 standard error.
4.2. The Results for Research Question 2
The second research question addressed the impact of learning contexts on learners’ perceptions of the target consonant contrasts. The data were submitted to an Analysis of Variance with the time factor (two levels: pre-test and post-test) as a within-subject factor and the learning context (two levels: SA and AH) as a between-subject factor. The results reveal a significant effect of time (F(1, 28) = 13.631, p = 0.03, partial η2 = 0.521); a significant effect of context (F(1, 28) = 2. 158, p = 0.014, partial η2 = 0.465); and a significant interaction between time and context (F(1, 28) = 3.631, p = 0.03, partial η2 = 0.452).
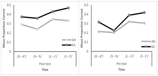
Following up on the significant interaction of time and context, the results for each test separately show a significant difference between the two learning contexts for the post-test (F(1, 28) = 47.722, p < 0.001), with a more accurate performance by the SA group (0.407) than that of the AH group (0.303). However, the effect of context on subjects’ performance for the pre-test was not significant (F(1, 28) = 3.543, p < 0.069; AH group: 0.26, SA group: 0.337). A series of paired-sample t-tests were utilized to determine where this difference occurred for the SA group. The results reveal that the learning context had significant effects on learners’ perceptions of /h - ħ/ (F(1, 28) = 12.808, p = 0.03, η2 = 0.450) and /d - dˁ/ (F(1, 28) = 18.504, p = 0.000, partial η2 = 0.301). In contrast, no significant differences were found for either /s - sˁ/ (p = 0.23) and /t - tˁ/ (p = 0.56). Figure 3 displays a visual presentation of these results.
Figure 3.
The proportion correct for subjects in the two learning contexts over time.
4.3. The Results for Research Question 3
The third question explored if the performance of the two genders differed across the two learning settings. The data were submitted to an Analysis of Variance with gender (two levels: females and men) as a between-subject variable and the learning context (two levels: AH and SA) as a within-subject factor. The results indicate no main effect of gender (F(1, 28) = 568.984, p < 0.32, partial η2 = 0. 42) and no significant effect of context (F(1, 28) = 63.423, p < 0.001, partial η2 = 0.63), with performance in the SA context being higher (0.71) than in the AH context (0.58). The interaction between gender and the learning context was also shown to be non-significant (F(1, 28) = 59.235, p < 0.25, partial η2 = 0.48). This suggests that while learners’ performance varied between the two learning contexts, participant gender did not affect these variations. In other words, the performance of both males and females did not significantly differ in either of the two learning environments.
5. Discussion
The purpose of this investigation was to examine the effects of both gender and the learning context on learners’ perceptions of Arabic contrastive consonants. Regarding the effects of gender, the results of this study show a statistically non-significant variation in how target consonant contrasts are perceived by male and female learners. In particular, compared to their male counterparts, female students showed a relatively better ability to discriminate the target contrastive sounds, but that difference was not statistically significant. Unlike previous research on language learning and phonetics that showed a gender gap in sound perception (e.g., Hansen Edwards 2008; Moyer 2010, 2016), the present study indicated that females did not significantly outperform males in the perception task involving auditory discrimination. However, the lack of a significant gender effect in learners’ perceptions of Arabic contrastive consonants is in line with some previous research in the field of second-language acquisition (e.g., Bryla-Cruz 2021). This implies that gender may not be a major factor in determining how people perceive and process phonetic information in a second language. Moreover, this result supports the hypothesis that a complex interplay of variables, including exposure, motivation, and cognitive ability, may have a stronger impact on language acquisition than gender (Douglas 2014; Ellis 2008; Bao and Liu 2021). It may also be the case that the gender gap only exists in childhood, as seen by how much more quickly girls pick up languages and how much better they do in early school language exams (e.g., Bauer et al. 2002; Lange et al. 2016). Nevertheless, these differences vanish with age (e.g., Beltz et al. 2013). Additionally, the similar exposure and learning conditions shared by this study’s male and female participants could be another reason why the gender impact is not statistically significant. If both groups had identical learning experiences and a similar exposure to Arabic consonants, it might be less likely to find significant gender-related differences.
Regarding the influence of learning contexts on students’ perception of the four target Arabic contrastive consonants, the results demonstrate that Arabic students in the SA setting improved from the pre-test to the post-test, outperforming their counterparts in the AH setting. This underscores the importance of the short-term study-abroad experience, which is in line with prior studies showing the positive benefits of the SA context on language learners’ language development (Allen and Herron 2003; Freed et al. 2004; Martinsen et al. 2014; Segalowitz and Freed 2004). Even though SA learners scored higher on all the target contrasts, learners in both learning contexts generally scored lower on /d - dˁ/ and /h - ħ/ contrasts than on /s - sˁ/ and /t - tˁ/ contrasts, which implies that they perceived the former to be more challenging than the latter. This supports earlier studies’ findings about the difficulty of learning the /d - dˁ/ and /h - ħ/ contrasts (e.g., Shehata 2015a, 2015b, 2018). It also underlines the need for explicit strategies and targeted instructions to help learners become better at differentiating between them. Examples of these strategies include mimicking native speakers or relying on visual cues. Moreover, the motivation and negative attitude of the students toward these two challenging contrasts, as seen in previous research (see Shehata 2015a), may be a contributing factor. In other words, if learners believe these sounds are difficult to learn, they may invest less effort in learning them, leading to lower scores. Yet, the fact that SA learners significantly outperformed the AH participants in the discrimination of /d - dˁ/ and /h - ħ/ suggests that the SA participants have made some progress in distinguishing these two contrasts more accurately than the AH learners. It is possible that the SA students’ minor improvement in identifying /d - dˁ/ and /h - ħ/ contrasts was influenced by their exposure to Arabic outside of the classroom in the immersion environment. Given the absence of options for extracurricular L2 exposure and the students’ total immersion in their L1 environment, it may not be surprising that there was no such positive impact in the case of the AH learners.
Regarding the interaction between gender and the learning environment, the findings display that the learners’ performance was not influenced by gender in the two learning contexts. This aligns with prior research (e.g., Bao and Liu 2021), which rejects the idea that gender plays a significant influence in language acquisition and disagrees with those who emphasize it (see Moyer 2010, 2016). The lack of a gender effect highlights the individual preferences and characteristics of every student, encouraging educators to modify their pedagogical approaches to account for the range of learning styles present in each gender group. It is important to keep in mind, nevertheless, that the results of this study are based on a small sample of 30 males and 30 females, and they suggest that, in this context, gender had no discernible impact on how learners perceived Arabic contrasts in the two learning environments.
This study’s findings have several significant pedagogical implications for language teachers, underlining the value of taking the learning environment into account when developing interventions to improve students’ consonant-perception abilities. Promoting study-abroad programs that offer immersive language-learning environments can tremendously assist students by allowing them to interact with native speakers and to experience the phonetic intricacies of the language, such as contrastive consonants, in real-world settings. The benefits of studying can be extended if post-return language help is integrated. Teachers can offer additional classes or materials to aid learners in maintaining and developing their enhanced consonant-perception skills. By taking these factors into account, instructors can potentially improve their teaching methods and can help learners achieve a more accurate perception of the language. Since gender does not appear to have a significant impact on how learners perceive consonants, teachers can concentrate on providing each student with tailored teaching that takes into consideration their particular needs, skills, and weaknesses. This strategy can aid in addressing additional elements, such as exposure, drive, and cognitive ability, which may differ among individuals.
It is worth noting that the present study has some limitations, and, thus, the results should be interpreted with caution for a number of reasons. First, the small size of subjects may have influenced the outcomes, and, therefore, the findings of this study may not be generalized to other groups in different learning contexts. Second, only one perception task, the perception-identification test, was utilized to measure how well the students perceived the target consonant sounds, which included target stimuli limited to the initial position. If additional perception tasks were conducted with varying criteria, using stimuli testing different positions, it is possible that the students’ performance may vary. Furthermore, this study only looked at college students enrolled in a foreign language course at one big public American Midwest university and an Egyptian institution. The results may be affected by polling students at two or three universities in various locations, including potentially one where SA is required. Additionally, the robustness of the data may be increased by utilizing a multi-measure design with both quantitative and qualitative data, which may have an impact on the findings.
Despite these limitations, this study is a preliminary investigation of comparing male and female Arabic language learners in AH and SA settings. It remains to be explored whether gender and the learning context influence learners’ production of Arabic consonant contrasts. In addition, a larger number of participants comparing learners’ perceptions and productions before and after the SA program with an implementation of a delayed post-test is another direction for future research. Furthermore, a longitudinal design that lasts longer than a semester often yields findings that are different in regard to the phenomenon being examined. A longer study would allow data to be gathered at more points in time and would give the opportunity to monitor the sojourners’ self-perceived success over time. Such contributions can provide us with a better understanding of the body of research on the influence of gender and context on the acquisition of second language phonology.
6. Conclusions
The main aim of this study was to examine male and female learners’ perceptions of Arabic consonant contrasts in AH and SA learning contexts with a view to explore if gender and learning contexts influence their second-language speech perception. The results demonstrate that learners’ perceptions of the Arabic consonant contrasts could be influenced by the learning environment rather than by gender. While female students performed better than male students in both contexts, learners in the SA environment significantly recognized the target contrastive consonants better than their counterparts in the AH context. Specifically, they showed higher discrimination rates of the two challenging /h - ħ/ and /d - dˁ/ contrasts than learners in the SA context. The findings also indicate that the performance of males and females was not significantly different in the SA and AH settings. Taken together, the lack of any discernible gender effect refutes any assumptions about intrinsic differences in language-acquisition skills between males and females. This study’s findings, however, lend credence to a more nuanced interpretation, in which the learning environment has a greater impact on learners’ perceptions of the target Arabic contrastive consonant phonemes. Therefore, to improve learners’ perceptions of novel contrastive sounds, language educators should take these factors into account when creating teaching materials and strategies.
Funding
This study is supported by the Sarah Isom Center for Women and Gender Studies at the University of Mississippi, which is financed by Provost through the Isom Fellows Program.
Informed Consent Statement
Informed consent was obtained from all subjects involved in this study.
Data Availability Statement
The data presented in this study are available on request from the corresponding author.
Conflicts of Interest
The author declares no conflicts of interest.
References
- Albirini, Abdulkafi. 2013. Toward Understanding the Variability in the Language Proficiencies of Arabic Heritage Speakers. International Journal of Bilingualism 18: 730–65. [Google Scholar] [CrossRef]
- Alkadi, Hisham S. 2015. English Speakers’ Common Orthographic Errors in Arabic as L2 Writing System: An Analytical Case Study. Unpublished. Ph.D. dissertation, Newcastle University, Newcastle, UK. [Google Scholar]
- Allen, Heather W., and Carol Herron. 2003. A Mixed Methodology Investigation of the Linguistic and Affective Outcomes of Summer. Foreign Language Annals 36: 370–85. [Google Scholar] [CrossRef]
- Allen, Linda Q. 2010. The impact of study abroad on the professional lives of world language teachers. Foreign Language Annals 43: 93–104. [Google Scholar] [CrossRef]
- Allen, Roger. 2004. Perspectives on Arabic teaching and learning. The Modern Language Journal 88: 275–78. [Google Scholar]
- Al Mahmoud, Mahmoud S. 2013. Discrimination of Arabic contrasts by American learners. Studies in Second Language 3: 261–92. [Google Scholar] [CrossRef]
- Almbark, Rana. 2014. Perception and production of SSBE vowels by foreign language learners: Towards a foreign language model. Proceedings of the International Symposium on the Acquisition of Second Language Speech: Concordia Working Papers in Applied Linguistics 5: 3–18. [Google Scholar]
- Bao, Yanyan, and Shuzhen Liu. 2021. The Influence of Affective Factors in Second Language Acquisition on Foreign Language Teaching. Open Journal of Social Sciences 9: 463–70. [Google Scholar] [CrossRef]
- Bauer, Daniel J., Beverly A. Goldfield, and J. Steven Reznick. 2002. Alternative approaches to analyzing individual differences in the rate of early vocabulary development. Applied Psycholinguistics 23: 313–35. [Google Scholar] [CrossRef]
- Beltz, Adriene M., Judith E. Owen Blakemore, and Sheri A. Berenbaum. 2013. Sex differences in brain and behavioral development. In Comprehensive Developmental Neuroscience: Vol. 3. Neural Circuit Development and Function in the Healthy and Diseased Brain. Edited by Pasko Rakic and John Rubenstein. Amsterdam: Elsevier, pp. 467–99. [Google Scholar]
- Boersma, Paul. 2001. Praat, a system for doing phonetics by computer. Glot International 5: 341–45. [Google Scholar]
- Bryla-Cruz, Agnieszka. 2021. The gender factor in the perception of English segments by non-native speakers. Studies in Second Language Learning and Teaching 11: 103–31. Available online: https://link.gale.com/apps/doc/A658252544/AONE?u=anon~7cafa1d4&sid=googleScholar&xid=e3675800 (accessed on 30 August 2022).
- Coley, Richard J. 2001. Differences in the Gender Gap: Comparisons across Racial/Ethnic Groups in Education and Work. Princeton: Educational Testing Service. [Google Scholar]
- Collentine, Joseph. 2004. The effects of learning contexts on morphosyntactic and lexical development. Studies in Second Language Acquisition 26: 227–48. [Google Scholar] [CrossRef]
- Dewey, Dan P. 2004. A comparison of reading development by learners of Japanese in intensive domestic immersion and study abroad contexts. Studies in Second Language Acquisition 26: 303–27. [Google Scholar] [CrossRef]
- Dewey, Dan. P., Robert K. Belnap, and Rebecca Hillstrom. 2013a. Social network development, language use, and language acquisition during study abroad: Arabic language learners’ perspectives. Frontiers 22: 84–110. [Google Scholar] [CrossRef]
- Dewey, Dan P., Spencer Ring, Daniel Gardner, and Robert K. Belnap. 2013b. Social network formation and development during study abroad in the Middle East. System 41: 269–82. [Google Scholar] [CrossRef]
- Díaz-Campos, Manuel. 2004. Context of learning in the acquisition of Spanish second language phonology. Studies in Second Language Acquisition 26: 249–73. Available online: http://www.jstor.org/stable/44486771 (accessed on 13 April 2023).
- Douglas, Henry. 2014. Principles of Language and Teaching. White Plains: Pearson Education. [Google Scholar]
- DuFon, Margaret, and Eton E. Churchill. 2006. Language Learners in Study Abroad Contexts. Buffalo: Multilingual Matters. [Google Scholar]
- Ellis, Rod. 2008. The Study of Second Language Acquisition. New York: Oxford University Press. [Google Scholar]
- Field, Kit. 2000. Why are girls better at modern foreign languages than boys? In Issues in Modern Foreign Language Teaching. Edited by Kit Field. New York: Routledge, pp. 125–35. [Google Scholar]
- Forster, Kenneth. I., and Jonathan. C. Forster. 2003. DMDX: A Windows display program with millisecond accuracy. Behavior Research Methods, Instruments and Computers 35: 116–24. [Google Scholar] [CrossRef] [PubMed]
- Freed, Barbara F., Norman Segalowitz, and Dan P. Dewey. 2004. Context of learning and second language fluency in French: Comparing regular classroom, study abroad, and intensive domestic immersion programs. Studies in Second Language Acquisition 26: 275–301. [Google Scholar] [CrossRef]
- Furman, Nelly, David Goldberg, and Natalia Lusin. 2010. Enrollments in Languages Other Than English in United States Institutions of Higher Education, Fall 2009. Available online: https://eric.ed.gov/?id=ED513861 (accessed on 10 May 2022).
- Główka, Danuta. 2014. The impact of gender on attainment in learning English as a foreign language. Studies in Second Language Learning and Teaching 4: 617–35. [Google Scholar] [CrossRef]
- Golonka, Ewa, Anita Bowles, Noah Silbert, Debra Kramasz, Charles Blake, and Tim Buckwalter. 2015. The Role of Context and Cognitive Effort in Vocabulary Learning: A Study of Intermediate-Level Learners of Arabic. The Modern Language Journal 99: 19–39. [Google Scholar] [CrossRef]
- Green, John M., and Rebecca L. Oxford. 1995. A closer look at learning strategies, L2 proficiency and gender. TESOL Quarterly 29: 261–97. [Google Scholar] [CrossRef]
- Hansen Edwards, Jette. 2008. Social factors and variation in production in L2 phonology. In Phonology and Second Language Acquisition. Edited by Mary Zampini and Jette G. Hansen Edwards. Amsterdam: John Benjamins, pp. 251–79. [Google Scholar]
- Hayes-Harb, Rachel, and Kristie Durham. 2016. Native English speakers’ perception of Arabic emphatic consonants and the influence of vowel context. Foreign Language Annals 49: 557–72. [Google Scholar] [CrossRef]
- Holthouse, David. 2010. Gender segregation: Separate but effective? Teaching Tolerance 37: 25–27. [Google Scholar]
- Hong, Seung-ah, and Priyankoo Sarmah. 2009. Korean perception of Arabic phonemes. Linguistic Interfaces 2: 375–86. [Google Scholar]
- Horst, Marlise. 2005. Learning L2 vocabulary through extensive reading: A measurement study. The Canadian Modern Language Review 61: 355–82. [Google Scholar] [CrossRef]
- Hughes, Teresa. 2006. The advantages of single–sex education. National Forum of Educational Administration and Supervision Journal 23: 5–14. [Google Scholar]
- Imaizumi, Satoshi, Midori Homma, Yooshiaki Ozawa, Masaharu Maruishi, and Hiroyuki Muaranaka. 2004. Gender differences in emotional prosody processing: An fMRI study. Psychologia 47: 113–24. [Google Scholar] [CrossRef]
- Jacobs, April, Melinda Fricke, and Judith F. Kroll. 2016. Cross-language activation begins during speech planning and extends into second language speech. Language learning 66: 324–53. [Google Scholar] [CrossRef] [PubMed]
- Jiang, Mei, Raymond J. Green, Tracy B. Henley, and William G. Masten. 2009. Acculturation in relation to the acquisition of a second language. Journal of Multilingual and Multicultural Development 30: 481–92. [Google Scholar] [CrossRef]
- Kroll, Judith F., Paola E. Dussias, and Maria T. Bajo. 2018. Language use across international contexts: Shaping the minds of L2 speakers. Annual Review of Applied Linguistics 38: 60–79. [Google Scholar] [CrossRef]
- Lafford, Barbara A. 1995. Getting into, through, and out of a survival situation: A comparison of communicative strategies used by students studying Spanish–abroad and “at home.”. In Second Language Acquisition in a Study Abroad Context. Edited by Barbara F. Freed. Amsterdam: Studies in Bilingualism, pp. 97–121. [Google Scholar]
- Lange, Benjamin P., Harald A. Euler, and Eugen Zaretsky. 2016. Sex differences in language competence of 3– to 6–year–old children. Applied Psycholinguistics 37: 1417–38. [Google Scholar] [CrossRef]
- Leonard, Karen R, and Christine E. Shea. 2017. L2 Speaking Development During Study Abroad: Fluency, Accuracy, complexity, and Underlying Cognitive Factors. The Modern Language Journal 101: 1–15. [Google Scholar] [CrossRef]
- Llanes, Angels, and Carmen Muñoz. 2013. Age effects in a study abroad context: Children and adults studying abroad and at home. Language Learning 63: 63–90. [Google Scholar] [CrossRef]
- Longcope, Peter D. 2003. What Is the Impact of SA on L2 Learning? A Descriptive Study of Contexts, Conditions and Outcomes. Ph.D. dissertation, University of Pennsylvania, Philadelphia, PA, USA. [Google Scholar]
- Marqués-Pascual, Laura. 2011. Study Abroad, Previous Language Experience, and Spanish L2 Development. Foreign Language Annals 44: 565–82. [Google Scholar] [CrossRef]
- Martinsen, Rob A., Scott M. Alvord, and Jousha Tanner. 2014. Perceived foreign accent: Extended stays abroad, level of instruction, and motivation. Foreign Language Annals 47: 66–78. [Google Scholar] [CrossRef]
- Matsumura, Sholchi. 2001. Learning the rules for offering advice: A quantitative approach to second language socialization. Language Learning 51: 635–79. [Google Scholar] [CrossRef]
- Milton, James, and Paul Meara. 1995. How periods abroad affect vocabulary growth in a foreign language. ITL—International Journal of Applied Linguistics 107: 17–34. [Google Scholar] [CrossRef]
- Mora, Joan C., and Margalida Valls-Ferrer. 2012. Oral fluency, accuracy, complexity in formal instruction and study abroad learning contexts. TESOL Quarterly 46: 610–41. [Google Scholar] [CrossRef]
- Mori, Setsuko, and Peter Gobel. 2006. Motivation and gender in the Japanese EFL classroom. System 34: 194–210. [Google Scholar] [CrossRef]
- Moyer, Alene. 2010. Do Gender Differences in L2 Accent Really Exist? Paper presented at the Meeting of American Association for Applied Linguistics (AAAL), Atlanta, GA, USA, March 6–9. [Google Scholar]
- Moyer, Alene. 2016. The puzzle of gender effects in phonology. Journal of Second Language Pronunciation 2: 8–28. [Google Scholar] [CrossRef]
- Nyikos, Martha. 1990. Sex related differences in adult language learning: Socialization and memory factors. Modern Language Journal 3: 273–87. [Google Scholar]
- Pellegrino, Valerie A. 2005. Study Abroad and Second Language Use: Constructing the Self. Cambridge: Cambridge University Press. [Google Scholar]
- Pellicer-Sánchez, Aan, and Norbert Schmitt. 2010. Incidental vocabulary acquisition from an authentic novel: Do things fall apart? Reading in a Foreign Language 22: 31–55. [Google Scholar]
- Pliatsikas, Christos, and Theodoros Marinis. 2013a. Processing empty categories in a second language: When naturalistic exposure fills the (intermediate) gap. Bilingualism: Language and Cognition 16: 167–82. [Google Scholar] [CrossRef]
- Pliatsikas, Christos, and Theodoros Marinis. 2013b. Processing of regular and irregular past tense morphology in highly proficient second language learners of English: A self-paced reading study. Applied Psycholinguistics 34: 943–70. [Google Scholar] [CrossRef]
- Ren, Wei. 2013. A longitudinal investigation into L2 learners’ cognitive processes during study abroad. Applied Linguistics 1: 1–21. [Google Scholar] [CrossRef]
- Ryding, Karin C. 2006. Teaching Arabic in the United States. In Handbook for Arabic Language Teaching Professionals in the 21st Century. Edited by Kassem M. Wahba, Zeinab A. Taha and Liz England. New York: Routledge, pp. 13–20. [Google Scholar]
- Rymarczyk, Krystyna, and Anna Grabowska. 2007. Sex differences, in brain control of prosody. Neuropsychologia 45: 921–30. [Google Scholar]
- Sasaki, Miyuki. 2011. Effects of varying lengths of study-abroad experiences on Japanese EFL students’ L2 writing ability and motivation: A longitudinal study. TESOL Quarterly 45: 81–105. [Google Scholar] [CrossRef]
- Schauer, Gila. 2004. May you speak louder maybe? Interlanguage pragmatics development in requests. In EUROSLA Yearbook. Edited by Susan H. Foster-Cohen, Michael Sharwood Smith, Antonella Sorace and Mitsuhiko Ota. Amsterdam: John Benjamins, pp. 253–73. [Google Scholar]
- Schirmer, Annett, Sonja A. Kotz, and Angela D. Friederici. 2002. Sex differentiates the role of emotional prosody during word processing. Cognitive Brain Research 14: 228–33. [Google Scholar] [CrossRef] [PubMed]
- Segalowitz, Norman, and Barbara F. Freed. 2004. Context, contact, and cognition in oral fluency acquisition: Learning Spanish in at home and study abroad contexts. Studies in Second Language Acquisition 26: 173–99. [Google Scholar] [CrossRef]
- Serrano, Raquel, Angels Llanes, and Elsa Tragant. 2011. Analyzing the effect of context of second language learning: Domestic intensive and semi-intensive courses versus study abroad in Europe. System 39: 133–43. [Google Scholar] [CrossRef]
- Shehata, Asmaa. 2015a. Problematic Arabic consonants for native English speakers: Learners’ perspectives. The International Journal of Educational Investigations 2: 24–47. [Google Scholar]
- Shehata, Asmaa. 2015b. Talker Variability and Second Language Word Recognition: A new training study. Journal of Linguistics and Language Teaching 6: 209–30. [Google Scholar]
- Shehata, Asmaa. 2018. Native English speakers’ perception and production of Arabic consonants. In Handbook of Arabic Second Language Acquisition. Edited by Mohammad T. Alhawary. New York: Routledge, pp. 56–69. [Google Scholar]
- Shehata, Asmaa. 2021. Short vowels and context effects: The case of English speakers reading Arabic. International Educational Studies 1: 93–103. [Google Scholar] [CrossRef]
- Strange, Winfred, and Valerie L. Shafer. 2008. Speech perception in second language learners: The re-education of selective perception. In Phonology and Second Language Acquisition. Edited by Jette G. Hansen Edwards and Mary L. Zampini. Amsterdam: John Benjamins, pp. 153–91. [Google Scholar]
- Taguchi, Naoko. 2013. Production of routines in L2 English: Effect of proficiency and study-abroad experience. System 41: 109–21. [Google Scholar] [CrossRef]
- Turner, James. 2022. Analyzing the relationship between L2 production and different stages of L2 processing: Eye-tracking and acoustic evidence for a novel contrast. Journal of Phonetics 91: 101–34. [Google Scholar] [CrossRef]
- Wallentin, Mikkel. 2009. Putative sex differences in verbal abilities and language cortex: A critical review. Brain and Language 108: 175–83. [Google Scholar] [CrossRef]
- Wilkinson, Sharon. 2002. The omnipresent classroom during summer study abroad: American students in conversation with their French hosts. The Modern Language Journal 86: 157–73. [Google Scholar] [CrossRef]
Disclaimer/Publisher’s Note: The statements, opinions and data contained in all publications are solely those of the individual author(s) and contributor(s) and not of MDPI and/or the editor(s). MDPI and/or the editor(s) disclaim responsibility for any injury to people or property resulting from any ideas, methods, instructions or products referred to in the content. |
© 2024 by the author. Licensee MDPI, Basel, Switzerland. This article is an open access article distributed under the terms and conditions of the Creative Commons Attribution (CC BY) license (https://creativecommons.org/licenses/by/4.0/).


