Intonational Features of Spontaneous Narrations in Monolingual and Heritage Russian in the U.S.—An Exploration of the RUEG Corpus
Abstract
1. Introduction
1.1. Intonation in Russian
1.2. Variation in Russian Intonation
1.3. Corpus Studies on Russian Intonation
1.4. Intonation in Heritage Languages
2. Material and Methods: Corpus
2.1. Data
2.2. Speakers
2.3. Corpus Annotation/Preprocessing
2.4. Criteria for Prosodic Annotation
2.4.1. Pitch Accent Location
2.4.2. Pitch Accent Type
- H*: an accent with a high tonal target in the accented syllable without any sharp low target nearby.
- L*: an accent with a low tonal target in the accented syllable without any sharp high target nearby.
- H+L*: a falling accent that starts at a high pitch level and falls to a low target in the accented syllable.
- H*+L: a falling accent with a high target in the accented syllable, followed by the falling pitch.
- L*+H: a rising accent with a low tonal target in the accented syllable, followed by a sharp rise to high pitch (the F0 peak is realized after the accented syllable).
- L+H*: a rising accent with a high tonal target in the accented syllable, which is preceded by a sharp rise from a low target (the F0 peak is realized in the accented syllable).
2.4.3. IP Boundaries
2.4.4. Boundary Tones
2.5. Interrater Agreement
2.6. Corpus Integration
3. Analyses and Results
3.1. Tonal Inventory
3.2. Intonation Phrases
3.3. Pitch Accents
3.3.1. Number of Pitch Accents on Content Words
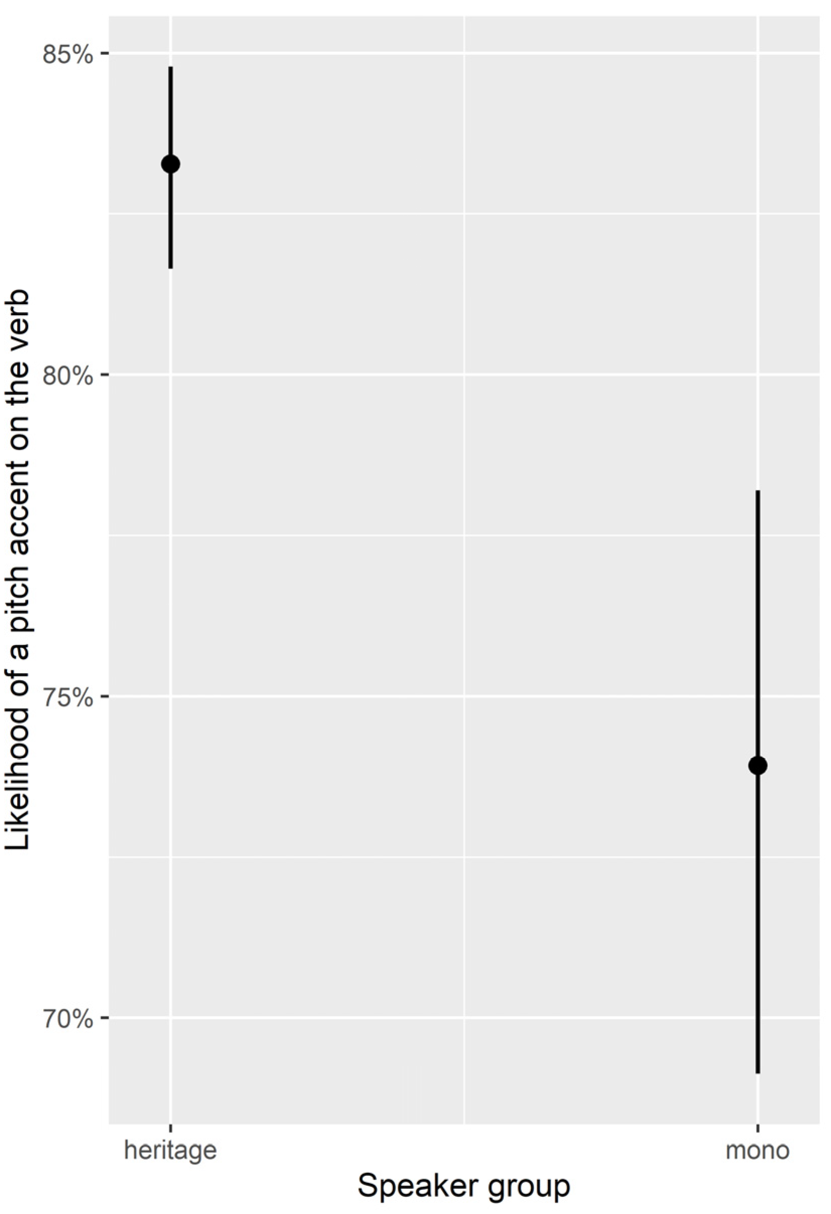
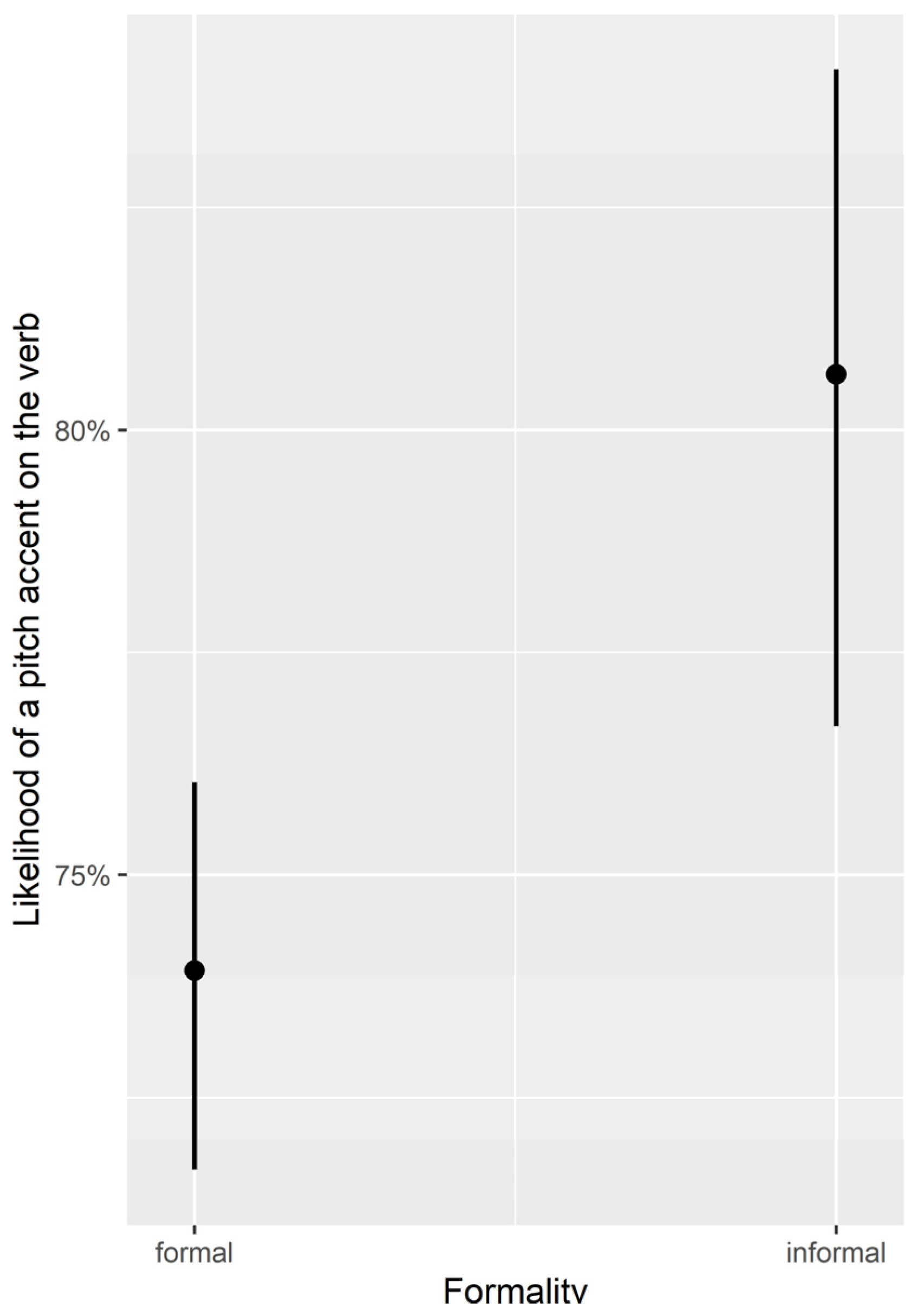
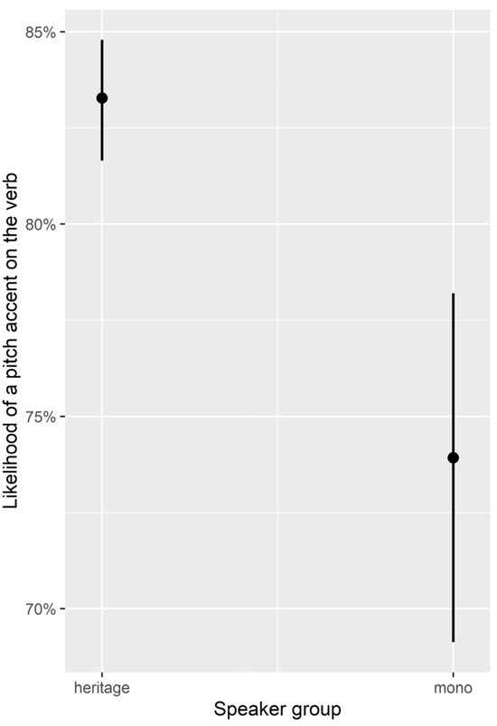
3.3.2. Number of Pitch Accents on Verbs
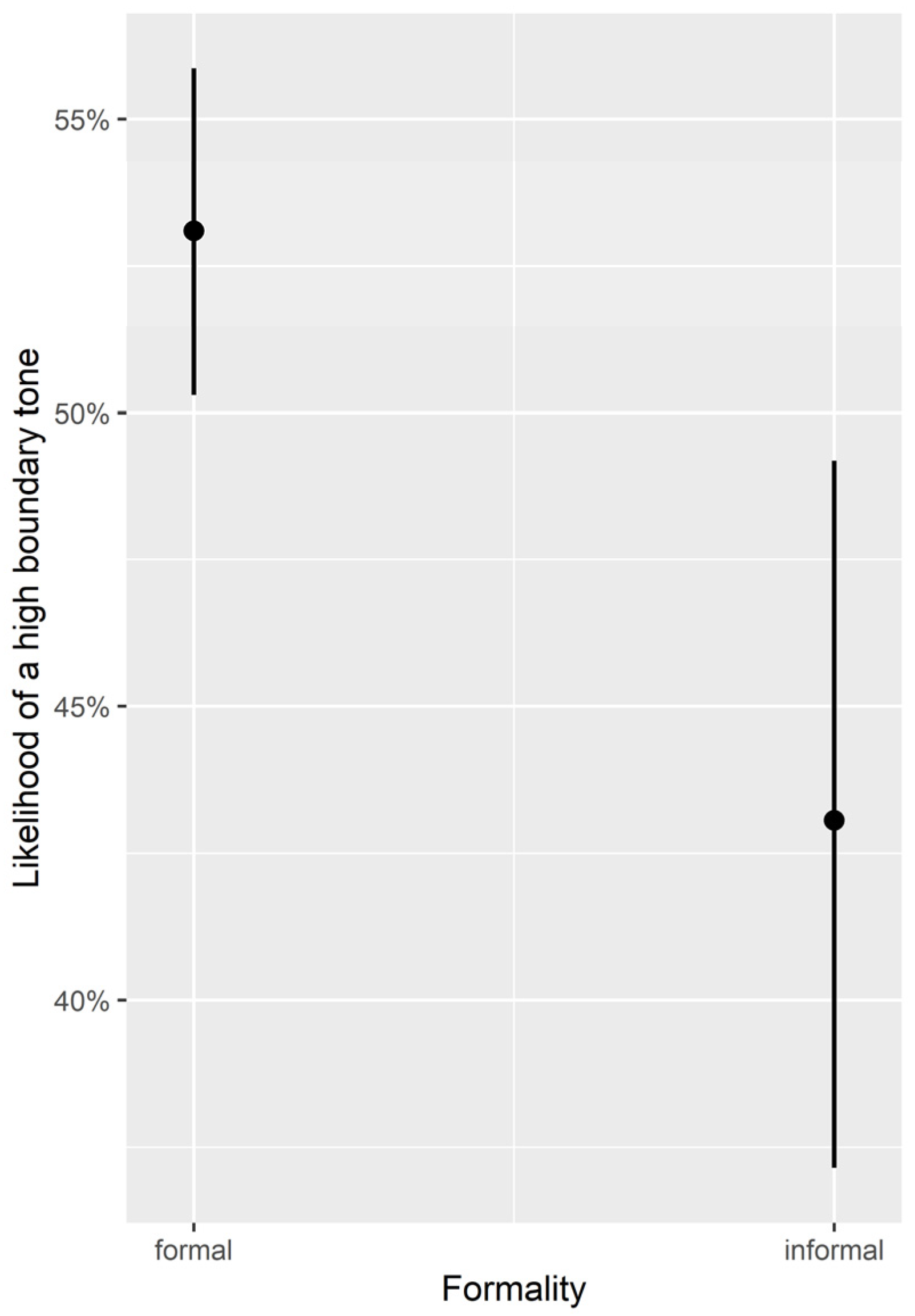
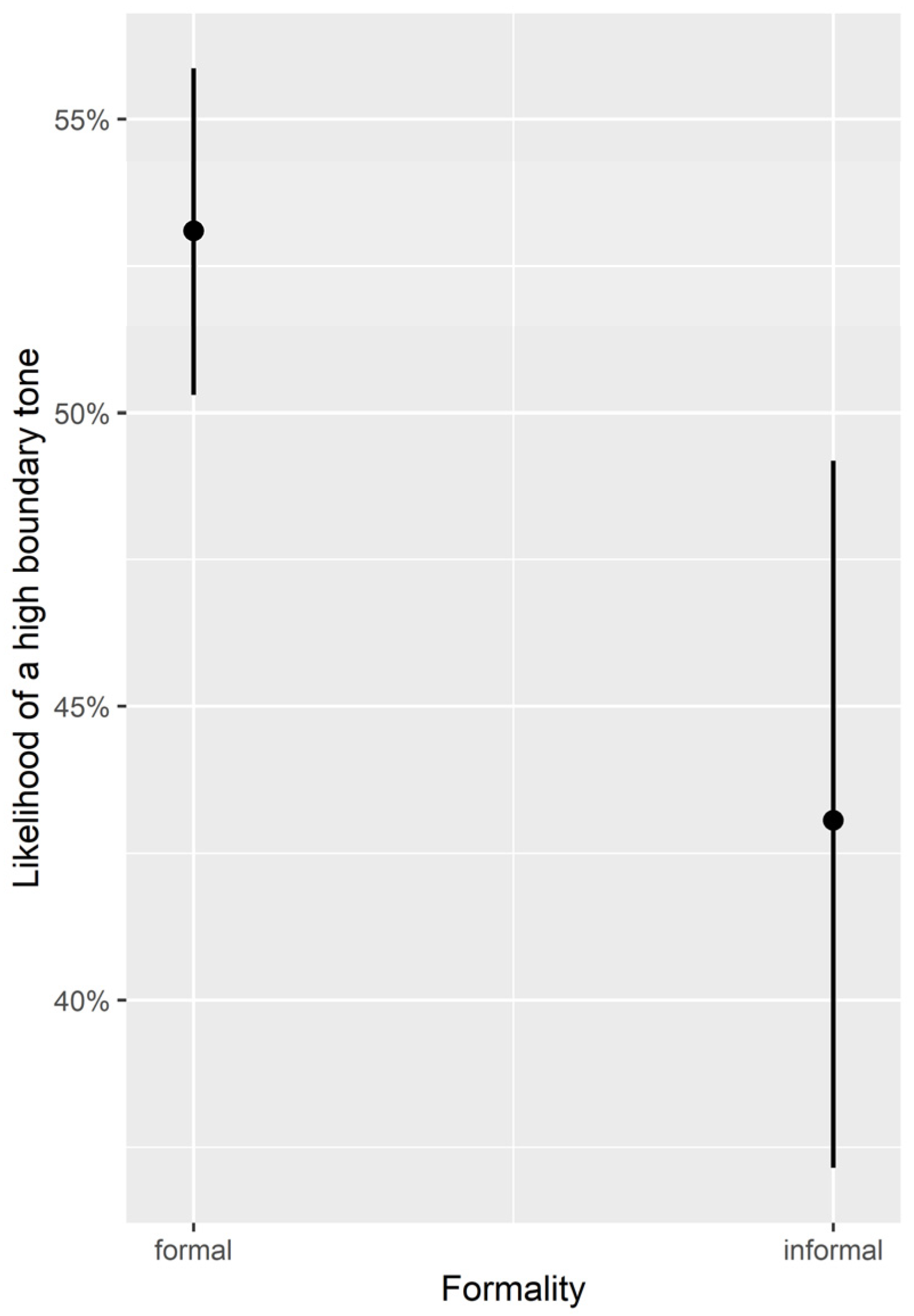
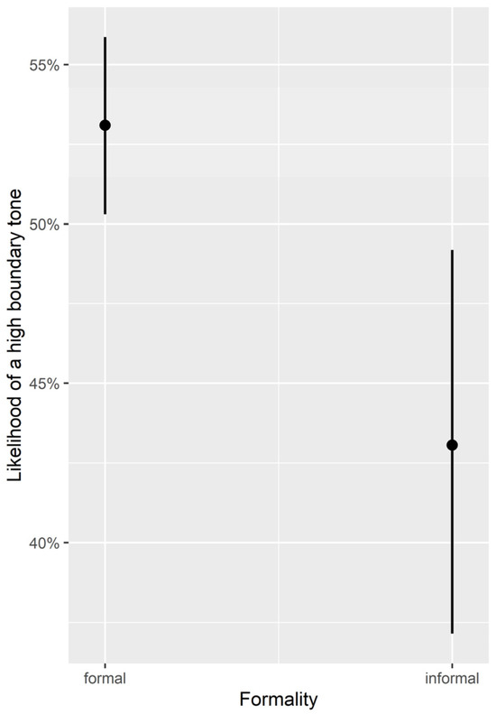
3.4. Boundary Tones
4. Discussion
4.1. Summary of the Results
4.2. Discussion
4.2.1. Register Differences in Intonation?
4.2.2. Prosodic Density
4.3. Outlook
Author Contributions
Funding
Institutional Review Board Statement
Informed Consent Statement
Data Availability Statement
Acknowledgments
Conflicts of Interest
| 1 | The RuPro corpus can be accessed here: https://korpling.org/annis/#_c=UlVFRy1SdVBybw (accessed on 4 December 2023). | 
| 2 | The questionnaires used by the RUEG group can be found here: https://osf.io/qhupg/ (accessed on 13 December 2023). | 
| 3 | English, German, Greek, and Turkish data were preprocessed in a comparable way. | 
| 4 | Files with extracted data and the code used in the analyses can be accessed here: https://osf.io/rfyde/ (accessed on 4 December 2023). | 
| 5 | Since there are only two final boundary tones in the data, either H% or L%, only one of them was modeled as a dependent variable via the glmer function. H% was chosen as a dependent variable (the upstepped and downstepped variants of the H% were included into the category H%). | 
References
- Aalberse, Suzanne, Ad Backus, and Pieter Muysken. 2019. Heritage Languages: A Language Contact Approach, Studies in Bilingualism. Amsterdam: John Benjamins Publishing Company. [Google Scholar] [CrossRef]
- Alexiadou, Artemis, Vasiliki Rizou, and Foteini Karkaletsou. 2022. A Plural Indefinite Article in Heritage Greek: The Role of Register. Languages 7: 115. [Google Scholar] [CrossRef]
- Andrews, David R. 1993. American Intonational Interference in Emigre Russian: A Comparative Analysis of Elicited Speech Samples. Slavic and East European Journal 37: 162. [Google Scholar] [CrossRef]
- Arkhipov, Alexandre V., Leonid M. Zakharov, Olga F. Krivnova, Sandro V. Kodzasov, and Andrey A. Lebedev. 2012. Russian Intonation Corpus: A preliminary report. In Computational Linguistics and Intellectual Technologies: Annual International Conference “Dialogue”, Moscow, Russia, May 30–June 3. Available online: https://zenodo.org/records/8119409 (accessed on 7 September 2023).
- Armstrong, Meghan, Mara Breen, Shelome Gooden, Erez Levon, and Kristine M. Yu. 2022. Sociolectal and Dialectal Variation in Prosody. Language and Speech 65: 783–90. [Google Scholar] [CrossRef] [PubMed]
- Aziz, Jacob, Vanina Machado Araujo, Natasha Swiderski, Celina Valdivia, Ryan Stevenson, Yasaman Rafat, and Rajiv Rao. 2022. Intonation Patterns in Argentinean- and Venezuelan-Canadian Heritage Speakers of Spanish—Investigating Parental and English Influences. Spanish as a Heritage Language 2: 1. [Google Scholar] [CrossRef]
- Bates, Douglas, Martin Mächler, Ben Bolker, and Steve Walker. 2015. Fitting linear mixed-effects models using lme4. Journal of Statistical Softwar 67: 1–48. [Google Scholar]
- Boersma, Paul, and David Weenink. 2007. Praat: Doing Phonetics by Computer. Available online: https://www.fon.hum.uva.nl/praat/ (accessed on 13 December 2023).
- Boettcher, Marlene, Annika Labrenz, Franziska Groth, Kateryna Iefremenko, and Kalliopi Katsika. 2023. Using discourse markers and filler particles to mark discourse boundaries: A corpus study across speaker groups and communicative situations. Paper presented at the RUEG Conference, Berlin, Germany, September 26–28. [Google Scholar]
- Bryzgunova, Elena A. 1963. Praktičeskaja Fonetika i Intonacija Russkogo Jazyka: Posobie Dlja Prepodavatelej, Zanimajuščixsja s Inostrancami [Practical Phonetics and Intonation of the Russian Language: A Guide for Teachers Dealing with Foreigners]. Moscow: Izdatel’stvo Moskovskogo Universiteta. [Google Scholar]
- Bryzgunova, Elena A. 1980. Intonacija [Intonation]. In Russkaja Grammatika. Moscow: Nauka, pp. 96–122. [Google Scholar]
- Bullock, Barbara E. 2009. Prosody in contact in French: A case study from a heritage variety in the USA. International Journal of Bilingualism 13: 165–94. [Google Scholar] [CrossRef]
- Comstock, Lindy Burden. 2018. Pragmatic Accommodation and Linguistic Salience in U.S.-Russian Political Discourse. Ph.D. thesis, University of California, Los Angeles, CA, USA. [Google Scholar]
- Dehé, Nicole. 2018. The Intonation of Polar Questions in North American (“Heritage”) Icelandic. Journal of Germanic Linguistics 30: 213–59. [Google Scholar] [CrossRef]
- De Ruiter, Laura E. 2015. Information status marking in spontaneous vs. read speech in story-telling tasks—Evidence from intonation analysis using GToBI. Journal of Phonetics 48: 29–44. [Google Scholar] [CrossRef]
- Dobrushina, Nina, and Elena Sokur. 2022. Spoken Corpora of Slavic Languages. Russian Linguistics 46: 77–93. [Google Scholar] [CrossRef]
- Duryagin, Pavel, and Sergey Knyazev. 2022. Prosodic diversity in Standard Russian: Pitch alignment in Central and Northern varieties. Russian Linguistics 46: 55–75. [Google Scholar] [CrossRef]
- Dyakonova, Marina. 2009. A phase-Based Approach to Russian Free Word Order. Ph.D. thesis, University of Amsterdam, Amsterdam, The Netherlands. [Google Scholar]
- Gut, Ulrike. 2009. Non-Native Speech—A Corpus-Based Analysis of Phonological and Phonetic Properties of L2 English and German. Frankfurt am Main: Peter Lang. [Google Scholar]
- Himmelmann, Nikolaus P., Meytal Sandler, Jan Strunk, and Volker Unterladstetter. 2018. On the universality of intonational phrases: A cross-linguistic interrater study. Phonology 35: 207–45. [Google Scholar] [CrossRef]
- Hughes, Diana, LaRae McGillivray, and Mark Schmidek. 1997. Guide to Narrative Language: Procedures for Assessment. Eau Claire: Thinking Publications. [Google Scholar]
- Igarashi, Yosuke. 2006. Intonational Patterns in Russian Interrogatives: Phonetic Analyses and Phonological Interpretations. In Usage-Based Linguistic Informatics. Edited by Yuji Kawaguchi, Ivan Fónagy and Tsunekazu Moriguchi. Amsterdam: John Benjamins Publishing Company, p. 175. [Google Scholar] [CrossRef]
- Igarashi, Yosuke. 2008. Russian Interrogatives and Intonational Categories. In The Discourse Potential of Underspecified Structures. Edited by Anita Steube. Berlin: Walter de Gruyter, pp. 227–70. [Google Scholar] [CrossRef]
- Jasinskaja, Katja. 2014. Information Structure in Slavic. In The Oxford Handbook of Information Structure. Edited by Caroline Féry and Shin Ishihara. Oxford: Oxford University Press, pp. 709–32. [Google Scholar] [CrossRef]
- Jilka, Matthias. 2000. The Contribution of Intonation to the Perception of Foreign Accent. Ph.D. dissertation, University of Stuttgart, Stuttgart, Germany. [Google Scholar]
- Kachkovskaia, Tatiana, Daniil Kocharov, Pavel Skrelin, and Nina Volskaya. 2016. CoRuSS—A New Prosodically Annotated Corpus of Russian Spontaneous Speech. Paper presented at Tenth International Conference on Language Resources and Evaluation (LREC’16), Portorož, Slovenia, May 23–28; pp. 1949–54. [Google Scholar]
- Kachkovskaia, Tatiana, Svetlana Zimina, Alena Portnova, and Daniil Kocharov. 2022. Social variability of peak alignment in Russian rise-fall tunes. Paper presented at the Eleventh International Conference on Speech Prosody, Lisbon, Portugal, May 23–26; pp. 862–66. [Google Scholar]
- Kachkovskaia, Tatiana, Tatiana Chukaeva, Vera Evdokimova, Pavel Kholiavin, Natalia Kriakina, Daniil Kocharov, Anna Mamushina, Alla Menshikova, and Svetlana Zimina. 2020. SibLing corpus of Russian dialogue speech designed for research on speech entrainment. Paper presented at the 12th Language Resources and Evaluation Conference, Marseille, France, May 11–16; pp. 6556–61. [Google Scholar]
- Kallestinova, Elena D. 2007. Aspects of Word Order in Russian. Ph.D. thesis, University of Iowa, Iowa City, IA, USA. [Google Scholar]
- Kim, Ji Young. 2023. Spanish-English Cross-Linguistic Influence on Heritage Bilinguals’ Production of Uptalk. Languages 8: 22. [Google Scholar] [CrossRef]
- Kisler, Thomas, Uwe Reichel, and Florian Schiel. 2017. Multilingual processing of speech via web services. Computer Speech and Language 45: 326–47. [Google Scholar] [CrossRef]
- Kodzasov, Sandro V., Olga F. Krivnova, Leonid M. Zakharov, Alexandre V. Arkhipov, Anastasia A. Bonch-Osmolovskaya, Irina M. Kobozeva, and Andrey A. Lebedev. 2011. RINCO—Russian Intonation Corpus. Available online: https://zenodo.org/records/8119302 (accessed on 4 December 2023).
- Krause, Thomas. 2019. ANNIS: A Graph-Based Query System for Deeply Annotated Text Corpora. Ph.D. dissertation, Humboldt-Universität zu Berlin, Berlin, Germany. [Google Scholar] [CrossRef]
- Krause, Thomas, and Amir Zeldes. 2016. ANNIS3: A new architecture for generic corpus query and visualization. Digital Scholarship in the Humanities 31: 118–39. [Google Scholar] [CrossRef]
- Kupisch, Tanja, Dagmar Barton, Katja Hailer, Ewgenia Klaschik, Ilse Stangen, Tatjana Lein, and Joost van de Weijer. 2014. Foreign Accent in Adult Simultaneous Bilinguals. Heritage Language Journal 11: 123–50. [Google Scholar] [CrossRef]
- Ladd, D. Robert. 2008. Intonational Phonology, 2nd ed. Cambridge: Cambridge University Press. [Google Scholar] [CrossRef]
- Landis, J. Richard, and Gary G. Koch. 1977. The Measurement of Observer Agreement for Categorical Data. Biometrics 33: 159–74. [Google Scholar] [CrossRef]
- Loban, Walter. 1976. Language Development: Kindergarten through Grade Twelve. Champaign: NCTE. [Google Scholar]
- Lüdecke, Daniel. 2020. Data Visualization for Statistics in Social Science. R Package Version 2.8.4. Available online: https://strengejacke.github.io/sjPlot/ (accessed on 4 December 2013).
- Meyer, Ronald, and Ina Mleinek. 2006. How prosody signals force and focus—A study of pitch accents in Russian yes-no questions. Journal of Pragmatics 38: 1615–35. [Google Scholar] [CrossRef]
- Mołczanow, Janina, Ulrike Domahs, Johannes Knaus, and Richard Wiese. 2013. The lexical representation of word stress in Russian: Evidence from event-related potentials. The Mental Lexicon 8: 164–94. [Google Scholar] [CrossRef]
- Montrul, Silvina. 2016. The Acquisition of Heritage Languages, 1st ed. Cambridge: Cambridge University Press. [Google Scholar] [CrossRef]
- Odé, Cecilia. 2008. Transcription of Russian intonation, ToRI, an interactive research tool and learning module on the internet. In Dutch Contributions to the Fourteenth International Congress of Slavists, Ohrid, September 10–16. Edited by Peter Houtzagers, Janneke Kalsbeek and Jos Schaeken. Leiden: Brill, pp. 431–49. [Google Scholar]
- Pierrehumbert, Janet B. 1980. The Phonology and Phonetics of English Intonation. Cambridge: MIT. [Google Scholar]
- Polinsky, Maria. 2018. Heritage Languages and Their Speakers, 1st ed. Cambridge: Cambridge University Press. [Google Scholar] [CrossRef]
- Post, Margie. 2017. Why Regional Prosodic Variation is Worth Studying: An Example from Russian. Bergen Language and Linguistics Studies 7: 164–82. [Google Scholar] [CrossRef][Green Version]
- Post, Margie. 2022. Spoken corpora of spontaneous speech as a source to study polar question intonation in Russian dialects. Paper presented at Computational Linguistics and Intellectual Technologies: Proceedings of the International Conference “Dialogue 2022”, Moscow, Russia, June 15–18. [Google Scholar]
- Rao, Rajiv. 2016. On the nuclear intonational phonology of heritage speakers of Spanish. In Advances in Spanish as a Heritage Language. Edited by Diego Pascualy y Cabo. Amsterdam: John Benjamins, pp. 51–80. [Google Scholar]
- Rathcke, Tamara. 2006a. A perceptual study on Russian questions and statements. In Arbeitsberichte des Instituts für Phonetik und Digitale Sprachverarbeitung (AIPUK 37). Edited by Jonathan Harrington, Christine Mooshammer and Felicitas Kleber. Kiel: University of Kiel, pp. 51–62. [Google Scholar]
- Rathcke, Tamara. 2006b. Relevance of F0 peak shape and alignment for the perception of a functional contrast in Russian. Paper presented at the 3rd Conference on Speech Prosody, Dresden, Germany, May 2–5; pp. 65–68. [Google Scholar]
- Rathcke, Tamara. 2009. Komparative Phonetik und Phonologie der Intonationssysteme des Deutschen und Russischen [Comparative phonetics and phonology of the intonation systems of German and Russian]. Munich: Herbert Utz Verlag. [Google Scholar]
- R Core Team. 2020. R: A Language and Environment for Statistical Computing. Available online: https://www.gbif.org/tool/81287/r-a-language-and-environment-for-statistical-computing (accessed on 4 December 2023).
- Schiel, Florian. 1999. Automatic Phonetic Transcription of Non-Prompted Speech. Paper presented at the XIVth International Congress of Phonetic Sciences, San Francisco, CA, USA, August 1–7; pp. 607–10. [Google Scholar]
- Schmidt, Thomas, and Kai Wörner. 2014. EXMARaLDA. In The Oxford Handbook of Corpus Phonology. Edited by Jacques Durand, Ulrike Gut and Gjert Kristoffersen. Oxford: Oxford University Press, pp. 402–19. [Google Scholar]
- Schroeder, Christoph, Kateryna Iefremenko, and Mehmet Öncü. Forthcoming. The post-verbal position in heritage Turkish. A comparative approach with a focus on non-clausal elements. In Zweisprachigkeit Deutsch-Türkisch. Edited by Zeynep Kalkavan-Aydın and Yazgül Şimşek. Münster: Waxmann.
- Schubö, Fabian, and Sabine Zerbian. 2023. The patterns of pre-boundary lengthening in German. In Prosodic Boundary Phenomena. Edited by Fabian Schubö, Sabine Zerbian, Sandra Hanne and Isabel Wartenburger. Berlin: Language Science Press, pp. 1–34. [Google Scholar] [CrossRef]
- Segalovich, Ilya. 2003. A fast morphological algorithm with unknown word guessing induced by a dictionary for a web search engine. Paper presented at the International Conference on Machine Learning; Models, Technologies and Applications, Las Vegas, NV, USA, June 23–26; pp. 273–80. [Google Scholar]
- Shadrova, Anna, Martin Klotz, Rahel Gajaneh Hartz, and Anke Lüdeling. Forthcoming. Mapping the Mappings and then Containing them all: Quality Assurance, Interface Modeling, and Epistemology in Complex Corpus Projects. In Linguistic Dynamics in Heritage Speakers. Edited by Shanley Allen, Mareike Keller, Artemis Alexiadou and Heike Wiese.
- Skrelin, Pavel, Nina Volskaya, Daniil Kocharov, Karina Evgrafova, Olga Glotova, and Vera Evdokimova. 2010. CORPRES—Corpus of Russian Professionally Read Speech. Paper presented at the 13th International Conference on Text, Speech and Dialogue, Brno, Czech Republic, September 6–10; pp. 392–99. [Google Scholar] [CrossRef]
- Straka, Milan, Jan Hajič, and Jana Straková. 2016. UDPipe: Trainable Pipeline for Processing CoNLL-U Files Performing Tokenization, Morphological Analysis, POS Tagging and Parsing. Paper presented at the Tenth International Conference on Language Resources and Evaluation, Portorož, Slovenia, May 23–28; pp. 4290–97. [Google Scholar]
- Svetozarova, Natalija. 1998. Intonation in Russian. In Intonation Systems: A Survey of Twenty Languages. Edited by D. Hirst and A. Di Cristo. Cambridge: Cambridge University Press, pp. 264–77. [Google Scholar]
- Trudgill, Peter. 2010. Investigations in Sociohistorical Linguistics. Cambridge: Cambridge University Press. [Google Scholar]
- Visson, Lynn. 1989. Russian in America: Notes on the Russian Spoken by Émigrés. Russian Language Journal 43: 185–91. [Google Scholar]
- Volskaya, Nina, and Tatiana Kachkovskaia. 2016. Prosodic annotation in the new corpus of Russian spontaneous speech CoRuSS. Paper presented at the Speech Prosody, Boston, MA, USA, May 31–June 3; pp. 917–21. [Google Scholar] [CrossRef]
- Wickham, Hadley, Mara Averick, Jennifer Bryan, Winston Chang, Lucy D’Agostino McGowan, Romain François, Garrett Grolemund, Alex Hayes, Lionel Henry, Jim Hester, and et al. 2019. Welcome to the Tidyverse. Journal of Open Source Software 4: 1686. [Google Scholar] [CrossRef]
- Wiese, Heike. 2020. Language Situations: A method for capturing variation within speakers’ repertoires. In Methods in Dialectology XVI. Bamberg Studies in English Linguistics. Frankfurt am Main: Peter Lang, pp. 105–17. [Google Scholar]
- Wiese, Heike, Artemis Alexiadou, Shanley Allen, Oliver Bunk, Natalia Gagarina, Kateryna Iefremenko, Esther Jahns, Martin Klotz, Thomas Krause, Annika Labrenz, and et al. 2021. RUEG Corpus. Available online: https://zenodo.org/record/5808870 (accessed on 4 December 2023).
- Yokoyama, Olga T. 1987. Discourse and Word Order, Pragmatics & Beyond. Amsterdam: John Benjamins Publishing Company. [Google Scholar] [CrossRef]
- Yokoyama, Olga T. 2001. Neutral and Non-Neutral Intonation in Russian. A Reinterpretation of the IK System. Die Welt der Slaven XLVI 1: 1–26. [Google Scholar]
- Zerbian, Sabine, Marlene Böttcher, and Yulia Zuban. 2022. Prosody of contrastive adjectives in mono- and bilingual speakers of English and Russian: A corpus study. Paper presented at the 11th Speech Prosody, Lisbon, Portugal, May 23–26; pp. 812–16. [Google Scholar]
- Zipser, Florian, and Laurent Romary. 2010. A model oriented approach to the mapping of annotation formats using standards. Paper presented at the Workshop on Language Resource and Language Technology Standards, Valetta, Malta, May 17–23. [Google Scholar]
- Zuban, Yulia. 2023. The role of communicative situations in word order choice in heritage Russian. Paper presented at the Heritage Languages at the Crossroads, Instanbul, Turkey, May 29–30. [Google Scholar]
- Zuban, Yulia, Tamara Rathcke, and Sabine Zerbian. 2023. Do Different Majority Languages Lead to Different Intonational Grammars? A Case Study of Yes/No-Questions in Heritage Russian. Heritage Language Journal 20: 1–43. [Google Scholar] [CrossRef]
- Zybatow, Gerhild, and Grit Mehlhorn. 2000. Experimental Evidence for Focus Structure in Russian. In Annual Workshop on Formal Approaches to Slavic Linguistics. The Philadelphia Meeting 1999. Edited by Tracy H. King and Irina Sekerina. Ann Arbor: Michigan Slavic Publications, pp. 414–34. [Google Scholar]








| Nuclear F0 Contour | AM Analysis | Interpretation | 
|---|---|---|
| Falling | H+L* L% | Declarative non-contrastive statement | 
| H* (probably H*+L) L% | Contrastive statement | |
| Rising-falling | L*+H L% | Yes-no question | 
| Rising | L*+H H% | Enumeration | 
| Falling-rising | H+L* LH% | ?question, ?request, ?incompleteness | 
| Heritage Russian (U.S.) | ||
|---|---|---|
| words | 3117 | |
| annotator | 1 | 2 | 
| IPs | 519 | 789 | 
| mean length of IP (in words) | 6 | 3.95 | 
| Heritage Russian (US) | κ | |
|---|---|---|
| USbi51FR | formal informal | 0.702 0.593 | 
| USbi52MR | formal informal | 0.719 0.746 | 
| USbi53MR | formal informal | 0.638 0.599 | 
| USbi54FR | formal informal | 0.547 0.382 | 
| Overall | 0.651 | 
| Pitch Accent Type | Overall | Heritage Russian | Monolingual Russian | 
|---|---|---|---|
| H* (and !H*, ^H*) | 5848 | 3933 | 1915 | 
| L+H* (and L+^H*, L+!H*) | 2661 | 1708 | 953 | 
| H+L* (and !H+L*, ^H+L*) | 1325 | 849 | 476 | 
| L*+H (and L*+!H, L*+^H) | 1417 | 741 | 676 | 
| L* | 857 | 635 | 222 | 
| H*+L (and !H*+L, ^H*+L) | 539 | 352 | 187 | 
| overall number of PAs (above categories) | 12,647 | 8218 | 4429 | 
| word count | 20,072 | 12,652 | 7420 | 
| Number of Words | Number of IPs | Number of Words/IP | |
|---|---|---|---|
| Heritage Russian | 12,445 | 5091 | 2.46 (std 0.47) | 
| formal | 6660 | 2771 | 2.42 (std 0.43) | 
| informal | 5785 | 2320 | 2.51 (std 0.52) | 
| Monolingual Russian | 7372 | 2757 | 2.77 (std 0.63) | 
| formal | 3889 | 1541 | 2.55 (std 0.4) | 
| informal | 3483 | 1216 | 3 (std 0.74) | 
| Number of Content Words | Number of PA on Content Words | PA/Content Word | |
|---|---|---|---|
| Heritage Russian | 6760 | 5682 | 0.85 (std. 0.069) | 
| formal | 3623 | 3056 | 0.85 (0.073) | 
| informal | 3137 | 2626 | 0.84 (0.065) | 
| Monolingual Russian | 4274 | 3287 | 0.77 (std. 0.089) | 
| formal | 2315 | 1804 | 0.77 (0.092) | 
| informal | 1959 | 1483 | 0.75 (0.085) | 
| Number of Verbs | Number of PAs on Verbs | PAs/Verbs (std) | |
|---|---|---|---|
| Heritage Russian | 2241 | 1863 | 0.84 (0.11) | 
| formal | 1159 | 952 | 0.83 (0.12) | 
| informal | 1082 | 911 | 0.85 (0.1) | 
| Monolingual Russian | 1355 | 1036 | 0.76 (0.13) | 
| formal | 723 | 530 | 0.73 (0.12) | 
| informal | 632 | 506 | 0.8 (0.13) | 
| H% (!H%, ^H%, H%) | L% | |
|---|---|---|
| Heritage Russian | 2334 (46.4%) | 2695 (53.6%) | 
| formal | 1295 | 1420 | 
| informal | 1039 | 1275 | 
| Monolingual Russian | 1304 (48.6%) | 1381 (51.4%) | 
| formal | 791 | 717 | 
| informal | 513 | 664 | 
| Disclaimer/Publisher’s Note: The statements, opinions and data contained in all publications are solely those of the individual author(s) and contributor(s) and not of MDPI and/or the editor(s). MDPI and/or the editor(s) disclaim responsibility for any injury to people or property resulting from any ideas, methods, instructions or products referred to in the content. | 
© 2023 by the authors. Licensee MDPI, Basel, Switzerland. This article is an open access article distributed under the terms and conditions of the Creative Commons Attribution (CC BY) license (https://creativecommons.org/licenses/by/4.0/).
Share and Cite
Zerbian, S.; Zuban, Y.; Klotz, M. Intonational Features of Spontaneous Narrations in Monolingual and Heritage Russian in the U.S.—An Exploration of the RUEG Corpus. Languages 2024, 9, 2. https://doi.org/10.3390/languages9010002
Zerbian S, Zuban Y, Klotz M. Intonational Features of Spontaneous Narrations in Monolingual and Heritage Russian in the U.S.—An Exploration of the RUEG Corpus. Languages. 2024; 9(1):2. https://doi.org/10.3390/languages9010002
Chicago/Turabian StyleZerbian, Sabine, Yulia Zuban, and Martin Klotz. 2024. "Intonational Features of Spontaneous Narrations in Monolingual and Heritage Russian in the U.S.—An Exploration of the RUEG Corpus" Languages 9, no. 1: 2. https://doi.org/10.3390/languages9010002
APA StyleZerbian, S., Zuban, Y., & Klotz, M. (2024). Intonational Features of Spontaneous Narrations in Monolingual and Heritage Russian in the U.S.—An Exploration of the RUEG Corpus. Languages, 9(1), 2. https://doi.org/10.3390/languages9010002
 
        

 
       