The Acquisition of Preposition + Article Contractions in L3 Portuguese among Different L1-Speaking Learners: A Variationist Approach
Abstract
1. Introduction
1.1. Usage-Based Approaches to Additional Language Acquisition
1.2. L3 Portuguese Acquisition by Spanish–English Speakers
2. The Current Study
| (1) | a. | Eu nadei no rio | b. | Eu vim do rio |
| I swam in+themasc.sing. river | I came from+ themasc.sing. river | |||
| (2) | a. | I swam in the river | b. | I came from the river |
| I swam in the river | I came from the river | |||
| (3) | a. | Yo nadé en el río | b. | Yo vine del río |
| I swam in the river | I came from+ themasc.sing. River | |||
| ‘I swam in the river’ | ‘I came from the river’ |
| (4) | Os estados em o Nordeste de Brasil são Bahia, Alagoas, Pernambuco, Paraíba, Ceará, The states in DET Northeast of Brazil are Bahia, Alagoas, Pernambuco, Paraíba, Ceará, ‘The states in the Brazilian Northeast are Bahia, Alagoas, Pernambuco, Paraíba, Ceará, |
| Sergipe, Piauí e Maranhão. Incluído na região é a floresta amazónica. Sergipe, Piauí and Maranhão. Included in + DET region is the forest Amazon. Sergipe, Piauí and Maranhão. Included in the region is the Amazon forest.’ |
- Are obligatory contractions acquired at the same pace, regardless of L3 learner’s L1?
- Are obligatory contractions acquired at the same pace, regardless of linguistic contexts across different L1 groups, or are they acquired gradually according to the preposition type, and article gender and number?
- Do quantitative results bring evidence to Rothman’s Typological Primacy Model (Rothman 2010a), which predicts transfer from Spanish due to its similarity to Portuguese, which would be revealed by a preference for de + o = do (Spanish del) and a + o = ao (Spanish al) due to surface similarity between Portuguese and Spanish?
3. Materials and Methods
3.1. Participants and Corpus
3.2. Analysis
4. Results
4.1. Overall Distributions
4.2. Logistic Regression Results
5. Conclusions
Author Contributions
Funding
Conflicts of Interest
References
- Alonso, Jorge González, and Jason Rothman. 2016. Coming of age in l3 initial stages transfer models: Deriving developmental predictions and looking towards the future. International Journal of Bilingualism 21: 683–97. [Google Scholar] [CrossRef]
- Amaral, Luiz, and Detmar W. Meurers. 2009. Little things with big effects: On the identification and interpretation of tokens for error diagnosis in ICALL. CALICO Journal 26: 580–91. [Google Scholar] [CrossRef]
- Amaro, Jennifer Cabrelli. 2017. Testing the phonological permeability hypothesis: L3 phonological effects on L1 versus L2 systems. International Journal of Bilingualism 21: 698–717. [Google Scholar] [CrossRef]
- Amaro, Jennifer Cabrelli, João Felipe Amaro, and Jason Rothman. 2015. The relationship between L3 transfer and structural similarity across development: Raising across an experiencer in brazilian portuguese. In Transfer Effects in Multilingual Language Development. Edited by Hagen Peukert. Amsterdam: John Benjamins Publishing Company, vol. 4, pp. 21–52. [Google Scholar]
- Bates, Douglas, Martin Mächler, Benjamin Bolker, and Steven Walker. 2015. Fitting Linear Mixed-Effects Models Using lme4. Journal of Statistical Software 67: 1–48. [Google Scholar] [CrossRef]
- Brito, Edvan P. 2018. The variation of obligatory preposition-article contractions in the interlanguage of adult learners of Portuguese. Revista do GEL 15: 241–56. [Google Scholar] [CrossRef]
- Bybee, Joan. 2008. Usage-based grammar and second language acquisition. In Handbook of Cognitive Linguistics and Second Language Acquisition. Edited by Peter Robinson and Nick C. Ellis. London: Routledge, pp. 226–46. [Google Scholar]
- Carvalho, Ana Maria, and Antônio José Bacelar Da Silva. 2006. Cross-linguistic influence in third language acquisition: The case of spanish-english bilinguals’ acquisition of portuguese. Foreign Language Annals 39: 185–202. [Google Scholar]
- Cenoz, Jasone. 2013. The influence of bilingualism on third language acquisition: Focus on multilingualism. Language Teaching 46: 71–86. [Google Scholar] [CrossRef]
- Child, Michael W. 2014. Cross-Linguistic Influence in l3 Portuguese Acquisition: Language Learning Perceptions and the Knowledge and Transfer of Mood Distinctions by Three Groups of English-Spanish Bilinguals. Ph.D. thesis, University of Arizona, Tucson, Arizona. [Google Scholar]
- De Angelis, Gessica. 2007. Third or Additional Language Acquisition. Multilingual Matters. Clevendon: Multilingual Matters LTD. [Google Scholar]
- Dickerson, Lonna J. 1975. Internal and external patterning of phonological variability in the speech of Japanese learners of English: Toward a theory of second-language acquisition. Dissertation abstracts international. The Humanities and Social Sciences 35: 7285–86. [Google Scholar]
- Ellis, Nick C. 2006. Selective attention and transfer phenomena in L2 acquisition: Contingency, cue competition, salience, interference, overshadowing, blocking, and perceptual learning. Applied Linguistics 27: 164–94. [Google Scholar] [CrossRef]
- Ellis, Nick. 2015. Cognitive and Social Aspects of Learning from Usage. In Usage-Based Perspectives on Second Language Learning. Edited by Teresa Cadierno and Søren Wind Eskildsen. Berlin: De Gruyter. [Google Scholar]
- Eskildsen, Søren Wind. 2009. Constructing another language—Usage-based linguistics in second language acquisition. Applied linguistics 30: 335–57. [Google Scholar] [CrossRef]
- Eskildsen, Søren Wind. 2012. L2 negation constructions at work. Language Learning 62: 335–72. [Google Scholar] [CrossRef]
- Eskildsen, Søren, and Teresa Cadierno. 2015. Advancing usage-based approaches to L2 studies. In Usage-Based Perspectives on Second Language Learning. Edited by Teresa Cadierno and Søren Wind Eskildsen. Berlin: De Gruyter. [Google Scholar]
- Forsyth, Helen. 2014. The influence of l2 transfer on l3 english written production in a bilingual german/italian population: A study of syntactic errors. Open Journal of Modern Linguistics 4: 429–56. [Google Scholar] [CrossRef]
- Geeslin, Kimberly L., and Avizia Yim Long. 2014. Sociolinguistics and Second Language Acquisition: Learning to Use Language in Context. London: Routledge. [Google Scholar]
- Giancaspro, David, Becky Halloran, and Michael Iverson. 2015. Transfer at the initial stages of L3 Brazilian Portuguese: A look at three groups of english/spanish bilinguals. Bilingualism: Language and Cognition 18: 191–207. [Google Scholar] [CrossRef]
- Goldberg, Adele E. 2006. Constructions at Work: The Nature of Generalization in Language. Oxford: Oxford University Press. [Google Scholar]
- Johnson, Daniel Ezra. 2009. Getting off the GoldVarb standard: Introducing Rbrul for mixed-effects variable rule analysis. Language and Linguistics Compass 3: 359–83. [Google Scholar] [CrossRef]
- Kemmer, Suzanne, and Michael Barlow. 2000. Introduction: A usage-based conception of language. In Usage-Based Models of Language. Edited by Michael Barlow and Suzanne Kemmer. Stanford: CSLI Publications. [Google Scholar]
- Montrul, Silvina. 2010. How similar are adult second language learners and Spanish heritage speakers? Spanish clitics and word order. Applied Psycholinguistics 31: 167–207. [Google Scholar] [CrossRef]
- Montrul, Silvina. 2011. The linguistic competence of heritage speakers. Studies in Second Language Acquisition 33: 155–61. [Google Scholar] [CrossRef]
- Montrul, Silvina, Rejanes Dias, and Hélade Santos. 2010. Clitics and object expression in the L3 acquisition of Brazilian Portuguese: Structural similarity matters for transfer. Second Language Research 27: 21–58. [Google Scholar] [CrossRef]
- Nunes, Jairo, and Cristina Ximenes. 2008. Preposition contraction and morphological sideward movement in Brazilian Portuguese. In Minimalist Essays on Brazilian Portuguese Syntax. Edited by Jairo Nunes. Amsterdam: John Benjamins, pp. 156–77. [Google Scholar]
- Preston, Dennis R. 1996. Variationist perspectives on second language acquisition. In Second Language Acquisition and Linguistic Variation. Edited by Robert Bayley and Dennis R. Preston. Amsterdam: John Benjamins, pp. 1–45. [Google Scholar] [CrossRef]
- R Core Team. 2020. R: A Language and Environment for Statistical Computing. Vienna: R Foundation for Statistical Computing. Available online: https://www.R-project.org/ (accessed on 31 August 2020).
- Rothman, Jason. 2010a. L3 syntactic transfer selectivity and typological determinacy: The typological primacy model. Second Language Research 27: 107–27. [Google Scholar] [CrossRef]
- Rothman, Jason. 2010b. On the typological economy of syntactic transfer: Word order and relative clause high/low attachment preference in L3 Brazilian Portuguese. International Review of Applied Linguistics in Language Teaching 48: 245–73. [Google Scholar] [CrossRef]
- Tagliamonte, Sali A. 2006. Analysing Sociolinguistic Variation. Cambridge: Cambridge University Press. [Google Scholar]
- Tagliamonte, Sali A. 2012. Variationist Sociolinguistics: Change, Observation, Interpretation. Hoboken: John Wiley and Sons, vol. 39. [Google Scholar]
- Tarone, Elaine. 2007. Sociolinguistic approaches to second language acquisition research—1997–2007. The Modern Language Journal 91: 837–48. [Google Scholar] [CrossRef]
- Tomasello, Michael. 2009. Constructing a language. In A Usage-Based Theory of Language Acquisition. Cambridge: Harvard University Press. [Google Scholar]
- Wulff, Stefanie, and Nick C. Ellis. 2018. Usage-Based Approaches to Second Language Acquisition. Amsterdam: John Benjamins, vol. 54, pp. 37–56. [Google Scholar]
- Ximenes, Cristina. 2004. Preposition contraction in coordinated structures in Brazilian Portuguese. MIT Working Papers in Linguistics 47: 179–94. [Google Scholar]
| 1 | The complete American Council on the Teaching of Foreign Languages (ACTFL) guidelines can be found at https://www.actfl.org/. |
| 2 | The total N (i.e., number of participants) here differs from the N in Table 3 due to longitudinal data (i.e., 63 participants were repeated across at least two L3 Portuguese course levels). |
| 3 | Note that, due to the large size of our corpus, there were over 100 tokens that were non-contracted for each of the levels for both L3 level and L1 background factor groups. Even with high rates of contraction across L3 levels, all results from the regression models presented in this paper converged, with L3 level being a significant factor in all three models split by L1 background. |


| Preposition Type | Portuguese | Spanish | English |
|---|---|---|---|
| a | a + a = à | a + la = a la | to + the = to the |
| a + o = ao | a + el = al | ||
| a + as = às | a + las = a las | ||
| a + os = aos | a + los = a los | ||
| de | de + a = da | de + la = de la | from + the = from the |
| de + o = do | de + el = del | ||
| de + as = das | de + las = de las | ||
| de + os = dos | de + los = de los | ||
| em | em + a = na | en + la = en las | in + the= in the |
| em + as = nas | en + el = en el | ||
| em + o = no | en + las = en las | ||
| em + os = nos | em + los = en los | ||
| por | por + a = pela | por + la = por la | by + the = by the |
| por + o = pelo | por + el = por el | ||
| por + as = pelas | por + las = por las | ||
| por + os = pelos | por + los = por los |
| Level | Student Learning Outcomes | Expected Level of Proficiency (ACTFL Guidelines1) | Description of Written Tasks |
|---|---|---|---|
| 1 | comprehend and communicate main ideas and supporting details on familiar topics using a series of connected sentences in both oral and written form | intermediate low | biweekly written assignments, topic-based (e.g., describe your family) |
| 2 | comprehend and communicate main ideas and supporting details and express own thoughts on a variety of topics in multiple time frames in both written and oral form | intermediate mid | weekly written assignments (e.g., choose a work of art that you like, describe it, and explain what you like about it) |
| 3 | comprehend and communicate information and opinion in discussions about familiar and social topics and connect academic experience to their personal and professional lives | intermediate high | genre-based written assignments (e.g., gastronomic memory, trip report, news article) |
| Participants (N) | Text Count | Word Count | |
|---|---|---|---|
| L1 English | 72 | 676 | 162,782 |
| Spanish Heritage | 104 | 924 | 229,644 |
| L1 Spanish | 36 | 310 | 84,750 |
| TOTAL | 212 | 1910 | 477,176 |
| Participants (N) | Text Count | Total Word Count | Average Text Size | |
|---|---|---|---|---|
| Level 1 | 138 | 933 | 128,104 | 137 |
| Level 2 | 81 | 519 | 143,446 | 276 |
| Level 3 | 56 | 458 | 205,626 | 449 |
| TOTAL | 2752 | 1910 | 477,176 | 250 |
| Total Token Count | Mean Token Count Per Participant | |
|---|---|---|
| L1 English | 7665 | 106 |
| Spanish Heritage | 10,484 | 102 |
| L1 Spanish | 3730 | 104 |
| TOTAL | 21,879 |
| Total Token Count | Mean Token Count Per Participant | |
|---|---|---|
| Level 1 | 5817 | 43 |
| Level 2 | 6664 | 82 |
| Level 3 | 9398 | 168 |
| TOTAL | 21,879 |
| Level 1 (%) | Level 2 (%) | Level 3 (%) | Total Non-Contracted | |
|---|---|---|---|---|
| L1 English | 0.97 | 0.96 | 0.99 | 210 (2.7%) |
| Spanish Heritage | 0.96 | 0.95 | 0.99 | 326 (3.1%) |
| L1 Spanish | 0.98 | 0.95 | 0.97 | 107 (2.9%) |
| Total non-contracted | 198 (3.4%) | 303 (4.5%) | 142 (1.5%) |
| Input = 0.98 Total n = 21,879 R2 Fixed = 0.12 R2 Total = 0.48 | |||||
|---|---|---|---|---|---|
| Factor | n | Proportion | Log Odds | FW | |
| Preposition * p < 0.001 | a | 2300 | 98.74 | 1.07 | 0.75 |
| em | 8203 | 97.57 | 0.38 | 0.59 | |
| de | 10,394 | 97.17 | 0.26 | 0.56 | |
| por | 982 | 87.68 | −1.71 | 0.15 | |
| RANGE | 60 | ||||
| L3 Portuguese Level * p < 0.001 | Level 3 | 9398 | 98.49 | 0.81 | 0.70 |
| Level 1 | 5817 | 96.6 | 0.06 | 0.50 | |
| Level 2 | 6664 | 95.45 | −0.88 | 0.30 | |
| RANGE | 40 | ||||
| Article Number * p < 0.001 | singular | 17,556 | 97.61 | 0.42 | 0.60 |
| plural | 4323 | 94.82 | −0.42 | 0.40 | |
| RANGE | 20 | ||||
| L1 p > 0.05 | L1 English | 7665 | 97.26 | 0.13 | [0.53] |
| Spanish Heritage | 10,484 | 96.89 | −0.04 | [0.49] | |
| L1 Spanish | 3730 | 97.13 | −0.09 | [0.48] | |
| RANGE | [5] | ||||
| Article Gender p > 0.05 | masculine | 11,975 | 97.30 | 0.08 | [0.52] |
| feminine | 9904 | 96.77 | −0.08 | [0.48] | |
| RANGE | [4] | ||||
| L1 English R2 Fixed = 0.15, R2 Total = 0.55 | |||||
|---|---|---|---|---|---|
| Factor | n | Proportion | Log Odds | FW | |
| Preposition * p < 0.001 | a | 831 | 98.56 | 0.95 | 0.72 |
| em | 2924 | 98.08 | 0.68 | 0.66 | |
| de | 3613 | 97.26 | 0.33 | 0.60 | |
| por | 297 | 85.52 | −1.97 | 0.12 | |
| RANGE | 60 | ||||
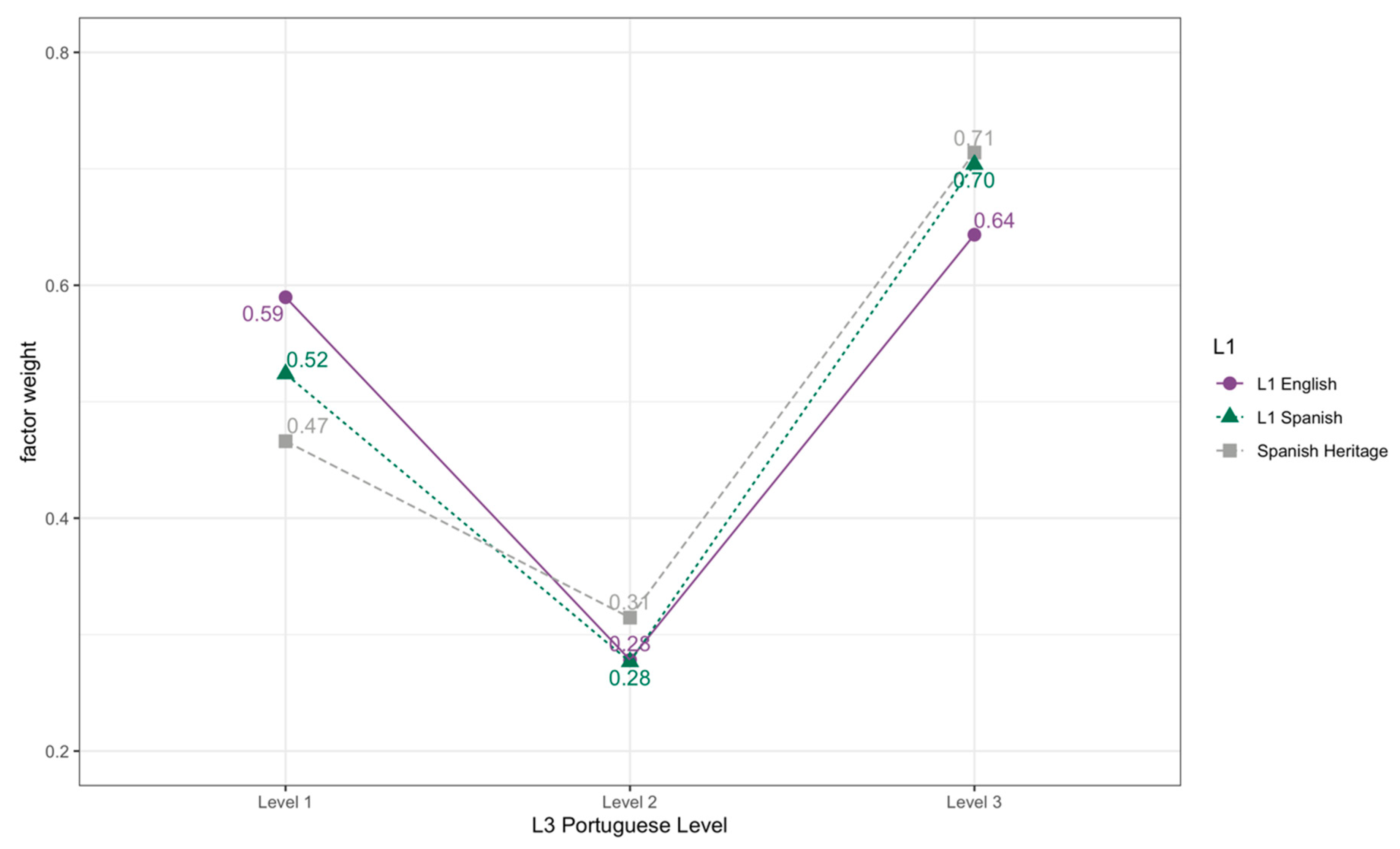
| L3 Portuguese Level * p < 0.001 | Level 3 | 2715 | 99.04 | 0.52 | 0.64 |
| Level 1 | 1844 | 96.85 | 0.4 | 0.59 | |
| Level 2 | 3106 | 95.94 | −0.92 | 0.28 | |
| RANGE | 36 | ||||
| Article Number * p < 0.001 | singular | 6178 | 98.03 | 0.62 | 0.65 |
| plural | 1487 | 94.08 | −0.62 | 0.35 | |
| RANGE | 30 | ||||
| Article Gender p > 0.05 | masculine | 3414 | 97.42 | 0.07 | [0.52] |
| feminine | 4251 | 97.13 | −0.07 | [0.48] | |
| Spanish Heritage R2 Fixed = 0.14, R2 Total = 0.45 | |||||
|---|---|---|---|---|---|
| Factor | n | Proportion | Log Odds | FW | |
| Preposition * p < 0.001 | a | 1061 | 98.96 | 1.29 | 0.78 |
| de | 5018 | 97.05 | 0.17 | 0.55 | |
| em | 3881 | 97.09 | 0.09 | 0.52 | |
| por | 524 | 89.69 | −1.56 | 0.18 | |
| RANGE | 60 | ||||
| L3 Portuguese Level * p < 0.001 | Level 3 | 4549 | 98.66 | 0.91 | 0.71 |
| Level 1 | 3109 | 96.11 | −0.10 | 0.47 | |
| Level 2 | 2826 | 94.90 | −0.81 | 0.31 | |
| RANGE | 40 | ||||
| Article Number * p < 0.001 | singular | 8467 | 97.40 | 0.36 | 0.59 |
| plural | 2017 | 94.74 | −0.36 | 0.41 | |
| RANGE | 18 | ||||
| Article Gender * p < 0.05 | masculine | 5680 | 97.25 | 0.14 | 0.54 |
| feminine | 4804 | 96.46 | −0.14 | 0.46 | |
| RANGE | 7 | ||||
| L1 Spanish R2 Fixed = 0.11, R2 Total = 0.56 | |||||
|---|---|---|---|---|---|
| Factor | n | Proportion | Log Odds | FW | |
| Preposition * p < 0.001 | a | 408 | 98.53 | 0.78 | 0.69 |
| em | 1398 | 97.85 | 0.65 | 0.66 | |
| de | 1763 | 97.33 | 0.34 | 0.58 | |
| por | 161 | 85.09 | −1.77 | 0.15 | |
| RANGE | 54 | ||||
| L3 Portuguese Level * p < 0.001 | Level 3 | 2134 | 97.42 | 0.87 | 0.70 |
| Level 1 | 864 | 97.80 | 0.11 | 0.52 | |
| Level 2 | 732 | 95.49 | −0.98 | 0.28 | |
| RANGE | 42 | ||||
| Article Number p > 0.05 | singular | 2911 | 97.35 | 0.20 | [0.55] |
| plural | 819 | 96.34 | −0.20 | [0.45] | |
| RANGE | [10] | ||||
| Article Gender p > 0.05 | masculine | 2044 | 97.80 | 0.13 | [0.53] |
| feminine | 1686 | 96.32 | −0.13 | [0.47] | |
| RANGE | [6] | ||||
| Factors | Factor Weight | L1 English | Spanish Heritage | L1 Spanish |
|---|---|---|---|---|
| Preposition | >0.5 | a | a | a |
| em | de | em | ||
| de | em | de | ||
| <0.5 | por | por | por | |
| Course Level | >0.5 | Level 3 | Level 3 | Level 3 |
| Level 1 | Level 1 | Level 1 | ||
| <0.5 | Level 2 | Level 2 | Level 2 | |
| Article Number | >0.5 | Singular | Singular | N.S. |
| <0.5 | Plural | Plural | N.S. | |
| Article Gender | >0.5 | N.S. | Masculine | N.S. |
| <0.5 | N.S. | Feminine | N.S. |
Publisher’s Note: MDPI stays neutral with regard to jurisdictional claims in published maps and institutional affiliations. |
© 2020 by the authors. Licensee MDPI, Basel, Switzerland. This article is an open access article distributed under the terms and conditions of the Creative Commons Attribution (CC BY) license (http://creativecommons.org/licenses/by/4.0/).
Share and Cite
Picoral, A.; Carvalho, A.M. The Acquisition of Preposition + Article Contractions in L3 Portuguese among Different L1-Speaking Learners: A Variationist Approach. Languages 2020, 5, 45. https://doi.org/10.3390/languages5040045
Picoral A, Carvalho AM. The Acquisition of Preposition + Article Contractions in L3 Portuguese among Different L1-Speaking Learners: A Variationist Approach. Languages. 2020; 5(4):45. https://doi.org/10.3390/languages5040045
Chicago/Turabian StylePicoral, Adriana, and Ana Maria Carvalho. 2020. "The Acquisition of Preposition + Article Contractions in L3 Portuguese among Different L1-Speaking Learners: A Variationist Approach" Languages 5, no. 4: 45. https://doi.org/10.3390/languages5040045
APA StylePicoral, A., & Carvalho, A. M. (2020). The Acquisition of Preposition + Article Contractions in L3 Portuguese among Different L1-Speaking Learners: A Variationist Approach. Languages, 5(4), 45. https://doi.org/10.3390/languages5040045
