Previous Article in Journal
The Role of Prosody and Information Structure in Licensing Ellipsis: Particle Stranding Ellipsis in Japanese
 
 
Font Type:
Arial Georgia Verdana
Font Size:
Aa Aa Aa
Line Spacing:
Column Width:
Background:
Article

Phonetic Attrition Beyond the Segment: Variability in Transfer Effects Across Cues in Voiced Stops

by
Divyanshi Shaktawat
1,2
1
Department of Language and Culture, UiT The Arctic University of Norway, 9019 Tromsø, Norway
2
Department of English Language and Linguistics, University of Glasgow, Glasgow G12 8QH, UK
Languages 2025, 10(11), 281; https://doi.org/10.3390/languages10110281
Submission received: 23 September 2025 / Revised: 31 October 2025 / Accepted: 3 November 2025 / Published: 7 November 2025

Abstract

Previous research shows that L2 learning can cause non-nativeness in the L1 of adult learners. These effects vary across segments, even across members of the same natural class (e.g., voiceless or voiced stops) differing in the presence or absence of transfer, the direction (‘assimilation’ toward L2 or ‘dissimilation’ away from it), and the magnitude of shift. However, little is known about how multiple phonetic cues within a single segment jointly exhibit transfer, or about the cross-linguistic linkages formed at this fine-grained, cue-specific level of phonetic structure. This study investigates phonetic backward transfer by analyzing production of three cues, voice onset time, voicing during closure, and relative burst intensity, across voiced stops /b d g/. Conducted among first-generation bilingual Indian immigrants in Glasgow, it explores how their native varieties (Hindi and Indian English) are influenced by the dominant host variety (Glaswegian English) with reference to the revised Speech Learning Model and its predictions of assimilation, dissimilation, and no change. Two control groups (Indians and Glaswegians) and an experimental group (Glasgow Indians) were recorded reading in English and Hindi words containing the three voiced stops. Findings reveal cue-specific variability, highlighting the multidimensional nature of CLI and challenging segment-level generalizations in models of phonetic transfer.

1. Introduction

Research on second language acquisition and cross-linguistic interaction shows that learning a new language can reshape those previously acquired, often resulting in shifts in native speech patterns. This phenomenon, referred to as backward transfer here (Cook, 2003; Kartushina et al., 2016; Shaktawat, 2024, 2025), is also recognized as L1 attrition (Schmid, 2011), or regressive cross-linguistic influences (r-CLIs; Brown-Bousfield & Chang, 2023). Current research has widely studied this phenomenon, with existing studies providing valuable and extensive insights into how backward transfer manifests in the form of ‘assimilation’ (shift towards L2) or ‘dissimilation’ (shift away from the L2) (Revised Speech Learning Model, SLM-r; Flege & Bohn, 2021). Most of this evidence comes from previous research examining isolated phonetic cues such as Voice Onset Time (VOT) in voiced or voiceless stops (Flege & Eefting, 1987; Kang & Guion, 2006; Lev-Ari & Peperkamp, 2013; Major, 1992; Stoehr et al., 2017) or formant values in some vowels or the entire vowel system (Bergmann et al., 2016; Guion, 2003; Mora & Nadeu, 2012). In contrast, little is known about how backward transfer operates across multiple phonetic cues within a single segment. This study addresses this gap by examining three phonetic cues—voice onset time, voicing during closure, and relative burst intensity—in and across three voiced stops: /b d g/. Examining phonetics from this perspective is particularly valuable for understanding the intricacies of CLI. Phonetic cues, such as voice onset time, are very subtle but measurable fine-grained aspects of speech production and perception. This quantifiable nature of phonetic cues allows us to highlight subtle variations that may be less accessible at other linguistic levels, such as morphosyntax. This thereby affords us the opportunity to observe how cross-linguistic linkages and transfer operate at this granular level.
The present study addresses this by focusing on first-generation immigrant Indians in Glasgow, referred to as ‘Glasgow Indians’ (also ‘Glaswegians’ in Shaktawat, 2024, 2025; originally proposed by Alam, 2006, to refer to second + generation Pakistani immigrants in Glasgow). Prior to migration to Glasgow (Scotland), these speakers were native bilinguals in Hindi and Indian English, and upon relocation, they were put into contact with Glaswegian English, the dominant local variety. This situation offers a unique insight into simultaneous contact between distinct languages (Hindi versus Glaswegian English) and closely related dialects (Indian versus Glaswegian English). So, while previous research has considered L1 attrition largely in contexts where the host language functions as a new L2 to be acquired (Bergmann et al., 2016; Lev-Ari & Peperkamp, 2013), Glasgow Indians, by contrast, already possessed proficiency in English prior to migration, making theirs a case of long-term interaction with a new variety rather than acquisition of a new language. Earlier work has shown that this group offers insight into transfer patterns shaped by typological proximity, distance, and sociolinguistic experiences (Shaktawat, 2024, 2025).
The Revised Speech Learning Model (SLM-r) offers a useful framework for understanding these processes. It proposes that L1 and L2 sounds co-exist in a shared phonetic space, causing dynamic interactions between them (Flege & Bohn, 2021). Depending on perceived similarity, L1 categories may either assimilate toward L2 categories (Shaktawat, 2025) or dissimilate away from them (Flege, 1995; Guion, 2003) or remain unchanged (MacLeod et al., 2009; MacLeod & Stoel-Gammon, 2009; Stoehr et al., 2017).
While the theoretical mechanisms and empirical evidence for these processes have been extensively reviewed elsewhere (see Shaktawat, 2025), it is important here to note that findings from previous research also contribute to the argument that L1–L2 linkages are formed at a system-wide level such that changes in the L1 due to L2 influence are exhibited by all members of that system. For example, Guion (2003) showed systematic raising of all L1 Quichua vowels in face of L2 Spanish acquisition. However, some evidence indicates that these changes may not affect all categories equally. That is, some vowels but not others may show these transfer effects (for example, Bergmann et al., 2016). Further still, some evidence suggests that even within the same natural class (such as all voiced stops, or all voiceless stops), transfer outcomes may differ in relation to absence/presence of transfer, the direction of shift (assimilation/dissimilation), and the magnitude of shift across members of that natural class. For example, in English–Spanish bilinguals, Lord (2008) found an assimilatory shift for VOT in L1 English /k/, but no shift in /p/ and /t/. Taken together, these findings highlight the complex and non-uniform nature of cross-linguistic phonetic transfer, warranting further investigation.
The present study attempts this by examining how CLI operates at the level of individual phonetic cues that constitute a single segment. It extends earlier work in two ways. First, rather than focusing on a single phonetic dimension such as VOT, it investigates multiple cues, namely voice onset time (VOT), voicing during closure (VDC), and relative burst intensity (RBI), within the same set of stop consonants. Second, it targets three voiced stops (/b d g/) to examine whether backward transfer operates consistently across categories or varies according to the specific phonetic cue involved. Accordingly, the study asks two questions: (1) Is there evidence of phonetic backward transfer in this Glasgow-Indian context, in the form of assimilation or dissimilation and (2) if so, do these patterns differ across phonetic cues (VOT, VDC, RBI) within and across voiced stops /b d g/?

1.1. Voiced Stops /b d g/ Across Glaswegian English, Indian English, and Hindi

The voiced stops /b d g/ occur in the phonological inventories of Hindi, Indian English, and Glaswegian English, but their phonological roles differ across these varieties. While Glaswegian English features a two-way voicing contrast at three places of articulation—bilabial (/p b/), coronal (/t d/), and velar (/k g/) (Sonderegger et al., 2020; Stuart-Smith et al., 2015), Hindi exhibits a four-way contrast at four places of articulation- bilabial (/p b ph bh/), dental (/t̪ d̪ t̪hh/), retroflex (/ʈ ɖ ʈh ɖh/), and velar (/k g kh gh/) (Davis, 1994; M. Ohala, 2014; Singh & Tiwari, 2016). Indian English, while maintaining a two-way contrast like Glaswegian English, often shows retroflexion of coronal stops under the influence of Hindi and other Indic languages, such that what is perceived as a denti-alveolar voiced or voiceless stop in Glaswegian English may correspond to a retroflex voiced or voiceless stop ([ʈ] or [ɖ]) in Indian English (Gargesh, 2008; Shaktawat, 2024, 2025).
Voiced stops, or ‘plosives’, are produced with complete closure at their respective places of articulation, while the velum is raised to block nasal airflow (Ladefoged & Johnson, 2015; Ogden, 2017). The production of a stop involves three phases: closure, hold, and release (Ogden, 2017). During the closure phase, the two articulators form a complete closure of the vocal tract, thereby preventing the air from flowing out. This is followed by the hold phase, during which the pressure of this trapped air builds up, which is then finally released during the release phase with an audible burst (Ogden, 2017). In prior research different cues have been identified to distinguish between these three voiced stops /b d g/ according to their places of articulation (see Shaktawat, 2023). In the present study, three cues were selected for detailed examination. These are voice onset time (VOT), voicing during closure (VDC), and relative burst intensity (RBI).

1.1.1. Positive Voice Onset Time (VOT)

VOT is a widely used measure for distinguishing between voiced stops both within and across languages (Lisker, 1986; Lisker & Abramson, 1964). It is defined as the relation between the release of the stop closure and the onset of voicing for the following segment and can be positive or negative. In this study, the term VOT is used to refer to positive VOT, which is a measure of the delay in voicing onset after the release of the closure and the beginning of the following vowel. Stops exhibiting small positive VOT are described as having short-lag voicing, which has a VOT value greater than zero (Davis, 1994; Lisker & Abramson, 1964). Voiced stops are known to exhibit a ‘short lag’ VOT, typical of English voiced stops or voiceless unaspirated stops.
Previous findings (Table S1; Supplementary Materials), including those reported in Shaktawat (2025), indicate short-lag VOT values across /b d g/ in Glaswegian English and Indic languages. For example, Stuart-Smith et al. (2015) report mean VOTs of approximately 10 ms (/b/), 20 ms (/d/), and 30 ms (/g/) in the Glasgow Vernacular, while Sonderegger et al. (2020) found similar values (~18 ms). The Glaswegian English speakers in the present study speak Glasgow Standard English (GSE), which is known to exhibit slightly longer VOT than the vernacular (Stuart-Smith, 1999). As a result, Glaswegian English VOT values in the current study may be somewhat longer than those reported in Stuart-Smith et al. (2015) and Sonderegger et al. (2020). Hindi voiced stops, in contrast, show shorter VOTs, with the velar stop showing a mean short-lag VOT of ~11.58 ms for /g/ (Davis, 1994) and exhibiting the general decrease in VOT as the place of articulation moves forward (Cho & Ladefoged, 1999).
Based on the limited prior research on VOT in voiced stops in Indian English and the influence of Indic languages on Indian English, short-lag VOT in Indian English /b d g/ is expected to resemble that of Hindi and be shorter than in Glaswegian English (Gargesh, 2008; Shaktawat, 2025; Sirsa & Redford, 2013; Wells, 1982).

1.1.2. Voicing During Closure (VDC)

As mentioned earlier, in addition to positive VOT, VOT can also be negative. Voiced stops are sometimes characterized by the presence of full or partial voicing during the closure phase (Hayward, 2000; Ladefoged & Johnson, 2015; Ogden, 2017). Negative VOT, or ‘prevoicing,’ refers to this duration between the initiation of voicing during the stop closure and the release of the burst. A measure of negative VOT is ‘voicing during closure’ (VDC), in which the duration of negative VOT is calculated relative to the total closure duration (Davidson, 2016; Sonderegger et al., 2020). Accordingly, VDC can be represented either as a percentage of the closure or as a categorical variable (Davidson, 2016; Sonderegger et al., 2020). In the present study, VDC is used rather than raw negative VOT, as it accounts for voicing in relation to the entire closure. Since longer closures naturally allow more time for voicing, measuring only in milliseconds can be misleading. Expressing voicing as a proportion of closure duration allows for fairer comparisons across places of articulation, speakers, speech rates, and also indicates whether voicing is maintained fully or partially during the closure, which is an important distinction for capturing cross-linguistic and phonological differences.
For instance, VDC is known to differ cross-linguistically across Glaswegian English and the native varieties here (Indian English and Hindi) (Davis, 1994; Hauser, 2021; Sonderegger et al., 2020; Stuart-Smith et al., 2015). In Glasgow Vernacular English, about 56.8% of word-initial voiced stops lack VDC, with partial and full voicing present in 12.6% and 30.6% of cases, respectively (Sonderegger et al., 2020). Word-initial Hindi voiced stops, on the contrary, are reported to be fully voiced during the stop closure (Davis, 1994; Lisker & Abramson, 1964; Pruitt et al., 2006; Schertz & Khan, 2020) and have been shown to exhibit much less variability for the same (Hauser, 2021). Hauser (2021) found that with respect to the three categorizations of VDC (‘none’, ‘partial’, and ‘full’ voicing during closure), all Hindi speakers consistently had ‘full’ VDC for the majority of phonologically voiced stops across the three places of articulation as compared to speakers of American English, who were more likely to exhibit much variability and ‘partial’ VDC. While research on VDC in Indian English is lacking, the influence of Indic languages on Indian English pre-voicing patterns is highly visible, as Indian English voiced stops exhibited pre-voicing patterns similar to other Indic voiced stops (Wiltshire & Harnsberger, 2006; Wiltshire & Sarmah, 2021).

1.1.3. Relative Burst Intensity (RBI)

The final cue examined in the present study is Relative Burst Intensity (RBI), which measures the amplitude of the stop burst relative to the following vowel (Kirkham, 2011; Sundara, 2005; Sundara et al., 2006). RBI is not only useful for distinguishing stops by place of articulation (Jongman et al., 1985; Repp, 1984; Stoel-Gammon et al., 1994) but also exhibits cross-linguistic variation, making it relevant for comparing Glaswegian English, Indian English, and Hindi.
Previous research has shown that speakers’ linguistic background can influence burst intensity. For instance, Shaktawat (2018) found that native Glaswegian English speakers produced less intense bursts compared to Pakistani heritage speakers in Glasgow, whose English showed influence from Urdu and Punjabi. This pattern aligns with prior observations in Shaktawat (2024): Glaswegian English voiced stops showed lower RBI than Indian English stops produced by the Indian control group in India for /b/ and /d/. However, in contrast to this trend, Glaswegian English /g/ showed higher RBI than that of the Indian control group. Kirkham (2011) also reported that coronal stops (/t/ and /d/) in British Asian English can exhibit higher burst intensity than the equivalent stops in standard British English.
Although RBI values for these varieties were reported in Shaktawat (2024), they are included here alongside VOT and VDC to examine how these three acoustic cues vary within and across voiced stops (/b d g/) across the three varieties. This allows us to investigate how variability across cues manifests within and across the three places of articulation in voiced stops.

2. Materials and Methods

The methodology for the present study largely follows that reported in Shaktawat (2024, 2025), including participant recruitment, stimuli preparation, and data analysis procedures. For completeness, key aspects are summarized below, with any modifications specific to this study explicitly noted.

2.1. Participants

Three groups of speakers (two control groups and one experimental group) of mixed sexes were recruited in 2022. As described in Shaktawat (2024, 2025), these are Glaswegians (control group) comprising 34 adult speakers (10 M, 22 F, 2 non-binary) of Glasgow Standard English (GSE), age range 18–69 (mean = 32.3, SD = 14.4); Indians (control group) comprising 31 adult native speakers of Hindi and Indian English (12 M, 19 F), age range 18–62 (mean = 31.32, SD = 9.76) who reside in India and have no exposure to Glaswegian English; and Glasgow Indians (experimental group) comprising 38 adult first-generation immigrant Indians in Glasgow (7 M, 31 F), who are native speakers of Hindi and Indian English, age range 21–83 (mean = 46.02, SD = 17.59). All participants migrated directly to Glasgow (rather than other parts of the UK) and have resided there since migration, with at least three years of residence in Glasgow (range 3–63, mean = 18.98). Their age of entry to Glasgow ranged from 12 to 36 years (mean = 26.19, SD = 6.38), and participants had varying degrees of contact with Glaswegian English.
Like the Indian control group, Glasgow Indians also spoke one or more additional regional Indo-Aryan languages acquired from birth (e.g., Punjabi, Garhwali, Bhojpuri, Bengali, Gujarati). Participants were early simultaneous or early sequential multilinguals, with all L1s acquired before age nine and educated in English-medium schools. Furthermore, the Glasgow-Indian group is a linguistically diverse ethnolinguistic minority in Glasgow, which meant that it was not possible to limit all Glasgow Indians to the same regional linguistic background. Therefore, recruitment focused on participants speaking only Indo-Aryan languages alongside Hindi and Indian English, minimizing influence from dissimilar languages such as Dravidian varieties.
A limitation of this study, then, is that differences in age of acquisition, type of bilingualism, and regional dialect varieties spoken by members of the Glasgow-Indian and Indian groups were not controlled for and may have influenced the results. It is also possible that individual differences in factors such as age, dominance, and proficiency across known languages may have affected transfer outcomes. The effect of all these factors, along with others such as the Glasgow Indians’ sense of identity, perceived discrimination, length of residence in Glasgow, contact with different language groups, inhibitory skills, and language-switching ability on transfer outcomes, were also examined in a larger study (Shaktawat, 2023) of which the present study is a part. Among these factors, age of entry and length of residence in Glasgow, as well as sense of identity and contact with Indians versus Glaswegians, were found to be more influential than others in affecting backward transfer effects (Shaktawat, 2023, 2024, 2025).

2.2. Materials

Participants were recorded reading sentence lists in English and Hindi. The target stops /b d g/ occurred in word-initial position in mostly monosyllabic words, embedded in carrier sentences. In English, the carrier sentence was Say ____ again and in Hindi, it was /kəha ___ apne?/, translated as “Did you say____?”. For disyllabic words, target stops always occurred in the stressed syllable. Ten words per target sound were presented in each language. The sentence lists are provided in Supplementary Materials (Figures S1 and S2). These stimuli and carrier sentences largely follow Shaktawat (2024, 2025). The current study also extends this previous work by examining three acoustic cues (VOT, VDC, RBI) jointly for the same tokens, allowing analysis of cross-cue variability.

2.3. Procedure

Ethical clearance was granted by the University of Glasgow College of Arts Ethics Committee. Following the procedure described in Shaktawat (2024, 2025), data collection was conducted entirely online using a speech production task (using the LaBB-CAT Speech Elicitation Tool; Fromont & Hay, 2012), and a questionnaire task (using Gorilla Experiment Builder; www.gorilla.sc; accessed on 1 April 2020) capturing demographic, psycholinguistic, and sociolinguistic information (for a larger study).
Although online speech recording may introduce variability, previous studies (Shaktawat, 2024, 2025) have shown the measures used here are robust to such differences.

2.4. Data Analysis

Acoustic analysis was conducted on the speech production recordings, focusing on /b d g/ in both English and Hindi. Segment boundaries were annotated in PRAAT (Boersma & Weenink, 2024) based on waveform and spectrogram landmarks (see Supplementary Materials, File S1). A PRAAT script extracted VOT, VDC, and RBI values.
Data were analyzed using linear and logistic mixed-effects modelling in R (Version 3.6.3; R Core Team, 2020), with lmer() and glmer() functions from the lme4 package (version 1.1.29; Bates et al., 2015). Model summaries and p-values were generated using lmerTest (Version 3.1.3; Kuznetsova et al., 2017). Visualizations were created using ggplot2 (Version 3.3.6; Wickham, 2016) and effects (version 4.2.1; Fox & Weisberg, 2018) packages. The R code and data for this study are available at https://osf.io/jc9ep/ (accessed on 30 May 2025).
The random effects included speaker and word. Fixed effects included vowel height (height of the vowel following the target stop: high/non high), language (English/Hindi), phone (b/d/g), and group (Glaswegian/Glasgow-Indian/Indian). The analysis of each cue was carried out in two stages following Shaktawat (2024, 2025). Stage 1 compared the two control groups (Glaswegian/Indian) in English only to establish baselines (group effect coded: Glaswegian = 0.5, Indian = −0.5). Stage 2 compared the experimental group (Glasgow Indians) with the Indian control group in English and Hindi to assess transfer, with group effect coded as Glasgow Indians = 0.5 and Indian = −0.5.

3. Results

3.1. Voice Onset Time (VOT)

VOT values were log-transformed to normalize variability. The more negative the log VOT value, the shorter the VOT duration. Please refer to Supplementary Material for raw VOT values for individual stops across Glaswegians, Glasgow Indians, and Indians in Hindi and English (Table S2).
In stage 1, the linear mixed model predicted log VOT in English as a function of phone (b/d/g), group (Glaswegian/Indian), and vowel height (high/non-high). The model included a random intercept for speaker and an interaction term between phone and group. There was a significant effect of vowel height on log VOT (β = −0.08, t(1816) = −4.45, p < 0.001). Significant effects for phone /d/ and /g/ averaged across Glaswegians and Indians in English also emerged (/d/: β = 0.26, t(1816) = 12.67, p < 0.001; /g/: β = 0.89, t(1816) = 44.00, p < 0.001). These effects confirmed that different places of articulation had different VOT values (Cho & Ladefoged, 1999; Chodroff & Wilson, 2018; Lisker & Abramson, 1964). Significant group effects also emerged. For /b/ in English, the Group Effect was significant (β = 0.19, t(1816) = 6.48, p < 0.001). Furthermore, for /d/ in English, the group effect was significantly larger than for /b/ (β = 0.33, t(1816) = 8.03, p < 0.001). However, for /g/ in English, there was no significant difference in group effect relative to /b/ (β = −0.06, t(1816) = −1.56, p = 0.118). All in all, as expected, Indians had more negative VOTs (shorter VOT) than Glaswegians for all three voiced stops (Davis, 1994; Sonderegger et al., 2020; Stuart-Smith et al., 2015). This is important for stage 2: if Glasgow Indians have longer VOT than Indians (in direction of Glaswegians) for any of the stops, it would be indicative of assimilation. Shorter VOT than Indians for any of the stops would be indicative of dissimilation, whereas similar VOT as Indians would indicate no change in that Glasgow-Indian stop for VOT.
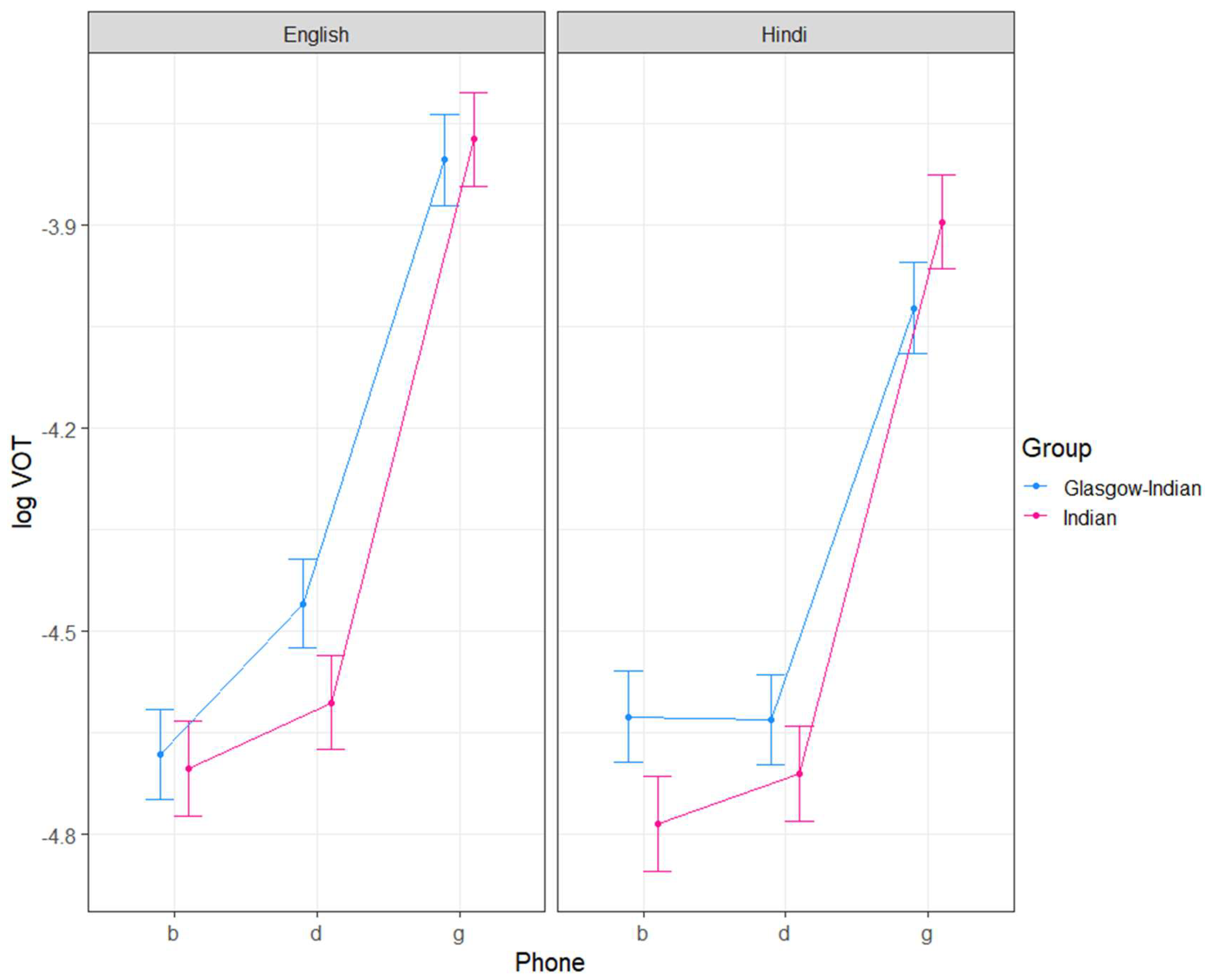
In stage 2, another linear mixed model predicted log VOT by language (English/Hindi), phone (b/d/g), vowel height (high/non-high), and group (Glasgow-Indian/Indian). Interactions were specified between language, group and phone along with all lower-level interactions. The model included a random intercept for speaker. Significant effects for phone emerged here as well to the same effect (/g/: β = 0.90, t(3817) = 43.15, p < 0.001; /d/: β = 0.16, t(3817) = 7.74, p < 0.001). For /b/ in English, the group effect was not significant (β = 0.021, t(3817) = 0.69, p = 0.49). However, in Hindi, the group effect was significantly larger than in English (β = 0.14, t(3817) = 3.27, p = 0.001). For /d/ in English, the group effect was significantly larger than for /b/ (β = 0.126, t(3817) = 3.05, p = 0.002). On the other hand, in Hindi, the increase in group effect from /b/ to /d/ is reduced relative to English (β = −0.205, t(3817) = −3.48, p < 0.001). In Figure 1, the panel for English (on the left) for /d/ shows a larger difference than the panel for Hindi (on the right). Finally, for /g/ in English there was no significant change in group effect relative to /b/ (β = −0.051, t(3817) = −1.21, p = 0.227). By contrast, in Hindi, there was a significant change in group effect, relative to the change in English (β = −0.235, t(3817) = −3.94, p < 0.001), reflecting longer VOT for Indians in /g/ than for Glasgow Indians. This can be seen in the rightmost panel of Figure 1, which shows a higher predicted VOT for Indian /g/ than Glasgow-Indian /g/, reversing the pattern of lower VOTs in the other stops.
From these analyses, we can conclude that in English, there was no change in Glasgow-Indian VOT for /b/ and /g/, but there was assimilation in /d/. In Hindi, there was assimilation in Glasgow-Indian VOT for /b/ and /d/, whereas there was dissimilation for /g/.

3.2. Voicing During Closure (VDC)

For this analysis, mixed effects binomial logistic regression was employed because the dependent variable here (VDC) was transformed from a continuous % scale to three ordered levels: None, Some, All. These three levels represent the amount of voicing during the closure of the respective voiced stop. The ‘none’ level represents absolutely no VDC, the ‘some’ level represents 1 to 99 percent VDC, and the ‘all’ level represents 100 percent VDC. This analysis is based on Sonderegger et al. (2020), who used binary mixed-effects logistic regression to model the probability of one level over the other. They did this by creating two such regression models. The first modeled ‘None versus Some/All’ voicing, that is, the probability of no voicing over the probability of any VDC. The second modeled ‘Some versus All’ voicing, that is, the probability of some VDC over full VDC. Similarly, in the present study two regression models were generated (Model 1: ‘None versus Some/All’ (Any) model; Model 2: ‘Some versus All’ model).
Within each of these two big models, the analysis was carried out in two stages (like the above VOT analysis). In stage 1 for Model 1 (‘None versus Some/All’ model), the control groups (Glaswegian and Indian) were compared to project baselines of VDC for ‘none’ and ‘some/all’ levels in English. In stage 2 for Model 1, the experimental Glasgow-Indian group was compared to the Indian control group across language. In this ‘None versus Some/All’ model, the dependent variable (VDC) had two levels: ‘none’ and ‘some/all’. ‘None’ was coded as 0 (the reference level) and ‘Some/All’ as 1. This means that a positive coefficient for a predictor indicates increased log-odds of having ‘some/all’ VDC, while a negative coefficient indicates decreased log odds of ‘some/all’ VDC (and hence increased log odds of having ‘none’ VDC). A coefficient of 0 indicates equal likelihood of having ‘none’ or ‘some/all’ VDC.
Analysis for the ‘Some versus All’ model (Model 2) was performed in similar stages as the ‘None versus Some/All’ model (Model 1). In Model 2, the dependent variable (VDC) had two levels: ‘some’ and ‘all’. ‘Some’ was coded as 0 (the reference level) and ‘all’ as 1. This means that a positive coefficient for a predictor indicates increased log-odds of having ‘all’ VDC, while a negative coefficient indicates decreased log odds of ‘all’ VDC (and hence increased log odds of having ‘some’ VDC). A coefficient of 0 indicates equal likelihood of having ‘some’ or ‘all’ VDC.
Please refer to Supplementary Material for raw VDC percentage for individual stops across Glaswegians, Glasgow Indians, and Indians in Hindi and English (Table S3).

3.2.1. None Versus Some/All Model

In stage 1, a logistic mixed model predicted VDC by group (Glaswegian/Indian) and phone (b/d/g) in English. An interaction term was specified between group and phone, and a random intercept was added for speaker. The intercept for this model, which represented the grand mean of the log-odds of Glaswegians and Indians for the phone /b/ in English was significantly different from 0, and the positive log-odds indicate a higher likelihood of having ‘some/all’ VDC (β = 3.05, p < 0.001). The simple effects of phone for /d/ and /g/ (/d/: β = −0.20, p = 0.459); /g/: β = −0.29, p = 0.263) were not significantly different from the intercept, representing a similarly higher likelihood of having any (‘some/all’) VDC for all stops when averaged across the group. For /b/ in English, there was a significant group effect (β = −3.49, p < 0.001), such that Indians had higher log-odds of having ‘some/all’ voicing than Glaswegians. For /d/ in English, the group effect was not significantly different from the group effect for /b/ (β = 0.02, p = 0.972). Similarly for /g/ in English, the group effect was not significantly different from the group effect for /b/ (β = 0.28, p = 0.593). This means that Indians had a higher likelihood of having any VDC (‘some’ or ‘all’) than no VDC as compared to Glaswegians in English. This is important for stage 2: if Glasgow Indians have a smaller likelihood of having any VDC than Indians, it would be indicative of assimilation. A higher likelihood of having any VDC than Indians for any of the stops would be indicative of dissimilation, whereas a similarly higher likelihood of having any VDC as Indians would indicate no change in those Glasgow-Indian stops.
In stage 2, another logistic model predicted VDC as a function of group (Glasgow-Indian/Indian), language (English/Hindi), and phone (b/d/g). An interaction was specified between group, language and phone along with all lower-level interactions. A random intercept for speaker was not included due to issues of convergence. The intercept in this model (the grand mean of Glasgow Indians and Indians for English /b/) had a positive log-odds ratio (b = 3.551, p < 0.001). This indicates a higher likelihood of having some/all VDC over none in /b/ in English. None of the other effects or interactions were significantly different from the intercept. This means that Glasgow Indians and Indians had a similarly higher likelihood of having any VDC (‘some’ or ‘all’) than no VDC across phone and language.
To conclude, there was no transfer in Glasgow Indians for VDC in all three voiced stops in the ‘None versus Some/All’ model.

3.2.2. Some Versus All Model

In stage 1, a logistic mixed model predicted VDC as a function of group (Glaswegian/Indian) and phone (b/d/g) in English. An interaction was specified between group and phone, and a random intercept was added for speaker. The intercept for this model represented the grand mean of the log-odds of Glaswegians and Indians for the phone /b/ in English. It is not significantly different from 0 and represents an equal likelihood of having ‘some’ or ‘all’ VDC (β = 0.16, p = 0.540). The simple effects of phone for /d/ and /g/ (/d/: β = −0.14, p = 0.408; /g/: β = 0.03, p = 0.840) were not significantly different from the intercept and had equally similar likelihood of having partially or fully voiced closures. For /b/ in English, there was a significant group effect (β = −3.21, p < 0.001), such that Indians had a significantly higher likelihood of having ‘all’ VDC (that is, fully voiced closures) than Glaswegians, for whom this probability was lower than 0.5 (that is, a higher likelihood of partially voiced closures). For /d/ in English, the group effect was not significantly different from the group effect for /b/ (β = 0.13, p = 0.692). For /g/ in English, however, the group effect was significantly smaller than the group effect for /b/ (β = 1.02, p = 0.002). Nevertheless, Indians still had a higher likelihood for ‘all’ VDC (above 0.5), whereas Glaswegians still had a lower likelihood for ‘all’ VDC (below 0.5).
In stage 2, another logistic mixed model predicted VDC by group (Glasgow-Indian/Indian), language (English/Hindi), and phone (b/d/g). An interaction was specified between group, language and phone along with all lower-level interactions. A random intercept for speaker was not included due to issues of convergence. In this model, the intercept represented the grand mean of the log-odds of Glasgow Indians and Indians for /b/ in English. This had a positive log-odds ratio (β = 1.35, p < 0.001), indicating a higher likelihood for ‘all’ VDC (that is, fully voiced closures). There were significant effects of Phone (/d/: β = −0.36, p = 0.008; /g/: β = −0.43, p = 0.002). That is, as compared to /b/, the grand mean of log-odds ratio of Glasgow Indians and Indians for /d/ and /g/ in English was smaller, but nevertheless positive. This meant that though /d/ and /g/ had a lower likelihood than /b/ of having ‘all’ VDC, this probability was still above 0.5. For /b/ in English, the group effect was not significant (β = −0.04, p = 0.858). In Hindi, the group effect was not significantly different from in English (β = 0.21, p = 0.474). For /d/ in English, the group effect was not significant (β = −0.41, p = 0.127). In Hindi, the group effect was not significantly different from in English (β = 0.47, p = 0.225). For /g/ in English, the group effect was not significant (β = −0.10, p = 0.712). However, in Hindi, the group effect was significantly larger than in English (β = 0.91, p = 0.02). Glasgow Indians had a significantly higher likelihood of ‘all’ VDC than Indians (Figure 2).
To summarize, in English, Indians and Glasgow Indians had similarly higher probabilities of having ‘all’ VDC (that is, fully voiced closures) for all three stops, whereas Glaswegians had a probability lower than 0.5 of having ‘all’ VDC (therefore, a much lower likelihood of fully voiced closures) for all three stops. In Hindi, both Glasgow Indians and Indians were equally likely to have ‘all’ VDC (that is, fully voiced closures) in /b/ and /d/. However, Glasgow Indians had a significantly higher probability of having full VDC for /g/ than Indians. This is evidence of dissimilation for /g/ in Hindi, in that this stop is more voiced in the Hindi of Glasgow Indians than in that of Indians.

3.3. Relative Burst Intensity (RBI)

RBI was the difference between burst intensity and the following, with lower values indicating louder bursts of vowels (Sundara, 2005; Sundara et al., 2006). Please refer to Supplementary Material for raw RBI values for individual stops across Glaswegians, Glasgow Indians, and Indians in Hindi and English (Table S4).
In stage 1, the linear mixed model predicted RBI as a function of phone (b/d/g), group (Glaswegian/Indian), and vowel height (high/non-high). It included a random intercept for speaker and an interaction between phone and group. There was a significant effect of vowel height (β = −1.23, t(1814) = −8.81, p < 0.001). Significant simple effects for phones /d/ and /g/ also emerged (/d/: β = 1.17, t(1814) = 5.08, p < 0.001; /g/: β = 2.22, t(1814) = 9.58, p < 0.001). These effects indicate that both phones /d/ and /g/ had lower RBI as compared to /b/. Significant group effects also emerged. For /b/ in English, the group effect was significant (β = −1.82, t(1814) = −7.59, p < 0.001). However, for /d/ in English, the group effect was not significantly larger than for /b/ (β = −0.59, t(1814) = −1.75, p = 0.081). However, for /g/ in English, there was a significant difference in group effect relative to /b/ (β = 3.33, t(1814) = 9.91, p < 0.001). Glaswegians had lower RBI than Indians for /b/ and /d/, but higher RBI than Indians for /g/ (Shaktawat, 2024). This is important for the following analysis: if Glasgow Indians have lower RBI than Indians (in direction of Glaswegians) for any of the stops except /g/ in English, it would indicate assimilation. If Glasgow Indians have higher RBI than Indians for any of the stops (except for English /g/), it would indicate dissimilation, whereas similar RBI for Glasgow Indians and Indians for any of the stops would indicate no transfer for that stop.
In stage 2, another linear mixed model predicted RBI by language (English/Hindi), phone (b/d/g), vowel height (high/non-high), and group (Glasgow-Indian/Indian). Interactions were specified between language, group and phone along with all lower-level interactions. A significant effect of vowel height emerged here as well (β = −1.34, t(3817) = −15.29, p < 0.001). Simple effects of phone emerged as well (/d/: β = 0.63, t(3817) = 3.21, p = 0.001; /g/: β = 4.48, t(3817) = 22.27, p < 0.001). For /b/ in English, the group effect was not significant (β = −0.30, t(3817) = −1.39, p = 0.164). This was also the case for Hindi (β = 0.07, t(3817) = 0.25, p = 0.806). For /d/ in English, the group effect was not significantly different from /b/ (β = −0.08, t(3817) = −0.28, p = 0.777). Additionally, the group effect in Hindi was not significantly different from the group effect in English (β = −0.41, t(3817) = −0.98, p = 0.328). Thus, Glasgow Indians and Indians had similar RBI in English and Hindi for /b/ and /d/. For /g/ in English, there was a significant group effect (β = 1.04, t(3817) = 3.46, p < 0.001) relative to /b/. This meant that Glasgow Indians had higher RBI compared to Indians for /g/. In Hindi, the group effect was not significantly different from the group effect in English (β = −0.38, t(3817) = −0.88, p = 0.377) (Figure 3), which means Glasgow Indians had higher RBI compared to Indians in Hindi /g/ as well.
To summarize, in English, there was no transfer in Glasgow Indians for /b/ and /d/, but there was assimilation in /g/. In Hindi, there was no transfer in Glasgow Indians for RBI in /b/ and /d/, but there was an assimilation in Glasgow Indians for Hindi /g/. Furthermore, for RBI in /g/, there was equal amount of transfer in both languages; that is, no language was more susceptible to transfer than the other (Shaktawat, 2024).

4. Discussion

The present study has two aims. The first aim is to investigate phonetic backward transfer in a unique bilingual-bidialectal contact situation exhibited by first-generation Indian immigrants in Glasgow whose native languages are Hindi and Indian English, interacting with the host variety, Glaswegian English, upon migration to Glasgow. Following predictions from the SLM-r, the study examined whether native categories shift toward the host variety (assimilation) or away from it (dissimilation). Three acoustic measures, namely, voice onset time (VOT), voicing during closure (VDC), and relative burst intensity (RBI), were analyzed across the three voiced stops /b d g/. The second aim is to examine the behavior of these three phonetic cues to understand how multiple phonetic cues within a single segment jointly exhibit transfer and how cross-linguistic linkages are formed at that fine-grained level of phonetic structure. Previous research informs us that transfer effects may vary even across members of the same natural class, such as voiced or voiceless stops. However, these investigations have usually only examined a singular phonetic property, such as either pre-voicing or VOT, respectively. The present study intended to dive deeper at a more granular level to examine whether there is variability in transfer effects across the various phonetic cues that make up a segment. These goals have now been achieved, and the findings from the acoustic analysis are summarized in Table 1 (adapted from Shaktawat, 2024).
To answer the first research question, the findings revealed instances of backward transfer in the form of both assimilation and dissimilation, but there were more instances of no change. As seen in Table 1, the phone /b/ showed assimilation for VOT in Hindi only, the phone /d/ showed assimilation for VOT in both Hindi and English, and the phone /g/ showed assimilation for RBI in both Hindi and English. There were comparatively fewer instances of dissimilation, exhibited only by the phone /g/ for VOT and VDC in Hindi only. Furthermore, the findings also answer whether transfer effects manifested differently between typologically closer (Indian English-Glaswegian English) versus typologically distant (Hindi-Glaswegian English) varieties. While the patterns do not indicate that Indian English received more transfer from Glaswegian English than Hindi, two patterns were revealed. First, in cases of assimilation, while English did not show numerically more instances of transfer over Hindi, in cases where both English and Hindi exhibited assimilation (VOT in /d/ and RBI in /g/), English showed either the same or quantitatively higher assimilation, but never quantitatively less assimilation than Hindi. Second, only Hindi exhibited evidence of dissimilation (VOT and VDC in /g/). However, to conclude something more concrete about this linguistic proximity hypothesis, more robust patterns are required, which the present study does not provide.
These findings also answer the second research question, which inquired whether there was variability in transfer patterns observed across the three phonetic cues. The results showed that transfer effects varied across the three sound categories and respective phonetic cues. This has been referred to as ‘partial assimilation’ (Romaine, 1989), where some cue(s) within the same phonetic category underwent transfer (assimilation or dissimilation), whereas others did not. These findings prompt the important question of why some cues but not others underwent transfer within the same phonetic category. The following discussion highlights three possible reasons behind this finding, which may or may not collaborate with each other.
The first reason is related to the possibility that some cues are probably more susceptible to transfer as compared to others. Some previous research argues that VOT, especially in voiceless stops, may be more susceptible to assimilation (Bergmann et al., 2016), with previous research producing much evidence for assimilation as compared to no change or dissimilation. The present findings also show more cases of assimilation than dissimilation for VOT, as seen in Table 1. The measure that is most examined with respect to the voiced stops is pre-voicing, with research finding much evidence of no change (Flege & Eefting, 1987; Mayr et al., 2012; Stoehr et al., 2017). This has also been the general finding with respect to VDC in the present study. In voiced stops, pre-voicing appears to be averse to transfer effects, especially in languages such as Hindi, where it is a primary cue to voicing (Bhaskararao, 2011; Hauser, 2021). This is also the case in Dutch. Simon (2009) noted that L1 Dutch learners of English applied the prominent and perceptually stronger Dutch feature of pre-voicing to their English stops, instead of omitting it. Another factor may contribute to this pattern, which is articulatory constraints on voiced stops; that is, voiced stops with pre-voicing are known to be more challenging in production (J. Ohala, 1983, 2011; Solé, 2018) and emerge later in speech development (Macken & Barton, 1980). So, the resistance to transfer observed in VDC here may similarly reflect these articulatory constraints (as also discussed in Shaktawat, 2025). In addition to pre-voicing being a strong and primary cue to voicing contrast in Hindi, another factor can be proposed for it being averse to transfer effects, which has to do with ‘salience’ (Kerswill & Williams, 2002; Trudgill, 1986). Auer et al. (1998) argue that L2 learners very easily acquire those L2 cues that are perceived as more salient as compared to those cues that are perceived as less salient. This is because “perceptual salience could result in greater attention and, in turn, a higher degree of imitation” (Podlipský & Šimáčková, 2015, p. 2). In this case, it is possible that VDC or pre-voicing in the Indic varieties is seen as a primary cue to voicing contrast, making it averse to transfer effects.
The second reason is based on SLM’s argument that “L1–L2 phonetic relationships exist on a continuum from ‘identical’ over ‘similar’ to ‘new’…”. (Bohn, 2018, p. 223). The SLM-r (Bohn, 2018; Flege, 1995; Flege & Bohn, 2021) predicts that it is the ‘very similar’ and ‘similar’ L1–L2 categories that are difficult to discern differences between. The reason behind this is explained by the ‘Age Hypothesis’ in the previous version of the SLM-r (Flege, 1995), which has now been replaced by the ‘L1 Category Precision Hypothesis’ in the revised model (SLM-r; Flege & Bohn, 2021), empirical evidence for which is yet to be found. The latter hypothesis argues that L2 learners will be better able to distinguish between similar L1–L2 categories if their L1 categories are ‘more precisely’ defined, which will eventually lead to L2 category formation, instead of merging of L1–L2 categories. When unable to discern the differences between the ‘very similar’ and ‘similar’ L1–L2 categories, these categories are merged and then used across both L1 and L2. The ‘very dissimilar’ and ‘new’ L1–L2 sound categories do not really pose a problem, as their greater dissimilarity is perceived with ease, leading to L2 category formation, with or without a dissimilatory shift. Like these ‘very dissimilar’ and ‘new’ L1–L2 categories, the SLM also proposes that ‘identical’ L1–L2 categories also do not pose a learning problem, as the identical L1 category may be used as the L2 category as well. It is based on this that I argue that, in the present case, it is possible that certain cues were perceived as either much too similar or even identical by Glasgow Indians across Glaswegian English and the native languages, and thus they were not perceived as diaphones, fated to undergo transfer. That is, the perceptual distance may simply not have been sufficient to trigger transfer. This stands for the case of RBI in /b/ and /d/ in both native languages, VOT in /b/ and /g/ in English. Therefore, not every cue may be perceived as representative of a foreign accent and be recognized and dealt with as such.
In addition to perceived dissimilarity between L1–L2 categories and precision in L1 category distribution, there is a third factor that contributes to L2 category formation according to the SLM-r. This is the quality and quantity of L2 input, which forms the final speculation as to why not every cue underwent transfer in a given phonetic category. Flege and Bohn (2021, p. 19) argue that as monolinguals, based on the input distributions, we develop prototypes that are “multidimensional cue-weighted representations of sound classes residing in long-term memory”. This is performed via slow distributional learning processes that remain intact during our lifetime and are also involved in L2 learning. Thus, in case of such very similar, perceptually linked L1–L2 categories, it may be possible that the initiation of transfer processes (assimilation or dissimilation) is reserved until “the distribution of tokens defining the equivalence class has stabilized” (Flege & Bohn, 2021, p. 40). Thus, I argue for the possibility that Glasgow Indians may require more input in the relevant languages on some cues compared to others, in order to cause an assimilatory or dissimilatory shift.
What is also interesting here is that there are differences in backward transfer effects across these voiced stops by their places of articulation. This suggests that the process of backward transfer is also affected by the phonetic nature of the sound, and not just overall directional influences. For instance, voiced stops produced at different places of articulation (bilabial/alveolar/velar) vary in their articulatory demands, acoustic cues, and perceptual salience (J. Ohala, 1983, 2011; Westbury & Keating, 1986). These differences seem to modulate their susceptibility to influence from the host variety. In other words, the phonetic stability of a given segment seems to moderate the transfer effects exhibited by it. This can also be extended to the cues making up a segment such that more stable cues (understood in terms of factors like articulatory difficulty, perceptual weight, and phonological function) are more averse to change than others (Chang, 2012; Flege, 1995; Solé, 2018).
All in all, the findings from the present study confirm that (1) transfer in one cue in one segment (for example, RBI in /g/) does not guarantee transfer for that cue in another similar segment (for example, RBI in /b/ or /d/), and (2) transfer in one cue in one segment (for example, VOT in /d/) does not guarantee transfer in other cue(s) related to that same segment (for example, VDC and RBI in /d/), and (3) for a given segment, transfer in one cue in one native language of the multilinguals (for example, VOT in Hindi /b/) does not ensure transfer in the same cue in their other native variety (for example, VOT in English /b/).

5. Conclusions

The present study offers empirical evidence of variability in backward transfer effects across phonetic cues in voiced stops. While most previous work has often focused on single phonetic cues (like VOT in stops), the present study provided a multi-cue, within-segment approach towards a more granular view of backward transfer. It revealed that different cues within the same segment may exhibit different transfer outcomes, suggesting multiple, overlapping cross-linguistic linkages at the cue level. These results highlight the need for further experimentation to investigate variability in transfer outcomes across different cue and segment types, to determine whether certain cues are more susceptible to particular transfer effects, and what factors modulate this susceptibility. While different sociolinguistic and psycholinguistic factors like age of entry, length of residence, contact, and identity (de Leeuw et al., 2010; Shaktawat, 2024, 2025) have been identified to affect transfer outcomes, it may also be subject to influence from, for example, the phonological context of the target sound, which was controlled for in the present study, and therefore remained unexamined. Future research can address what governs this variability while also controlling for variables that were uncontrolled for in the present study, such as the participants’ background languages and type of bilingualism.

Supplementary Materials

The following supporting information can be downloaded at: https://www.mdpi.com/article/10.3390/languages10110281/s1, Table S1: Positive short-lag VOT and negative ‘voicing lead’ values across voiced stops /b d g/ across Glaswegian English and Indic languages (refer to Shaktawat, 2024 for extensive review); Table S2. Raw average VOT values (in milliseconds) for voiced stops /b d g/ across Glaswegians, Glasgow Indians, and Indians; Table S3. Average raw VDC values (in %) for voiced stops /b d g/ across Glaswegians, Glasgow Indians, and Indians; Table S4. Average raw RBI values (db) for voiced stops /b d g/ across Glaswegians, Glasgow Indians, and Indians in English and Hindi. Figure S1: English word-list stimuli; Figure S2: Hindi word-list stimuli; File S1: Annotation in PRAAT (Turk et al., 2012).

Funding

This research received no external funding.

Institutional Review Board Statement

The University of Glasgow, in accordance with legislation and the requirements of UK research councils, granted the ethical clearance for this study. Written informed consent to publish this paper was obtained from the participants.

Informed Consent Statement

Informed consent was obtained from all subjects involved in the study.

Data Availability Statement

The data and materials for this study are available on the Open Science Framework: https://osf.io/jc9ep/ (accessed on 30 May 2025).

Acknowledgments

Huge gratitude to Clara Cohen and Jane Stuart-Smith for supervising this project and for their expert critique. A big thanks to anyone who helped with data collection: participants and referrers.

Conflicts of Interest

The author declares no conflicts of interest.

References

  1. Alam, F. (2006). Language and identity in ‘Glaswasian’ adolescents. University of Glasgow. [Google Scholar]
  2. Auer, P., Barden, B., & Grosskopf, B. (1998). Subjective and objective parameters determining ‘salience’ in long-term dialect accommodation. Journal of Sociolinguistics, 2(2), 163–187. [Google Scholar] [CrossRef]
  3. Bates, D., Maechler, M., Bolker, B., & Walker, S. (2015). Fitting linear mixed-effects models using lme4. Journal of Statistical Software, 67(1), 1–48. [Google Scholar] [CrossRef]
  4. Bergmann, C., Nota, A., Sprenger, S. A., & Schmid, M. (2016). L2 immersion causes non-native-like L1 pronunciation in German attriters. Journal of Phonetics, 58, 71–86. [Google Scholar] [CrossRef]
  5. Bhaskararao, P. (2011). Salient phonetic features of Indian languages in speech technology. Sadhana, 36(5), 587–599. [Google Scholar] [CrossRef]
  6. Boersma, P., & Weenink, D. (2024). Praat: Doing phonetics by computer (6.4.07). Available online: http://www.praat.org/ (accessed on 2 October 2019).
  7. Bohn, O. (2018). Cross-language and second language speech perception. In E. M. Fernández, & H. S. Cairns (Eds.), The handbook of psycholinguistics (1st ed., pp. 213–239). John Wiley & Sons, Inc. [Google Scholar]
  8. Brown-Bousfield, M. M., & Chang, C. (2023). Regressive cross-linguistic influence in multilingual speech rhythm: The role of langauge similarity. In M. M. Brown-Bousfield, S. Flynn, & É. Fernández-Berkes (Eds.), L3 Development after the initial state (Issue October, pp. 49–71). John Benjamins Publishing. [Google Scholar] [CrossRef]
  9. Chang, C. (2012). Rapid and multifaceted effects of second-language learning on first-language speech production. Journal of Phonetics, 40(2), 249–268. [Google Scholar] [CrossRef]
  10. Cho, T., & Ladefoged, P. (1999). Variation and universals in VOT: Evidence from 18 languages. Journal of Phonetics, 27(2), 207–229. [Google Scholar] [CrossRef]
  11. Chodroff, E., & Wilson, C. (2018). Predictability of stop consonant phonetics across talkers: Between-category and within-category dependencies among cues for place and voice. Linguistics Vanguard, 4, 1–11. [Google Scholar] [CrossRef]
  12. Cook, V. J. (2003). Effects of the second language on the first (1st ed.). Multilingual Matters. [Google Scholar]
  13. Davidson, L. (2016). Variability in the implementation of voicing in American English obstruents. Journal of Phonetics, 54, 35–50. [Google Scholar] [CrossRef]
  14. Davis, K. (1994). Stop voicing in Hindi. Journal of Phonetics, 22(2), 177–193. [Google Scholar] [CrossRef]
  15. de Leeuw, E., Schmid, M., & Mennen, I. (2010). The effects of contact on native language pronunciation in an L2 migrant setting. Bilingualism: Language and Cognition, 13(1), 33–40. [Google Scholar] [CrossRef]
  16. Flege, J. E. (1995). Second language speech learning theory, findings, and problems. In W. Strange (Ed.), Speech perception and linguistic experience. Issues in cross-language research (pp. 233–277). York Press. [Google Scholar]
  17. Flege, J. E., & Bohn, O.-S. (2021). The revised speech learning model (SLM-r). In R. Wayland (Ed.), Second language speech learning (1st ed., pp. 3–83). Cambridge University Press. [Google Scholar] [CrossRef]
  18. Flege, J. E., & Eefting, W. (1987). Cross-language switching in stop consonant perception and production by dutch speakers of English. Speech Communication, 6, 185–202. [Google Scholar] [CrossRef]
  19. Fox, J., & Weisberg, S. (2018). Visualizing fit and lack of fit in complex regression models with predictor effect plots and partial residuals. Journal of Statistical Software, 87(9), 1–27. [Google Scholar] [CrossRef]
  20. Fromont, R., & Hay, J. B. (2012, December 4–6). LaBB-CAT: An annotation store. Proceedings of the Australasian Language Technology Association Workshop 2012 (pp. 113–117), Dunedin, New Zealand. [Google Scholar]
  21. Gargesh, R. (2008). Indian English: Phonology. In E. W. Schneider, & B. Kortmann (Eds.), A handbook of varieties of English (1st ed., pp. 992–1002). Mouton de Gruyter. [Google Scholar] [CrossRef]
  22. Guion, S. G. (2003). The vowel systems of Quichua-Spanish bilinguals: Age of acquisition effects on the mutual influence of the first and second languages. Phonetica, 60(2), 98–128. [Google Scholar] [CrossRef]
  23. Hauser, I. (2021). Contrast implementation affects phonetic variability: A case study of Hindi and English stops. Laboratory Phonology, 12(1), 1–41. [Google Scholar] [CrossRef]
  24. Hayward, K. (2000). Experimental phonetics (1st ed.). Routledge. [Google Scholar]
  25. Jongman, A., Blumstein, S. E., & Lahiri, A. (1985). Acoustic properties for dental and alveolar stop consonants: A cross-language study. Journal of Phonetics, 13(2), 235–251. [Google Scholar] [CrossRef]
  26. Kang, K.-H., & Guion, S. G. (2006). Phonological systems in bilinguals: Age of learning effects on the stop consonant systems of Korean-English bilinguals. The Journal of the Acoustical Society of America, 119(3), 1672–1683. [Google Scholar] [CrossRef] [PubMed]
  27. Kartushina, N., Frauenfelder, U. H., & Golestani, N. (2016). How and when does the second language influence the production of native speech sounds: A literature review. Language Learning, 66(S2), 155–186. [Google Scholar] [CrossRef]
  28. Kerswill, P., & Williams, A. (2002). ‘Salience’ as an explanatory factor in language change: Evidence from dialect levelling in urban England. In M. C. Jones, E. Esch, & V. Herman (Eds.), Language change: The interplay of internal, external and extra-linguistic factors (1st ed.). De Gruyter, Inc. [Google Scholar]
  29. Kirkham, S. (2011, August 17–21). The acoustics of coronal stops in British Asian English. XVII International Congress of Phonetic Sciences (Vol. 17, pp. 1102–1105), Hong Kong, China. [Google Scholar]
  30. Kuznetsova, A., Brockhoff, P. B., & Christensen, R. H. B. (2017). lmerTest package: Tests in linear mixed effects models. Journal of Statistical Software, 82(13), 1–26. [Google Scholar] [CrossRef]
  31. Ladefoged, P., & Johnson, K. (2015). A course in phonetics (7th ed.). Cengage Learning. [Google Scholar]
  32. Lev-Ari, S., & Peperkamp, S. (2013). Low inhibitory skill leads to non-native perception and production in bilinguals’ native language. Journal of Phonetics, 41(5), 320–331. [Google Scholar] [CrossRef]
  33. Lisker, L. (1986). “Voicing” in English: A catalogue of acoustic features signaling /b/ versus /p/ in trochees. Language and Speech, 29(1), 3–11. [Google Scholar] [CrossRef]
  34. Lisker, L., & Abramson, A. S. (1964). A cross-language study of voicing in initial stops: Acoustical Measurements. Word, 20(3), 384–422. [Google Scholar] [CrossRef]
  35. Lord, G. (2008, October 19–22). Second language acquisition and first language phonological modification. 10th Hispanic Linguistics Symposium (Vol. 1980, pp. 184–193), Somerville, MA, USA. [Google Scholar]
  36. Macken, M. A., & Barton, D. (1980). The acquisition of the voicing contrast in Spanish: A phonetic and phonological study of word-initial stop consonants. Journal of Child Language, 7(3), 433–458. [Google Scholar] [CrossRef]
  37. MacLeod, A. A., & Stoel-Gammon, C. (2009). The use of voice onset time by early bilinguals to distinguish homorganic stops in Canadian English and Canadian French. Applied Psycholinguistics, 30(1), 53–77. [Google Scholar] [CrossRef]
  38. MacLeod, A. A., Stoel-Gammon, C., & Wassink, A. B. (2009). Production of high vowels in Canadian English and Canadian French: A comparison of early bilingual and monolingual speakers. Journal of Phonetics, 37(4), 374–387. [Google Scholar] [CrossRef]
  39. Major, R. C. (1992). Losing English as a first language. The Modern Language Journal, 76(2), 190–208. [Google Scholar] [CrossRef]
  40. Mayr, R., Price, S., & Mennen, I. (2012). First language attrition in the speech of Dutch-English bilinguals: The case of monozygotic twin sisters. Bilingualism: Language and Cognition, 15(4), 687–700. [Google Scholar] [CrossRef]
  41. Mora, J. C., & Nadeu, M. (2012). L2 effects on the perception and production of a native vowel contrast in early bilinguals. International Journal of Bilingualism, 16(4), 484–500. [Google Scholar] [CrossRef]
  42. Ogden, R. (2017). An introduction to English phonetics (M. McConville, & W. H. E. Chui, Eds.; 2nd ed.). Edinburgh University Press. [Google Scholar] [CrossRef]
  43. Ohala, J. (1983). The origin of sound patterns in vocal tract constraints. In P. F. MacNeilage (Ed.), The production of speech. Springer. [Google Scholar]
  44. Ohala, J. (2011). Accommodation to the aerodynamic voicing constraint and its phonological relevance (ICPhS XVII, pp. 64–67). Available online: https://www.researchgate.net/publication/228842885 (accessed on 20 March 2025).
  45. Ohala, M. (2014). Sound patterns of Hindi (1st ed.). LINCOM GmbH. [Google Scholar]
  46. Podlipský, V. J., & Šimáčková, Š. (2015). Phonetic imitation is not conditioned by preservation of phonological contrast but by perceptual salience. International Congress of Phonetic Sciences. [Google Scholar]
  47. Pruitt, J. S., Jenkins, J. J., & Strange, W. (2006). Training the perception of Hindi dental and retroflex stops by native speakers of American English and Japanese. The Journal of the Acoustical Society of America, 119(3), 1684–1696. [Google Scholar] [CrossRef] [PubMed]
  48. R Core Team. (2020). R: A language and environment for statistical computing. R Foundation for Statistical Computing. Available online: https://www.r-project.org/ (accessed on 5 May 2025).
  49. Repp, B. H. (1984). Stop consonant manner and place of articulation. Language and Speech, 27(3), 245–254. [Google Scholar] [CrossRef] [PubMed]
  50. Romaine, S. (1989). Bilingualism (1st ed.). Basil Blackwell. [Google Scholar]
  51. Schertz, J. L., & Khan, S. (2020). Acoustic cues in production and perception of the four-way stop laryngeal contrast in Hindi and Urdu. Journal of Phonetics, 81, 100979. [Google Scholar] [CrossRef]
  52. Schmid, M. (2011). Language attrition (1st ed.). Cambridge University Press. [Google Scholar]
  53. Shaktawat, D. (2018). Vowels and voicing contrast in ‘Glaswasian’ English (p. 30) [Unpublished manuscript].
  54. Shaktawat, D. (2023). Backward transfer of Glaswegian English on Indian English and Hindi: A case of simultaneous bilingual and bidialectal contact and interaction in Indian immigrants in Glasgow [Ph.D. thesis, University of Glasgow]. Available online: https://theses.gla.ac.uk/84017/ (accessed on 8 January 2024).
  55. Shaktawat, D. (2024). The effect of Indian contact and Glaswegian contact on the phonetic backward transfer of Glaswegian English (L2) on Hindi and Indian English (L1). Languages, 9(4), 118. [Google Scholar] [CrossRef]
  56. Shaktawat, D. (2025). Identity-driven variation in phonetic backward transfer: Glaswegian versus Indian identity in Glasgow-Indian bilinguals’ VOT. Bilingualism: Language and Cognition, 1–12. [Google Scholar] [CrossRef]
  57. Simon, E. (2009). Acquiring a new second language contrast: An analysis of the English laryngeal system of native speakers of Dutch. Second Language Research, 25(3), 377–408. [Google Scholar] [CrossRef]
  58. Singh, K., & Tiwari, N. (2016). The structure of Hindi stop consonants. The Journal of the Acoustical Society of America, 140(5), 3633–3642. [Google Scholar] [CrossRef]
  59. Sirsa, H., & Redford, M. A. (2013). The effects of native language on Indian English sounds and timing patterns. Journal of Phonetics, 41(6), 393–406. [Google Scholar] [CrossRef]
  60. Solé, M. J. (2018). Articulatory adjustments in initial voiced stops in Spanish, French and English. Journal of Phonetics, 66, 217–241. [Google Scholar] [CrossRef]
  61. Sonderegger, M., Stuart-Smith, J., Knowles, T., Macdonald, R., & Rathcke, T. (2020). Structured heterogeneity in Scottish stops over the twentieth century. Language, 96(1), 94–125. [Google Scholar] [CrossRef]
  62. Stoehr, A., Benders, T., van Hell, J. G., & Fikkert, P. (2017). Second language attainment and first language attrition: The case of VOT in immersed Dutch–German late bilinguals. Second Language Research, 33(4), 483–518. [Google Scholar] [CrossRef] [PubMed]
  63. Stoel-Gammon, C., Williams, K., & Buder, E. (1994). Cross-language differences in phonological acquisition: Swedish and American /t/. Phonetica, 51(1–3), 146–158. [Google Scholar] [CrossRef]
  64. Stuart-Smith, J. (1999). Glasgow: Accent and voice quality. In P. Foulkes, & G. J. Docherty (Eds.), Urban voices: Accent studies in the British Isles (1st ed., pp. 201–222). Edward Arnold. [Google Scholar]
  65. Stuart-Smith, J., Sonderegger, M., Rathcke, T., & Macdonald, R. (2015). The private life of stops: VOT in a real-time corpus of spontaneous Glaswegian. Laboratory Phonology, 6(3–4), 505–549. [Google Scholar] [CrossRef]
  66. Sundara, M. (2005). Acoustic-phonetics of coronal stops: A cross-language study of Canadian English and Canadian French. The Journal of the Acoustical Society of America, 118(2), 1026–1037. [Google Scholar] [CrossRef]
  67. Sundara, M., Polka, L., & Baum, S. (2006). Production of coronal stops by simultaneous bilingual adults. Bilingualism: Language and Cognition, 9(1), 97–114. [Google Scholar] [CrossRef]
  68. Trudgill, P. (Ed.). (1986). Dialects in contact (1st ed.). Basil Blackwell. [Google Scholar]
  69. Turk, A., Nakai, S., & Sugahara, M. (2012). Acoustic segment durations in prosodic research: A practical guide. In Methods in empirical prosody research (Issue January). De Gruyter. [Google Scholar] [CrossRef]
  70. Wells, J. C. (1982). Accents of English (1st ed., Vol. 3). Cambridge University Press. [Google Scholar]
  71. Westbury, J. R., & Keating, P. A. (1986). On the naturalness of stop consonant voicing. Journal of Linguistics, 22(1), 145–166. [Google Scholar] [CrossRef]
  72. Wickham, H. (2016). ggplot2: Elegant graphics for data analysis. Springer. [Google Scholar]
  73. Wiltshire, C. R., & Harnsberger, J. D. (2006). The influence of Gujarati and Tamil L1s on Indian English: A preliminary study. World Englishes, 25(1), 91–104. [Google Scholar] [CrossRef]
  74. Wiltshire, C. R., & Sarmah, P. (2021). Voicing contrasts in the stops of Indian English produced by Assamese speakers. Proceedings of Meetings on Acoustics Acoustical Society of America, 42(1), 060003. [Google Scholar] [CrossRef]
Figure 1. Interaction effect between group, phone, and language on log VOT in /b d g/ for Glasgow Indians and Indians.
Figure 1. Interaction effect between group, phone, and language on log VOT in /b d g/ for Glasgow Indians and Indians.
Languages 10 00281 g001
Figure 2. The effect of interaction between group, language, and phone in the Some versus All model for VDC in /b d g/ across Glasgow Indians and Indians.
Figure 2. The effect of interaction between group, language, and phone in the Some versus All model for VDC in /b d g/ across Glasgow Indians and Indians.
Languages 10 00281 g002
Figure 3. The effect of the interaction between phone, group, and language on RBI in /b d g/ for RBI across Glasgow Indians and Indians.
Figure 3. The effect of the interaction between phone, group, and language on RBI in /b d g/ for RBI across Glasgow Indians and Indians.
Languages 10 00281 g003
Table 1. Summary of cue- and language-specific transfer patterns for Glasgow Indians. Assimilation = phonetically more like Glaswegian, dissimilation = less like Glaswegian. Table layout adapted from Shaktawat (2024).
Table 1. Summary of cue- and language-specific transfer patterns for Glasgow Indians. Assimilation = phonetically more like Glaswegian, dissimilation = less like Glaswegian. Table layout adapted from Shaktawat (2024).
SoundMeasure/FeatureBackward TransferNo ChangeAmount of Transfer
AssimilationDissimilation
/b/VOT (aspiration)Hindi-English
VDC (pre-voicing)--English, Hindi
RBI (intensity of the burst)--English, Hindi
/d/VOT (aspiration)English, Hindi--Higher assimilation in English than in Hindi
VDC (pre-voicing)--English, Hindi
RBI (intensity of the burst)--English, Hindi
/g/VOT (aspiration)-HindiEnglish
VDC (pre-voicing)-HindiEnglish
RBI (intensity of the burst)English, Hindi--Equal
amount
in both
Disclaimer/Publisher’s Note: The statements, opinions and data contained in all publications are solely those of the individual author(s) and contributor(s) and not of MDPI and/or the editor(s). MDPI and/or the editor(s) disclaim responsibility for any injury to people or property resulting from any ideas, methods, instructions or products referred to in the content.

Share and Cite

MDPI and ACS Style

Shaktawat, D. Phonetic Attrition Beyond the Segment: Variability in Transfer Effects Across Cues in Voiced Stops. Languages 2025, 10, 281. https://doi.org/10.3390/languages10110281

AMA Style

Shaktawat D. Phonetic Attrition Beyond the Segment: Variability in Transfer Effects Across Cues in Voiced Stops. Languages. 2025; 10(11):281. https://doi.org/10.3390/languages10110281

Chicago/Turabian Style

Shaktawat, Divyanshi. 2025. "Phonetic Attrition Beyond the Segment: Variability in Transfer Effects Across Cues in Voiced Stops" Languages 10, no. 11: 281. https://doi.org/10.3390/languages10110281

APA Style

Shaktawat, D. (2025). Phonetic Attrition Beyond the Segment: Variability in Transfer Effects Across Cues in Voiced Stops. Languages, 10(11), 281. https://doi.org/10.3390/languages10110281

Article Metrics

Back to TopTop