Inlet Gap Influence on Low-Frequency Flow Unsteadiness in a Centrifugal Fan
Abstract
1. Introduction
2. Application Cases
3. Numerical Method
3.1. Method of Computational Fluid Dynamics
3.2. Numerical Setup
4. CFD Mesh
5. Results and Discussions
5.1. The Aerodynamic Performance of the Fan
5.2. Unevenly Distributed Pressure and Velocity
5.3. Velocities at the Gap
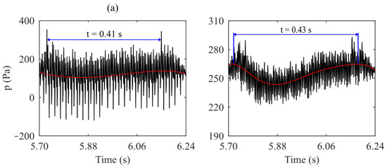
5.4. Low-Frequency Rotation
6. Conclusions
Author Contributions
Funding
Institutional Review Board Statement
Informed Consent Statement
Data Availability Statement
Acknowledgments
Conflicts of Interest
Abbreviations
| BLE | Blade leading edge. |
| BPF | Blade passing frequency. |
| BTE | Blade trailing edge. |
| HVAC | Heating, ventilation, and air conditioning. |
| IDDES | Improved delayed detached eddy simulation. |
| IEQ | Indoor environmental quality. |
| LES | Large eddy simulation. |
| RANS | Reynolds-averaged Navier–Stokes. |
| TKE | Turbulence kinetic energy. |
| URANS | Unsteady Reynolds-averaged Navier–Stokes. |
| VAV | Variable air volume. |
References
- Roberts, T. We Spend 90% of Our Time Indoors. Says Who? 2016. Available online: https://www.buildinggreen.com/blog/we-spend-90-our-time-indoors-says-who (accessed on 20 June 2022).
- Berglund, B.; Lindvall, T.; Schwela, D. New Guidelines for Community Noise. Noise Vib. Worldw. 2000, 31, 24–29. [Google Scholar] [CrossRef]
- Azimi, M. Noise Reduction in Buildings Using Sound Absorbing Materials. J. Archit. Eng. Technol. 2017, 6, 198. [Google Scholar]
- Seabi, J.; Cockcroft, K.; Goldschagg, P.; Greyling, M. A prospective follow-up study of the effects of chronic aircraft noise exposure on learners’ reading and comprehension in South Africa. J. Expo. Sci. Environ. Epidemiol. 2015, 25, 84–88. [Google Scholar] [CrossRef] [PubMed]
- Klatte, M.; Bergstrom, K.; Lachmann, T. Does noise affect learning? A short review on noise effets on cognitive performance in children. Front. Psychol. 2013, 4, 578. [Google Scholar] [CrossRef]
- Ffowcs Williams, J.E.; Hawkings, D.L. Theory relating to the noise of rotating machinery. J. Sound Vib. 1969, 10, 10–21. [Google Scholar] [CrossRef]
- Lee, Y. Impact of fan gap flow on the centrifugal impeller aerodynamics. J. Fluids Eng. 2010, 132, 091103. [Google Scholar] [CrossRef]
- Lee, Y.; Ahuja, V.; Hosangadi, A.; Birkbeck, R. Impeller Design of a Centrifugal Fan with Blade Optimization. Int. J. Rotating Mach. 2011, 2011, 1–16. [Google Scholar] [CrossRef]
- Ottersten, M.; Yao, H.-D.; Davidson, L. Numerical and experimental study of tonal noise sources at the outlet of an isolated centrifugal fan. arXiv 2020, arXiv:2011.13645. [Google Scholar]
- Ubaldi, M.; Zunino, P.; Cattanei, A. Relative Flow and Turbulence measurements Downstream of a Backward Centrifugal Impeller. J. Turbomach. 1992, 115, 543–551. [Google Scholar] [CrossRef]
- Johnson, M.W.; Moore, J. The Development of wake flow in a Centrifugal Impeller. J. Eng. Power 1980, 102, 382–389. [Google Scholar] [CrossRef]
- Pavesi, P.; Ardizzon, G.; Cavazzini, G. Experiments on the unsteady flow field and noise generation in a centrifugal pump impeller. J. Sound Vib. 2003, 263, 493–514. [Google Scholar]
- Mongeau, L.; Thompson, D.; McLaughlin, D. Sound generation by rotating stall in centrifugal turbomachines. J. Sound Vib. 1993, 163, 1–30. [Google Scholar] [CrossRef]
- Ottersten, M.; Yao, H.-D.; Davidson, L. Tonal noise of voluteless centrifugal fan generated by turbulence stemming from upstream inlet gap. Phys. Fluids 2021, 33, 075110. [Google Scholar] [CrossRef]
- Ottersten, M.; Yao, H.-D.; Davidson, L. Inlet gap effect on aerodynamics and tonal noise generation of a voluteless centrifugal fan. J. Sound Vib. 2022, 540, 117304. [Google Scholar] [CrossRef]
- Schwartz, S. Linking noise and vibration to sick building syndrome in office buildings. Air Waste Manag. Assoc. Mag. Environ. Manag. 2008, 3, 26–28. [Google Scholar]
- Moënne-Loccoz, V.; Trébinjac, I.; Poujol, N.; Duquesne, P. Low frequency stall modes of a radial vaned diffuser flow. Mech. Ind. EDP Sci. 2019, 20, 805. [Google Scholar] [CrossRef]
- Zheng, X.; Liu, A. Phenomenon and mechanism of two-regime-surge in a centrifugal compressor. J. Turbomach. 2015, 137, 081007. [Google Scholar] [CrossRef]
- He, X.; Zheng, X. Flow instability evolution in high pressure ratio centrifugal compressor with vaned diffuser. Exp. Therm. Fluid Sci. 2018, 98, 719–730. [Google Scholar] [CrossRef]
- Haynes, J.M.; Hendricks, G.J.; Epstein, A.H. Active stabilization of rotating stall in a three-stage axial compressor. ASME 1993; ASME Paper No. 93-GT-346. J. Turbomach. 1994, 116, 226–239. [Google Scholar] [CrossRef]
- Paduano, J.D.; Greitzer, E.M.; Epstein, A.H. Compression system stability and active control. Annu. Rev. Fluid Mech. 2001, 33, 491–517. [Google Scholar] [CrossRef]
- Tamaki, H. Study on flow fields in high specific speed centrifugal compressor with unpinched vaneless diffuser. J. Mech. Sci. Technol. 2013, 27, 1627–1633. [Google Scholar] [CrossRef]
- Ottersten, M.; Yao, H.-D.; Davidson, L. Unsteady Simulation of tonal noise from isolated centrifugal fan. engrXiv 2020. [Google Scholar] [CrossRef]
- Sanjose, M.; Moreau, S. Numerical simulations of a low-speed radial fan. Int. J. Eng. Syst. Model. Simul. 2012, 4, 47–58. [Google Scholar] [CrossRef]
- Siemens PLM Software. STAR-CCM+ User Guide, Version 12.04; Siemens PLM Software: Plano, TX, USA, 2017. [Google Scholar]
- Fitzpatrick, R. Chapter 1.6. In Theoretical Fluid Mechanics, Version: 20171201; IOP Publishing: London, UK, 2017. [Google Scholar]
- Ferziger, J.H.; Peric, M. Computational Methods for Fluid Dynamics, 3rd ed.; Springer: Berlin, Germany, 2002. [Google Scholar]
- Yao, H.-D.; Davidsson, L. Vibro-acoustics response of simplified glass window excited by the turbulent wake of a quarter-spherocylinder body. J. Acoust. Soc. Am. 2019, 146, 3163–3176. [Google Scholar] [CrossRef]
- Shur, M.L.; Spalart, P.R.; Strelets, M.K.; Travin, A.K. A hybrid RANS-LES approach with delayed-DES and wall-modelled LES capabilities. Int. J. Heat Fluids Flow 2008, 29, 1638–1649. [Google Scholar] [CrossRef]
- Rynell, A.; Efraimsson, G.; Chevalier, M.; Åbom, M. Inclusion of upstream turbulent inflow statistics to numerically acquire proper fan noise characteristics. SAE Tech. Pap. 2016, 1, 1811. [Google Scholar]
- Rynell, A.; Chevalier, M.; Åbom, M.; Efraimsson, G. A numerical study of noise characteristics originating from a shrouded subsonic automotive fan. Appl. Acoust. 2018, 140, 110–121. [Google Scholar] [CrossRef]
- Baris, O.; Mendonça, F. Automotive turbocharger compressor CFD and extension towards incorporating installation effects. In Proceedings of the ASME Turbo Expo 2011: Power for Land, Sea and Air, Vancouver, BC, USA, 6–10 June 2011. [Google Scholar]
- Yao, H.-D.; Davidson, L.; Eriksson, L.E. Surface integral analogy approaches for predicting noise from 3D high-lift low-noise wings. Acta Mech. Sin. 2014, 30, 326–338. [Google Scholar] [CrossRef]

















| d1 | d2 | d3 | d4 | b | h1 | h2 | w |
|---|---|---|---|---|---|---|---|
| 0.165 m | 0.268 m | 0.6 m | 1.1 m | 0.053 | 4.0 m | 2.3 m | 1.5 mm |
| Total number of cells | |
| Number of cells in rotating zone | |
| Maximum first cell height near blade walls | 0.73 |
| Growth ratio of cell size | 1.05 |
| (kg/s) | |||
|---|---|---|---|
| Simulation | 267.8 | 1.127 | 0.36 |
| Experiment | 269.7 | 1.125 | 0.36 |
Publisher’s Note: MDPI stays neutral with regard to jurisdictional claims in published maps and institutional affiliations. |
© 2022 by the authors. Licensee MDPI, Basel, Switzerland. This article is an open access article distributed under the terms and conditions of the Creative Commons Attribution (CC BY) license (https://creativecommons.org/licenses/by/4.0/).
Share and Cite
Ottersten, M.; Yao, H.-D.; Davidson, L. Inlet Gap Influence on Low-Frequency Flow Unsteadiness in a Centrifugal Fan. Aerospace 2022, 9, 846. https://doi.org/10.3390/aerospace9120846
Ottersten M, Yao H-D, Davidson L. Inlet Gap Influence on Low-Frequency Flow Unsteadiness in a Centrifugal Fan. Aerospace. 2022; 9(12):846. https://doi.org/10.3390/aerospace9120846
Chicago/Turabian StyleOttersten, Martin, Hua-Dong Yao, and Lars Davidson. 2022. "Inlet Gap Influence on Low-Frequency Flow Unsteadiness in a Centrifugal Fan" Aerospace 9, no. 12: 846. https://doi.org/10.3390/aerospace9120846
APA StyleOttersten, M., Yao, H.-D., & Davidson, L. (2022). Inlet Gap Influence on Low-Frequency Flow Unsteadiness in a Centrifugal Fan. Aerospace, 9(12), 846. https://doi.org/10.3390/aerospace9120846

