Autonomous Landing of a Quadrotor on a Moving Platform via Model Predictive Control
Abstract
:1. Introduction
- (1)
- Upon combining MPC trajectory planning and INDI flight control, a novel vision-based landing system is developed, able to land rapidly and accurately on a maneuvering platform with a certain disturbance rejection capability.
- (2)
- (3)
- At variance with what is used in other landing systems, we employ distinct objective functions for the different modes correspondingly, to realize the real-time-optimized landing of the quadrotor. The system meets the requirements of terminal position, speed and attitude.
2. Dynamic Model of a Quadrotor
3. Autonomous Landing System Architecture
4. Autonomous Landing System Design
4.1. State Machine for the Landing Mission
- (A)
- Beginning mode: When the quadrotor receives the landing instruction, it starts the programs of each module and drives the rotors to perform the autonomous landing mission. It does not switch to searching mode until all programs are started.
- (B)
- Searching mode: When the quadrotor is far away from the target platform, it will plan the landing trajectory to approach the platform based on GPS information. After the gimbaled camera detects the guide marker, it switches to the landing mode.
- (C)
- Landing mode: The quadrotor uses the platform state information, obtained from vision-based estimation, to predict the landing trajectory and control it to complete the landing. When the relative distance between quadrotor and target platform is less than predefined threshold, it executes the end program.
- (D)
- Ending mode: All rotors of the quadrotor stop, which means landing and recovery has been accomplished.
4.2. Detection and State Estimation of the Landing Platform
4.3. MPC Design for Autonomous Landing of a Quadrotor
| Algorithm 1. Autonomous landing algorithm of a quadrotor via MPC |
| Input: discrete state Equation (9) of landing dynamics, , , positions and velocities of the quadrotor and target platform, prediction horizon N in MPC. Output: planned trajectory for tracking. 1: Initialization: current position and velocity of the quadrotor, 2: Repeat 3: Estimate and update the position and velocity of the moving platform, 4. Calculate the mission time TA by (12), and obtain the sampling time h of MPC from the prediction horizon N, 5. Solve the optimization problem (14) and get the planned landing trajectory, 6: Use the designed controller to track the desired waypoints, 7. Update the current flight state x of the quadrotor, . |
4.4. Cascade INDI Controller Design
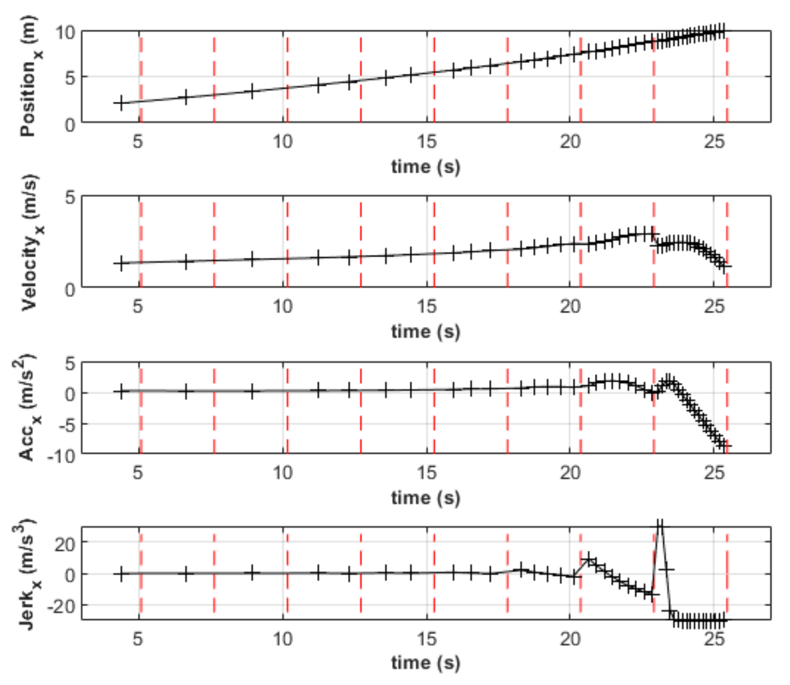
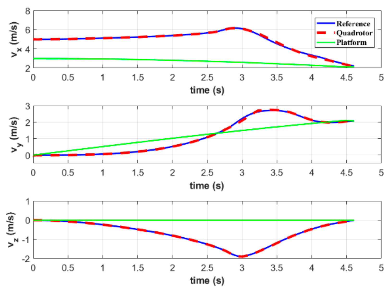
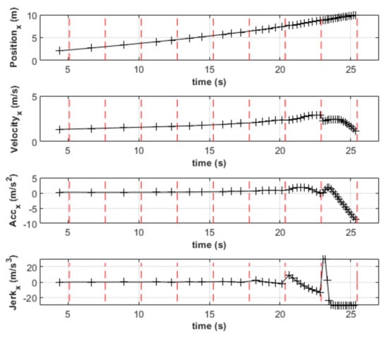
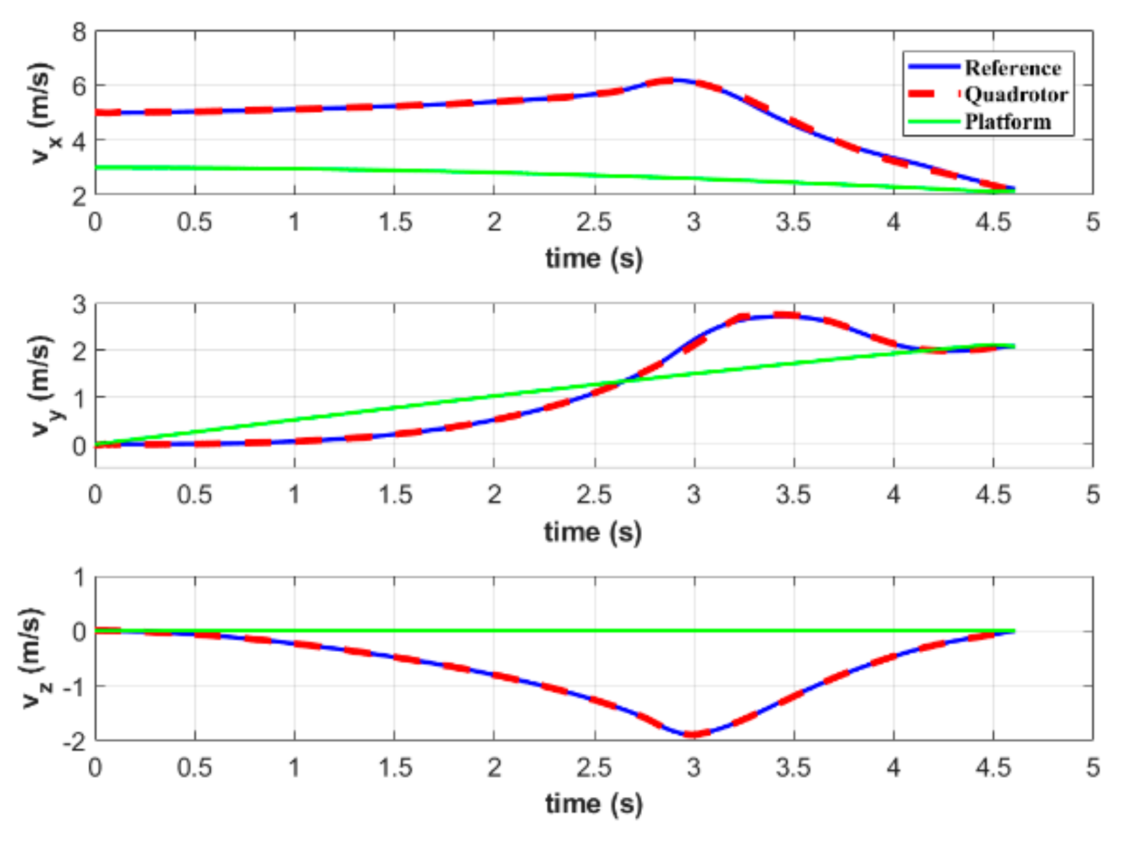
5. Simulations and Experiments Description and Results
5.1. Simulations
5.1.1. Simulation A: The Target Platform Moves along a Straight Trajectory
5.1.2. Simulation B: The Target Platform Moves along an Eight-Shaped Trajectory
5.2. Flight Experiments
6. Conclusions
Author Contributions
Funding
Institutional Review Board Statement
Informed Consent Statement
Acknowledgments
Conflicts of Interest
References
- Zhao, S.; Hu, Z.; Yin, M.; Ang, K.Z.Y.; Liu, P.; Wang, F.; Dong, X.; Lin, F.; Chen, B.M.; Lee, T.H. A robust real-time vision system for autonomous cargo transfer by an unmanned helicopter. IEEE Trans. Ind. Electron. 2015, 62, 1210–1219. [Google Scholar] [CrossRef]
- John, M.; Robert, L.; Randal, B.; Timothy, M. Analysis of an improved IMU-based observer for multirotor helicopters. J. Intell. Robot. Syst. 2014, 74, 1049–1061. [Google Scholar]
- Bernard, M.; Kondak, K.; Maza, I.; Ollero, A. Autonomous transportation and deployment with aerial robots for search and rescue missions. J. Field Robot. 2011, 28, 914–931. [Google Scholar] [CrossRef] [Green Version]
- Daly, J.M.; Ma, Y.; Waslander, S.L. Coordinated landing of a quadrotor on a skid-steered ground vehicle in the presence of time delays. Auton. Robot. 2015, 38, 179–191. [Google Scholar] [CrossRef]
- Persson, L.; Wahlberg, B. Model predictive control for autonomous ship landing in a search and rescue scenario. In Proceedings of the AIAA Scitech 2019 Forum, San Diego, CA, USA, 7–11 January 2010. [Google Scholar]
- Ferrandez, S.M.; Harbison, T.; Weber, T.; Sturges, R.; Rich, R. Optimization of a truck-drone in tandem delivery network using k-means and genetic algorithm. J. Ind. Eng. Manag. 2016, 9, 374–388. [Google Scholar] [CrossRef] [Green Version]
- Respall, V.M.; Sellami, S.; Afanasyev, I. Implementation of autonomous visual detection, tracking and landing for AR.Drone 2.0 quadcopter. In Proceedings of the Developments in eSystems Engineering (DeSE), Kazan, Russia, 7–10 October 2019; pp. 477–482. [Google Scholar]
- Araar, O.; Aouf, N.; Vitanov, I. Vision based autonomous landing of multirotor UAV on moving platform. J. Intell. Robot. Syst. 2017, 85, 369–384. [Google Scholar] [CrossRef]
- Zhao, T.; Hong, J. Landing system for AR.Drone 2.0 using onboard camera and ROS. In Proceedings of the IEEE Guidance, Navigation Control Conference (CGNCC), Nanjing, China, 12–14 August 2016; IEEE: Piscataway Township, NJ, USA, 2017; pp. 1098–1102. [Google Scholar]
- Herissé, B.; Hamel, T.; Mahony, R.; Russotto, F.X. Landing a VTOL unmanned aerial vehicle on a moving platform using optical flow. IEEE Trans. Robot. 2011, 28, 77–89. [Google Scholar] [CrossRef]
- Lee, H.; Jung, S.; Shim, D.H. Vision-based UAV landing on the moving vehicle. In Proceedings of the IEEE International Conference on Unmanned Aircraft Systems (ICUAS), Arlington, VA, USA, 7–10 June 2016; pp. 1–7. [Google Scholar]
- Lee, D.; Ryan, T.; Kim, H.J. Autonomous landing of a VTOL UAV on a moving platform using image-based visual servoing. In Proceedings of the IEEE International Conference on Robotics and Automation (ICRA), Saint Paul, MN, USA, 14–18 May 2012; pp. 971–976. [Google Scholar]
- Ghommam, J.; Saad, M. Autonomous landing of a quadrotor on a moving platform. IEEE Trans. Aerosp. Electron. Syst. 2017, 53, 1504–1519. [Google Scholar] [CrossRef]
- Lu, Q.; Ren, B.B.; Parameswaran, S. Shipboard landing control enabled by an uncertainty and disturbance estimator. J. Guid. Control Dyn. 2018, 41, 1502–1520. [Google Scholar] [CrossRef]
- Borowczyk, A.; Nguyen, D.T.; Nguyen, A.P.V.; Nguyen, D.Q.; Saussié, D.; Le Ny, J. Autonomous landing of a quadcopter on a highspeed ground vehicle. J. Guid. Control Dyn. 2017, 40, 2378–2385. [Google Scholar] [CrossRef] [Green Version]
- Paris, A.; Lopez, B.T.; How, J.P. Dynamic landing of an autonomous quadrotor on a moving platform in turbulent wind conditions. In Proceedings of the IEEE International Conference on Robotics and Automation (ICRA), Paris, France, 31 May–31 August 2020; pp. 9577–9583. [Google Scholar]
- Ahn, H.S.; Chen, Y.; Moore, K.L. Iterative learning control: Brief survey and categorization. IEEE Trans. Syst. Man Cybern. Part C 2007, 37, 1099–1121. [Google Scholar] [CrossRef]
- Foudeh, H.A.; Luk, P.C.-K.; Whidborne, J.F. An Advanced Unmanned Aerial Vehicle (UAV) Approach via Learn-ing-Based Control for Overhead Power Line Monitoring: A Comprehensive Review. IEEE Access 2021, 9, 130410–130433. [Google Scholar] [CrossRef]
- Foudeh, H.A.; Luk, P.C.-K.; Whidborne, J.F. Application of norm optimal iterative learning control to quadrotor unmanned aerial vehicle for monitoring overhead power system. Energies 2020, 13, 3223. [Google Scholar] [CrossRef]
- Chen, T.; Shan, J. Distributed control of multiple flexible manipulators with unknown disturbances and dead-zone input. IEEE Trans. Ind. Electron. 2020, 67, 9937–9947. [Google Scholar] [CrossRef]
- Qin, S.J.; Badgwell, T.A. A survey of industrial model predictive control technology. Control Eng. Pract. 2003, 11, 733–764. [Google Scholar] [CrossRef]
- Abdolhosseini, M.; Zhang, Y.M.; Rabbath, C.A. An Efficient Model Predictive Control Scheme for an Unmanned Quadrotor Helicopter. J. Intell. Robot. Syst. 2013, 70, 27–38. [Google Scholar] [CrossRef]
- Chikasha, P.N.; Dube, C. Adoptive Model Predictive Control of a Quadrotor. In Proceedings of the World Congress of International Federation of Automatic Control, Toulouse, France, 9–14 July 2017; Volume 50, pp. 157–162. [Google Scholar]
- Tzoumanikas, D.; Li, W.; Grimm, M.; Zhang, K.; Kovac, M.; Leutenegger, S. Fully autonomous micro air vehicle flight and landing on a moving target using visual-inertial estimation and model-predictive control. J. Field Robot. 2019, 36, 49–77. [Google Scholar] [CrossRef] [Green Version]
- Beul, M.; Nieuwenhuisen, M.; Quenzel, J.; Rosu, R.A.; Horn, J.; Pavlichenko, D.; Houben, S.; Behnke, S. Team NimbRo at MBZIRC 2017: Fast landing on a moving target and treasure hunting with a team of micro aerial vehicles. J. Field Robot. 2019, 36, 204–229. [Google Scholar] [CrossRef] [Green Version]
- Bähnemann, R.; Pantic, M.; Popović, M.; Schindler, D.; Tranzatto, M.; Kamel, M.; Grimm, M.; Widauer, J.; Siegwart, R.; Nieto, J. The ETH-MAV team in the MBZ International Robotics Challenge. J. Field Robot. 2017, 36, 78–103. [Google Scholar] [CrossRef]
- Baca, T.; Stepan, P.; Spurny, V.; Hert, D.; Penicka, R.; Saska, M.; Thomas, J.; Loianno, G.; Kumar, V. Autonomous landing on a moving vehicle with an unmanned aerial vehicle. J. Field Robot. 2019, 36, 874–891. [Google Scholar] [CrossRef]
- Vlantis, P.; Marantos, P.; Bechlioulis, C.P.; Kyriakopoulos, K.J. Quadrotor landing on an inclined platform of a moving ground vehicle. In Proceedings of the IEEE International Conference on Robotics and Automation (ICRA), Seattle, WA, USA, 26–30 May 2015; pp. 2202–2207. [Google Scholar]
- Lu, P.; van Kampen, E.J.; de Visser, C.; Chu, Q. Aircraft fault-tolerant trajectory control using incremental nonlinear dynamic inversion. Control. Eng. Pract. 2016, 57, 126–141. [Google Scholar] [CrossRef] [Green Version]
- Sieberling, S.; Chu, Q.P.; Mulder, J.A. Robust flight control using incremental nonlinear dynamic inversion and angular acceleration prediction. J. Guid. Control Dyn. 2010, 33, 1732–1742. [Google Scholar] [CrossRef]
- Smeur, E.J.; Chu, Q.; Croon, G.C. Adaptive incremental nonlinear dynamic inversion for attitude control of micro air vehicles. J. Guid. Control Dyn. 2016, 39, 450–461. [Google Scholar] [CrossRef] [Green Version]
- Simplício, P.; Pavel, M.D.; Van Kampen, E.; Chu, Q.P. An acceleration measurements-based approach for helicopter nonlinear flight control using incremental nonlinear dynamic inversion. Control Eng. Pract. 2013, 21, 1065–1077. [Google Scholar] [CrossRef]
- Smeur, E.J.; Croon, G.C.; Chu, Q. Cascaded incremental nonlinear dynamic inversion for MAV disturbance rejection. Control. Eng. Pract. 2018, 73, 79–90. [Google Scholar] [CrossRef] [Green Version]
- Lombaerts, T.J.J.; Chu, Q.P.; Mulder, J.A.; Joosten, D.A. Modular flight control reconfiguration design and simulation. Control. Eng. Pract. 2011, 19, 540–554. [Google Scholar] [CrossRef]
- Wang, X.; Kampen, E.J.V.; Chu, Q.; Lu, P. Incremental sliding-mode fault-tolerant flight control. J. Guid. Control Dyn. 2019, 42, 244–259. [Google Scholar] [CrossRef]
- Wang, X.; Sun, S.; van Kampen, E.J.; Chu, Q. Quadrotor fault tolerant incremental sliding mode control driven by sliding mode disturbance observers. Aerosp. Sci. Technol. 2019, 87, 417–430. [Google Scholar] [CrossRef] [Green Version]
- Wang, X.; Van Kampen, E.-J.; Chu, Q. Quadrotor fault-tolerant incremental nonsingular terminal sliding mode control. Aerosp. Sci. Technol. 2019, 95, 105514. [Google Scholar] [CrossRef]
- Jin, R.; Owais, H.M.; Lin, D.; Song, T.; Yuan, Y. Ellipse proposal and convolutional neural network discriminant for autonomous landing marker detection. J. Field Robot. 2019, 36, 6–16. [Google Scholar] [CrossRef] [Green Version]
- Manzoor, T.; Xia, Y.Q.; Zhai, D.H.; Ma, D.L. Trajectory tracking control of a VTOL unmanned aerial vehicle using offset-free tracking MPC. Chin. J. Aeronaut. 2020, 33, 2024–2042. [Google Scholar] [CrossRef]
- Yao, P.; Wang, H.L.; Ji, H.X. Multi-UAVs tracking target in urban environment by model predictive control and Improved Grey Wolf Optimizer. Aerosp. Sci. Technol. 2016, 55, 131–143. [Google Scholar] [CrossRef]
- Wang, J.; Cui, N.; Wei, C. Optimal rocket landing guidance using convex optimization and model predictive control. J. Guid. Control Dyn. 2019, 42, 1078–1092. [Google Scholar] [CrossRef]
- Wang, C.; Song, Z.Y. Convex Model Predictive Control for Rocket Vertical Landing. In Proceedings of the 37th Chinese Control Conference (CCC), Wuhan, China, 25–27 July 2018; pp. 9837–9842. [Google Scholar]
- Wang, B.H.; Meng, Z.J.; Jia, C.; Huang, P.F. Anti-tangle control of tethered space robots using linear motion of tether offset. Aerosp. Sci. Technol. 2019, 89, 163–174. [Google Scholar] [CrossRef]
- Ardakani, M.M.G.; Olofsson, B.; Robertsson, A.; Johansson, R. Real-time trajectory generation using model predictive control. In Proceedings of the IEEE International Conference on Automation Science and Engineering (CASE), Gothenburg, Sweden, 24–28 August 2015; pp. 942–948. [Google Scholar]
- Astrom, K.J.; Wittenmark, B. Computer Controlled Systems: Theory and Design; Prentice Hall: Hoboken, NJ, USA, 1997; pp. 32–35. [Google Scholar]
- Wang, H.; Lin, D.; Cheng, Z.; Wang, J. Optimal guidance of extended trajectory shaping. Chin. J. Aeronaut. 2014, 14. [Google Scholar] [CrossRef] [Green Version]
- Phang, S.K.; Lai, S.; Wang, F.; Lan, M.; Chen, B.M. Systems design and implementation with jerk-optimized trajectory generation for UAV calligraphy. Mechatronics 2015, 30, 65–75. [Google Scholar] [CrossRef]
- Yu, J.; Cai, Z.; Wang, Y. Minimum jerk trajectory generation of a quadrotor based on the differential flatness. In Proceedings of the IEEE Chinese Guidance, Navigation and Control Conference (CGNCC), Yantai, China, 8–10 August 2014; pp. 832–837. [Google Scholar]
- Mattingley, J.; Boyd, S. CVXGEN: A code generator for embedded convex optimization. Optim. Eng. 2012, 13, 1–27. [Google Scholar] [CrossRef]
- Chamseddine, A.; Zhang, Y.; Rabbath, C.A.; Join, C.; Theilliol, D. Flatness-based trajectory planning/ replanning for a quadrotor unmanned aerial vehicle. IEEE Trans. Aerosp. Electron. Syst. 2012, 48, 2832–2848. [Google Scholar] [CrossRef]
- Guo, K.; Lin, D.; Li, B.; Song, T.; Zang, L.; Yuan, Y. Design of a quadrotor attitude controller and throttle acceleration autopilot based on forward modeling. In Proceedings of the 5th China Aeronautical Science and Technology Conference, Jiaxing, China; 2021; pp. 349–365. [Google Scholar] [CrossRef]


























Publisher’s Note: MDPI stays neutral with regard to jurisdictional claims in published maps and institutional affiliations. |
© 2022 by the authors. Licensee MDPI, Basel, Switzerland. This article is an open access article distributed under the terms and conditions of the Creative Commons Attribution (CC BY) license (https://creativecommons.org/licenses/by/4.0/).
Share and Cite
Guo, K.; Tang, P.; Wang, H.; Lin, D.; Cui, X. Autonomous Landing of a Quadrotor on a Moving Platform via Model Predictive Control. Aerospace 2022, 9, 34. https://doi.org/10.3390/aerospace9010034
Guo K, Tang P, Wang H, Lin D, Cui X. Autonomous Landing of a Quadrotor on a Moving Platform via Model Predictive Control. Aerospace. 2022; 9(1):34. https://doi.org/10.3390/aerospace9010034
Chicago/Turabian StyleGuo, Kaiyang, Pan Tang, Hui Wang, Defu Lin, and Xiaoxi Cui. 2022. "Autonomous Landing of a Quadrotor on a Moving Platform via Model Predictive Control" Aerospace 9, no. 1: 34. https://doi.org/10.3390/aerospace9010034
APA StyleGuo, K., Tang, P., Wang, H., Lin, D., & Cui, X. (2022). Autonomous Landing of a Quadrotor on a Moving Platform via Model Predictive Control. Aerospace, 9(1), 34. https://doi.org/10.3390/aerospace9010034

