S-Parameter-Based Defect Localization for Ultrasonic Guided Wave SHM †
Abstract
1. Introduction
2. Background
2.1. Vector Network Analyzers
2.1.1. Signal Source
2.1.2. Signal Separation Hardware
2.1.3. Measurement Receivers
2.1.4. Processing Backend
2.2. Attaining Higher SNR
3. Materials and Methods
4. Results
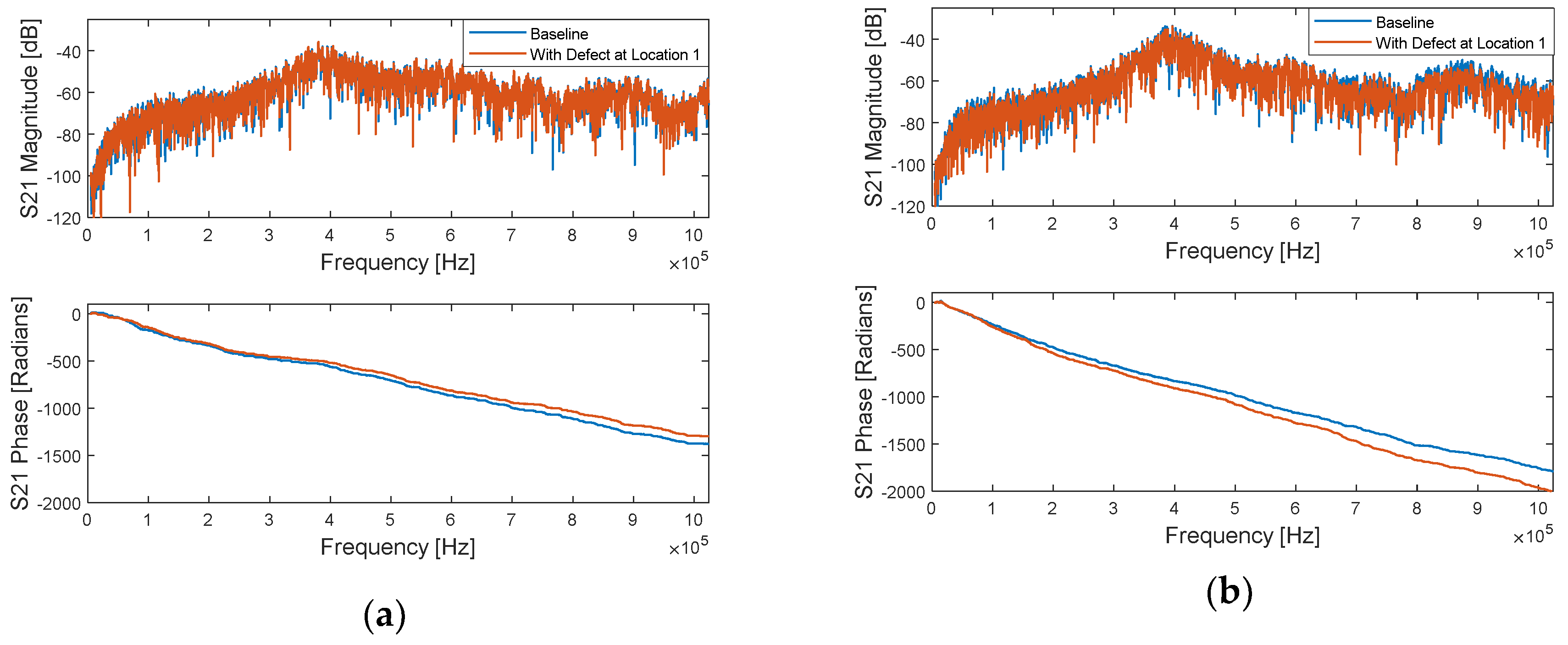
4.1. Results of the Aluminum Test Structure
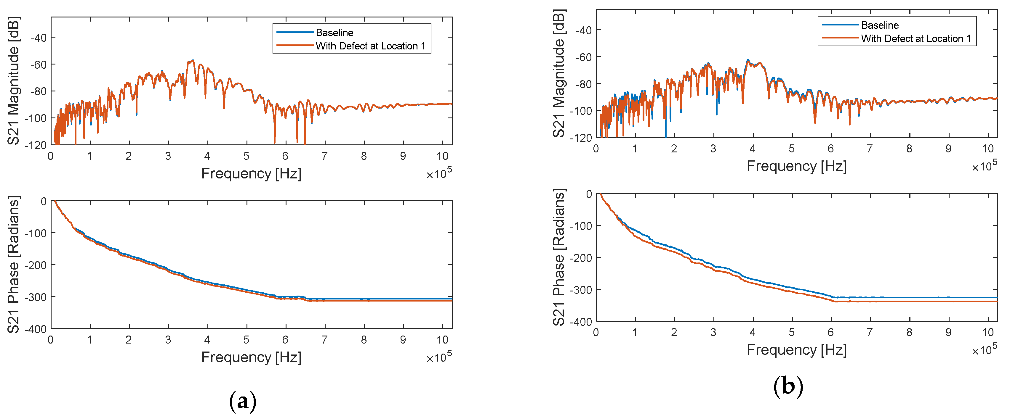
4.2. Results of the CFRP Test Structure
5. Discussion and Conclusions
Author Contributions
Funding
Acknowledgments
Conflicts of Interest
Appendix A. Experimental Details
References
- Giurgiutiu, V. Structural Health Monitoring with Piezoelectric Wafer Active Sensors, 2nd ed.; Elsevier: Amsterdam, The Netherlands, 2014. [Google Scholar]
- Giurgiutiu, V. Structural Health Monitoring of Aerospace Composites, 1st ed.; Academic Press: London, UK, 2016. [Google Scholar]
- Lin, M.; Chang, F. The manufacture of composite structures with a built-in network of piezoceramics. Compos. Sci. Technol. 2002, 62, 919–939. [Google Scholar] [CrossRef]
- Wang, Y.; Qiu, L.; Luo, Y.; Ding, R. A stretchable and large-scale guided wave sensor network for aircraft smart skin of structural health monitoring. Struct. Health Monit. 2019. [Google Scholar] [CrossRef]
- Shen, Z.; Chen, S.; Zhang, L.; Yao, K.; Tan, C. Direct-Write Piezoelectric Ultrasonic Transducers for Non-Destructive Testing of Metal Plates. IEEE Sens. J. 2017, 17, 3354–3361. [Google Scholar] [CrossRef]
- Philibert, M.; Soutis, C.; Gresil, M.; Yao, K. Damage Detection in a Composite T-Joint Using Guided Lamb Waves. Aerospace 2018, 5, 40. [Google Scholar] [CrossRef]
- Wang, S.; Wu, W.; Shen, Y.; Liu, Y.; Jiang, S. Influence of the PZT Sensor Array Configuration on Lamb Wave Tomography Imaging with the RAPID Algorithm for Hole and Crack Detection. Sensors 2020, 20, 860. [Google Scholar] [CrossRef] [PubMed]
- Zeng, L.; Huang, L.; Lin, J. Damage imaging of composite structures using multipath scattering Lamb waves. Compos. Struct. 2019, 216, 331–339. [Google Scholar] [CrossRef]
- Capineri, L.; Bulletti, A.; Calzolai, M.; Giannelli, P.; Francesconi, D. Arrays of Conformable Ultrasonic Lamb Wave Transducers for Structural Health Monitoring with Real-time Electronics. Procedia Eng. 2014, 87, 1266–1269. [Google Scholar] [CrossRef]
- Zhang, D.; Yu, P.; Beard, S.; Qing, P.; Kumar, A.; Chang, F. A new SMART sensing system for aerospace structures. In Unmanned Systems Technology IX, 656107; Proc. SPIE 6561: Orlando, FL, USA, 2007. [Google Scholar]
- Guo, Y.; Aquino, C.; Zhang, D.; Murmann, B. A Four-Channel, ±36 V, 780 kHz Piezo Driver Chip for Structural Health Monitoring. In Proceedings of the 39th European Solid-State Circuits Conference, Bucharest, Romania, 16–20 September 2013; pp. 85–88. [Google Scholar]
- Tang, X.; Zhao, H.; Mandal, S. A programmable CMOS transceiver for structural health monitoring. In Proceedings of the 2018 IEEE Custom Integrated Circuits Conference (CICC), San Diego, CA, USA, 8–11 April 2018. [Google Scholar]
- Tang, X.; Harley, J.; Bi, K.; Ozdemir, T.; Pawloski, M.; Mandal, S. Sparse Sensor Networks for Active Structural Health Monitoring Using Highly Integrated CMOS Transceivers. In SPIE Smart Structures and Materials + Nondestructive Evaluation and Health Monitoring; SPIE 10598: Denver, CO, USA, 2018. [Google Scholar]
- Huang, H.; Bednorz, T. Introducing S-parameters for ultrasound-based structural health monitoring. IEEE Trans. Ultrason. Ferroelectr. Freq. Control. 2014, 61, 1856–1863. [Google Scholar] [CrossRef] [PubMed]
- Zahedi, F.; Huang, H. Time-frequency analysis of electro-mechanical impedance (EMI) signature for physics-based damage detections using piezoelectric wafer active sensor (PWAS). Smart Mater. Struct. 2017, 26, 055010. [Google Scholar] [CrossRef]
- Islam, M.; Huang, H. Detecting severity of delamination in a lap joint using S-parameters. Smart Mater. Struct. 2018, 27, 035006. [Google Scholar] [CrossRef]
- Nyikayaramba, G.; Murmann, B. Towards On-Chip Measurement of S-Parameters for Ultrasonic Guided-Wave SHM: Damage Localization in Aluminum Using S-Parameter Measurements. In Proceedings of the 12th International Workshop on Structural Health Monitoring, Stanford, CA, USA, 10–12 September 2019. [Google Scholar]
- Zhao, X.; Gao, H.; Zhang, G.; Ayhan, B.; Yan, F.; Kwan, C.; Rose, J. Active health monitoring of an aircraft wing with embedded piezoelectric sensor/actuator network: I. Defect detection, localization and growth monitoring. Smart Mater. Struct. 2007, 16, 1208–1217. [Google Scholar] [CrossRef]
- Wang, C.; Rose, J.; Chang, F. A synthetic time-reversal imaging method for structural health monitoring. Smart Mater. Struct. 2004, 13, 415–423. [Google Scholar] [CrossRef]
- Michaels, J. Detection, localization and characterization of damage in plates with an in-situ array of spatially distributed ultrasonic sensors. Smart Mater. Struct. 2008, 17, 035035. [Google Scholar] [CrossRef]
- Li, G.; Chattopadhyay, A. Reference-free damage localization in time-space domain for structural health monitoring of X-COR sandwich composites. J. Intell. Mater. Syst. Struct. 2018, 30, 371–385. [Google Scholar] [CrossRef]
- Qiu, J.; Li, F.; Abbas, S.; Zhu, Y. A baseline-free damage detection approach based on distance compensation of guided waves. J. Low Freq. Noise Vib. Act. Control 2018, 38, 1132–1148. [Google Scholar] [CrossRef]
- Xu, C.; Yang, Z.; Tian, S.; Chen, X. Lamb wave inspection for composite laminates using a combined method of sparse reconstruction and delay-and-sum. Compos. Struct. 2019, 223, 110973. [Google Scholar] [CrossRef]
- Hiebel, M. Fundamentals of Vector Network Analysis, 1st ed.; Rohde & Schwarz: München, Germany, 2007. [Google Scholar]
- Introduction to Network Analyzer Measurements: Fundamentals and Background. Available online: http://download.ni.com/evaluation/rf/Introduction_to_Network_Analyzer_Measurements.pdf (accessed on 10 February 2020).
- Vector Network Analyzer Basics. Available online: https://www.keysight.com/upload/cmc_upload/All/BTB_Network_2005-1.pdf (accessed on 10 February 2020).
- Razavi, B. RF Microelectronics, 2nd ed.; Prentice Hall: Upper Saddle River, NJ, USA, 2012. [Google Scholar]
- Niitsu, K.; Nakanishi, T.; Murakami, S.; Matsunaga, M.; Kobayashi, A.; Karim, N.; Ito, J.; Ozawa, N.; Hase, T.; Tanaka, H.; et al. A 65-nm CMOS Fully Integrated Analysis Platform Using an On-Chip Vector Network Analyzer and a Transmission-Line-Based Detection Window for Analyzing Circulating Tumor Cell and Exosome. IEEE Trans. Biomed. Circuits Syst. 2019, 13, 470–479. [Google Scholar] [CrossRef] [PubMed]
- Nehring, J.; Schutz, M.; Dietz, M.; Nasr, I.; Aufinger, K.; Weigel, R.; Kissinger, D. Highly Integrated 4–32-GHz Two-Port Vector Network Analyzers for Instrumentation and Biomedical Applications. IEEE Trans. Microw. Theory Tech. 2017, 65, 229–244. [Google Scholar] [CrossRef]
















© 2020 by the authors. Licensee MDPI, Basel, Switzerland. This article is an open access article distributed under the terms and conditions of the Creative Commons Attribution (CC BY) license (http://creativecommons.org/licenses/by/4.0/).
Share and Cite
Nyikayaramba, G.; Murmann, B. S-Parameter-Based Defect Localization for Ultrasonic Guided Wave SHM. Aerospace 2020, 7, 33. https://doi.org/10.3390/aerospace7030033
Nyikayaramba G, Murmann B. S-Parameter-Based Defect Localization for Ultrasonic Guided Wave SHM. Aerospace. 2020; 7(3):33. https://doi.org/10.3390/aerospace7030033
Chicago/Turabian StyleNyikayaramba, Gift, and Boris Murmann. 2020. "S-Parameter-Based Defect Localization for Ultrasonic Guided Wave SHM" Aerospace 7, no. 3: 33. https://doi.org/10.3390/aerospace7030033
APA StyleNyikayaramba, G., & Murmann, B. (2020). S-Parameter-Based Defect Localization for Ultrasonic Guided Wave SHM. Aerospace, 7(3), 33. https://doi.org/10.3390/aerospace7030033

