Abstract
Aviation can reduce its climate impact by controlling its CO2-emission and non-CO2 effects, e.g., aviation-induced contrail-cirrus and ozone caused by nitrogen oxide emissions. One option is the implementation of operational measures that aim to avoid those atmospheric regions that are in particular sensitive to non-CO2 aviation effects, e.g., where persistent contrails form. The quantitative estimates of mitigation potentials of such climate-optimized aircraft trajectories are required, when working towards sustainable aviation. The results are presented from a comprehensive modelling approach when aiming to identify such climate-optimized aircraft trajectories. The overall concept relies on a multi-dimensional environmental change function concept, which is capable of providing climate impact information to air traffic management (ATM). Estimates on overall climate impact reduction from a one-day case study are presented that rely on the best estimate for climate impact information. Specific weather situation that day, containing regions with high contrail impact, results in a potential reduction of total climate impact, by more than 40%, when considering CO2 and non-CO2 effects, associated with an increase of fuel by about 0.5%. The climate impact reduction per individual alternative trajectory shows a strong variation and, hence, also the mitigation potential for an analyzed city pair, depending on atmospheric characteristics along the flight corridor as well as flight altitude. The robustness of proposed climate-optimized trajectories is assessed by using a range of different climate metrics. A more sustainable ATM needs to integrate comprehensive environmental impacts and associated forecast uncertainties into route optimization in order to identify robust eco-efficient trajectories.
1. Introduction
The impact of aviation on the environment can be reduced by adopting climate-optimized aircraft trajectories, which preferentially fly in regions where aviation emissions have lower climate impact, so-called green trajectories. Previous research has suggested that changing aircraft trajectories in order to avoid regions where contrails can form has the potential to reduce the climate impact of aviation [1]. Within a simple framework the trade-off between the climate impact of CO2 emissions and contrails for a single flight were assessed [2,3]. More comprehensive studies showed the feasibility of climate-optimized trajectories with single day case studies in order to reduce total climate impact of aviation in the North Atlantic Flight corridor [4] and over Europe [5]. A more recent study focused on the mitigation of contrail effects when considering trade-offs in CO2 [6]. The climate impact of aviation is caused by CO2 and non-CO2 effects; hence, for climate-optimization, individual effects have to be simultaneously taken into account, in order to assess and minimize the total climate impact [7]. The impacts of non-CO2 effects depend on the location and time of emission, e.g., contrail formation and photochemical ozone production and depend significantly on the prevailing weather conditions and synoptic situation at the time the flight occurs.
One important difference between aviation CO2 and non-CO2 climate effects is that the perturbation in CO2 due to an individual flight will persist for decades, whereas the timescale in the non-CO2 effects is much shorter (between e.g., hours in the case of contrails, months in the case of ozone changes, and years in the case of changes induced on methane). This difference in lifetime must be taken into account in such climate impact assessments by using physical climate metrics and emission scenarios. Hence, planning green trajectories requires spatially and temporally resolved information on climate impact of aviation emissions to be available, which, in turn, requires accurate weather forecasts. A methodology for performing a multi-criteria environmental and climate impact assessment of aircraft trajectories has been developed [5] within the SESAR (Single European Sky ATM Research project) Exploratory Project ATM4E (Air Traffic Management for Environment). It relies on a concept of climate change function (CCF) or environmental change function (ECF) [7] while using mathematical algorithms to derive them from weather forecast data, which in principal can also include metrics to measure noise and air quality impacts [5]. A methodology relying on precalculated CCFs was applied to North Atlantic Air Traffic [3,8], in order to provide a quantitative measure of climate impact of an emission at a specific location and time.
When working towards climate-optimization of air traffic trajectories in Europe, quantitative estimates of the possible reduction of climate impact of aviation are crucial, together with the identification of the mitigation potential which relates climate impact reduction on a climate-optimized trajectory to the associated increase in direct operation costs. However, in order to apply climate-optimized trajectories in practice, an overall concept has to overcome the issue of uncertainties that are related to quantitative estimates of aviation climate impact. In addition to uncertainties in weather forecast and climate impact estimates, the choice of climate metric (which enables the climate impact of non-CO2 impacts to be compared to impact of CO2 emissions) also constitutes a source of uncertainty. The overall climate objective largely determines the choice of the climate metric [9]. Here, we evaluate the climate impact as near-surface temperature change averaged over a given number of year, or indicators thereof, for a strategic change in routing [3], while assuming that such a strategy is not only applied once, but generally maintained in the future equivalent to an emission scenario. This largely limits the choice of climate metrics, but yet some choices are to be made, such as the time horizon, e.g., 20, 50, or 100 years, on which physical climate impacts are analyzed. In order to deal with uncertainties, methodologies are required that have the capability to assess robustness of an alternative climate-optimized trajectory.
This paper presents a methodology on how to investigate and integrate uncertainty when determining climate-optimized trajectories, in order to characterize and consider the robustness of a mitigation trajectory. As a case study for introducing a robustness measure in climate-optimization of trajectories, we use a one-day traffic sample of air traffic in Europe using weather reanalysis data from ERA-Interim to characterize the atmosphere. The objectives of this paper are (1) to present environmental and economic performance of aircraft trajectories for individual city pairs under different optimization criteria resulting in a set of distinct climate-optimized aircraft trajectories and (2) to compare climate optimized trajectories in order to fuel optimal trajectories in order to provide an estimate of overall mitigation potential and gain associated with climate-optimized aircraft trajectories. We evaluate the climate impact while using a set of different climate impact metrics in order to assess robustness of proposed solutions. Here, we do not explicitly consider the important issue of the reliability of weather forecasts, which must be established to enable flight planning in practice, nor do we take into account that, in the real world, many trajectories deviate from fuel-optimal trajectories.
2. Materials and Methods
The approach applied in this study to optimize aircraft trajectories with respect to direct operating costs and climate impact simultaneously relies on a concept explored within the European Aeronautics research project REACT4C (Reducing Emissions from Aviation by Changing Trajectories for the benefit of Climate) by expanding an air traffic management system to include climate impact information [6,10]. Such an expanded planning process allows for weather-dependent optimization of aircraft trajectories by establishing an interface between climate chemistry modelling of climate impacts and flight planning.
2.1. Methods to Identify Climate-Optimized Aircraft Trajectories
In this study, we perform a multi-criteria aircraft trajectory optimization using different objective functions with varying weights [5]. Our methodology to assess the climate impact of aircraft operations and associated emissions, and to identify climate optimal aircraft trajectories, requires having environmental impact information available during the flight and trajectory planning process. CO2 and non-CO2 effects both have to be taken into account in order to calculate total climate impact of aircraft operations. While climate impact of CO2 emissions is proportional to the emitted amount of CO2 (and hence fuel usage), and it is independent of where these emissions occur, the climate impact of non-CO2 effects shows a strong dependency on geographic position and altitude, as well as background meteorological conditions and/or time of emission. We apply a methodology for a multi-criteria environmental impact assessment during trajectory planning that was introduced in Matthes et al. [5], which enables trajectory optimization for identifying climate-optimized aircraft trajectories with an expanded trajectory optimization tool. For the provision of climate impact information to the flight planning tool, our study relies on an expansion of the initial CCF concept [11] to the application of algorithmic CCFs (aCCF) [12], which calculate climate impacts based on meteorological key parameters, e.g., humidity, temperature, and geopotential. The concept of aCCFs was developed and partially verified in Yin et al. [13] and applied, e.g., in Yamashita et al. [14]. In addition to the traffic data set (city pairs) comprehensive information on the atmosphere in terms of weather forecast data is available within the optimization system, which is used in order to calculate spatially and temporally resolved information on climate impact of aviation emissions released at a specific location and time. Unlike the original CCF concept, which required detailed and time-consuming calculations for each meteorological situation, these algorithmic CCFs provide an easy to use estimate of the climate impact of a local emission; hence, they constitute a tradeoff between applicability (fast calculation time) and accuracy. They provide a quantitative measure of climate impact using standard climate metrics, such as the global warming potential (GWP) or average temperature response (ATR), derived from standard meteorological parameters. This climate impact information is provided in our methodology to the Air Traffic Management (ATM) trajectory planning by integrating four-dimensional climate change functions, during trajectory optimization within TOM (trajectory optimization module) into the overall objective function [6]. By varying weights of individual components in the overall objective function (e.g., by putting more weight on environmental and climate impacts), a set of distinct aircraft trajectory optimization solutions is calculated for individual city pairs [15]. In our analysis of routing options, we calculate, for each city pair, a set of 75 alternative trajectories while using different weights. The total climate impact of alternative trajectory solutions is provided as CO2 and non-CO2 effects of emissions comprising NOx (on ozone and methane), contrail cirrus, and water vapor.
2.2. Performance and Robustness Assessment of Climate-Optimized Trajectories
Within a collaborative decision making framework, it is crucial to quantify overall performance, potential benefits, and associated costs of alternative routing strategies using quantitative performance indicators. For this purpose, we have expanded the assessment of key performance areas by a comprehensive climate impact assessment. Standard performance indicators provided in our performance assessment are estimates on fuel efficiency and time efficiency expanded by quantitative information on emissions and associated climate impact. Climate impact metrics are used to quantify the climate impact of aviation. In practice, the particular choice of metric depends to a certain degree on the overall aims of a mitigation policy and policymaker preference societal issues. In terms of selected time horizon, the typical values range from 20 to 100 years [16]. The average temperature response provides a mean change of surface temperature over a selected time horizon. Recent studies have proposed novel concepts to overcome challenges for adequate representation of short-term effects [17,18], which can be integrated in the concept developed, as can significant updates to the calculation of the climate impact of non-CO2 emissions [19,20].
As a novel aspect in our overall performance assessment, we assess to what extent our estimates of proposed climate-optimized trajectory solutions are robust under different climate impact metrics applied. We introduce this aspect, on the robustness of a climate-optimized trajectory by an iterative procedure that varies relevant external parameters and verification if the climate impacts of these solutions remain lower than the impact of the reference trajectory (fuel optimal solution). Specifically, we assess whether the alternative solution has a lower climate impact under different climate metrics and over different time horizons (e.g., ATR20, GWP100 where the number indicates the time horizon in years). A robust solution is characterized by providing a climate benefit under each variation. However, if a variation exists, e.g., one metric indicates a higher climate impact while another indicates a lower climate impact, such a trajectory is not a robust solution in terms of climate-optimization. As a measure of robustness, we present, for each alternative trajectory solution, its full range of (relative) mitigation benefits. In our case study, as part of our robustness analysis, we calculate the climate impact for a set of different climate impact metrics, i.e., GWP, ATR, and global temperature change potential (GTP) over three different time horizons (i.e., 20, 50, and 100 years).
2.3. One Day Case Study of European Air Traffic
This methodology of identifying climate optimized trajectories is applied in a case study for Europe, which corresponds to real world meteorological situation on 18 December 2015 based on ECMWF (European Centre for Medium-Range Weather Forecasts) reanalysis data. Here, we use reanalysis data, as our study is a hindcast analysis, performed after the actual flight days have taken place. In an operational system, meteorological information would be used from forecast data, in order to enable a flight planning, e.g., three days in advance, or 12 h before the actual departure time. The 18 December 2015 was characterized by a high traffic volume, a low number of regulations (weather-, ATC-, and aerodrome related) as well as an interesting weather situation, in terms of non-CO2 climate impact, as contrails could form. Trajectory optimization was performed within an expanded TOM that calculates a set of alternative aircraft trajectories [15] for each city pair. In the next step, air traffic has been climate-optimized in four different dimensions focusing on the climate impact of the en-route segment of the flight.
Based on the meteorological data, we calculate algorithmic climate change functions for non-CO2 impacts on that specific day comprising impacts of nitrogen oxides (on ozone and methane), water vapor, and contrail cirrus. The objective function in the optimization combines economic costs with environmental impacts. Within the traffic sample described above, we have analyzed the importance of individual city pairs according to scheduled flights data for European air traffic volume and passenger capacity and ranked them according to their transport capacities. Individual trajectories analyzed in this paper are among the top-10 connections in terms of available seat kilometers.
3. Results
We present the results on climate-optimized trajectories when comparing flight altitude and position of trajectories showing the overall performance in terms of fuel efficiency and environmental efficiency by comparing the fuel-optimal solution with climate-optimized solutions. We analyze individual components in the total climate impact, identifying the role and importance of non-CO2 contributions. Additionally, we present an overall climate-optimization of the top-2000 routes by identifying routing options with lowest mitigation costs.
Mitigation Potential of Climate-Optimized Trajectories
As a result of the climate optimization of aircraft trajectories between each city pair, we obtain from our modelling approach a set of alternative trajectories. Figure 1 shows horizontal flight tracks and vertical profiles of three connections (city-pairs) in Europe: Lulea–Gran Canaria, Helsinki–Gran Canaria, and Baku–Luxembourg. Within the flight corridors areas are located where contrails can form (such as the dark red patches that are shown in Figure 1). The trajectory calculations in TOM result in climate-optimized trajectories which avoid these regions by flying slightly lower, i.e., avoiding high values of the aCCF associated with contrails. By comparing mitigation potentials (pK/kg fuel), it is possible to identify not only those alternative trajectories but also those city pairs for which implementation of climate-optimization of trajectories would be most efficient.
Figure 1.
Aircraft trajectories (top row) Lulea–Gran Canaria (ESPA-GCLP, a), Helsinki–Gran Canaria (EFHK-GCLP, b), Baku–Luxembourg (UBBB-ELLX, c): great circle (blue line), fuel-optimized trajectory (black line). Altitude profile: fuel optimal case (middle row) and climate optimized case with 0.5% additional costs (bottom row), indicating along individual cruise trajectories of the connection (altitude, position) by shading algorithmic climate change functions warming (red) and cooling impacts (blue), values provided as 10−13 K/s.
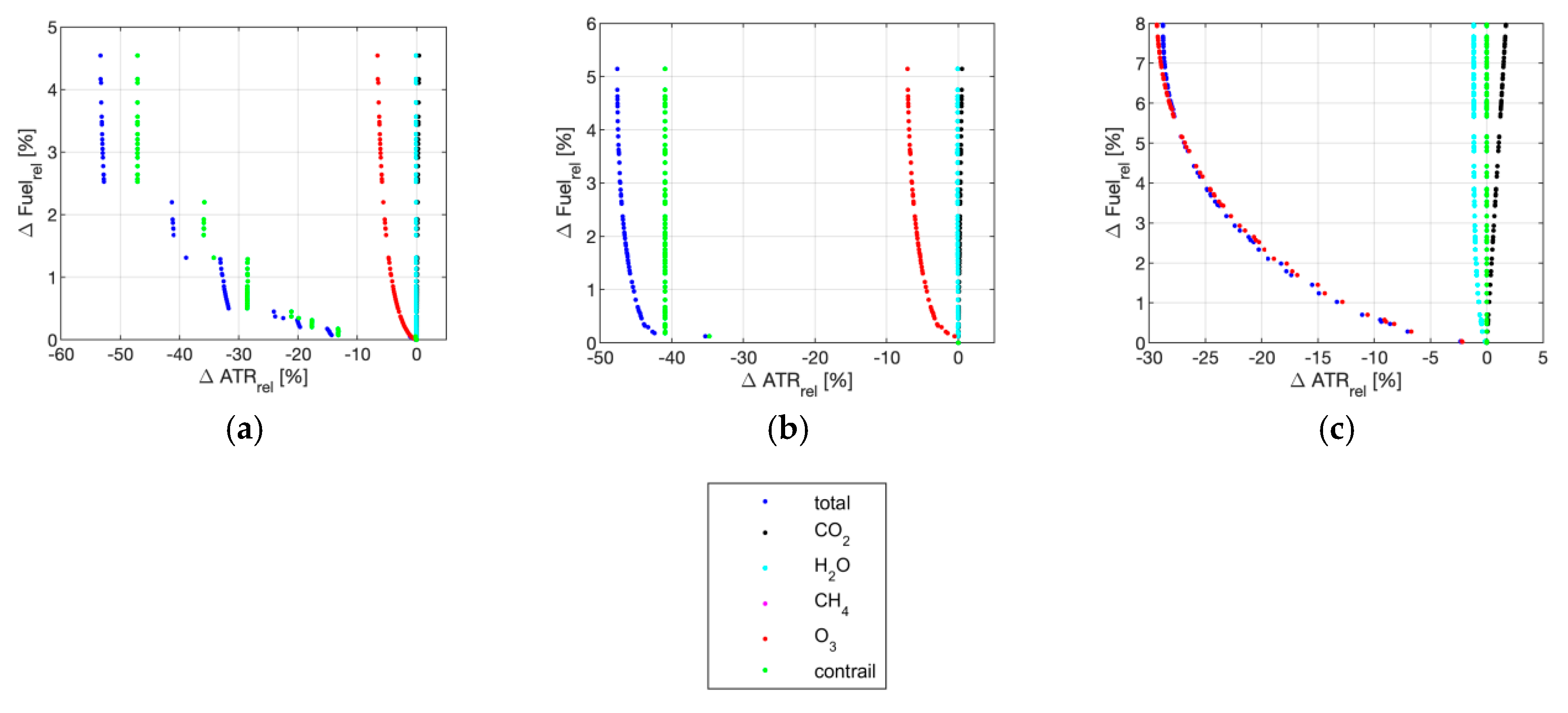
We present individual components of total climate impact (CO2 and non-CO2 effects) of the climate-optimal trajectories for a given fuel penalty compared to (theoretical) fuel optimum in order to identify the role and importance of individual aviation emission effects as well as their importance in mitigation solutions (Figure 2). Because of climate-optimization, the relative contributions from non-CO2 effects to total climate impact decreases as the fuel consumption increases; depending on the particular route and meteorological conditions along the trajectory, reductions are dominated by either contrail cirrus avoidance or the reduction in nitrogen oxides effects.
Figure 2.
Pareto fronts for aircraft trajectory optimization showing average temperature response (ATR20) vs. fuel increase for Lulea–Gran Canaria (a), Helsinki–Gran Canaria (b), Baku–Luxembourg (c) and individual effects. For given fuel increase, dark blue dots show the optimal climate change impact from the possible routes available. Other individual dot colours indicate the CO2 and non-CO2 climate impacts for that alternative route.
On the route between Baku and Luxembourg (Figure 3, right), no contrails can form along the trajectory on this specific day and, hence, the climate impact from aviation induced cloudiness is zero. On the fuel optimal trajectory, the climate impact of CO2 emissions account for 23% of total climate impact, non-CO2 effects contribute 77%.
Figure 3.
Individual contributions to total climate impact (ATR20, pK) on Lulea–Gran Canaria (a), Helsinki–Gran Canaria (b), Baku–Luxembourg (c); shown for individual mitigation trajectories allowing fuel increase by 0.5%, 1%, 2% and 5% and fuel optimal (0%). Numbers on top indicating decrease of total climate impact for respective alternative trajectory.
Nitrogen oxides contribute 74% and direct water vapor emissions only 3% to the total climate impact on the fuel optimal trajectory. The climate impact of nitrogen oxides depends on both the height and geographic location of the aircraft; hence, changing the aircraft trajectory has the potential to reduce climate impact of NOx emissions. This causes changes in NOx-induced climate impacts not correlating with changes in fuel composition. For the climate-optimized trajectories, these relative contributions change: contributions due to non-CO2 effects decrease to 74%, 73%, 70%, and 65% for the climate-optimized cases considered, respectively, for the 0.5%, 1%, 2%, and 5% fuel increase or fuel penalty that results from climate-optimization. This additional fuel enables a reduction in total climate impact calculated to be equal to 9%, 15%, 20%, and 30%, respectively. On the route Helsinki–Gran Canaria (Figure 3, middle) contrails can form over France (Figure 1). Assuming sustained emissions and an ATR20, on the fuel optimal trajectory, CO2 impacts contribute 11%, while non-CO2 effects contribute 89%, with impacts from nitrogen oxides and contrail cirrus contributing about the same degree, 45% and 43%, respectively, and water vapor 1%. Following climate-optimization, relative CO2 contributions increase while non-CO2 contributions decrease. Specifically with a fuel increase of 0.5%, climate impacts due to contrail cirrus can be completely avoided resulting in a considerable reduction in total climate impact by 47% (individual contributions: CO2 20%, NOx 78%, water vapor 2%), at nearly no fuel penalty representing clear jumps in the associated Pareto front. Climate-optimization on this connection identifies an alternative trajectory with a lower overall climate impact, e.g., with 48% of impact of fuel optimal trajectory) by avoiding contrail cirrus climate effects. For NOx, absolute contributions remain more or less constant, while relative contributions to total climate impact of trajectory increase.
During climate optimization on the route Helsinki–Gran Canaria relative contributions from non-CO2 effects decrease from 89% to 80%, 79%, and 78%, for fuel increases by 0.5%, 2%, and 5%. When comparing climate-optimized trajectory solutions in terms of their individual effects, e.g., related to nitrogen oxide emissions, one finds that while their relative contributions to total climate impact increase (e.g., from 23% to 26%, or from 40% to 50%, Figure 2), the associated absolute climate impact of NOx emissions, in general, still decreases, due to lower total climate impacts (Figure 3).
Similarly, on the route Lulea–Gran Canaria on that day, the fuel optimal trajectory CO2 only contributes 10% (Figure 3, left), while non-CO2 impacts contribute 90%; nitrogen oxides effects 40% and contrail cirrus 50%, respectively. Following climate optimization, these non-CO2 contributions drop to 85%, 82% and 77%, respectively, associated with reductions of total climate impact by 33% of up 56%, for increases in fuel burn between 0.5% and 5%. Our optimization shows that on this route it is most efficient to mitigate contrail cirrus effects.
On the Helsinki to Gran Canaria route, our analysis also shows, initially, efficient mitigation originates from contrail cirrus effects. Once contrail cirrus impacts are avoided, further reductions at higher costs, can be achieved due to the mitigation of the nitrogen oxides effect.
In a later step in our feasibility study using aCCFs, the mitigation potentials on individual trajectories will be combined in order to optimize of a set of city pairs. For this purpose, we define the quantity ‘mitigation gain’, which is calculated as the ratio of absolute mitigation potential and associated absolute fuel increase. With the help of this value, one can decide on which alternative solution it is most efficient to reduce climate impact. In our Pareto analysis of above three city pairs, we find most efficient reductions on the route Helsinki–Gran Canaria, where an alternative climate-optimized trajectory is identified by the concept avoiding more than 40% total climate impact with only small fuel penalties; equivalent to initial mitigation gains of up to 18 pK/(kg fuel). Higher reductions in climate impact, achieved by avoiding contrails and reducing NOx-induced effects, our analysis shows considerably lower mitigation gains of only up to 8 pK/(kg fuel), which then decrease down with 1–2 pK/(kg fuel). On the Pareto front, they are located further on the left. On the connection Baku–Luxembourg, where reductions of climate impact are associated to a reduction of the NOx-induced effect, our analysis calculates lower values of mitigation gains starting from values of about 1 pK/(kg fuel) for small impact reductions, which then decrease further by an order of magnitude when climate impact is reduced by 5%.
We calculate associated climate impact using a set of different climate impact metrics in order to investigate robustness of identified alternative trajectories (Figure 4). We calculate three different climate impact metrics using ATR, GWP, and GTP, over three distinct time horizons (20, 50, and 100 years), leading to nine different climate impact metrics. In all cases, we use the ATR20 trajectory calculated above, and then calculate mitigation gain for that trajectory, but using alternative climate metric. All of the identified trajectories show a reduction in total climate impact; hence, they are robust under these different climate impact metrics. On the route Lulea–Gran Canaria the range of climate impact reductions for a fuel penalty of 0.5% is equal to 8–10% using different climate metrics, and 13–15% for a 1% fuel penalty. This range of climate impact reductions shows if determined alternative trajectory solutions provide a reduced climate impact und different climate metrics; hence, this range represents a robustness parameter, enabling to test sign of climate impact changes calculated. For our three city pairs and determined climate-optimized trajectories, overall robustness analysis shows that identified alternative trajectories are robust under the selected set of climate impact metrics. It is likely that distinct alternative trajectories would be identified, if they were specifically optimized for the alternative metrics.
Figure 4.
Pareto front on climate impact reduction vs. fuel increase (%) for different climate metrics, using the routes optimized using ATR20: Lulea–Gran Canaria (a), Helsinki–Gran Canaria (b), and Baku–Luxembourg (c).
Additionally, we present an application of a so-called multiplier approach to the three city pairs, showing individual weighting factors relative to CO2 in order to obtain equivalent CO2 impacts (Table 1). In a multiplier approach, the changing importance and decrease of non-CO2 impacts due to climate optimization can be illustrated by calculating the total impacts, CO2, and non-CO2, with a multiplication factor which is based on CO2 impacts. We calculate on the route Baku–Luxembourg in the fuel optimal case that CO2 impacts have to be multiplied by a factor of 4.3 in order to obtain total climate impacts, but only by a lower value of 2.9 in the climate-optimized case. On the route Helsinki–Gran Canaria this factor reduces from 9.5 down to 4.5, and on the route Lulea–Gran Canaria drops from 10.2 down to 4.3. Our analysis of individual trajectory solutions, we show that due to climate optimization, associated multipliers vary considerably, from values of up to 10 down to about 3. A reduction in this multiplier corresponds to a reduction of relative importance of non-CO2 impacts when compared to total climate impacts, which will be discussed in order to identify validity and feasibility of such a multiplier approach in single trajectory optimization when considering meteorological conditions along the trajectory.
Table 1.
Multiplier to CO2 emissions in order to represent the total CO2 and non-CO2 climate impact for individual city pairs for relative fuel increases up to 5%.
Our feasibility study provides initial estimates for one day of European air traffic, involving intra-European flights, applying a bottom-up approach. An assessment and comprehensive trajectory optimization of the top-2000 routes [15] shows on that specific day climate impact in the specific weather situation can be mitigated by 46% for an increase in fuel of 0.5% (Figure 5). Climate impact in the fuel optimal case is dominated by non-CO2 effects (90%), getting lower when flying on alternative trajectories (down to 83% on 0.5% fuel increase trajectory).
Figure 5.
Pareto front with relative climate impact reduction vs. fuel increase (a) and mitigation potential, including individual contributions shown for three options: fuel optimal (0.0%), 0.5%, and 1% fuel penalty (%) (b) on 18 Decmber 2015 for a European traffic sample of 2000 routes using ATR20.
4. Discussion
This study demonstrates the feasibility of an approach for optimizing aircraft trajectories by using spatially and temporally resolved aCCFs in order to reduce the climate impact of aviation, while providing parameters on the robustness of identified mitigation solutions. We have applied this approach to the whole air traffic sample reported on single day in Europe, showing results in more detail for three European city-pairs. Analysis shows the clear potential for optimizing environment and economic aspects simultaneously, by avoiding non-CO2 effects in particular from nitrogen oxides, and contrails, while also assessing the robustness of these optimized trajectories to the choice of climate metric. A sensitivity analysis shows a small impact of the choice of the climate metric if they all follow a given political objective (here: climate impact assessment of a strategic and sustainable change in routing strategy). As a novel aspect in our overall performance assessment, we provide a robustness parameter of proposed alternative climate-optimized trajectory solutions by indicating the range of relative benefits for a set of climate metrics. This robustness parameter is associated to a specific alternative trajectory solution. However, it does not yet enable to be included independently from trajectory solutions and options analyzed. Within the aim of making a robustness assessment, an integral part of any trajectory optimization, we suggest that future work should be oriented towards conceptual and mathematical formulations of a robustness measure, which will allow assessing the robustness of proposed solutions that are optimized for one particular metric choice, e.g., as an extra dimension with the algorithmic climate change function. Here, this study presented an initial step by assessing robustness of trajectory solutions, which construct associated Pareto fronts.
From the application of a multiplier approach to our optimization results, it becomes obvious that particular attention has to be paid, when such an approach is used for providing quantitative estimates of total climate impact, comprising CO2 and non-CO2 effects. While a multiplier approach is a promising concept when estimating the total climate impact of aircraft operations under climatological mean conditions [21], our analysis using meteorological conditions on synoptic time scales shows strong variations, depending on actual weather conditions and individual trajectory options. This leads to strongly varying multipliers to CO2, with values ranging between about 3 and 10. When comparing our estimates of climate impact of aviation for a one-day case study with annual estimates representing climatological mean impacts, shows that shares from CO2 and non-CO2 effects are of the same order of magnitude. Our estimates of climate impact from European Air Traffic on 18 December 2015 cover about 3% of global fuel consumption by aviation. By comparing the total climate impacts of our top-2000 routes with the climate impact of annual movements of a global fleet, e.g., [22], we find that our estimates on total climate impact are about 6% higher, while contributions from contrail-cirrus are approximately 10% higher than in the climatological mean.
As part of our analysis in this feasibility study, we have the ability to identify routes (city pairs) and associated trajectories which offer a large mitigation potential. Specifically, we present alternative routes which that a strong mitigation gain due to contrail avoidance in the specific meteorological situation on 18 December 2015 over Europe. Our more comprehensive evaluation of the total impacts and associated mitigation potentials of 2000 routes shows that contrail and contrail cirrus avoidance offers a large mitigation potential on this day. Figure 6 shows satellite images for 18 December 2015 in order to assess to what extend our estimates are realistic and plausible for the real air traffic flown and associated contrail formation on that day. On the satellite AVHRR image [23], contrails are visible over Northern France, in those regions where algorithmic climate change functions indicate contrail formation conditions (Figure 1), hence confirming the contrail formation potential on that specific day also apparent in the ECMWF re-analysis data [5]. In our feasibility study, and specifically those routes that cross contrail formation regions, there is a strong radiative impact due to contrail formation, and they are also called big hits in terms of strong forcing by only some a small number of flights. During the morning contrail formation, regions are located over the Northern Alps, while, during the course of the day, they extend further over Northern France and towards the UK airspace. These contrail formation regions are located on higher flight levels at about 40,000 feet, hence alternative trajectories avoid these regions by flying at lower flight altitudes. Our analysis shows that mean flight altitude of the full traffic sample in the climate optimized case is about 5,000 feet lower. If such alternative trajectories are possible, avoiding these contrail formation regions, such trajectories offer a large mitigation potential, which corresponds to a strong climate impact reduction associated with a low fuel penalty. Hence, identifying and optimizing such big hit trajectories might lead to a large mitigation potential, particularly such cases merit further investigation.
Figure 6.
AVHRR (Advanced Very High Resolution Radiometer) Infrared image from Dundee Satellite Receiving Station on 18 December 2015, 20:03 UTC [21] showing the cloud coverage over the UK and Northern France (left) with a zoomed view over Northern France (right) showing contrail formation (arrow).
Comparing our climate impact mitigation potential on that specific day is largely consistent with earlier studies. For example, Grewe et al. [24] calculated a climatological mean climate impact reduction potential of 10% at a 1% increase in fuel and a maximum reduction of more than 20%, allowing for a 7% fuel increase. Grewe et al. [10] presented a mitigation. In our study, we concentrate on a single promising day and have a much more flexible vertical trajectory optimization and, hence, we consistently obtain an estimated mitigation potential of more than 40% resulting from the analysis of the top-2000 routes in our case study (Figure 5). Grewe et al. [10] clearly showed the potential of a full three-dimensional (3D) trajectory optimization and present a mitigation gain of 45% allowing for a 2% fuel penalty for flights crossing the North Atlantic and considering a climatological mean weather situation.
Teoh et al. [7] assessed the possibility of reduction of climate impact (only considering forcing from CO2 and contrails, rather than the wider set of non-CO2 forcings considered here). They adopt a different philosophy to ours, whereby they measure climate gain relative to actual flight trajectories in Japanese airspace. Because these actual trajectories are not fuel optimal, presumably due to air traffic management restrictions, it leads them to identify cases where alternative routing uses less fuel (and, hence, emits less CO2) and, at the same time, reduces contrail formation. By contrast, we measure the climate gain relative to the fuel-optimal route; we believe this is preferable the approach, as it clearly distinguishes gains that can be made from climate-sensitive routing from gains that are possible because of inefficiencies in air traffic management. Another recent study [7] adopted a metric called “energy forcing” to measure the climate impact of contrails. This metric is equivalent to the Absolute Global Warming Potential (AGWP) and, when they compare it to the CO2 AGWP20 and AGWP100, it becomes equivalent to using the GWP20 and GWP100, as shown in the Supplementary Information of an earlier study [2].
The presented study considers aircraft performance, realistic meteorological conditions from reanalysis, and algorithmic climate change functions (aCCF) that originate from complex chemistry-climate model simulations which were derived by van Manen and Grewe [12] and Yin et al. [25]. However, the analysis presented here does not take into account airspace structure, e.g., ATC sectors, route charges. It also does not account other environmental impacts beyond climate change, or the ability to accurately forecast the weather conditions sufficiently far ahead for flight planning; this would be a requirement for optimization to be applicable to the real world air traffic.
We suggest that the integration of such an advanced meteorological (MET) service should be done via the meteorological information interface to flight-planning processes, due to the fact that aCCF are calculated as a function of specific weather forecast information, as evaluated during the ATM4E project [26]. Our methodology to represent and provide climate impact information by CCFs as four-dimensional functions enables their integration into trajectory planning and optimization tools. Expanding such tools by integrating aCCFs enables them to simultaneously take into account various requirements and constraints during the planning process, e.g., comprising capacity, safety, air traffic control issues as well as environmental and climate impacts. Specific considerations and suggestions on future implementation of the methodology and approach to identify climate-optimized trajectories have been incorporated in a technology roadmap [27]. A combination of environmental and climate impact services has been done in combination with other services for the purpose of safety relating to weather events, e.g., thunderstorm and convective hazards [28], as well as in a more comprehensive multi-criteria optimization [29]. Future research will need to simultaneously explore the consideration of various impacts during trajectory optimization, in order to enable stakeholders, airlines, ATM providers, regulators, and policymakers to take a qualified decision by having comprehensive performance data available, specifically including climate impact, as well as to develop efficient incentives for such climate-optimized or eco-efficient trajectories.
Depending on the atmospheric region where aircraft fly, the overall climate impact of trajectories is typically dominated by individual non-CO2 impacts. This becomes apparent when comparing the contributions of individual climate effects to the mitigation gains. On the city pair between Lulea and Gran Canaria, a considerable reduction in overall climate impact can be achieved by avoiding regions which are sensitive to contrail formation. By contrast, on the connection between Baku and Luxembourg, mitigation gain originates from lowering the flight altitude and avoiding the warming effects of nitrogen oxides emissions. We have applied a climate metric that assumes sustained emissions, as we assume that a similar re-routing strategy would be adopted for flights on every day of the year, leading to sustained impacts.
5. Conclusions and Outlook
The overall methodology of climate-optimization of aircraft trajectories integrating uncertainty has been successfully applied within this feasibility study for Europe while using algorithmic climate change functions, assessing distinct climate impact metrics, and optimizing a one day full traffic sample of European air traffic. This extends previous work on trans-Atlantic flights [3] and European Flights [5]. As a result of this analysis, climate-optimized trajectories have been identified and characterized by their potential mitigation gain, their non-CO2 associated contributions and multipliers, as well by demonstrating their robustness to different climate impact metrics, given the prototype aCCFs adopted here.
We conclude that the climate optimization of aircraft trajectories can be enabled by expanding an ATM system with an advanced MET service for environmental impacts relying on Environmental Change Functions (ECFs) and, more specifically, climate change functions. An efficient way to generate climate change functions is to use algorithms that calculate impact from standard meteorological parameters that are available in a weather forecast system. For this, we introduced the aCCFs, which enable providing climate impact information directly from standard meteorological parameters at each location and time of emission. Potential mitigation gains and potentials and robustness of green trajectories can be quantified for each optimized trajectory by using a set of distinct climate impact metrics. The mitigation potential in the order of 10′s of percent can be achieved for an increased fuel burn of a few percent. Implementation of state of the art knowledge on aviation non-CO2 effects via an advanced MET service is required, comprising, in particular, contrail cirrus, nitrogen oxides (ozone, methane), as well as, potentially, indirect aerosol effects, once these aerosol effects are better understood. A number of aerosol effects have been assessed by expert judgement in [30], which may show regionally strong variations. Global mean of the aerosol effect values, however, tend to be consistent with less negative estimates. Our methodology could be expanded, from a conceptual point of view, as soon as more recent quantitative estimates on aerosol forcing are available, in order to additionally include those effects for climate impact estimations and route optimization. Such estimates might become available from recent research initiatives, such as, e.g., ACACIA project.
The implementation of a climate-optimized routing would need quantitative performance indicators to be able to demonstrate the benefits for the environment and more specifically for climate impacts relating to the key performance area environment (KP05) according to SESAR ATM Master Plan, in order to gain the confidence of the stakeholder community and create incentives for implementation and investment.
The concept that is presented here provides a basis for performing route optimizations in the European airspace while using advanced MET information in terms of climate impact assessment and optimization of aircraft movements in Europe. A strategic roadmap has been defined to further advance efficient implementation of eco-efficient (green) trajectories [27]. This provides a road map to implement such a multi-criteria and multi-dimensional climate impact, environmental assessment, and optimization framework into current ATM infrastructure by integrating tailored MET components, in order to make future aviation sustainable. One of the future research and development activities that would be required consists of increasing the technological readiness level of algorithmic environmental change functions, as was identified in the ATM4E roadmap on implementation [27] in order to transfer complexity of the ATM environment via high quality MET information into the ATM infrastructure. Using algorithmic ECFs allows for efficient implementation of environmental optimization in an overall information infrastructure. Ignoring the representation of relevant non-CO2 impacts in an overall assessment framework, e.g., because they are considered negligible (or too uncertain), can lead to wrong estimates of the total climate impact, and even create misleading incentives, if trade-offs are not adequately taken into account.
With this study, an important step towards an assessment of robustness has been made, future research should address the incorporation of information on the robustness of the environmentally optimized aircraft trajectories, when considering uncertainties from weather and climate impact data via aCCFs, as well as representations of aircraft/engine dependence. An adequate implementation of individual sources of uncertainty should help to identify robust climate impact mitigation solutions and trajectories.
However, as demonstrated by climate impact assessment studies, e.g., [10,31], there still exist uncertainties in the quantitative estimates of climate impact of aviation while using radiative forcing or effective radiative forcing as a metric. Here, the presented approach could also be applied in order to estimate parameters of robustness of identified alternative, climate-optimized trajectories with regard to its environmental impact, as proposed in the SESAR Exploratory Research project FlyATM4E. The ultimate goal of such a methodology is to make available an efficient, comprehensive assessment framework for environmental performance of aircraft operations. As an output, key performance indicators on environmental impacts comprising climate impact, air quality, and noise can be provided, which enables the identification and environmental optimization of aircraft trajectories. Eventually, such a framework will allow for the quantification of the climate impact mitigation potential, studying and characterizing changes in traffic flows due to environmental optimization, as well as studying trade-offs between distinct strategic measures.
Author Contributions
Conceptualization of this study, S.M. and V.G.; methodology in modelling chain, B.L., F.L., F.Y., E.K., and K.D.; software B.L. and K.D., validation, V.G., and F.Y., formal analysis of climate metrics, S.M., and K.D., analysis and interpretation of data, S.M., B.L., and K.D.; writing—original draft preparation, S.M., writing—review, K.P.S., and S.M., funding acquisition, S.M., K.P.S., F.L., and V.G. All authors have read and agreed to the published version of the manuscript.
Funding
The feasibility study on climate-optimized trajectories as one day case study received funding from the SESAR Joint Undertaking under grant agreement No. 699395 under European Union’s Horizon 2020 research and innovation programme within the Exploratory Research project ATM4E (coordinated by the author of this study). Individual authors of this study receive funding from the European Union’s Horizon 2020 research and innovation programme under grant agreement No. 875503 within the Aeronautics project ClimOP and from the SESAR Joint Undertaking under grant agreement No. 891317 within the Exploratory Research project FlyATM4E (coordinated by the author of this study) in order to further explore robustness of the concept.
Acknowledgments
Work in this article was supported by DLR project Eco2Fly (2018–2022). High performance supercomputing resources were used from the German DKRZ Deutsches Klimarechenzentrum Hamburg.
Conflicts of Interest
The authors declare no conflict of interest. The funders had no role in the design of the study; in the collection, analyses, or interpretation of data; in the writing of the manuscript. The funders encouraged publishing the results.
Abbreviations
| ATM | Air Traffic Management | ECF | Environmental Change Functions |
| ATC | Air Traffic Control | ERA | European Reanalysis Analysis |
| ATR | Average Temperature Response | GWP | Global Warming Potential |
| aCCF | Algorithmic Climate Change functions | GTP | Global Temperature Potential |
| AIC | Aviation induced cloudiness | MET | Meteorological data |
| CCF | Climate Change Functions | TOM | Trajectory Optimisation Module |
References
- Green, J. Air Travel-Greener by Design. Mitigating the environmental impact of aviation: Opportunities and priorities. Aeronaut. J. 2005, 109, 361–418. [Google Scholar]
- Irvine, E.A.; Hoskins, B.J.; Shine, K.P. A simple framework for assessing the tradeoff between the climate impact of aviation carbon dioxide emissions and contrails for a single flight. Environ. Res. Lett. 2014, 9, 064021. [Google Scholar]
- Hartjes, S.; Hendriks, J.; Visser, H. Contrail Mitigation through 3D Aircraft Trajectory Optimization. In Proceedings of the 16th AIAA Aviation Technology, Integration, and Operations Conference, Washington, DC, USA, 13–17 June 2016. [Google Scholar]
- Grewe, V.; Frömming, C.; Matthes, S.; Brinkop, S.; Ponater, M.; Dietmüller, S.; Jöckel, P.; Garny, H.; Tsati, E.; Dahlmann, K.; et al. Aircraft routing with minimal climate impact: The REACT4C climate cost function modelling approach (V1.0). Geosci. Model Dev. 2014, 7, 175–201. [Google Scholar]
- Matthes, S.; Grewe, V.; Dahlmann, K.; Frömming, C.; Irvine, E.; Lim, L.; Linke, F.; Lührs, B.; Owen, B.; Shine, K.P.; et al. A Concept for Multi-Criteria Environmental Assessment of Aircraft Trajectories. Aerospace 2017, 4, 42. [Google Scholar] [CrossRef]
- Matthes, S.; Schumann, U.; Grewe, V.; Frömming, C.; Dahlmann, K.; Koch, A.; Mannstein, H. Climate Optimized Air Transport. In Atmospheric Physics: Background-Methods Trends; Schumann, U.U., Ed.; Springer: Berlin/Heidelberg, Germany, 2012; pp. 727–746. [Google Scholar] [CrossRef]
- Teoh, R.R.; Schumann, U.U.; Majumdar, A.A.; Stettler, M.E.J. Mitigating the Climate Forcing of Aircraft Contrails by Small-Scale Diversions and Technology Adoption. Environ. Sci. Technol. 2020, 54, 2941–2950. [Google Scholar] [CrossRef] [PubMed]
- Grewe, V.; Champougny, T.; Matthes, S.; Frömming, C.; Brinkop, S.; Søvde, O.; Irvine, E.; Halscheidt, L. Reduction of the air traffic’s contribution to climate change: A REACT4C case study. Atmos. Environ. 2014, 94, 616–625. [Google Scholar] [CrossRef]
- Grewe, V.; Dahlmann, K. How ambiguous are climate metrics? And are we prepared to assess and compare the climate impact of new air traffic technologies? Atmos. Environ. 2015, 106, 373–374. [Google Scholar] [CrossRef]
- Grewe, V.; Dahlmann, K.; Flink, J.; Frömming, C.; Ghosh, R.; Gierens, K.; Heller, R.; Hendricks, J.; Jöckel, P.; Kaufmann, S.; et al. Mitigating the Climate Impact from Aviation: Achievements and Results of the DLR WeCare Project. Aerospace 2017, 4, 34. [Google Scholar] [CrossRef]
- Frömming, C.; Grewe, V.; Brinkop, S.; Haslerud, A.S.; Rosanka, S.; van Manen, J.; Matthes, S. The REACT4C Climate Change Functions: Impact of the actual weather situation on aviation climate effects. Atmos. Chem. Phys. (under review).
- Van Manen, J.; Grewe, V. Algorithmic climate change functions for the use in eco-efficient flight planning. Transp. Res. Part D 2019, 67, 388–405. [Google Scholar] [CrossRef]
- Yin, F.; Grewe, V.; van Manen, J.; Matthes, S.; Yamashita, H.; Irvine, E.; Shine, K.P.; Lührs, B.; Linke, F. Verification of the ozone algorithmic climate change functions for predicting the short-term NOx effects from aviation en-route. In Proceedings of the International Conference on Research in Air Transportation (ICRAT), Barcelona, Spain, 26−29 June 2018. [Google Scholar]
- Yamashita, H.; Yin, F.; Grewe, V.; Jöckel, P.; Matthes, S.; Kern, B.; Dahlmann, K.; Frömming, C. Various aircraft routing options for air traffic simulation in the chemistry-climate model EMAC 2.53: AirTraf 2.0. Geosci. Model Dev. 2019. (accepted). [Google Scholar] [CrossRef]
- Lührs, B.; Linke, F.; Matthes, S.; Grewe, V.; Yin, F.; Shine, K.P. Climate optimized trajectories in Europe. Aerospace ECATS Special Issue Making Aviation environmentally sustainable. (under review, in preparation).
- Allen, M.; Fuglestvedt, J.; Shine, K.; Reisinger, A.; Raymond, T.; Pierrehumbert, R.T.; Forster, P.M. New use of global warming potentials to compare cumulative and short-lived climate pollutants. Nat. Clim. Chang. 2016, 6, 773–776. [Google Scholar] [CrossRef]
- Grewe, V.; Matthes, S.; Dahlmann, K. The contribution of aviation NOx emissions to climate change: Are we ignoring methodological flaws. Environ. Res. Lett. 2019, 14, 121003. [Google Scholar]
- Myhre, G.; Shindell, D.; Bréon, F.; Collins, W.; Fuglestvedt, J.; Huang, J.; Koch, D.; Lamarque, J.; Lee, D.S.; Mendoza, B.; et al. Anthropogenic and Natural Radiative Forcing. In Climate Change 2013: The Physical Science Basis. Contribution of Working Group I to the Fifth Assessment Report of the Intergovernmental Panel on Climate Change; Stocker, T.F., Qin, D., Plattner, G.-K., Tignor, M., Allen, S.K., Boschung, J., Nauels, A., Xia, Y., Bex, V., Midgley, P.M., Eds.; Cambridge University Press: Cambridge, UK; New York, NY, USA, 2013; pp. 659–740. [Google Scholar]
- Bickel, M.; Ponater, M.; Bock, L.; Burkhardt, U.; Reineke, S. Estimating the Effective Radiative Forcing of Contrail Cirrus. J. Clim. 2020, 33, 1991–2005. [Google Scholar] [CrossRef]
- Etminan, M.; Myhre, G.; Highwood, E.J.; Shine, K.P. Radiative forcing of carbon dioxide, methane, and nitrous oxide: A significant revision of the methane radiative forcing. Geophys. Res. Lett. 2016, 43. [Google Scholar] [CrossRef]
- Dahlmann, K.; Grewe, V.; Yamashita, H.; Matthes, S. Climate assessment of single flights: Deduction of route specific equivalent CO2 emissions. in preparation.
- Cracknell, A.P. The Advanced Very High Resolution Radiometer; Taylor and Francis: London, UK, 1997. [Google Scholar]
- Matthes, S.; Lim, L.; Burkhardt, U.; Dahlmann, K.; Dietmüller, S.; Grewe, V.; Haselrut, A.; Hendricks, J.; Lee, D.S.; Owen, B.; et al. Mitigation of non-CO2 effect from aviation by changing cruise altitudes. Aerospace. (in preparation).
- Yin, F.; Grewe, V.; Matthes, S.; Yamashita, H.; Irvine, E.; Shine, K.P.; Lührs, B.; Linke, F. Predicting the climate impact of aviation for en-route emissions: The algorithmic climate change function sub model ACCF 1.0 of EMAC 2.53. Geosci. Mod. Dev. Disc. (in preparation).
- Grewe, V.; Matthes, S.; Frömming, C.; Brinkop, S.; Jöckel, P.; Gierens, K.; Champougny, T.; Fuglestvedt, J.; Haslerud, A.; Irvine, E.; et al. Climate-optimized air traffic routing for trans-Atlantic flights. Environ. Res. Lett. 2017, 12, 034003. [Google Scholar] [CrossRef]
- ATM4E, Final Report, D5.3, June 2018. SESAR-04-2015, Exploratory Project, Grant No. 699395. Available online: www.atm4e.eu/workpackages/pdfs. (accessed on 1 July 2020).
- ATM4E, Conceptual Roadmap, D4.3, June 2018. SESAR-04-2015, Exploratory Project, Grant No. 699395. Available online: www.atm4e.eu/workpackages/pdfs. (accessed on 1 July 2020).
- Matthes, S.; Grewe, V.; Forster, C.; Gerz, T. Advanced MET Services for Enhanced Safety and Climate Optimisation of Aircraft Trajectories within 5DMET-Advisory; European Geoscience Union: Munich, Germany, 2018. [Google Scholar]
- Kuenz, A.; Schwoch, G.; Korn, B.; Forster, C.; Gerz, T.; Grewe, V.; Matthes, S.; Graupl, T.; Rippl, M.; Linke, F.; et al. Optimization without Limits—The World Wide Air Traffic Management Project. In Proceedings of the IEEE/AIAA 36TH Digital Avionics Systems Conference (DASC), St. Petersburg, FL, USA, 17–21 September 2017; pp. 1–10. [Google Scholar] [CrossRef]
- IPCC. Climate Change 2013: The Physical Science Basis. In Contribution of Working Group I to the Fifth Assessment Report of the Intergovernmental Panel on Climate Change; Stocker, T.F., Qin, D., Plattner, G.-K., Tignor, M., Allen, S.K., Boschung, J., Nauels, A., Xia, Y., Bex, V., Midgley, P.M., Eds.; Cambridge University Press: Cambridge, UK; New York, NY, USA, 2013; p. 1535. [Google Scholar] [CrossRef]
- Lee, D.; Pitari, G.; Grewe, V.; Gierens, K.; Penner, J.; Petzold, A.; Prather, M.; Schumann, U.; Bais, A.; Berntsen, T.; et al. Transport impacts on atmosphere and climate: Aviation. Atmos. Environ. 2010, 44, 4678–4734. [Google Scholar] [CrossRef]
Publisher’s Note: MDPI stays neutral with regard to jurisdictional claims in published maps and institutional affiliations. |
© 2020 by the authors. Licensee MDPI, Basel, Switzerland. This article is an open access article distributed under the terms and conditions of the Creative Commons Attribution (CC BY) license (http://creativecommons.org/licenses/by/4.0/).





