Efficient Prediction of Unsteady Aerodynamic Characteristics Based on Kriging Model for Flexible Variable-Sweep Wings
Abstract
1. Introduction
2. Theoretical Basis
2.1. Numerical Solution Approaches and Validation
2.2. Description of the Motion During the Variable-Sweep Process
2.3. Efficient Prediction Framework for Unsteady Aerodynamic Characteristics Based on Kriging Surrogate Model
3. Case Study
3.1. Mesh Independence and Time Step Independence
3.2. Comparative Analysis of Quasi-Steady and Unsteady Aerodynamic Characteristics
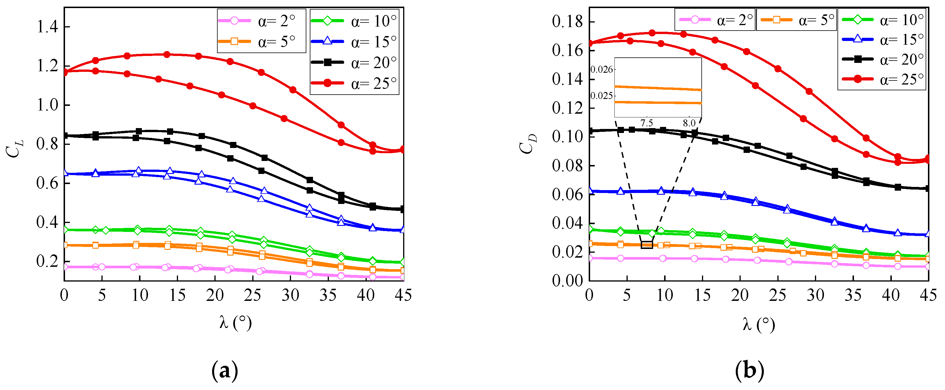
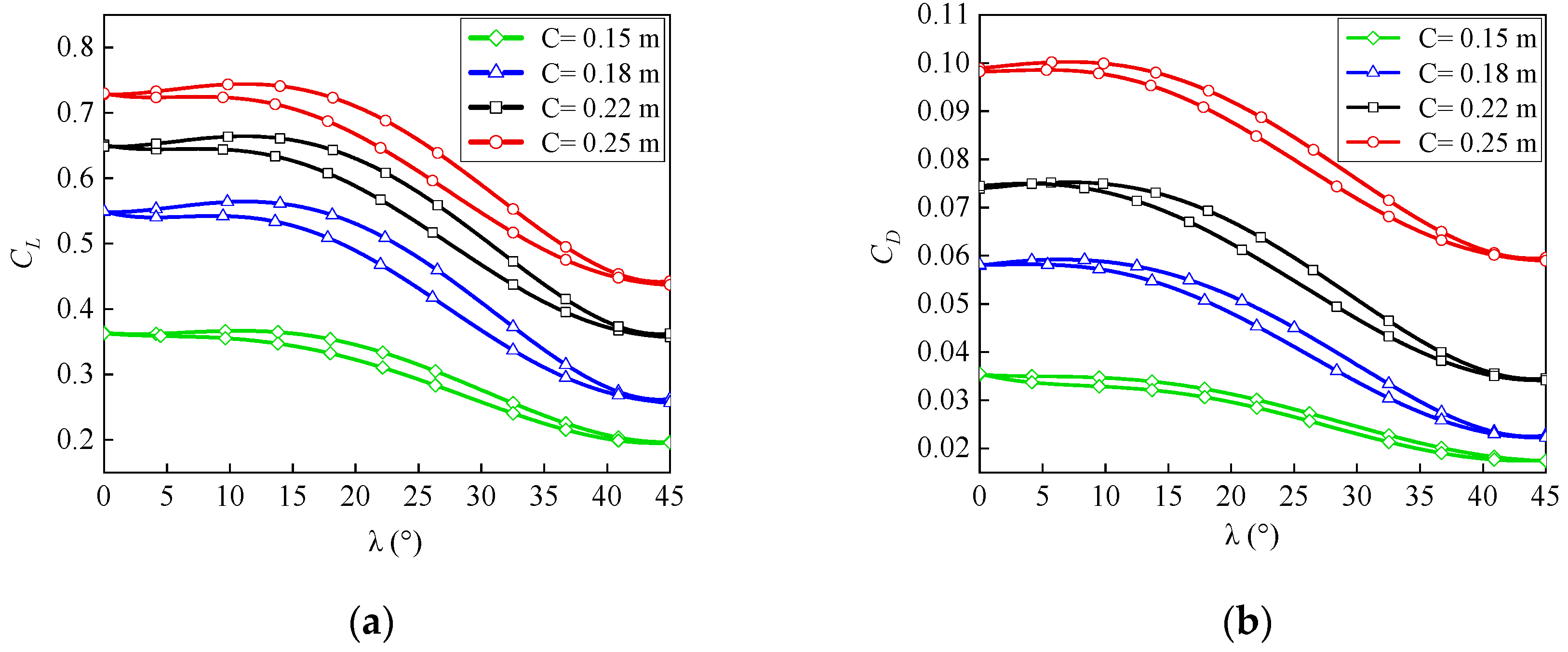
3.3. Influencing Factors of Unsteady Effects in the Variable-Sweep Process
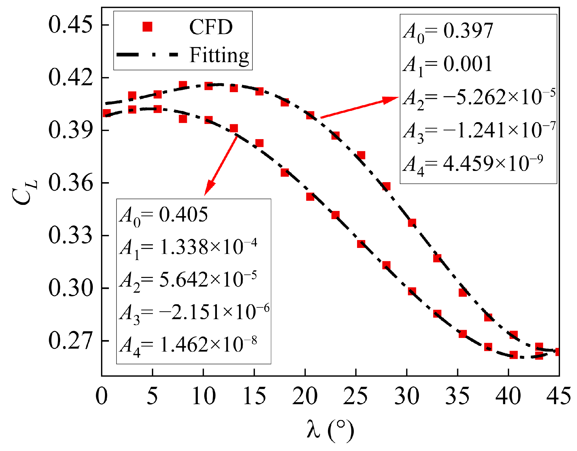
3.4. Efficient Predictions of Unsteady Aerodynamic Characteristics
4. Conclusions
Author Contributions
Funding
Data Availability Statement
Conflicts of Interest
Abbreviations
| CFD | Computational Fluid Dynamics |
| LHS | Latin Hypercube Sampling |
| UAV | Unmanned Aerial Vehicle |
| FVM | Finite Volume Method |
| PISO | Pressure Implicit with Splitting of Operators |
| Roe-FDS | Roe Flux-Difference Splitting Scheme |
| TVD | Total Variation Diminishing |
| UDF | User-Defined Function |
| Poly4 | Fourth-order Polynomial Function |
| CL | Lift Coefficient |
| CD | Drag Coefficient |
References
- Zhu, J.H.; Yang, J.N.; Zhang, W.H.; Gu, X.J.; Zhou, H. Design and applications of morphing aircraft and their structures. Front. Mech. Eng. 2023, 18, 0750. [Google Scholar] [CrossRef]
- Bai, Y.; Yang, G.; Xiao, H.; Guo, H.; Liu, R.; Liu, B. An Efficient Stiffness Analysis Model Based on Shear Deformation Theory for Flexible Skin Shear Variable-Sweep Wing. Chin. J. Aeronaut. 2024, 37, 445–458. [Google Scholar] [CrossRef]
- Ma, T.; Fan, Y.; Chang, N.; Yang, J.; Yu, Z.; Zhou, X. Design of a Variable-Sweep Wing Structure with Flexible Shear Skin. Aerosp. Syst. 2022, 5, 37–46. [Google Scholar] [CrossRef]
- Yang, H.; Jiang, S.; Wang, Y.; Xiao, H. Fluid-Structure Coupling and Aerodynamic Performance of a Multi-Dimensional Morphing Wing with Flexible Metastructure Skin. Aerospace 2023, 10, 678. [Google Scholar] [CrossRef]
- Chu, L.L.; Li, Q.; Gu, F.; Du, X.T.; He, Y.Q.; Deng, Y.C. Design, Modeling, and Control of Morphing Aircraft: A Review. Chin. J. Aeronaut. 2022, 35, 220–246. [Google Scholar] [CrossRef]
- Mardanpour, P.; Hodges, D.H. Passive Morphing of Flying Wing Aircraft: Z-Shaped Configuration. J. Fluids Struct. 2014, 44, 17–30. [Google Scholar] [CrossRef]
- Snyder, M.P.; Sanders, B.; Eastep, F.E.; Frank, G.J. Vibration and Flutter Characteristics of a Folding Wing. J. Aircr. 2009, 46, 791–799. [Google Scholar] [CrossRef]
- Chen, Q.; Bai, P.; Li, F. Morphing Aircraft Wing Variable Sweep: Two Practical Methods and Their Aerodynamic Characteristics. Acta Aerodyn. Sin. 2012, 30, 658–663. Available online: http://kqdlxxb.xml-journal.net/cn/article/id/11048 (accessed on 22 March 2026).
- Chen, Q.; Bai, P.; Li, F. Study on the Formation Mechanisms of Unsteady Aerodynamic Characteristics of Morphing Flight Vehicle in Sweep-Varying Process. Acta Mech. Sin. 2013, 45, 307–313. [Google Scholar] [CrossRef]
- Han, H.; Hu, J.; Yu, Y. Investigation of the Unsteady Aerodynamic Characteristics of an Unmanned Aerial Vehicle with Variable-Sweep Morphing. In Proceedings of the 32nd AIAA Applied Aerodynamics Conference, Atlanta, GA, USA, 16–20 June 2014; p. 3130. [Google Scholar] [CrossRef]
- Yao, Z.; Kan, Z.; Li, D. Gust Response of Spanwise Morphing Wing by Simulation and Wind Tunnel Testing. Aerospace 2023, 10, 328. [Google Scholar] [CrossRef]
- Xu, H.; Han, J.; Xi, Y.; Chen, G.; Cao, P. Comparative Study of Lifting Surface and CFD Methods in the Simulation of Morphing Process of Folding Wing. Int. J. Aerosp. Eng. 2022, 2022, 9856274. [Google Scholar] [CrossRef]
- Guo, Z.Z.; Dai, G.; Yang, H.; Chen, W.F. Unsteady Flow Simulation of a Variable-Sweep Morphing Aircraft Coupled with Flight Control System. Int. J. Mod. Phys. B 2020, 34, 2040073. [Google Scholar] [CrossRef]
- Gu, H.; Hong, H. Research and Improvement on Design Method of Morphing Wing Aircraft. J. Phys. Conf. Ser. 2020, 1600, 012013. [Google Scholar] [CrossRef]
- Rana, Z.A.; Mauret, F.; Sanchez-Gil, J.M.; Zeng, K.; Hou, Z.; Dayyani, I.; Konozsy, L. Computational Analysis and Design of an Aerofoil with Morphing Tail for Improved Aerodynamic Performance in Transonic Regime. Aeronaut. J. 2022, 126, 1144–1167. [Google Scholar] [CrossRef]
- Kabir, A.; Al-Obaidi, A.S.M.; Myan, F.W.Y. Comparative Analysis of Improved Aerodynamic Performance: Computational Fluid Dynamics Study of the Trailing Edge Morphing Concept Parameters. Int. J. Aeronaut. Space Sci. 2025, 26, 413–439. [Google Scholar] [CrossRef]
- Zeng, L.; Liu, L.; Shao, X.; Li, J. Mechanism Analysis of Hysteretic Aerodynamic Characteristics on Variable-Sweep Wings. Chin. J. Aeronaut. 2023, 36, 212–222. [Google Scholar] [CrossRef]
- Si, P.; Wu, M.J.; Huo, Y.; Wu, Z. Investigation of a tube-launched unmanned aerial vehicle with a variable-sweep wing. Drones 2024, 8, 474. [Google Scholar] [CrossRef]
- Rojas-Gonzalez, S.; Van Nieuwenhuyse, I. A survey on kriging-based infill algorithms for multiobjective simulation optimization. Comput. Oper. Res. 2020, 116, 104869. [Google Scholar] [CrossRef]
- Raul, V.; Leifsson, L. Surrogate-based aerodynamic shape optimization for delaying airfoil dynamic stall using Kriging regression and infill criteria. Aerosp. Sci. Technol. 2021, 111, 106555. [Google Scholar] [CrossRef]
- Shen, C.; Zhang, J.; Ding, C.; Wang, S. Simulation analysis and experimental study on airfoil optimization of low-velocity turbine. J. Mar. Sci. Eng. 2024, 12, 303. [Google Scholar] [CrossRef]
- Wang, Q.; Zhang, Z. Airfoil optimization design of vertical-axis wind turbine based on Kriging surrogate model and MIGA. Energies 2025, 18, 12927. [Google Scholar] [CrossRef]
- Phiboon, T.; Khankwa, K.; Petcharat, N.; Phoksombat, N.; Kanazaki, M.; Kishi, Y.; Bureerat, S.; Ariyarit, A. Experiment and computation multi-fidelity multi-objective airfoil design optimization of fixed-wing UAV. J. Mech. Sci. Technol. 2021, 35, 4065–4072. [Google Scholar] [CrossRef]
- Cairns, J.; Vezza, M.; Green, R.; MacVicar, D. Numerical Optimisation of a Ship Wind-Assisted Propulsion System Using Blowing and Suction over a Range of Wind Conditions. Ocean Eng. 2021, 240, 109903. [Google Scholar] [CrossRef]
- Wang, Q.; Ma, P.; Zhang, X.; Li, S. Aerodynamic Optimization of Wind Turbine Airfoil under Dynamic Stall Condition. Energy 2025, 334, 137588. [Google Scholar] [CrossRef]
- Liu, B.; Liang, H.; Han, Z.-H.; Yang, G. Surrogate-Based Aerodynamic Shape Optimization of a Sliding Shear Variable Sweep Wing over a Wide Mach-Number Range with Plasma Constraint Relaxation. Struct. Multidiscip. Optim. 2023, 66, 43. [Google Scholar] [CrossRef]
- Gong, C.; Ma, B.-F. Shape Optimization and Sensitivity Analysis of a Morphing-Wing Aircraft. Int. J. Aeronaut. Space Sci. 2019, 20, 57–69. [Google Scholar] [CrossRef]
- Li, W.H.; Liu, Y.W. Numerical investigation of corner separation flow using Spalart-Allmaras model with various modifications. Aerosp. Sci. Technol. 2022, 127, 107682. [Google Scholar] [CrossRef]
- Xie, B.; Xiao, F. Accurate and robust PISO algorithm on hybrid unstructured grids using the multimoment finite volume method. Numer. Heat Transf. Part B 2017, 71, 146–172. [Google Scholar] [CrossRef]
- Pelanti, M. Wave Structure Similarity of the HLLC and Roe Riemann Solvers: Application to Low Mach Number Preconditioning. SIAM J. Sci. Comput. 2018, 40, A1836–A1859. [Google Scholar] [CrossRef]
- Majima, Y.; Wakimura, H.; Aoki, T.; Xiao, F. A New High-Fidelity Total Variation Diminishing Scheme Based on the Boundary Variation Diminishing Principle for Compressible Flows. Comput. Fluids 2023, 266, 106070. [Google Scholar] [CrossRef]
- Meng, Z.F.; Wang, P.P.; Zhang, A.M.; Ming, F.R.; Sun, P.N. A Multiphase SPH Model Based on Roe’s Approximate Riemann Solver for Hydraulic Flows with Complex Interface. Comput. Methods Appl. Mech. Eng. 2020, 365, 112999. [Google Scholar] [CrossRef]
- Landon, R.H.; Davis, S.S. Compendium of Unsteady Aerodynamic Measurements; AGARD Report No. 702; Advisory Group for Aerospace Research and Development (AGARD): Neuilly sur Seine, France, 1982; p. 702. Available online: https://www.abbottaerospace.com/downloads/agard-r-702/ (accessed on 22 March 2026).
- Iordanis, I.; Koukouvinos, C.; Silou, I. On the efficacy of conditioned and progressive Latin hypercube sampling in supervised machine learning. Appl. Numer. Math. 2025, 208, 256–270. [Google Scholar] [CrossRef]


















| Variable | Ma | T/(s) | α/(°) | S/(m) | C/(m) |
|---|---|---|---|---|---|
| 1 | 0.88 | 0.69 | 7.16 | 1.35 | 0.13 |
| 2 | 1.22 | 1.68 | 12.4 | 0.81 | 0.27 |
| 3 | 0.43 | 0.33 | 16.2 | 1.47 | 0.22 |
| 4 | 0.27 | 1.3 | 21.6 | 1.08 | 0.16 |
| Operating Conditions | CL CD | Average Error [%] | Maximum Error [%] | Prediction Time [min] |
|---|---|---|---|---|
| 1 | CL | 3.17 | 4.78 | 2.52 |
| CD | 1.84 | 3 | 2.75 | |
| 2 | CL | 2.71 | 5.35 | 2.6 |
| CD | 4.02 | 8.23 | 2.3 | |
| 3 | CL | 3.44 | 6.27 | 2.5 |
| CD | 4.23 | 7.43 | 2.82 | |
| 4 | CL | 2.23 | 4.19 | 3.17 |
| CD | 2.57 | 5.03 | 2.5 |
| Operating Conditions | CL CD | Average Error [%] | Maximum Error [%] | Prediction Time [min] |
|---|---|---|---|---|
| 1 | CL | 2.57 | 4.19 | 2.43 |
| CD | 1.32 | 2.86 | 3.15 | |
| 2 | CL | 2.19 | 4.01 | 3.08 |
| CD | 3.61 | 5.25 | 2.47 | |
| 3 | CL | 2.62 | 5.41 | 2.75 |
| CD | 2.32 | 4.03 | 2.7 | |
| 4 | CL | 1.84 | 3.19 | 2.6 |
| CD | 2.14 | 4.03 | 2.56 |
Disclaimer/Publisher’s Note: The statements, opinions and data contained in all publications are solely those of the individual author(s) and contributor(s) and not of MDPI and/or the editor(s). MDPI and/or the editor(s) disclaim responsibility for any injury to people or property resulting from any ideas, methods, instructions or products referred to in the content. |
© 2026 by the authors. Licensee MDPI, Basel, Switzerland. This article is an open access article distributed under the terms and conditions of the Creative Commons Attribution (CC BY) license.
Share and Cite
Hang, X.; Liu, J.; Zhu, R.; Huang, Y. Efficient Prediction of Unsteady Aerodynamic Characteristics Based on Kriging Model for Flexible Variable-Sweep Wings. Aerospace 2026, 13, 305. https://doi.org/10.3390/aerospace13040305
Hang X, Liu J, Zhu R, Huang Y. Efficient Prediction of Unsteady Aerodynamic Characteristics Based on Kriging Model for Flexible Variable-Sweep Wings. Aerospace. 2026; 13(4):305. https://doi.org/10.3390/aerospace13040305
Chicago/Turabian StyleHang, Xiaochen, Jincheng Liu, Rui Zhu, and Yanxin Huang. 2026. "Efficient Prediction of Unsteady Aerodynamic Characteristics Based on Kriging Model for Flexible Variable-Sweep Wings" Aerospace 13, no. 4: 305. https://doi.org/10.3390/aerospace13040305
APA StyleHang, X., Liu, J., Zhu, R., & Huang, Y. (2026). Efficient Prediction of Unsteady Aerodynamic Characteristics Based on Kriging Model for Flexible Variable-Sweep Wings. Aerospace, 13(4), 305. https://doi.org/10.3390/aerospace13040305

