Harmonic Frequency Analysis of Asynchronous Motion in a Rubbing Rotor System with Flexible Casing Constraint
Abstract
1. Introduction
2. Dynamic Modeling for a Rotor System with Flexible Constraints
2.1. Rub-Impact Model
- (1)
- The bladed assembly is simplified as a rigid body carrying the equivalent mass, and the motion of the disk is characterized by a representative node at the disk center.
- (2)
- The coupling effect between the rotor and stator is taken into account, and the stator casing is modeled using flexible shell elements.
- (3)
- During the blade–casing contact process, multiple mechanical behaviors occur, including impact, friction, rebound, and separation.
- (4)
- Contact between the rotor disk and the casing generates normal and tangential rubbing forces at the contact interface. The normal force is described using a linear elastic contact model, while the tangential force is characterized by a Coulomb friction model.
2.2. Dynamic Governing Equation for Flexible-Constraint Rotor
- (1)
- The casing is modeled with shell elements to reflect distributed flexibility.
- (2)
- Bearings are idealized as linear stiffness–damping supports.
- (3)
- Nonlinearity arises solely from the rub-impact interface between the casing nodes and the disk node.
3. Rubbing Characteristics Under Different Rub Modes
3.1. The Model Characteristics of the Rotor System
3.2. The Rub-Impact Response at the Stator–Rotor Concentric Initial State
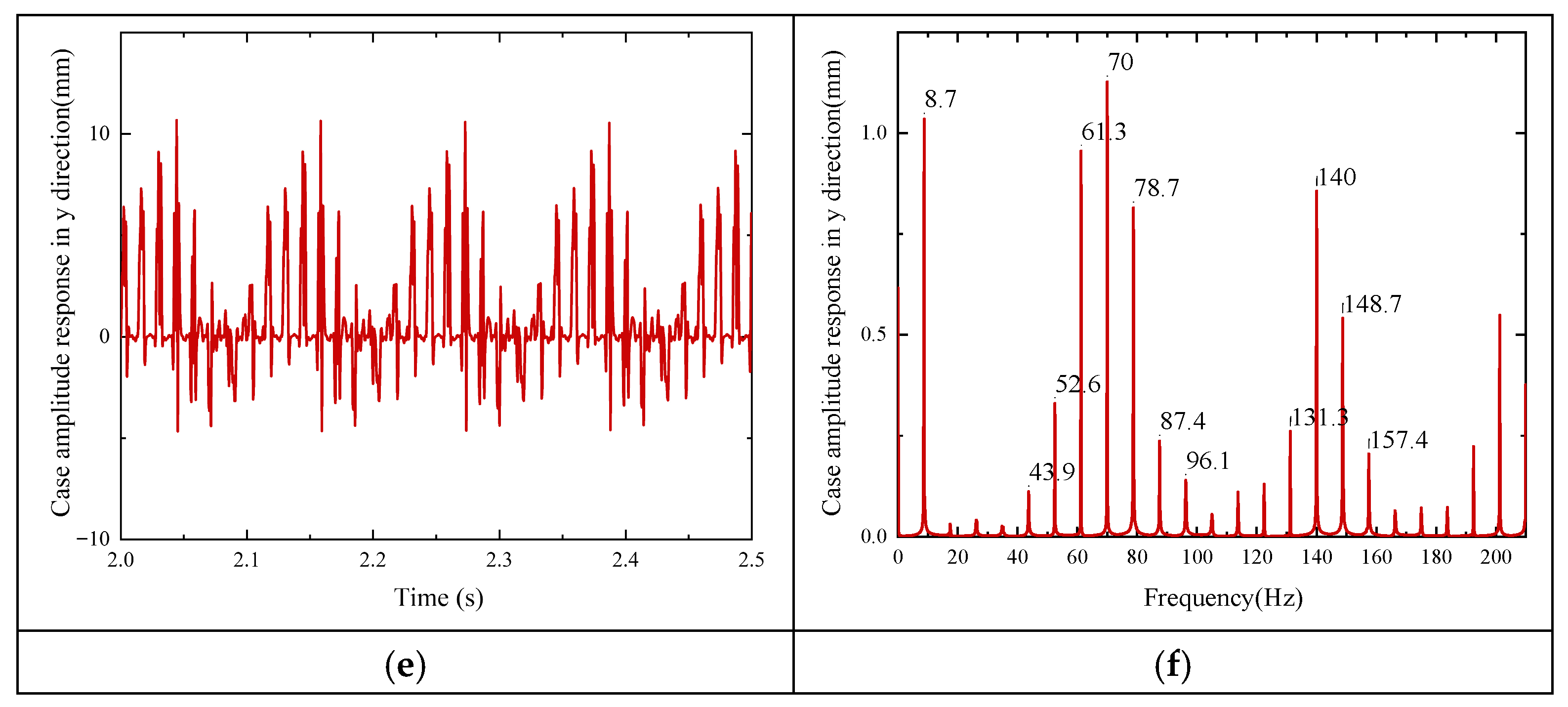
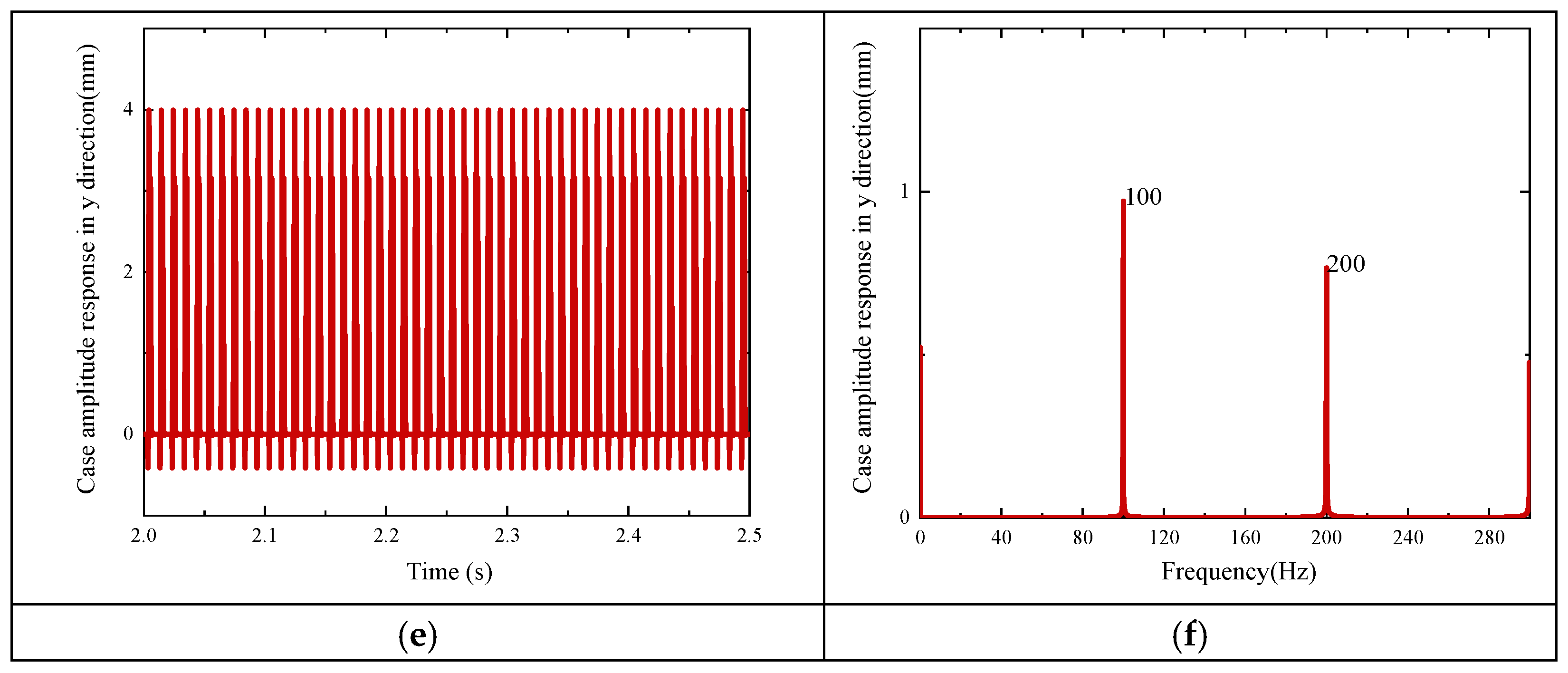
3.2.1. The Dynamic Response at a Rotational Speed of 47 Hz
3.2.2. The Dynamic Response at a Rotational Speed of 70 Hz
3.2.3. The Dynamic Response at a Rotational Speed of 80 Hz
3.2.4. The Dynamic Response at a Rotational Speed of 100 Hz
3.3. Mechanism Analysis of the Harmonic Frequency
3.3.1. The Relationship Between the Harmonic Frequency and the Unbalance Frequency
3.3.2. The Relationship Between the Harmonic Frequency and Asynchronous Motion
3.4. The Rub-Impact Response at the Stator–Rotor Eccentric Initial State
3.4.1. The Dynamic Response at a Rotational Speed of 55 Hz
3.4.2. The Dynamic Response at a Rotational Speed of 65 Hz
3.4.3. The Dynamic Response at a Rotational Speed of 75 Hz
3.4.4. The Dynamic Response at a Rotational Speed of 90 Hz
3.5. Comparative Analysis
4. Conclusions
5. Limitations and Future Work
Author Contributions
Funding
Data Availability Statement
Conflicts of Interest
Appendix A


Appendix B


References
- Kou, H.; Zhang, Y.; Lee, H.P.; Shi, Y.; Du, J.; Zhu, Z.; Zhang, F.; Zeng, L. Rubbing features of the bladed drum rotor under a novel coupled axial-radial thermal effect. Acta Mech. Sin. 2024, 40, 523034. [Google Scholar] [CrossRef]
- Zeng, Z.; Zhang, D.; Tong, R.; Xu, H. Experimental investigation and analytical modeling for blade-casing rubbing force. Mech. Syst. Signal Process. 2022, 167, 108548. [Google Scholar] [CrossRef]
- Wang, H.F.; Chen, G.; Song, P.P. Simulation analysis of casing vibration response and its verification under blade–casing rubbing fault. J. Vib. Acoust. 2016, 138, 031004. [Google Scholar] [CrossRef]
- Zeng, J.; Zhao, C.; Ma, H.; Cui, X.; Sun, W.; Luo, Z. Dynamic response characteristics of the shaft-blisk-casing system with blade-tip rubbing fault. Eng. Fail. Anal. 2021, 125, 105406. [Google Scholar] [CrossRef]
- Chen, G. Simulation of casing vibration resulting from blade–casing rubbing and its verifications. J. Sound Vib. 2016, 361, 190–209. [Google Scholar] [CrossRef]
- Ding, K.; Wang, Z.; Lu, X.; Zhang, J.; Ma, L. Vibration investigation of rotor system with unbalance and blade-casing rubbing coupling faults. J. Vibroeng. 2020, 22, 353–365. [Google Scholar] [CrossRef]
- Yang, Y.; Cao, D.; Wang, D.; Jiang, G. Fixed-point rubbing characteristic analysis of a dual-rotor system based on the Lankarani–Nikravesh model. Mech. Mach. Theory 2016, 103, 202–221. [Google Scholar] [CrossRef]
- Wang, Z.; Sun, R.; Liu, Y.; Yao, Y.; Tian, J. Analysis of nonlinear vibration characteristics and whirl behavior of dual-rotor systems with inter-shaft rub impact. Mathematics 2024, 12, 1436. [Google Scholar] [CrossRef]
- Fu, C.; Zhu, W.; Zheng, Z.; Sun, C.; Yang, Y.; Lu, K. Nonlinear responses of a dual-rotor system with rub-impact fault subject to interval uncertain parameters. Mech. Syst. Signal Process. 2022, 170, 108827. [Google Scholar] [CrossRef]
- Tang, H.; Ren, Y.; Xiang, J.; Kumar, A. Numerical and experimental analysis of rotor-bearing system for axial piston pump with misalignment–rubbing coupling fault. J. Sound Vib. 2023, 559, 117786. [Google Scholar] [CrossRef]
- Kuan, L.; Hui, C.; Wentao, Z.; Haopeng, Z.; Kaifu, Z.; Chao, F. Nonlinear dynamic behavior of a dual-rotor bearing system with coupling misalignment and rubbing faults. Meas. Sci. Technol. 2022, 34, 014005. [Google Scholar] [CrossRef]
- Yu, P.; Chen, G.; Li, L. Modal analysis strategy and nonlinear dynamic characteristics of complicated aero-engine dual-rotor system with rub-impact. Chin. J. Aeronaut. 2022, 35, 184–203. [Google Scholar] [CrossRef]
- Yu, P.; Wang, C.; Hou, L.; Chen, G. Dynamic characteristics of an aeroengine dual-rotor system with inter-shaft rub-impact. Mech. Syst. Signal Process. 2022, 166, 108475. [Google Scholar] [CrossRef]
- Wang, Y.; Markert, R.; Xiang, J.; Zheng, W. Research on variational mode decomposition and its application in detecting rub-impact fault of the rotor system. Mech. Syst. Signal Process. 2015, 60–61, 243–251. [Google Scholar] [CrossRef]
- Liu, Y.; Zhao, Y.; Li, J.; Ma, H.; Yang, Q.; Yan, X. Application of weighted contribution rate of nonlinear output frequency response functions to rotor rub-impact. Mech. Syst. Signal Process. 2020, 136, 106518. [Google Scholar] [CrossRef]
- Liu, Y.; Li, J.; Feng, K.; Zhao, Y.; Yan, X.; Ma, H. A novel fault diagnosis method for rotor rub-impact based on nonlinear output frequency response functions and stochastic resonance. J. Sound Vib. 2020, 481, 115421. [Google Scholar] [CrossRef]
- Zhang, L.; Yuan, Q.; Ma, X.; Hou, X.; Li, Z.; Zhang, J.; Wang, X. Research on rub-impact rotor vibration of hydraulic generating set based on HB-AFT method. Nonlinear Dyn. 2023, 111, 7417–7431. [Google Scholar] [CrossRef]
- Hu, A.; Xiang, L.; Zhang, Y. Experimental study on the intrawave frequency modulation characteristic of rotor rub and crack fault. Mech. Syst. Signal Process. 2019, 118, 209–225. [Google Scholar] [CrossRef]
- Taher, G.A.F.; Rabeih, E.A.; El-Mongy, H. Experimental and numerical study of lateral vibration of a rotor–stator rubbing system. Int. J. Dyn. Control 2024, 12, 3139–3154. [Google Scholar] [CrossRef]
- Kang, Y.; Cao, S.; Hou, Y.; You, Z.; Ma, Q. Analysis of backward whirl characteristics of rubbing dual-rotor systems. Acta Mech. 2023, 234, 5269–5299. [Google Scholar] [CrossRef]
- Wang, S.; Hong, L.; Jiang, J. Analytical prediction on stick-slip whirling oscillations induced by dry friction between a rotating imbalanced rotor and a flexibly supported stator. J. Sound Vib. 2021, 511, 116333. [Google Scholar] [CrossRef]
- Hou, Y.; Cao, S.; Kang, Y. Analysis of reverse whirl characteristics of a rub-impact rotor system. AIAA J. 2025, 63, 668–686. [Google Scholar] [CrossRef]
- Abdul Nasar, R.; Al-Shudeifat, M.A. Impact of rotor-stator rub-impact on post-resonance backward whirl excitation. In Proceedings of the ASME International Mechanical Engineering Congress and Exposition (IMECE 2022), Columbus, OH, USA, 30 October–3 November 2022. Volume 5: Dynamics, Vibration, and Control, paper V005T07A007, IMECE2022-95354. [Google Scholar]
- Behzad, M.; Alvandi, M. Friction-induced backward rub of rotors in non-annular clearances: Experimental observations and numerical analysis. Tribol. Int. 2020, 152, 106430. [Google Scholar] [CrossRef]
- Chu, F.; Zhang, Z. Bifurcation and chaos in a rub-impact Jeffcott rotor system. J. Sound Vib. 1998, 210, 1–18. [Google Scholar] [CrossRef]
- Chu, F.; Lu, W. Experimental observation of nonlinear vibrations in a rub-impact rotor system. J. Sound Vib. 2005, 283, 621–643. [Google Scholar] [CrossRef]
- Ma, H.; Zhao, Q.; Zhao, X.; Han, Q.; Wen, B. Dynamic characteristics analysis of a rotor–stator system under different rubbing forms. Appl. Math. Model. 2015, 39, 2392–2408. [Google Scholar] [CrossRef]
- Ma, H.; Shi, C.; Han, Q.; Wen, B. Fixed-point rubbing fault characteristic analysis of a rotor system based on contact theory. Mech. Syst. Signal Process. 2013, 38, 137–153. [Google Scholar] [CrossRef]
- Ma, H.; Shi, C.; Han, Q.; Wen, B. Dynamic characteristics analysis of a rotor system with two types of limiters. Int. J. Mech. Sci. 2014, 88, 192–201. [Google Scholar] [CrossRef]
- Prabith, K.; Krishna, I.R.P. The stability analysis of a two-spool rotor system undergoing rub-impact. Nonlinear Dyn. 2021, 104, 941–969. [Google Scholar] [CrossRef]
- Prabith, K.; Krishna, I.R.P. Response and stability analysis of a two-spool aero-engine rotor system undergoing multi-disk rub-impact. Int. J. Mech. Sci. 2022, 213, 106861. [Google Scholar] [CrossRef]
- Popprath, S.; Ecker, H. Nonlinear dynamics of a rotor contacting an elastically suspended stator. J. Sound Vib. 2007, 308, 767–784. [Google Scholar] [CrossRef]
- Chipato, E.T.; Shaw, A.D.; I Friswell, M.; Crespo, R.S. Experimental study of rotor-stator contact cycles. J. Sound Vib. 2021, 502, 116097. [Google Scholar] [CrossRef]
- Wang, S.; Hong, L.; Jiang, J. Nonsmooth behavior of sliding bifurcations in a general piecewise smooth rotor/stator rubbing system. Int. J. Bifurc. Chaos 2021, 31, 2150085. [Google Scholar] [CrossRef]
- Zhao, Q.; Liu, J.; Yuan, J.; Jiang, H.; Gao, L.; Zhu, J.; Yao, H.; Wen, B. Dynamic response analysis of dual-rotor system with rubbing fault by dimension reduction incremental harmonic balance method. Int. J. Struct. Stab. Dyn. 2022, 22, 2250150. [Google Scholar] [CrossRef]
- Trébinjac, I.; Vixège, C. Experimental analysis of the rotor stator interaction within a high pressure centrifugal compressor. J. Therm. Sci. 2002, 11, 1–9. [Google Scholar]
- Liu, D.; Hong, J. Failure analysis of backward whirl motion in an aero-engine rotor. Eng. Fail. Anal. 2021, 128, 105620. [Google Scholar] [CrossRef]





























| Geometry parameters | L1 | 200 mm |
| L2 | 600 mm | |
| L3 | 200 mm | |
| T1 | 5 mm | |
| d1 | 400 mm | |
| d2 | 380 mm | |
| d3 | 60 mm | |
| d4 | 70 mm | |
| Material parameters | Young’s modulus | 2.1 × 105 MPa |
| Density | 7800 kg/m3 | |
| Poisson’s ratio | 0.3 | |
| Finite modeling | Bearing 1 support stiffness | 1 × 107 N/m |
| Bearing 2 support stiffness | 1 × 107 N/m | |
| Bearing 1 damping | 1000 Ns/m | |
| Bearing 2 damping | 1000 Ns/m | |
| Shell elements distribution | Axial distribution number | 10 |
| Circumferential distribution number | 64 |
Disclaimer/Publisher’s Note: The statements, opinions and data contained in all publications are solely those of the individual author(s) and contributor(s) and not of MDPI and/or the editor(s). MDPI and/or the editor(s) disclaim responsibility for any injury to people or property resulting from any ideas, methods, instructions or products referred to in the content. |
© 2026 by the authors. Licensee MDPI, Basel, Switzerland. This article is an open access article distributed under the terms and conditions of the Creative Commons Attribution (CC BY) license.
Share and Cite
Liu, D.; Lu, X.; Feng, Y. Harmonic Frequency Analysis of Asynchronous Motion in a Rubbing Rotor System with Flexible Casing Constraint. Aerospace 2026, 13, 298. https://doi.org/10.3390/aerospace13030298
Liu D, Lu X, Feng Y. Harmonic Frequency Analysis of Asynchronous Motion in a Rubbing Rotor System with Flexible Casing Constraint. Aerospace. 2026; 13(3):298. https://doi.org/10.3390/aerospace13030298
Chicago/Turabian StyleLiu, Di, Xingen Lu, and Yinli Feng. 2026. "Harmonic Frequency Analysis of Asynchronous Motion in a Rubbing Rotor System with Flexible Casing Constraint" Aerospace 13, no. 3: 298. https://doi.org/10.3390/aerospace13030298
APA StyleLiu, D., Lu, X., & Feng, Y. (2026). Harmonic Frequency Analysis of Asynchronous Motion in a Rubbing Rotor System with Flexible Casing Constraint. Aerospace, 13(3), 298. https://doi.org/10.3390/aerospace13030298
