Study on Aerodynamic Characteristics of DLR-F4 Wing–Body Configuration Using Detached Eddy Method Incorporated with Fifth-Order High-Accuracy WENO/WCNS
Abstract
1. Introduction
2. DLR-F4 Model and High-Order Accuracy Computational Methods
2.1. Introduction to the DLR-F4 Model
2.2. Introduction to High-Order Accuracy Computational Methods
2.2.1. High-Order Numerical Scheme
2.2.2. SA-DES Turbulence Model
2.2.3. HLLC Approximate Riemann Solver
2.3. Generation of Computational Grids
3. Computational Results and Discussion of the DLR-F4 Wing–Body Configuration
3.1. Subsection
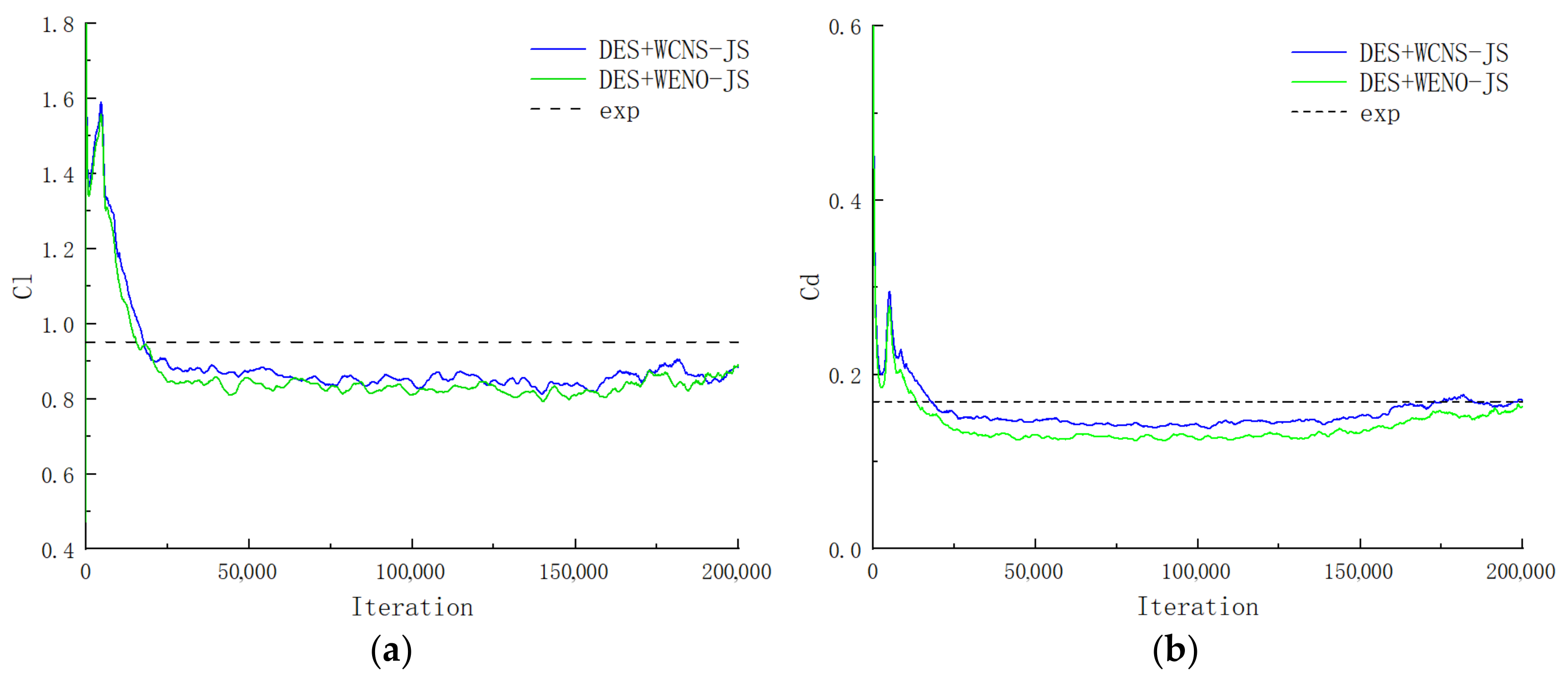
3.2. Comparative Study on High-Accuracy Schemes
3.3. Comparative Study on Different Fifth-Order WCNSs
4. Conclusions
Author Contributions
Funding
Data Availability Statement
Conflicts of Interest
References
- Yan, C.; Qu, F.; Zhao, Y.T.; Yu, J.; Wu, C.H.; Zhang, S.H. Review of development and challenges for physical modeling and numerical scheme of CFD in aeronautics and astronautics. Acta Aerodyn. Sin. 2020, 38, 829–857. [Google Scholar] [CrossRef]
- Zheng, Q.Y.; Liu, S.Y.; Liang, Y.H. Numerical simulation of flow field around DLR-F4 wing-body configuration. J. Harbin Eng. Univ. 2010, 31, 1029–1033. [Google Scholar]
- Rakowitz, M.; Eisfeld, B.; Schwamborn, D.; Sutcliffe, M. Structured and unstructured computations on the DLR-F4 wing-body configuration. J. Aircr. 2003, 40, 256–264. [Google Scholar] [CrossRef]
- Su, H. Research on Reynolds Stress Correction of RANS Model Using Machine Learning. Ph.D. Thesis, Huazhong University of Science and Technology, Wuhan, China, 2021. [Google Scholar] [CrossRef]
- Sun, Y. Study on Separated Flows Based on RANS and Hybrid RANS/LES Methods. Master’s Thesis, Huazhong University of Science and Technology, Wuhan, China, 2018. [Google Scholar]
- Zhang, L.; Li, J. Numerical simulation of supersonic base flow field based on RANS/LES method. Acta Aeronaut. Astronaut. Sin. 2017, 38, 52–63. [Google Scholar]
- Liu, B.; Li, S.Y.; Chen, J.Y.; Cheng, Q.H.; Shi, X.T. A new fifth-order WENO scheme based on mapping function. Acta Aeronaut. Astronaut. Sin. 2022, 43, 256–273. [Google Scholar]
- Yin, Z.Z.; Zhao, Q.J.; Wang, B. Numerical simulation of unsteady vortex flow field around rotor based on high-order WENO scheme. Acta Aeronaut. Astronaut. Sin. 2016, 37, 2552–2564. [Google Scholar]
- Zhang, J.H.; Chen, R.L. Numerical simulation of rotor flow field based on WENO-piecewise linear scheme. J. Nanjing Univ. Aeronaut. Astronaut. 2020, 52, 294–303. [Google Scholar] [CrossRef]
- Wang, Y.T.; Sun, Y.; Meng, D.H.; Wang, G.X. High-order accuracy numerical simulation of CRM wing/body/horizontal tail configuration. Acta Aeronaut. Astronaut. Sin. 2016, 37, 3692–3697. [Google Scholar]
- Wang, Y.T.; Meng, D.H.; Sun, Y.; Zhang, Y.L.; Li, W. High-order accuracy numerical simulation of DLR-F6/FX2B wing-body configuration. Acta Aeronaut. Astronaut. Sin. 2016, 37, 484–490. [Google Scholar]
- Wang, Y.T.; Sun, Y.; Wang, G.X.; Zhang, Y.L.; Li, W. High-order accuracy numerical simulation of DLR-F6 wing-body configuration. Acta Aeronaut. Astronaut. Sin. 2015, 36, 2923–2929. [Google Scholar]
- Li, W.; Meng, D.H.; Hong, J.W.; Li, H. Influence of grid topology on numerical simulation of DLR-F6 configuration. Acta Aeronaut. Astronaut. Sin. 2017, 38, 149–155. [Google Scholar]
- Li, Y.; Kang, S.; Fan, Z.Y.; Li, J. Numerical analysis of aerodynamic characteristics of wind turbine airfoil at full angles of attack. Acta Energiae Solaris Sin. 2012, 33, 1106–1111. [Google Scholar]
- Han, S.X.; Wu, W.C.; Chen, T.; Lu, G.Q.; Huo, S.H. Some advances in high-precision hybrid turbulence simulation methods for thermal fluid in aerospace power systems. J. Propul. Technol. 2025. Available online: https://kns.cnki.net/kcms/detail/detail.aspx?dbcode=CJFD&filename=TJJS20250423004&dbname=CAPJLAST (accessed on 5 November 2025).
- Guo, X.; Wang, L. A hybrid RANS/LES model with adaptive modeling of eddy viscosity and grid scale in OpenFOAM. Aerosp. Sci. Technol. 2025, 165, 110460. [Google Scholar] [CrossRef]
- Chen, J.Q.; Ma, Y.K.; Min, Y.B.; Zhao, Z.; He, K. Design of isomorphic hybrid solver for National Numerical Wind Tunnel (NNW) general software. Acta Aerodyn. Sin. 2020, 38, 1103–1110+1102. [Google Scholar]
- Shi, W.; Zhang, H.; Li, Y. Enhancing the resolution of blade tip vortices in hover with high-order WENO scheme and hybrid RANS–LES methods. Aerospace 2023, 10, 262. [Google Scholar] [CrossRef]
- Li, Z.; Rana, Z.A. Evaluation of Third-Order Weighted Essentially Non-Oscillatory Scheme Within Implicit Large Eddy Simulation Framework Using OpenFOAM. Aerospace 2025, 12, 108. [Google Scholar] [CrossRef]
- Li, S.; Wang, G.X.; Wang, Y.T.; Zhang, Y.L.; Deng, X.G. Application research of WCNS scheme in simulation of trapezoidal wing high-lift configuration. Acta Aerodyn. Sin. 2014, 32, 439–445. [Google Scholar]
- Shi, W.; Zhang, H.; Li, Y. IDDES investigation of rotor blade tip vortices in hovering state with tip slots. Aerospace 2023, 10, 575. [Google Scholar] [CrossRef]
- Zhuo, C.S.; Zhong, C.W.; Li, K.; Xie, J.F.; Zhang, Y. LBM numerical simulation of airfoil flow at high Reynolds number. Acta Aeronaut. Astronaut. Sin. 2010, 31, 238–243. [Google Scholar]
- Spalart, P.R.; Allmaras, S.R. A one-equation turbulence model for aerodynamic flows. Rech. Aerosp. 1994, 1, 5–21. [Google Scholar]
- Baldwin, B.; Lomax, H. Thin-layer approximation and algebraic model for separated turbulentflows. In Proceedings of the 16th Aerospace Sciences Meeting, Huntsville, AL, USA, 16 January 1978; p. 257. [Google Scholar]
- Sun, W. Assessment of advanced RANS turbulence models for prediction of complex flows in compressors. Chin. J. Aeronaut. 2023, 36, 162–177. [Google Scholar] [CrossRef]
- Zheng, Q.Y. Research on Numerical Simulation Accuracy and Parallel Computing of Complex Flows Based on Navier-Stokes Equations. Ph.D. Thesis, Xidian University, Xi’an, China, 2011. [Google Scholar]
- Yang, Y.; Ma, H. Hybrid RANS/LES study of tip leakage vortex instability and turbulence characteristics of a transonic turbine cascade. Aerosp. Sci. Technol. 2022, 128, 107758. [Google Scholar] [CrossRef]
- Luo, J.J.; Song, W.B. Nested collaborative optimization method for laminar wing and its high-lift devices. Acta Aeronaut. Astronaut. Sin. 2022, 43, 338–356. [Google Scholar]
- Park, S.H.; Kwon, O.J. Numerical study about aerodynamic interaction for coaxial rotor blades. Int. J. Aeronaut. Space Sci. 2021, 22, 277–286. [Google Scholar] [CrossRef]
- Zhang, Q.F.; Yan, P.P.; Ren, G.Y. Analysis of aerodynamic characteristics of internal carriage affected by weapon separation under supersonic conditions. In Proceedings of the 21st Academic Conference Beijing Society of Theoretical Applied Mechanics and 22nd Academic Conference Society Vibration Engineering, Beijing, China, 11 January 2015; pp. 141–149. [Google Scholar]
- Ozawa, Y.; Nonomura, T. Data assimilation of ideally expanded supersonic jet using RANS simulation for high-resolution PIV data. Aerospace 2024, 11, 14. [Google Scholar] [CrossRef]
- Chauhan, S.S.; Martins, J.R.R.A. RANS-based aerodynamic shape optimization of a wing with a propeller in front of the wingtip. In Proceedings of the 2018 AIAA/ASCE/AHS/ASC Structures, Structural Dynamics, and Materials Conference, Kissimmee, FL, USA, 8–12 January 2018. [Google Scholar] [CrossRef]






















| Name | Parameter |
|---|---|
| Half-span of the Model | 0.5586 m |
| Mean Aerodynamic Chord | 0.1412 m |
| Reference Area of the Whole Aircraft | 0.1450 m2 |
| Aspect Ratio | 9.5 |
| Leading Edge Sweep Angle | 27.1° |
| Taper Ratio | 3.9596 |
| Fuselage Length | 1.1920 m |
| Fuselage Width | 0.1484 m |
| Moment Reference Point | (x, y, z) = (0.5049, 0, 0) |
| Grid Type | Number of Grid Nodes | Number of Grid Cells | Thickness of the First Grid Layer |
|---|---|---|---|
| Coarse Grid | 1.0 × 107 | 0.99 × 107 | 0.006 |
| Medium Grid | 3.0 × 107 | 2.97 × 107 | 0.003 |
| Fine Grid | 5.01 × 107 | 4.96 × 107 | 0.001 |
| Angle of Attack | Experimental Value | DES + WCNS-JS | DES + WCNS-T | ||
|---|---|---|---|---|---|
| Calculated Value | Relative Error | Calculated Value | Relative Error | ||
| 0.9° | 0.520 | 0.516 | −0.769% | 0.494 | −5.00% |
| 4° | 0.801 | 0.761 | −4.994% | 0.768 | −4.120% |
| 7° | 0.928 | 0.850 | −8.405% | 0.836 | −9.914% |
| 9.6° | 0.952 | 0.873 | −8.298% | 0.853 | −10.399% |
| Angle of Attack | Experimental Value | DES + WCNS-JS | DES + WCNS-T | ||
|---|---|---|---|---|---|
| Calculated Value | Relative Error | Calculated Value | Relative Error | ||
| 0.9° | 0.0285 | 0.0350 | 22.807% | 0.0349 | 22.456% |
| 4° | 0.0510 | 0.0570 | 11.765% | 0.0521 | 2.157% |
| 7° | 0.105 | 0.120 | 14.286% | 0.113 | 7.619% |
| 9.6° | 0.169 | 0.161 | −4.734% | 0.153 | −9.467% |
Disclaimer/Publisher’s Note: The statements, opinions and data contained in all publications are solely those of the individual author(s) and contributor(s) and not of MDPI and/or the editor(s). MDPI and/or the editor(s) disclaim responsibility for any injury to people or property resulting from any ideas, methods, instructions or products referred to in the content. |
© 2025 by the authors. Licensee MDPI, Basel, Switzerland. This article is an open access article distributed under the terms and conditions of the Creative Commons Attribution (CC BY) license.
Share and Cite
Tu, Z.; Zhong, B.; Qi, Y.; Shi, M. Study on Aerodynamic Characteristics of DLR-F4 Wing–Body Configuration Using Detached Eddy Method Incorporated with Fifth-Order High-Accuracy WENO/WCNS. Aerospace 2026, 13, 2. https://doi.org/10.3390/aerospace13010002
Tu Z, Zhong B, Qi Y, Shi M. Study on Aerodynamic Characteristics of DLR-F4 Wing–Body Configuration Using Detached Eddy Method Incorporated with Fifth-Order High-Accuracy WENO/WCNS. Aerospace. 2026; 13(1):2. https://doi.org/10.3390/aerospace13010002
Chicago/Turabian StyleTu, Ziyang, Bowen Zhong, Yan Qi, and Mingli Shi. 2026. "Study on Aerodynamic Characteristics of DLR-F4 Wing–Body Configuration Using Detached Eddy Method Incorporated with Fifth-Order High-Accuracy WENO/WCNS" Aerospace 13, no. 1: 2. https://doi.org/10.3390/aerospace13010002
APA StyleTu, Z., Zhong, B., Qi, Y., & Shi, M. (2026). Study on Aerodynamic Characteristics of DLR-F4 Wing–Body Configuration Using Detached Eddy Method Incorporated with Fifth-Order High-Accuracy WENO/WCNS. Aerospace, 13(1), 2. https://doi.org/10.3390/aerospace13010002
