Preliminary Sizing of a Vertical-Takeoff–Horizontal-Landing TSTO Launch Vehicle Using Multidisciplinary Analysis Optimization
Abstract
1. Introduction
2. The Notional Concept of the VTHL TSTO Vehicle
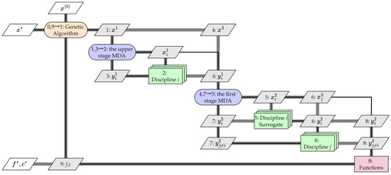
3. Multidisciplinary Analysis Method
3.1. Geometry
3.2. Propulsion
3.3. Aerodynamics
| Vehicle | Ma | Inviscid | Viscous Correction |
|---|---|---|---|
| The upper stage | >6 | Local surface inclination method [23] | Reference temperature method [24] |
| The entire vehicle/the first stage | 0~3 | Finite volume Euler method [25] | Semi-empirical method [27] |
| The entire vehicle/the first stage | >3 | Finite volume Euler method [25] | Reference temperature method [24] |
3.4. Mass
3.5. Trajectory
3.6. Stability
4. Optimization Formulation for Preliminary Sizing of the Notional Vehicle
4.1. Objective
4.2. Design Variables
4.3. Constraints
4.4. Procedure for the Optimization
5. Results and Discussions
5.1. Impacts of the First Stage’s Reusability on Sizing of the Vehicle
- Case 1: The first stage is used only once.
- Case 2: The first stage is reused 5 times.
- Case 3: The first stage is reused 10 times.
- (1)
- The dry mass and size of the upper-stage decrease;
- (2)
- The dry mass, fuselage size, and wing size of the first stage increase;
- (3)
- The velocity and altitude at the staging point increase;
- (4)
- The propellant fraction for the upper stage decreases, and the propellant fraction of the first stage increases;
- (5)
- The lift-off thrust of the first stage increases.
5.2. Impacts of Propellant Selection on Sizing of the Vehicle
- Case 4: The propellant of the first stage is kerosene.
- Case 5: The propellant of the first stage is methane.
6. Conclusions and Future Work
- (1)
- The reusability (number of reuses) of the first stage has a significant impact on the staging altitude and velocity. The increase in the reuse number usually leads to an increase in the staging altitude and velocity, consequently leading to the increases in the mass, size, and lift-off thrust of the first stage, and decreases in mass and size of the upper stage. However, if the limitations of the upper stage size and the available lift-off thrust of the first stage are considered, the staging altitude and velocity will not increase any more with the increase in the reuse number when the reuse number reaches a certain value.
- (2)
- Compared to the use of liquid hydrogen for the first stage, the use of hydrocarbon propellants has less expendable dry mass, resulting in a reduction of launch cost.
- (1)
- To improve the practicality of the MDAO method for configuration selection and preliminary sizing of the vehicle, it is suggested that a more refined launch cost model for the TSTO VTHL vehicle should be developed in future research. The cost model should consider mass penalties, refurbishment costs, or performance degradation associated with the reuse cycles. Also, engine complexity and overall system cost for different propellants should be considered in the refined cost model.
- (2)
- The fatigue strength requirements under repeated use may influence the structural mass of the first stage.
- (3)
- To improve robustness of the optimization results, the uncertainties in the mass, aerodynamics, and engine estimation models should be considered. This will lead to the study on preliminary sizing of the TSTO VTHL vehicle using uncertainty-based multidisciplinary analysis and optimization.
Author Contributions
Funding
Data Availability Statement
Conflicts of Interest
Abbreviations
| GLOW | Gross lift-off weight |
| HTHL | Horizontal takeoff–horizontal landing |
| LEO | Low earth orbit |
| MDA | Multidisciplinary analysis |
| MDO | Multidisciplinary optimization |
| MDAO | Multidisciplinary analysis optimization |
| MER | Mass estimation relationship |
| RLV | Reusable launch vehicle |
| TPS | Thermal protection system |
| TSTO | Two-stage-to-orbit |
| VTVL | Vertical takeoff–vertical landing |
| VTHL | Vertical takeoff–horizontal landing |
| XDSM | Extended design structure matrix |
| Notations | |
| β | Sideslip angle |
| Wing taper ratio | |
| Mid-chord sweep angle | |
| c.g. | Center of gravity |
| CL | Lift coefficient |
| Cl | Rolling moment coefficient |
| Cm | Pitching moment coefficient |
| Cn | Directional moment coefficient |
| Dbe | Equivalent body diameter |
| EM | Expendable dry mass |
| Isp,sl | The specific impulse at sea level |
| Isp,vac | The specific impulse in vacuum |
| Lb | Body length |
| Ma | Mach number |
| Qmax | Maximum dynamic pressure |
| Sbtot | Body wetted surface area |
| Sref | Reference wing area |
| Swfv | Vertical stabilizer planform area |
| t/c | Wing thickness to chord ratio |
| Wb | Body mass |
| Ww | Wing mass |
| Wfinv | Vertical tail mass |
| Wgear | Landing gear mass |
| Wgtot | Total gross mass |
References
- Maddock, C.A.; Ricciardi, L.; West, M.; West, J.; Kontis, K.; Rengarajan, S.; Evans, D.; Milne, A.; McIntyre, S. Conceptual Design Analysis for a Two-Stage-to-Orbit Semi-Reusable Launch System for Small Satellites. Acta Astronaut. 2018, 152, 782–792. [Google Scholar] [CrossRef]
- Dissel, A.F.; Kothari, A.P.; Lewis, M.J. Comparison of Horizontally and Vertically Launched Airbreathing and Rocket Vehicles. J. Spacecr. Rocket. 2006, 43, 161–169. [Google Scholar] [CrossRef]
- Seedhouse, E. Falcon 9 and falcon heavy. In SpaceX: Starship to Mars—The first 20 Years; Springer International Publishing: Cham, Switzerland, 2022; pp. 71–93. [Google Scholar]
- Brendel, E.; Hérissé, B.; Bourgeois, E. Optimal Guidance for Toss Back Concepts of Reusable Launch Vehicles. In Proceedings of the 8th European Conference for Aeronautics and Aerospace Sciences, Madrid, Spain, 31 July 2019. [Google Scholar]
- Balesdent, M.; Brevault, L. Multidisciplinary Design and Optimization of Winged Architectures for Reusable Launch Vehicles. Acta Astronaut. 2023, 211, 97–115. [Google Scholar] [CrossRef]
- Adams, J.; Hampsten, K.; Hickman, R. ARES: Affordable Responsive Spacelift—The U. S. Air Force’s Next Generation Launch System. In Proceedings of the Space 2005, Long Beach, CA, USA, 30 August–1 September 2005. [Google Scholar]
- Quashne, M.; Cunningham, T.; Sibal, A. Affordable Responsive Spacelift Vehicle Payload Placement Stability Analysis. In Proceedings of the 46th AIAA Aerospace Sciences Meeting and Exhibit, Reno, NV, USA, 7–10 January 2008. [Google Scholar]
- Wierzbanowski, S.; Ramasubramanian, V. The DARPA Experimental Spaceplane Program (XSP): Observations, Findings, and Recommendations for Future Reusable Launch Systems. In Proceedings of the ASCEND 2020, Virtual, 16–18 November 2020. [Google Scholar]
- Stappert, S.; Wilken, J. European next Reusable Ariane (ENTRAIN): A Multidisciplinary Study on a VTVL and a VTHL Booster Stage. In Proceedings of the 70th International Astronautical Congress, Washington, DC, USA, 21–25 October 2019. [Google Scholar]
- Sippel, M.; Bussler, L.; Krause, S.; Cain, S.; Stappert, S. Bringing Highly Efficient RLV-Return Mode “In-Air-Capturing” to Reality. In Proceedings of the HiSST: International Conference on High-Speed Vehicle Science Technology, Moscow, Russia, 26–29 November 2018. [Google Scholar]
- Simon, S.; Chudoba, B. Conceptual Design and Sizing Study of Reusable TSTO Launch System. In Proceedings of the ASCEND 2021, Las Vegas, NV, USA, 15–17 November 2021. [Google Scholar]
- Hank, J.; Franke, M.; Eklund, D. TSTO Reusable Launch Vehicles Using Airbreathing Propulsion. In Proceedings of the 42nd AIAA/ASME/SAE/ASEE Joint Propulsion Conference & Exhibit, Sacramento, CA, USA, 9–12 July 2006. [Google Scholar]
- Kothari, A.; Livingston, J.; Tarpley, C.; Raghavan, V.; Bowcutt, K.; Smith, T. Rocket Based Combined Cycle Hypersonic Vehicle Design for Orbital Access. In Proceedings of the 17th AIAA International Space Planes and Hypersonic Systems and Technologies Conference, San Francisco, CA, USA, 11–14 April 2011. [Google Scholar]
- Ciampa, P.D.; Nagel, B. AGILE Paradigm: The next Generation Collaborative MDO for the Development of Aeronautical Systems. Prog. Aerosp. Sci. 2020, 119, 100643. [Google Scholar] [CrossRef]
- Hosseini, S.; Vaziry-Zanjany, M.A.; Ovesy, H.R. A Framework for Aircraft Conceptual Design and Multidisciplinary Optimization. Aerospace 2024, 11, 273. [Google Scholar] [CrossRef]
- Castellini, F. Multidisciplinary Design Optimization for Expendable Launch Vehicles. Ph.D. Thesis, Politecnico di Milano, Milano, Italy, 2012. [Google Scholar]
- Dresia, K.; Jentzsch, S.; Waxenegger-Wilfing, G.; Santos Hahn, R.D.; Deeken, J.; Oschwald, M.; Mota, F. Multidisciplinary Design Optimization of Reusable Launch Vehicles for Different Propellants and Objectives. J. Spacecr. Rocket. 2021, 58, 1017–1029. [Google Scholar] [CrossRef]
- Musso, G.; Figueiras, I.; Goubel, H.; Gonçalves, A.; Costa, A.L.; Ferreira, B.; Azeitona, L.; Barata, S.; Souza, A.; Afonso, F.; et al. A Multidisciplinary Optimization Framework for Ecodesign of Reusable Microsatellite Launchers. Aerospace 2024, 11, 126. [Google Scholar] [CrossRef]
- Viviani, A.; Aprovitola, A.; Iuspa, L.; Pezzella, G. Aeroshape Design of Reusable Re-Entry Vehicles by Multidisciplinary Optimization and Computational Fluid Dynamics. Aerosp. Sci. Technol. 2020, 105, 106029. [Google Scholar] [CrossRef]
- Brevault, L.; Balesdent, M.; Hebbal, A.; Patureau De Mirand, A. Surrogate Model-Based Multi-Objective MDO Approach for Partially Reusable Launch Vehicle Design. In Proceedings of the AIAA SciTech 2019 Forum, San Diego, CA, USA, 7–11 January 2019. [Google Scholar]
- McBride, B.J.; Gordon, S. Computer Program for Calculation of Complex Chemical Equilibrium Compositions and Applications II. Users Manual and Program Description; Report NASA-RP-1311; NASA: Washington, DC, USA, 1996. [Google Scholar]
- United States Committee on Extension to the Standard Atmosphere. U.S. Standard Atmosphere; National Oceanic and Atmospheric Administration, NASA, United States Air Force: Washington, DC, USA, 1976. [Google Scholar]
- Anderson, J.D. Hypersonic and High Temperature Gas Dynamics; American Institute of Aeronautics and Astronautics: Reston, VA, USA, 2000. [Google Scholar]
- Eckert, E.R.G. Engineering Relations for Heat Transfer and Friction in High-Velocity Laminar and Turbulent Boundary-Layer Flow Over Surfaces with Constant Pressure and Temperature. J. Fluids Eng. 1956, 78, 1273–1283. [Google Scholar] [CrossRef]
- Lyu, F.; Li, Z.; Deng, J.; Xiao, T.; Yu, X.Q. An Aerodynamic Analysis Tool for Aircraft Conceptual Design at Full Speed Range. Acta Aerodyn. Sin. 2017, 35, 625–632. (In Chinese) [Google Scholar]
- Aftosmis, M.; Berger, M.; Adomavicius, G. A Parallel Multilevel Method for Adaptively Refined Cartesian Grids with Embedded Boundaries. In Proceedings of the 38th Aerospace Sciences Meeting and Exhibit, Reno, NV, USA, 10–13 January 2000. [Google Scholar]
- Cummings, R.M.; Mason, W.H.; Morton, S.A.; McDaniel, D.R. Applied Computational Aerodynamics: A Modern Engineering Approach; Cambridge University Press: Cambridge, UK, 2015. [Google Scholar]
- Yondo, R.; Andrés, E.; Valero, E. A Review on Design of Experiments and Surrogate Models in Aircraft Real-Time and Many-Query Aerodynamic Analyses. Prog. Aerosp. Sci. 2018, 96, 23–61. [Google Scholar] [CrossRef]
- Edberg, D.; Costa, W. Design of Rockets and Space Launch Vehicles; American Institute of Aeronautics and Astronautics: Reston, VA, USA, 2020. [Google Scholar]
- Akin, D.L. Mass Estimating Relations. 2016. Available online: https://spacecraft.ssl.umd.edu/academics/791S16/791S16L08.MERsx.pdf (accessed on 14 January 2025).
- Harloff, G.J.; Berkowitz, B.M. HASA-Hypersonic Aerospace Sizing Analysis for the Preliminary Design of Aerospace Vehicles; Report NASA-CR-182226; NASA: Washington, DC, USA, 1988. [Google Scholar]
- Williams, S.D.; Curry, D.M. Thermal Protection Materials: Thermophysical Property Data; Report NASA-RP-1289; NASA: Washington, DC, USA, 1992. [Google Scholar]
- Ordaz, I. A Probabilistic and Multi-Objective Conceptual Design Methodology for the Evaluation of Thermal Management Systems on Air-Breathing Hypersonic Vehicles. Ph.D. Thesis, Georgia Institute of Technology, Atlanta, GA, USA, 2008. [Google Scholar]
- Torenbeek, E. Synthesis of Subsonic Airplane Design; Delft University Press: Delft, NL, USA, 1982. [Google Scholar]
- Patterson, M.A.; Rao, A.V. GPOPS-II: A MATLAB Software for Solving Multiple-Phase Optimal Control Problems Using Hp-Adaptive Gaussian Quadrature Collocation Methods and Sparse Nonlinear Programming. ACM Trans. Math. Softw. 2014, 41, 1–37. [Google Scholar] [CrossRef]
- Nicolai, L.; Carichner, G. Fundamentals of Aircraft and Airship Design Volume I-Aircraft Design; American Institute of Aeronautics and Astronautics: Reston, VA, USA, 2010. [Google Scholar]
- Raymer, D.P. Aircraft Design: A Conceptual Approach; American Institute of Aeronautics and Astronautics: Reston, VA, USA, 2018. [Google Scholar]
- Martins, J.R.R.A.; Lambe, A.B. Multidisciplinary Design Optimization: A Survey of Architectures. AIAA J. 2013, 51, 2049–2075. [Google Scholar] [CrossRef]
- Deb, K.; Jain, H. An evolutionary many-objective optimization algorithm using reference-point-based nondominated sorting approach, part I: Solving problems with box constraints. IEEE Trans. Evol. Comput. 2013, 18, 577–601. [Google Scholar] [CrossRef]
- List of Falcon 9 First Stage Boosters. Available online: https://en.wikipedia.org/wiki/List_of_Falcon_9_first-stage_boosters (accessed on 28 March 2025).
- Patureau de Mirand, A.; Bahu, J.-M.; Gogdet, O. Ariane Next, a Vision for the next Generation of Ariane Launchers. Acta Astronaut. 2020, 170, 735–749. [Google Scholar] [CrossRef]













| Vehicle | Parameter | Value | Parameter | Value |
|---|---|---|---|---|
| The upper stage | Diameter | 2 m | Length | 12 m |
| The first stage | Diameter | 3 m | Length | 24 m |
| The first stage | Wingspan | 16 m | Wing root chord | 16 m |
| Specific Impulse | The First Stage (LH2) | The Upper Stage (LH2) | The First Stage (RP1) | The First Stage (CH4) | Units |
|---|---|---|---|---|---|
| Isp_vac | 409 | 452 | 320 | 324 | s |
| Isp_sl | 382 | 282 | 299 | 302 | s |
| Design Variable | Lower Bound | Upper Bound | Unit | |
|---|---|---|---|---|
| The upper stage | Diameter (x1) | 1.6 | 2.4 | m |
| Length (x2) | 8 | 15 | m | |
| The first stage | Diameter (x3) | 2.4 | 3.4 | m |
| Length (x4) | 16 | 27 | m | |
| Taper ratio of inner wing (x5) | 0.25 | 0.45 | - | |
| Taper ratio of outer wing (x6) | 0.25 | 0.45 | - | |
| Semi-span of inner wing (x7) | 2.5 | 4 | m | |
| Semi-span of outer wing (x8) | 3.5 | 6 | m | |
| Root chord ratio of inner wing (x9) | 0.55 | 0.8 | - | |
| Span of vertical tail (x10) | 2.5 | 5 | m | |
| Staging point | Altitude (x11) | 40 | 80 | km |
| Mach number (x12) | 6 | 14 | - | |
| Engine | Lift-off thrust (x13) | 800 | 1400 | kN |
| Constraint | Lower Bound | Upper Bound | Unit |
|---|---|---|---|
| Length margin of the upper stage | 0 | - | m |
| Length margin of the first stage | 0 | - | m |
| Landing distance | - | 1800 | m |
| Longitudinal static stability | - | 0 | - |
| Directional static stability | 0 | - | - |
| Lateral static stability | - | 0 | - |
| Altitude at the orbit | 200 | 200 | km |
| Velocity at the orbit | 7900 | 8100 | m/s |
| Design Variable | Baseline | Case 1 | Case 2 | Case 3 | Unit |
|---|---|---|---|---|---|
| Diameter of the upper stage (x1) | 2 | 1.98 | 1.64 | 1.61 | m |
| Length of the upper stage (x2) | 12 | 13.1 | 10.9 | 8.68 | m |
| Diameter of the first stage (x3) | 3 | 3.02 | 3.10 | 3.26 | m |
| Length of the first stage (x4) | 24 | 18.6 | 21.5 | 24.55 | m |
| Taper ratio of inner wing (x5) | 0.35 | 0.334 | 0.270 | 0.344 | - |
| Taper ratio of outer wing (x6) | 0.4 | 0.295 | 0.370 | 0.320 | - |
| Semi-span of inner wing (x7) | 3.2 | 2.68 | 3.17 | 2.79 | m |
| Semi-span of outer wing (x8) | 4.8 | 3.96 | 4.06 | 4.86 | m |
| Root chord ratio of inner wing (x9) | 66.7% | 60.2% | 61.9% | 58.6% | - |
| Span of vertical tail (x10) | 3.5 | 4.37 | 4.00 | 4.04 | m |
| Altitude at staging point (x11) | 50 | 44.9 | 58.4 | 60.9 | km |
| Ma number at staging point (x12) | 8 | 6.21 | 9.64 | 12.0 | - |
| Lift-off thrust (x13) | 1200 | 809 | 930 | 1090 | kN |
| Mass | Baseline | Case 1 | Case 2 | Case 3 | Unit | |
|---|---|---|---|---|---|---|
| The upper stage | Gross mass | 11.42 | 12.92 | 8.51 | 6.61 | t |
| Propellant mass | 8.04 | 9.40 | 5.53 | 3.88 | t | |
| Propellant fraction | 70.4% | 72.8% | 65.0% | 58.7% | - | |
| Dry mass | 2.02 | 2.16 | 1.62 | 1.37 | t | |
| The first stage | Gross mass | 64.10 | 52.99 | 57.79 | 68.3 | t |
| Propellant mass | 40.04 | 30.90 | 38.72 | 49.3 | t | |
| Propellant fraction | 62.5% | 58.3% | 67.0% | 72.1% | - | |
| Dry mass | 12.64 | 9.18 | 10.56 | 12.5 | t | |
| The entire vehicle | Dry mass | 14.66 | 11.34 | 12.18 | 13.8 | t |
| Objective (EM) | 14.66 | 11.34 | 3.73 | 2.62 | t | |
| Ma | Case | |||
|---|---|---|---|---|
| 0.8 | 3 | −0.466 | 0.002 | −0.0015 |
| 4 | −0.410 | 0.0029 | −0.0022 | |
| 5 | −0.465 | 0.003 | −0.0020 | |
| 6 | 3 | −0.300 | 0.0009 | −0.0006 |
| 4 | −0.206 | 0.0002 | −0.0006 | |
| 5 | −0.187 | 0.0003 | −0.0004 |
| Design Variable | Case 3 (LH2) | Case 4 (Kerosene) | Case 5 (Methane) | Unit |
|---|---|---|---|---|
| Diameter of the upper stage (x1) | 1.61 | 1.60 | 1.60 | m |
| Length of the upper stage (x2) | 8.68 | 8.11 | 9.01 | m |
| Diameter of the first stage (x3) | 3.26 | 2.83 | 2.89 | m |
| Length of the first stage (x4) | 24.55 | 17.6 | 20.4 | m |
| Taper ratio of inner wing (x5) | 0.344 | 0.379 | 0.261 | - |
| Taper ratio of outer wing (x6) | 0.320 | 0.251 | 0.251 | - |
| Semi-span of inner wing (x7) | 2.79 | 3.13 | 3.08 | m |
| Semi-span of outer wing (x8) | 4.86 | 3.72 | 3.71 | m |
| Root chord ratio of inner wing (x9) | 58.6% | 64.2% | 73.0% | - |
| Span of vertical tail (x10) | 4.04 | 4.28 | 4.68 | m |
| Altitude at staging point (x11) | 60.9 | 63.1 | 60.0 | km |
| Ma number at staging point (x12) | 12.0 | 13.1 | 11.96 | - |
| Lift-off thrust (x13) | 1090 | 1239 | 1212 | kN |
| Mass | Case 3 (LH2) | Case 4 (Kerosene) | Case 5 (Methane) | Unit | |
|---|---|---|---|---|---|
| The upper stage | Gross mass | 6.61 | 6.02 | 6.65 | t |
| Propellant mass | 3.88 | 3.36 | 3.91 | t | |
| Propellant fraction | 58.7% | 55.9% | 58.7% | - | |
| Dry mass | 1.37 | 1.30 | 1.39 | t | |
| The first stage | Gross mass | 68.3 | 79.0 | 76.4 | t |
| Propellant mass | 49.3 | 69.2 | 66.0 | t | |
| Propellant fraction | 72.1% | 87.6% | 86.4% | - | |
| Dry mass | 12.5 | 9.75 | 10.41 | t | |
| The entire vehicle | Gross mass | 68.3 | 85.0 | 83.0 | t |
| Dry mass | 13.8 | 11.0 | 11.80 | t | |
| Objective (EM) | 2.62 | 2.27 | 2.43 | t | |
Disclaimer/Publisher’s Note: The statements, opinions and data contained in all publications are solely those of the individual author(s) and contributor(s) and not of MDPI and/or the editor(s). MDPI and/or the editor(s) disclaim responsibility for any injury to people or property resulting from any ideas, methods, instructions or products referred to in the content. |
© 2025 by the authors. Licensee MDPI, Basel, Switzerland. This article is an open access article distributed under the terms and conditions of the Creative Commons Attribution (CC BY) license (https://creativecommons.org/licenses/by/4.0/).
Share and Cite
Xu, X.; Fang, X.; Yu, X. Preliminary Sizing of a Vertical-Takeoff–Horizontal-Landing TSTO Launch Vehicle Using Multidisciplinary Analysis Optimization. Aerospace 2025, 12, 567. https://doi.org/10.3390/aerospace12070567
Xu X, Fang X, Yu X. Preliminary Sizing of a Vertical-Takeoff–Horizontal-Landing TSTO Launch Vehicle Using Multidisciplinary Analysis Optimization. Aerospace. 2025; 12(7):567. https://doi.org/10.3390/aerospace12070567
Chicago/Turabian StyleXu, Xiaoyu, Xinrui Fang, and Xiongqing Yu. 2025. "Preliminary Sizing of a Vertical-Takeoff–Horizontal-Landing TSTO Launch Vehicle Using Multidisciplinary Analysis Optimization" Aerospace 12, no. 7: 567. https://doi.org/10.3390/aerospace12070567
APA StyleXu, X., Fang, X., & Yu, X. (2025). Preliminary Sizing of a Vertical-Takeoff–Horizontal-Landing TSTO Launch Vehicle Using Multidisciplinary Analysis Optimization. Aerospace, 12(7), 567. https://doi.org/10.3390/aerospace12070567

