Adaptive Sequential Infill Sampling Method for Experimental Optimization with Multi-Fidelity Hamilton Kriging Model
Abstract
1. Introduction
2. Experimental Optimization Based on Multi-Fidelity Hamiltonian Kriging
2.1. Framework of Multi-Fidelity Surrogate-Based Experiment Optimization
2.2. Initial Sample Experiments
2.3. Multi-Fidelity Hamilton Kriging Model
2.4. Sequential Infill Sampling Strategy
2.5. Performance Criteria
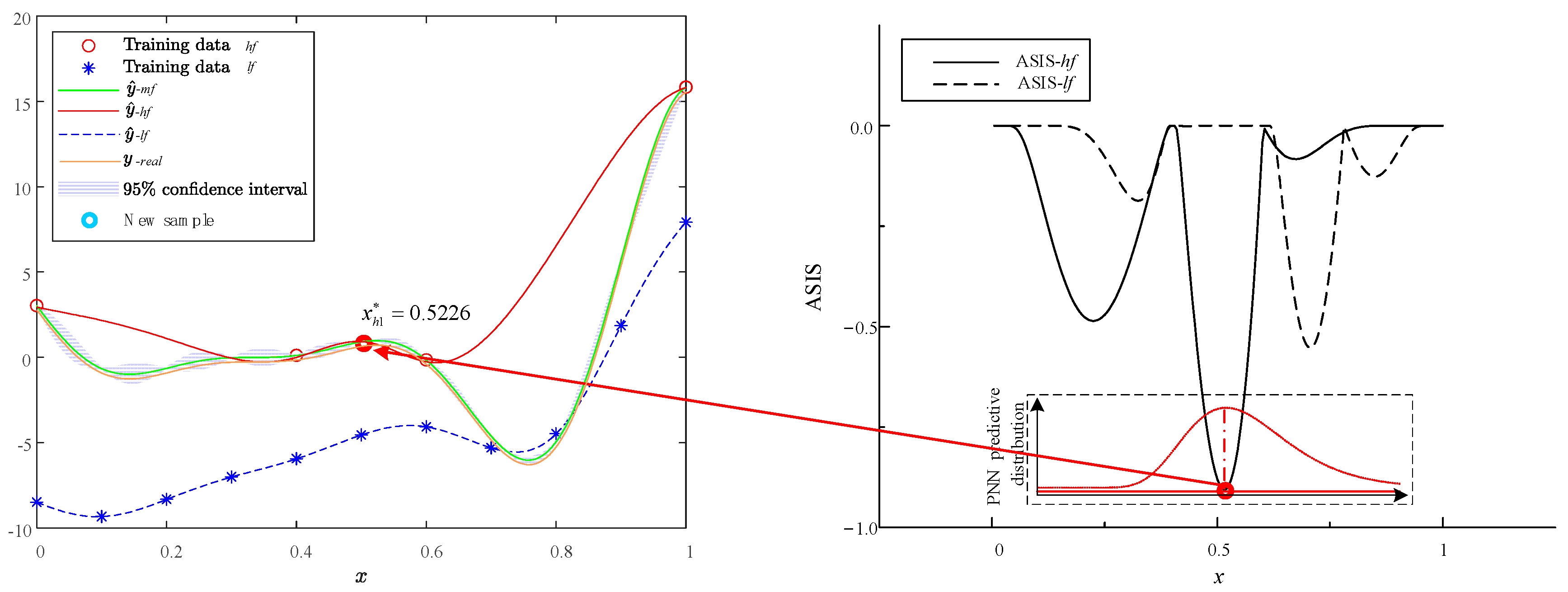
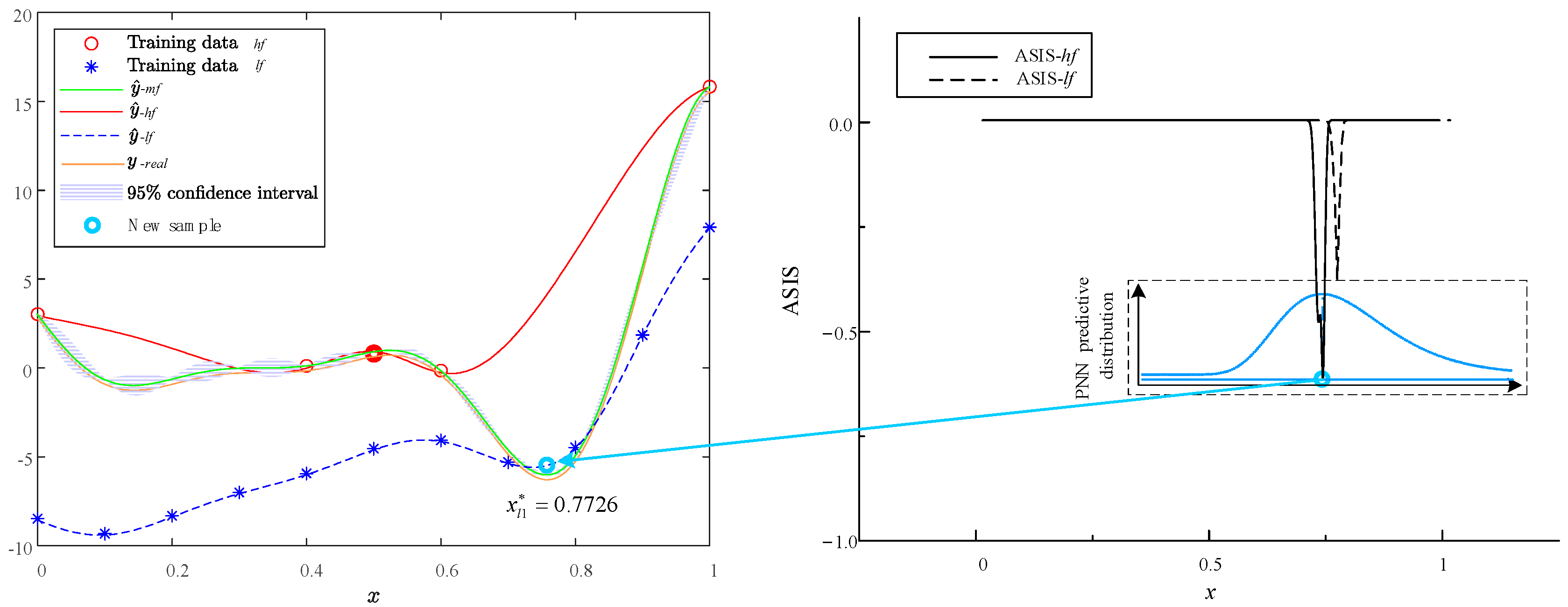
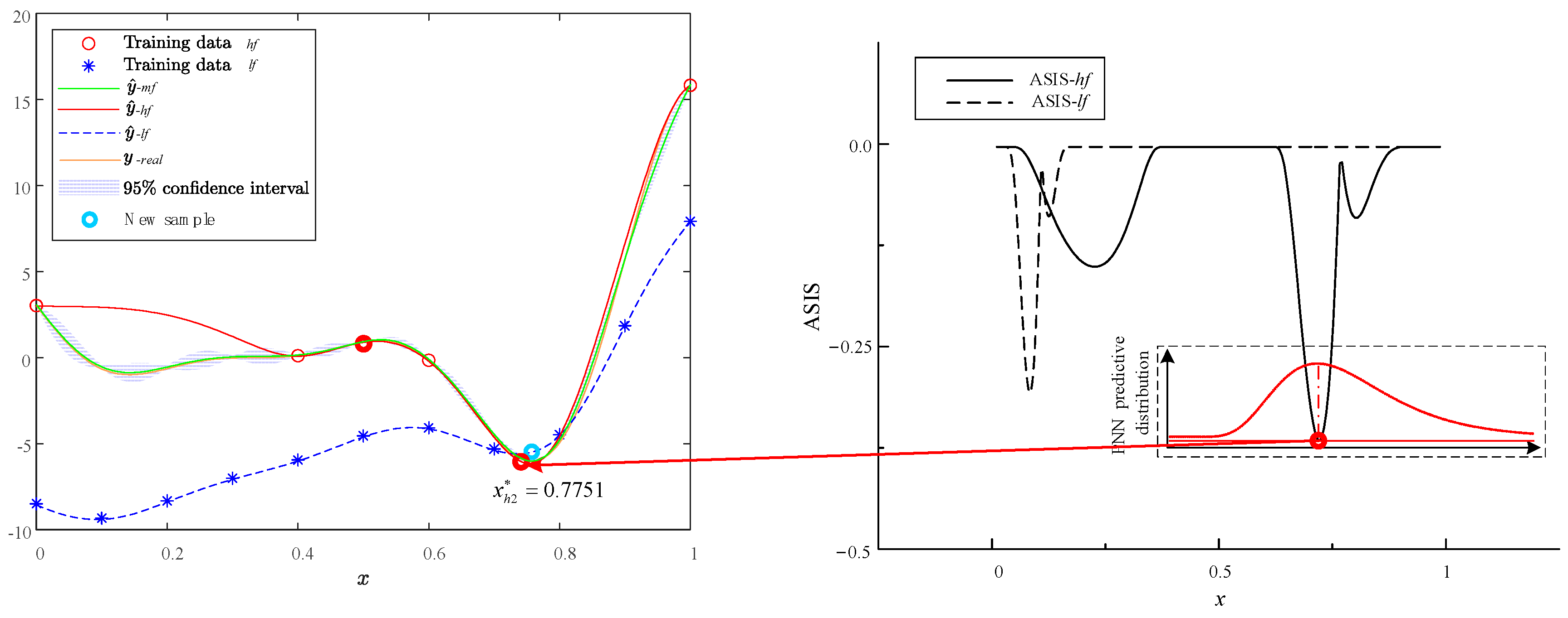
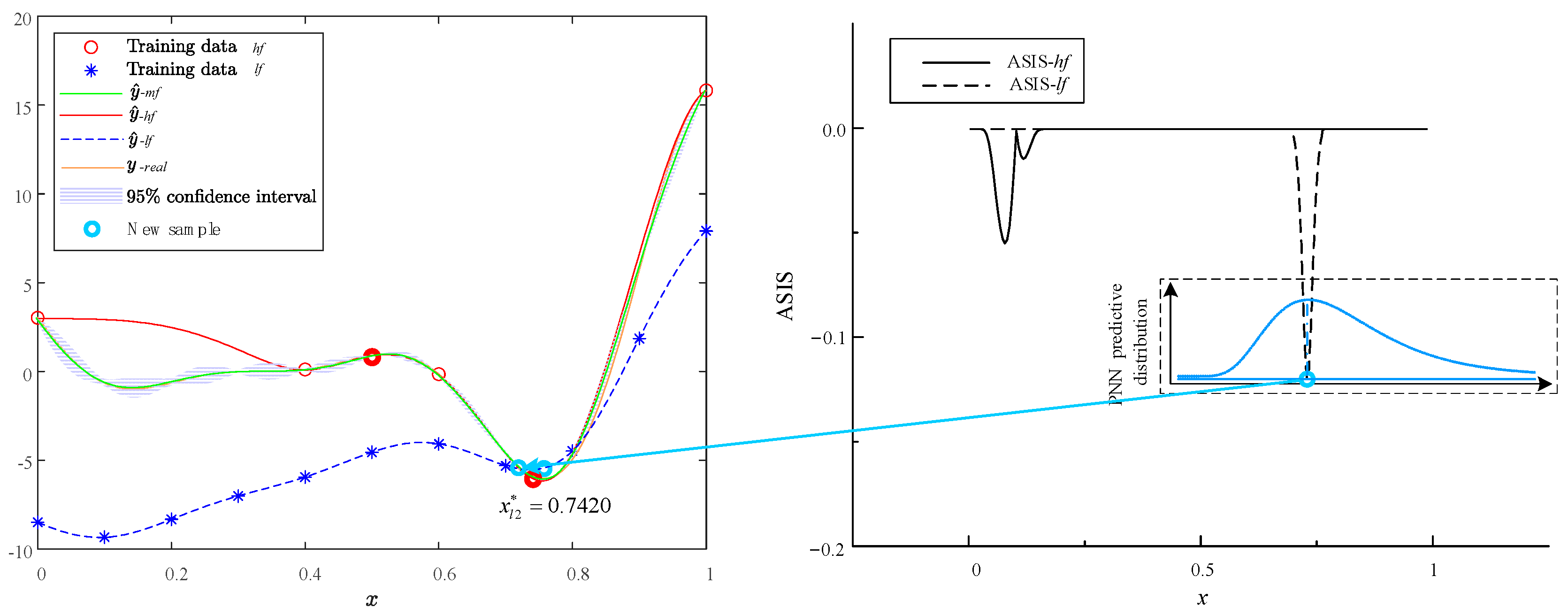
3. Adaptive Sequential Infill Sampling Strategy for MHK
3.1. Definition of Multi-Fidelity Infill Sampling Strategy
3.2. Probabilistic Nearest Neighborhood
3.3. Adaptive Sequential Infill Sampling Strategy
- Let represent a partition of the sample space . For any event A, it follows that
- Assume for , and ; then, the prediction of the posterior predictive distribution can be calculated asWith the prediction of MHK as (10), we can calculate the predictive distribution of any fidelity:And with the help of (24),The predictive distribution of any infill sample can be expressed asBy substituting Equations (27) and (28) into Equation (18), it is possible to obtain a similar structural representation:
4. Results and Discussion
4.1. Forrestal Function
4.2. Rosebrock Function
4.3. Naca 0012 Airfoil Validation
5. Conclusions
- (1)
- The Adaptive Sequential Infill Sampling strategy is an advancement of the Best Neighborhood-based Kriging infill method, specifically designed for the optimization of multi-fidelity experiments. This strategy effectively balances accuracy and efficiency in sequential experimental optimization by employing a Probabilistic Neural Network (PNN)-enhanced expected improvement (EI) methodology. Both numerical analyses and practical applications demonstrate the effectiveness of the proposed approach.
- (2)
- The Adaptive Sequential Infill Sampling strategy is an infill strategy that is used for experimental optimization error prediction. In order to balance the exploration between multi-fidelity models, a Probability Nearest Neighborhood method is used not only for error distribution prediction, but also for criteria optimization. Consequently, the ASIS framework delivers a robust estimate of errors throughout the sequential optimization process.
- (3)
- The Adaptive Sequential Infill Sampling strategy demonstrates greater utility and cost-effectiveness for multi-fidelity sequential infill sampling compared to certain advanced infill strategies. This is primarily due to its capability to compute posterior predictive distributions, which enhances the estimation of sampling errors in neighboring samples. Moreover, the application of PNN for predictions based on specified error sampling enables the utilization of fewer high-fidelity data points while still meeting the required root-mean-square error (RMSE) criteria.
Author Contributions
Funding
Data Availability Statement
Conflicts of Interest
Appendix A
Appendix B
Appendix C
References
- Lei, B.; Kirk, T.Q.; Bhattacharya, A.; Pati, D.; Qian, X.; Arroyave, R.; Mallick, B.K. Bayesian optimization with adaptive surrogate models for automated experimental design. npj Comput. Mater. 2021, 7, 194. [Google Scholar] [CrossRef]
- Samadian, D.; Muhit, I.B.; Dawood, N. Application of Data-Driven Surrogate Models in Structural Engineering: A Literature Review. Arch. Comput. Methods Eng. 2025, 32, 735–784. [Google Scholar] [CrossRef]
- Zanobini, A.; Sereni, B.; Catelani, M.; Ciani, L. Repeatability and Reproducibility techniques for the analysis of measurement systems. Measurement 2016, 86, 125–132. [Google Scholar] [CrossRef]
- Kuhn, D.R.; Reilly, M.J. An investigation of the applicability of design of experiments to software testing. In Proceedings of the 27th Annual NASA Goddard/IEEE Software Engineering Workshop, Greenbelt, MD, USA, 5–6 December 2002; pp. 91–95. [Google Scholar]
- Fang, K.-T.; Lin, D.K.J.; Winker, P.; Zhang, Y. Uniform Design: Theory and Application. Technometrics 2000, 42, 237–248. [Google Scholar] [CrossRef]
- Park, J.-S. Optimal Latin-hypercube designs for computer experiments. J. Stat. Plan. Inference 1994, 39, 95–111. [Google Scholar] [CrossRef]
- Davis, S.E.; Cremaschi, S.; Eden, M.R. Efficient Surrogate Model Development: Impact of Sample Size and Underlying Model Dimensions. In Computer Aided Chemical Engineering; Eden, M.R., Ierapetritou, M.G., Towler, G.P., Eds.; Elsevier: Amsterdam, The Netherlands, 2018; pp. 979–984. [Google Scholar]
- Fernandez-Godino, M.G.; Haftka, R.T.; Balachandar, S.; Gogu, C.; Bartoli, N.; Dubreuil, S. Noise Filtering and Uncertainty Quantification in Surrogate based Optimization. In Proceedings of the 2018 AIAA Non-Deterministic Approaches Conference, Kissimmee, FL, USA, 8–12 January 2018; American Institute of Aeronautics and Astronautics: Reston, VA, USA, 2018. [Google Scholar] [CrossRef]
- Cheng, K.; Lu, Z.; Ling, C.; Zhou, S. Surrogate-assisted global sensitivity analysis: An overview. Struct. Multidiscip. Optim. 2020, 61, 1187–1213. [Google Scholar] [CrossRef]
- Myers, R.H.; Montgomery, D.C. Response Surface Methodology. IIE Trans. 1996, 28, 1031–1032. [Google Scholar] [CrossRef]
- Xiu, D.; Karniadakis, G.E. Modeling uncertainty in flow simulations via generalized polynomial chaos. J. Comput. Phys. 2003, 187, 137–167. [Google Scholar] [CrossRef]
- Krige, D.G. A statistical approach to some basic mine valuation problems on the Witwatersrand. J. S. Afr. Inst. Min. Metall. 1951, 52, 119–139. [Google Scholar]
- Regis, R.G.; Shoemaker, C.A. Constrained Global Optimization of Expensive Black Box Functions Using Radial Basis Functions. J. Glob. Optim. 2005, 31, 153–171. [Google Scholar] [CrossRef]
- Mangasarian, O.L.; Musicant, D.R. Robust linear and support vector regression. IEEE Trans. Pattern Anal. Mach. Intell. 2000, 22, 950–955. [Google Scholar] [CrossRef]
- Weinmeister, J.; Gao, X.; Roy, S. Analysis of a Polynomial Chaos-Kriging Metamodel for Uncertainty Quantification in Aerodynamics. AIAA J. 2019, 57, 2280–2296. [Google Scholar] [CrossRef]
- Dwight, R.; Han, Z.-H. Efficient Uncertainty Quantification Using Gradient-Enhanced Kriging. In Proceedings of the 50th AIAA/ASME/ASCE/AHS/ASC Structures, Structural Dynamics, and Materials Conference, Palm Springs, CA, USA, 4–7 May 2009; American Institute of Aeronautics and Astronautics: Reston, VA, USA, 2009. [Google Scholar] [CrossRef]
- Han, Z.; Zimmermann, R.; Goertz, S. On improving Efficiency and Accuracy of Variable-Fidelity Surrogate Modeling in Aero-data for Loads Context. In Proceedings of the European Air and Space Conference, Manchester, UK, 26–29 October 2009; Royal Aeronautical Society: London, UK, 2009. [Google Scholar]
- Kennedy, M.C.; O’Hagan, A. Predicting the output from a complex computer code when fast approximations are available. Biometrika 2000, 87, 1–13. [Google Scholar] [CrossRef]
- Forrester, A.I.J.; Sóbester, A.; Keane, A.J. Multi-fidelity optimization via surrogate modelling. Proc. R. Soc. A Math. Phys. Eng. Sci. 2007, 463, 3251–3269. [Google Scholar] [CrossRef]
- Han, Z.-H.; Görtz, S. Hierarchical Kriging Model for Variable-Fidelity Surrogate Modeling. AIAA J. 2012, 50, 1885–1896. [Google Scholar] [CrossRef]
- Han, Z.-H.; Görtz, S.; Zimmermann, R. Improving variable-fidelity surrogate modeling via gradient-enhanced kriging and a generalized hybrid bridge function. Aerosp. Sci. Technol. 2013, 25, 177–189. [Google Scholar] [CrossRef]
- Zhang, S.; Ma, J. Applied Hamiltonian Monte Carlo for multi-fidelity kriging modelling in experiment optimization. Eng. Optim. 2025, 1–33. [Google Scholar] [CrossRef]
- Wilson, J.; Hutter, F.; Deisenroth, M. Maximizing acquisition functions for Bayesian optimization. In Proceedings of the Thirty-Second Annual Conference on Neural Information Processing Systems (NIPS), San Diego, CA, USA, 2–8 December 2018. [Google Scholar]
- Kushner, H.J. A New Method of Locating the Maximum Point of an Arbitrary Multipeak Curve in the Presence of Noise. J. Basic Eng. 1964, 86, 97–106. [Google Scholar] [CrossRef]
- Ghoreyshi, M.; Badcock, K.J.; Woodgate, M.A. Accelerating the Numerical Generation of Aerodynamic Models for Flight Simulation. J. Aircr. 2009, 46, 972–980. [Google Scholar] [CrossRef]
- Hertz-Picciotto, I.; Rockhill, B. Validity and Efficiency of Approximation Methods for Tied Survival Times in Cox Regression. Biometrics 1997, 53, 1151–1156. [Google Scholar] [CrossRef]
- Currin, C.; Mitchell, T.; Morris, M.; Ylvisaker, D. Bayesian Prediction of Deterministic Functions, with Applications to the Design and Analysis of Computer Experiments. J. Am. Stat. Assoc. 1991, 86, 953–963. [Google Scholar] [CrossRef]
- Zhang, Y.; Han, Z.-H.; Zhang, K.-S. Variable-fidelity expected improvement method for efficient global optimization of expensive functions. Struct. Multidiscip. Optim. 2018, 58, 1431–1451. [Google Scholar] [CrossRef]
- Hao, P.; Feng, S.; Li, Y.; Wang, B.; Chen, H. Adaptive infill sampling criterion for multi-fidelity gradient-enhanced kriging model. Struct. Multidiscip. Optim. 2020, 62, 353–373. [Google Scholar] [CrossRef]
- Dong, H.; Sun, S.; Song, B.; Wang, P. Multi-surrogate-based global optimization using a score-based infill criterion. Struct. Multidiscip. Optim. 2019, 59, 485–506. [Google Scholar] [CrossRef]
- Zhang, S.; Ma, J. Kriging-based design of sequential experiment via best neighborhoods for small sample optimization. In Proceedings of the 43rd Chinese Control Conference (CCC), Kunming, China, 28–31 July 2024; pp. 7006–7011. [Google Scholar]
- McKay, M.D.; Bolstad, J.W.; Whiteman, D.E. Application of Statistical Techniques to the Analysis of Reactor Safety Codes; Los Alamos National Laboratory (LANL): Los Alamos, NM, USA, 1978; p. 31. [Google Scholar]
- Fushiki, T. Estimation of prediction error by using K-fold cross-validation. Stat. Comput. 2011, 21, 137–146. [Google Scholar] [CrossRef]
- Mehmani, A.; Chowdhury, S.; Messac, A. Predictive quantification of surrogate model fidelity based on modal variations with sample density. Struct. Multidiscip. Optim. 2015, 52, 353–373. [Google Scholar] [CrossRef]
- Olivanti, R.; Gallard, F.; Brézillon, J.; Gourdain, N. Comparison of Generic Multi-Fidelity Approaches for Bound-Constrained Nonlinear Optimization Applied to Adjoint-Based CFD Applications. In Proceedings of the AIAA Aviation 2019 Forum, Dallas, TX, USA, 17–21 June 2019; American Institute of Aeronautics and Astronautics: Reston, VA, USA, 2019. [Google Scholar] [CrossRef]
- Ladson, C.L. Effects of Independent Variation of Mach and Reynolds Numbers on the Low-Speed Aerodynamic Characteristics of the NACA 0012 Airfoil Section; National Aeronautics and Space Administration: Washington, DC, USA, 1988.



















| Type | Optimal | Iteration | HF Number | Error | Time(s) |
|---|---|---|---|---|---|
| Kriging+EI | −6.1020 | 10 | 10 | 0.82 | 15 |
| CoKriging+augmented EI | −6.0900 | 10 | 10 | 0.52 | 18 |
| HK+augmented EI | −6.0190 | 8 | 8 | 0.50 | 10 |
| HK+VF-EI | −6.0195 | 8 | 6 | 0.38 | 28 |
| HK+AMEI | −6.0198 | 5 | 3 | 0.09 | 24 |
| MHK+ augmented EI | −6.0191 | 8 | 8 | 0.25 | 22 |
| MHK+ VF-EI | −6.0197 | 8 | 5 | 0.22 | 33 |
| MHK+ AM-EI | −6.0200 | 6 | 4 | 0.12 | 40 |
| MHK+ ASIS | −6.0203 | 4 | 2 | 0.01 | 20 |
| Type i | 1 | 2 | 3 | 4 |
|---|---|---|---|---|
| 1 | 0.4 | 0.65 | 0.9 | |
| CR | 1 | 1000 | 10 | 100 |
| TYPE | 1 | 2 | 3 | 4 |
|---|---|---|---|---|
| Iteration number | 150 | 220 | 210 | 320 |
| MAE | 0.0065 | 0.0052 | 0.0103 | 0.093 |
| Sample number | 40 | 40,000 | 400 | 4000 |
| Type | Optimal | Iteration | HF Number | Error | Time(s) |
|---|---|---|---|---|---|
| CoKriging + augmented EI | 0.0110 | 30 | 30 | 0.170 | 55 |
| HK+augmented EI | 0.0101 | 30 | 30 | 0.103 | 45 |
| HK + VF-EI | −0.0082 | 26 | 12 | 0.045 | 28 |
| HK + AMEI | 0.0072 | 27 | 10 | 0.060 | 32 |
| MHK + augmented EI | 0.0100 | 30 | 30 | 0.120 | 40 |
| MHK + VF-EI | −0.0090 | 27 | 11 | 0.055 | 29 |
| MHK + AM-EI | 0.0080 | 24 | 10 | 0.062 | 30 |
| MHK + ASIS | 0.0053 | 22 | 9 | 0.030 | 29 |
Disclaimer/Publisher’s Note: The statements, opinions and data contained in all publications are solely those of the individual author(s) and contributor(s) and not of MDPI and/or the editor(s). MDPI and/or the editor(s) disclaim responsibility for any injury to people or property resulting from any ideas, methods, instructions or products referred to in the content. |
© 2025 by the authors. Licensee MDPI, Basel, Switzerland. This article is an open access article distributed under the terms and conditions of the Creative Commons Attribution (CC BY) license (https://creativecommons.org/licenses/by/4.0/).
Share and Cite
Zhang, S.; Ma, J. Adaptive Sequential Infill Sampling Method for Experimental Optimization with Multi-Fidelity Hamilton Kriging Model. Aerospace 2025, 12, 913. https://doi.org/10.3390/aerospace12100913
Zhang S, Ma J. Adaptive Sequential Infill Sampling Method for Experimental Optimization with Multi-Fidelity Hamilton Kriging Model. Aerospace. 2025; 12(10):913. https://doi.org/10.3390/aerospace12100913
Chicago/Turabian StyleZhang, Shixuan, and Jie Ma. 2025. "Adaptive Sequential Infill Sampling Method for Experimental Optimization with Multi-Fidelity Hamilton Kriging Model" Aerospace 12, no. 10: 913. https://doi.org/10.3390/aerospace12100913
APA StyleZhang, S., & Ma, J. (2025). Adaptive Sequential Infill Sampling Method for Experimental Optimization with Multi-Fidelity Hamilton Kriging Model. Aerospace, 12(10), 913. https://doi.org/10.3390/aerospace12100913

