Abstract
Plasma synthetic jet (PSJ) is widely employed in flow control due to its advantages of zero-mass and fast-response. A novel measurement method for high-frequency dynamic drag variation was adopted in a Mach 8 wind tunnel experiment, demonstrating that the opposing PSJ can achieve a maximum drag reduction of 40.27% and an average drag reduction of 13.25% within one discharge cycle. Subsequently, the numerical method was verified in detail and the effects of different discharge energies and nozzle diameters on the drag reduction characteristics of the opposing PSJ were studied. The results show that an increase in discharge energy is beneficial for the drag reduction characteristics of the opposing PSJ, although the efficiency remains relatively low. In contrast, increasing the nozzle diameter enhances the average drag reduction but significantly reduces the duration of effective control. The drag reduction mechanism of the opposing PSJ can be attributed to the combined effects of pushing the strong bow shock away to form a weaker oblique shock, followed by the reattachment of the shock downstream.
1. Introduction
Hypersonic vehicles have attracted significant attention and have been widely studied by various countries due to their huge speed advantage and potential military and economic value. However, super/hypersonic vehicles will generate strong shock waves in front of their head during flight, resulting in shock-wave drag accounting for more than half of the total drag. In order to reduce the shock-wave drag on the head of vehicles, researchers have proposed many passive and active control methods and validated their effectiveness through numerous numerical and experimental studies, including a forward-facing cavity [1,2], aerospike [3,4], energy deposition [5,6], opposing jet [7,8,9,10,11,12] and various combination schemes [13,14,15,16,17,18,19,20]. Among them, the opposing jet has better repeatability and higher drag reduction efficiency, its typical flow field structure can be divided into two modes: long penetration mode (LPM) and short penetration mode (SPM). When the pressure ratio (PR) of the jet total pressure to incoming total pressure is small, the nozzle operates in an over-expanded state with strong jet penetration ability and the flow field is LPM. When PR exceeds a certain critical value, the nozzle enters a highly under-expanded state, the jet is suspended by the main flow to form a Mach disk, the shock wave is closer, and the flow field is SPM and more stable. However, the development and application of the opposing jet are limited to a certain extent due to the complex mechanism and heavy air supply requirements.
In recent years, plasma flow control technology has gradually become a research hotspot in flow control because of its wide excitation band, fast response, and lack of moving parts [21]. In addition, the plasma synthetic jet actuator (PSJA) [22] combines the advantages of fast jet velocity, zero mass, and simple structure, which has led to extensive studies by scholars. PSJA consists of a closed cavity with two electrodes and one small exit which can produce a high-speed plasma synthetic jet (PSJ) through spark discharge in the PSJA cavity. The working stage can be divided into energy deposition, jet ejection, and suction recovery [23,24]. The existing applications of PSJA mainly involve ice-breaking, shock-wave control, Shock-Wave/Boundary-Layer Interference (SWBLI) control and transverse jet mixing [25,26,27,28,29]. Wang et al. [30] proposed a counter-flow plasma synthetic jet (CPSJ) scheme and applied it to suppress supersonic flow separation, and found that the control effect was optimal when the jet frequency was close to the natural frequency of the separation bubble. Erofeev et al. [31] presented their first experiments on the investigation of the pellet and plasma jet injection action on the supersonic flow around the body with different head parts, confirming that plasma jet injection provides a noticeable transformation of bow shock on a hemisphere model. Chen et al. [32] carried out a numerical simulation of typical models such as a supersonic flat plate and a spherical head, and the results showed that the plasma synthetic jet could effectively interfere with the development of the plate boundary layer, as well as significantly change the shock wave off-body distance and reduce the average drag of the spherical body by 6.3%. Zhang et al. [33] conducted numerical simulations of an opposing plasma synthetic jet in a Mach 6 flow field, confirmed its effect in drag reduction, and analyzed the conversion mechanism of LPM and SPM of the flow field. Xie et al. [34,35,36] also performed numerical simulations on an opposing plasma synthetic jet in a Mach 3 flow field, studied the influence of different parameters on the drag reduction effect, and further demonstrated that the opposing plasma synthetic jet with a Laval nozzle can improve the drag reduction effect by about 5%.
However, previous studies mostly focused on supersonic incoming flow conditions. Few wind tunnel experiments have been conducted on the shock wave control and drag reduction effects of the opposing PSJ in hypersonic flow fields. Additionally, there is a lack of verification between the experimental results and numerical simulations. Therefore, in the present study, a hemispheric blunt body model was selected as the research subject, and both numerical and experimental methods were used to validate the potential of the opposing PSJ for shock-wave drag reduction in a Mach 8 hypersonic flow. A novel measurement method for high-frequency dynamic drag variation in environments with strong electromagnetic interference was adopted. The numerical method was carefully verified to investigate the effects of discharge energy and exit diameter on shock-wave drag reduction.
2. Experimental Setup and Numerical Method
2.1. Experimental Setup
The present experiments were carried out in a hypersonic wind tunnel (NHW) at Nanjing University of Aeronautics and Astronautics (NUAA). NHW is a blow-down and vacuum suction mode wind tunnel with an operating Mach number from 4.0 to 8.0, Previous studies have proven that the flow field quality of this wind tunnel is good [37]. The stable runtime of the wind tunnel is about 8 s. Two optical windows, each with a diameter of 300 mm, are installed on either side of the test section for schlieren photography. The Mach number in the present study is 8, the total incoming pressure is 871.395 kPa, the total incoming temperature is 499.15 K, and the diameter of the wind tunnel test section is 500 mm.
The model used in the present study is shown in Figure 1. It involves a hemisphere with a diameter of 70 mm. A cylindrical PSJA with a diameter of 12 mm and a height of 9 mm was designed inside the hemisphere, with two electrode holes on each side for installing tungsten electrodes with a diameter of 1 mm. A Phantom V2640 high-speed camera was used in this experiment with a frame rate of 50,000 fps and an exposure time of 1 μs.
Figure 1.
Disassembled view of the hemisphere model.
The circuit connection used in the experiment is shown in Figure 2. The voltage regulator can adjust the input voltage of 380 V to the output voltage 0–430 V, which is used to charge the high-voltage pulse power supply and adjust the voltage across the PSJA. In the circuit, an ultrahigh-voltage thin-film capacitor is connected in parallel across the PSJA to speed up the release of electrical energy. The power supply and the high-speed camera are controlled synchronously using a signal generator. A high-voltage probe and a current coil are used to measure the voltage and current during the PSJA discharge [38].
Figure 2.
Schematic diagram of the circuit connection.
The force sensor used in the experiment was a PCB 201B02 force ring sensor with a maximum load capacity of 444.8 N, a sensitivity of 11.24 mV/N, and a highest response frequency of 90 kHz. The sensor was directly connected to the model and fixed to the support, as shown in Figure 3, which can ensure the accuracy of the measurement. In particular, the force sensor has a built-in MOSFET microelectronic amplifier for converting the high-impedance charge output into a low-impedance voltage signal, thus allowing better resistance to electromagnetic interference in this experiment.
Figure 3.
Schematic diagram of sensor installation.
2.2. Numerical Method
The plasma is assumed to be in local thermodynamic equilibrium during PSJ discharge at high pressure (above several kPa) according to the previous study [23]. Therefore, both the surrounding plasma and neutral air are considered to be fluids with the same temperature. The formation mechanism of the PSJ involves intense heating caused by gas discharge. Therefore, the excitation process can be simplified to a phenomenological energy source term model, and the energy source term is added to the Navier–Stokes equation to simulate the plasma synthetic jet. The governing equation is shown in Equation (1)
where is the density, is the shear stress, is the input electrical energy, is the coefficient of heat conduction, and is the energy source term of gas discharge. Due to the small volume of the plasma synthetic jet actuator, it can be further assumed that the energy deposition is uniformly distributed in both time and space. Then can be expressed by Equation (2)
where is the heating efficiency, is the input heat energy, is the volume of the discharge region, is the duration of discharging, and is the working frequency of PSJA.
The finite volume method was used for spatial discretization, the implicit scheme was applied to the time term, and the flux type was AUSM+. A second-order upwind method was used for spatial discretization, and a first-order implicit method was used. The SST k-ω model was selected as the turbulence model. The time step was 2 × 10−8 s, and the maximum number of iterations per time step was 20.
In order to verify the reliability of the above methods, the PSJ experimental result by Belinger et al. [39] was selected for comparison. Figure 4 shows a comparison between the experimental flow field structure observed 20 μs after discharge and the numerical results obtained 20 μs after adding the energy source term. In the experiment, the actuator was a cylinder with a diameter of 4 mm and a height of 4 mm, the nozzle diameter was 1 mm, and a discharge energy of 50 mJ and an electric heating efficiency of 5% were used in the calculation. It can be seen that, at the same moment, the main flow field structures such as precursor shock wave and jet front obtained by calculations and experiments are in good agreement, indicating that the simulation method of PSJ mentioned above is reliable.
Figure 4.
Experimental [39] and numerical flow field structure 20 μs after discharge.
The numerical simulation method and preliminary validation of the opposing PSJ are then provided. The dimensions of the model and the actuator have been mentioned above. The discharge area where the energy source term was added approximately corresponds to the region with a height of 1 mm in the middle of the actuator cavity. A two-dimensional axisymmetric structure grid was adopted in the calculation, and the center of the sphere was taken as the origin of the coordinates. The free flow boundary and outlet boundary were both pressure far-field boundaries, and a no-slip condition was applied at the wall boundary. The refined grids were applied to the wall and regions where shock waves may occur. The height of the first grid layer of the wall was 0.021 mm and the corresponding y+ was 1, as shown in Figure 5.
Figure 5.
Computational domain and mesh.
Three grid systems were established to verify the grid independence, and the mesh size was 93,000, 188,000, and 271,000, respectively. Figure 6 shows the calculated pressure distribution on the surface of the hemisphere model and the density gradient diagram. It can be seen that the calculated results of all three grid systems are nearly identical, the shock wave downstream computed by the coarse grid is less distinct compared to the other two grid systems. To balance calculation efficiency and flow field details, the moderate grid was selected for subsequent numerical simulation.
Figure 6.
Grid independence verification (The blue colored lines are the boundaries of the grid).
3. Results and Discussion
3.1. Comparison of Experimental and Numerical Results
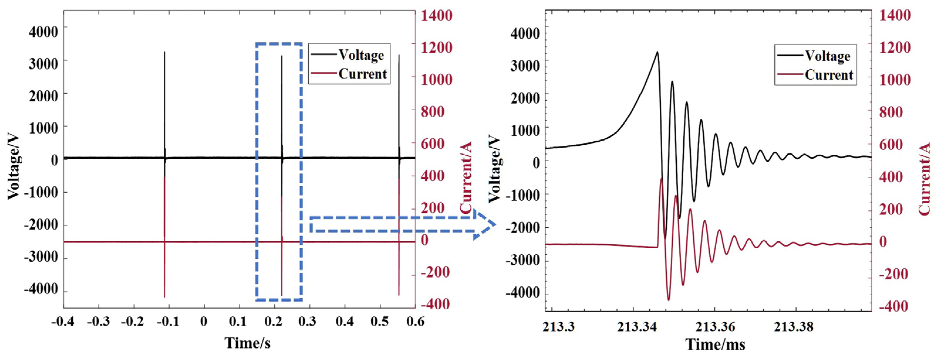
A typical experiment was selected to validate the numerical results. The parameters of the incoming flow and plasma actuation in the experiment are shown in Table 1, where Ma is the Mach number of the incoming flow, P0 is the total pressure of the incoming flow, T0 is the total temperature of the incoming flow, C is the capacitance, f is the discharge frequency, and E is the discharge energy. The discharge energy E = 0.5 Cu2, which is determined by the capacitance and discharge voltage. Figure 7 shows the voltage and current values of a discharge moment recorded in the experiment, indicating that the discharge voltage is approximately 3250 V and the discharge energy is about 0.84 J.
Table 1.
The parameters of incoming flow and plasma actuation.
Figure 7.
The voltage and current values of a discharge moment (The blue colored lines are the selection and indication).
The discharge duration required for the numerical simulation can also be obtained from Figure 7, which is about 40 μs. Assuming the thermal efficiency to be 0.25, the energy source term can be obtained from Equation (2) as approximately 4.64 × 1010 w/m3.
Figure 8 shows a comparison of the flow field structure between the experiment and numerical simulation after discharge, indicating that the flow field structure obtained from the experimental schlieren and the numerical simulation within approximately 700 μs is basically consistent. It can be seen from the figure that the flow field exhibits a long penetration mode after the plasma synthesis jet is ejected, which is due to the small discharge energy and the highest average total pressure of the actuator cavity being about 26 kPa (as shown in Figure 9), resulting in a small total pressure ratio of approximately 0.03 between the jet and the incoming flow.

Figure 8.
Comparison of flow field structures between experiments and numerical simulations.
Figure 9.
Average pressure of the cavity (calculation).
A comparison of the drag between experimental and numerical simulations after the discharge is given in Figure 10. In the experiment, strong electromagnetic interference generated at the moment of discharge partly affected the sensor and collection system, resulting in obvious oscillations in the measured drag curve. The drag curve obtained by numerical simulation also shows weak oscillations during 0–60 μs, caused by the combined effect of heating and expansion of the gas in the cavity, which continuously impacts the wall, and the reaction force of the jet. The experimentally measured baseline drag value is about 14.51 N, and the calculated baseline drag value is about 14.04 N, with an error of about 3.26%. As the plasma synthesis jet is ejected, the drag gradually decreases to the minimum value at about 260 μs, which is about 8.40 N in the experiment and 9.93 N by calculation. Afterward, the drag value gradually increases and returns to the baseline value at about 800 μs.
Figure 10.
Comparison of experimental and numerical drag values.
and are defined as parameters to measure the drag reduction effect of the opposing PSJ, as shown in Equations (3) and (4), where is the maximum drag reduction, is the average drag reduction, is the reference drag value, is the minimum drag value, and is the drag reduction duration. The specific values are shown in Table 2.
Table 2.
Drag reduction parameters.
Based on the above chart, it can be seen that the numerical simulation method used in this study shows good agreement with the experimental results and can be used as an effective research method for the opposing PSJ in hypersonic flow. Given the convenience of the numerical simulation method, it will be adopted as the primary approach in this study. Figure 11 and Figure 12, respectively, show the surface pressure distribution of the model and the pressure contour of the flow field at the moment of minimum drag (260 μs). Figure 12 shows that the total pressure in the cavity is about 18 kPa and the nozzle is in an over-expanded state. At this time, the flow field presents a typical LPM structure. The PSJ pushes the detached bow shock wave away from the model to form a weak oblique shock wave structure. A recirculation zone is formed on the model surface and a reattached shock wave is generated downstream of the recirculation zone, and the reattachment point corresponds to the peak pressure position on the model surface, as shown in Figure 11. The surface pressure near this point is slightly larger than in the basic flow field, while the jet flow and recirculation zone cause the pressure on the model to be much lower than in the basic flow field upstream, leading to a significant reduction in drag.
Figure 11.
Surface pressure distribution of the model at 260 μs (calculation).
Figure 12.
Pressure contour of the flow field at 260 μs (calculation).
In order to further study the characteristics of the LPM flow field, the flow field is treated symmetrically about the X-axis, and the flow field near the nozzle and the pressure distribution on the y = 0 axis are extracted, as shown in Figure 13. Since the nozzle is in a state of under-expansion, its pressure is slightly higher than the environmental pressure and an expansion wave is formed near the nozzle, decreasing the pressure to match the environmental pressure. When the pressure drops significantly below the environmental pressure, an oblique shock wave is formed to increase the pressure and deflect the jet inward. When the pressure exceeds the environmental pressure, the jet begins to flow outward, forming expansion waves. As these expansion waves reach the jet boundary, they reflect inward and generate multiple compression waves. If these compression waves are strong enough, they will merge into an oblique shock wave and start a new cycle. Due to the presence of a shear layer and incoming flow, this cycle does not repeat continuously, and eventually, the jet meets the incoming stream.
Figure 13.
Correspondence between flow field and pressure value near the nozzle (A: expansion wave, B: oblique Shock). (The red circles represent the corresponding x-axis coordinate).
3.2. Parameter Study on Drag Reduction Characteristics
Numerical simulations were used to study the drag reduction characteristics of the plasma jet under varying discharge energies and nozzle diameters.
3.2.1. Discharge Energy
As shown in Section 3.1, the numerical simulation of the opposing PSJ with a discharge energy of 0.84 J and a nozzle diameter of 3 mm is in good agreement with the wind tunnel experimental results. Therefore, this case was selected as the comparison example (Case 1) for a numerical simulation of the opposing PSJ at higher discharge energy. The specific calculation cases and parameters are shown in Table 3, where is the nozzle diameter, is the discharge energy, and is the energy source term input for the numerical simulation.
Table 3.
Calculation cases and parameters of different discharge energies.
As the discharge energy increases, the average total pressure of the PSJA cavity also increases (see Figure 14). When the discharge energy reaches 6.72 J, the maximum average total pressure of the cavity is about 60.88 kPa, and the total pressure ratio of the jet is about 0.07. Although the discharge energy is increased by a factor of 8, the average total pressure of the cavity only doubles, and the total pressure ratio of the jet remains low.
Figure 14.
Average pressure of the cavity for Cases 1–4.
Figure 15 shows the change in drag of the model over time for Cases 1–4. It can be observed that a higher discharge energy results in a smaller , indicating that the plasma synthesis jet achieves a better maximum drag reduction effect or a higher . In addition, the higher the discharge energy, the earlier occurs. Table 4 provides the detailed drag reduction parameters for Cases 1–4, and the change of drag reduction effect with discharge energy is shown in Figure 16. It can be seen that both and increase with higher discharge energy. However, the improvement in from Case 3 to Case 4 is not obvious, indicating that the impact on plateaus once the discharge energy reaches a certain threshold.
Figure 15.
The change in drag of the model over time for Cases 1–4.
Table 4.
Drag reduction parameters of Cases 1–4.
Figure 16.
The change of drag reduction effect with discharge energy.
In order to further analyze the effect of different discharge energies on the drag reduction characteristics of PSJ, the surface pressure distributions of the model at the moment when the respective drag value reaches in Cases 1–4, along with the pressure contours of the flow field, are captured and presented in Figure 17 and Figure 18. From Figure 17, it can be seen that at low discharge energy (Case 1 and Case 2), there exists a brief low-pressure region near the nozzle, after which the surface pressure of the model rises to an obvious peak value along the flow direction and gradually decreases to the base value. However, at high discharge energy (Case 3 and Case 4), the pressure near the nozzle is higher than that in cases of low discharge energy, and the surface pressure of the model rises slightly along the flow direction and decreases to the reference value. In these two high-discharge energy cases, the surface pressure of the model remains consistently lower than the reference value. By combining the flow field in Figure 18, the drag reduction mechanism of PSJ under both high and low discharge energy conditions can be explained. With the ejection of PSJ, the original bow shock wave is pushed away, forming a weaker oblique shock wave. At lower discharge energy, the shock wave travels farther, accompanied by a smaller oblique angle. Therefore, the surface pressure of the model near the nozzle is lower, but at the same time, the reattached shock wave is stronger, resulting in a pressure bump at the reattachment point. This corresponds to the peak value of the pressure distribution curve in Figure 17. As the discharge energy increases, the distance of the shock wave decreases, the oblique angle of the shock wave expands, resulting in relatively high pressure near the stagnation point. At the same time, the reattached shock wave is weaker, the flow field becomes fuller, and the surface pressure distribution gets smoother. Therefore, the drag reduction effect of PSJ is better at higher discharge energy.
Figure 17.
Surface pressure distribution of the model at the moment of (Cases 1–4).
Figure 18.
The pressure cloud of the flow field at the moment of (Cases 1–4).
3.2.2. Nozzle Diameter
For the opposing jet, Rong [40] proposed a new parameter , as shown in Equation (5), where is the total pressure of the jet, is the total pressure of the free incoming flow, and are the nozzle area and radius, respectively, and and are the bottom area and radius of the hemisphere model, respectively. It has been proven that the new parameter can be used to analyze the flow field and aerodynamic forces of the opposing jet. Therefore, when the model size is constant, the nozzle size plays a key role in the flow field and in controlling the effects of the opposing jet.
The conditions in Section 3.1 are also used as comparison examples to numerically simulate the opposing PSJ under different nozzle diameters. Specific examples and parameters are given in Table 5, where is the nozzle diameter, is the discharge energy, and is the energy source term input for numerical simulation.
Table 5.
Calculation cases and parameters of different nozzle diameters.
From Figure 19, it can be seen that as the nozzle diameter increases, the maximum average pressure achievable in the cavity decreases, the rate of pressure drop increases, and the time required to recover to the reference value decreases. This indicates that the period of PSJ, that is, the control time, becomes shorter.
Figure 19.
Average pressure of the cavity for Cases 5–8.
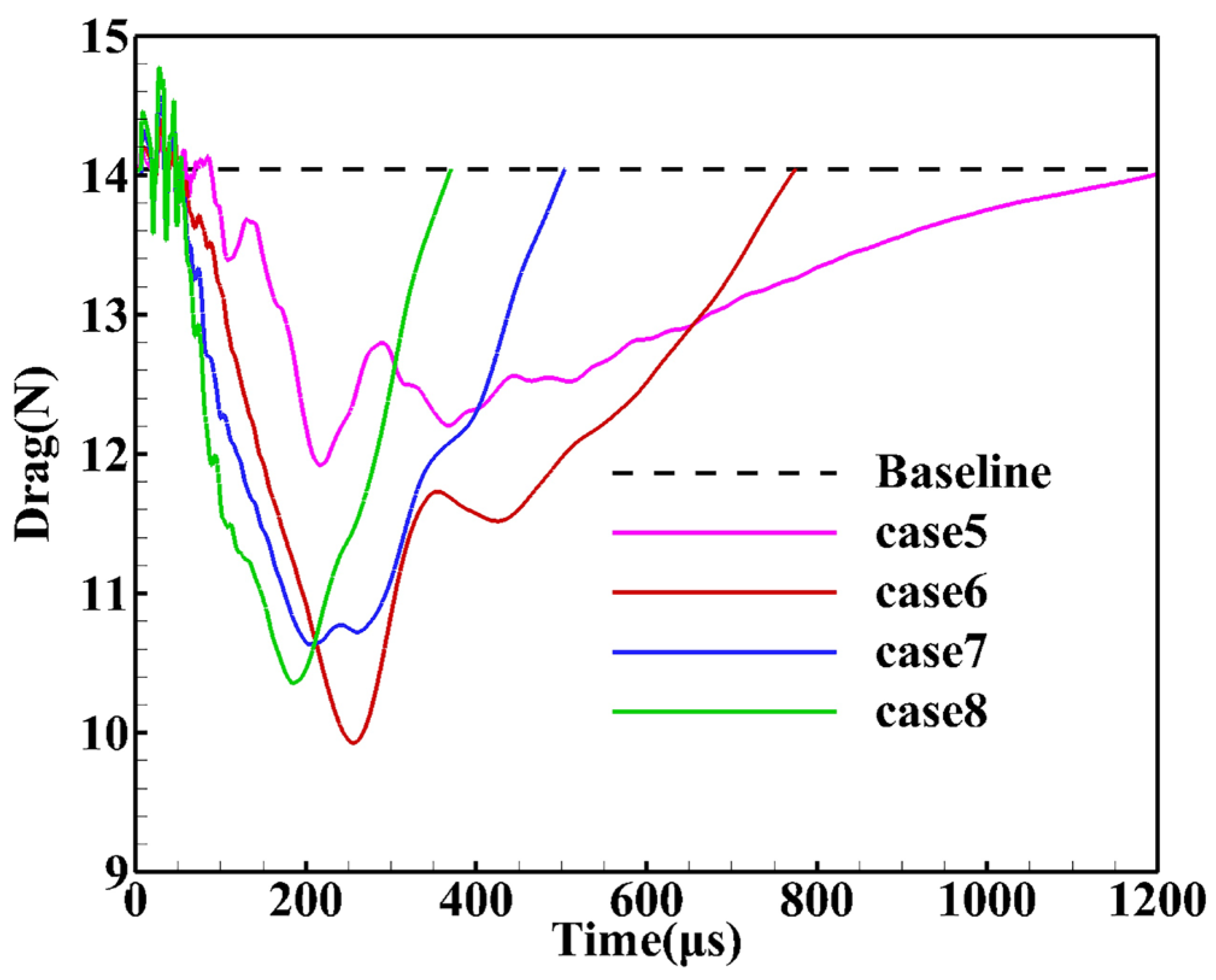
Figure 20 indicates the change in drag of the model over time for Cases 5–8. It can be seen that as the nozzle diameter increases, the time required for the drag of the model to recover to the reference value decreases, which is consistent with the change in average pressure of the cavity mentioned above. Table 6 provides the detailed drag reduction parameters of Cases 5–8, and the change in drag reduction effect due to nozzle diameter is given in Figure 21. Drag reduction duration decreases as the nozzle diameter increases, the maximum drag reduction effect peaks at a nozzle diameter of 3 mm, while the average drag reduction effect increases with increasing nozzle diameter.
Figure 20.
The change in drag of the model over time for Cases 5–8.
Table 6.
Drag reduction parameters of Cases 5–8.
Figure 21.
The change of drag reduction effect with nozzle diameter.
Similarly, in order to further analyze the influence of different nozzle diameters on the drag reduction characteristics of PSJ, the surface pressure distributions of the model at the moment when the respective drag value reaches in Cases 5–8, along with the pressure contours of the flow field are obtained, as shown in Figure 22 and Figure 23. Consistent with the previous analysis, the peak value of the surface pressure distribution curve on the model corresponds to the position of the reattachment point of the shock wave. As seen in Figure 23, the strong reattached shock wave of Case 5 leads to an obvious high-pressure region near the reattachment point, resulting in a higher peak value of the pressure distribution curve. In the other three cases, the reattached shock wave is weaker, so the pressure at the reattachment point is lower, and the pressure distribution curves are similar. In Case 6, the original bow shock wave is pushed away the farthest, and the intensity of the oblique shock wave is also the weakest. Consequently, the pressure in the upstream region of the model is lower than that observed in other cases, resulting in the greatest .
Figure 22.
Surface pressure distribution of the model at the moment of (Cases 5–8).
Figure 23.
Pressure contours of the flow field at the moment of (Cases 5–8).
4. Conclusions
In this paper, a high-frequency dynamic drag measurement method was employed in the wind tunnel experiment, and the reliability of the phenomenological numerical simulation of the PSJ was verified in detail. The effects of discharge energy and nozzle diameter on the drag reduction characteristics of the opposing PSJ under Mach 8 incoming flow were investigated. The main conclusions are as follows:
- Wind tunnel experiments on the opposing PSJ were conducted at an incoming Mach number of 8 and a discharge energy of 0.84 J. Schlieren images and drag data were recorded, revealing that the opposing PSJ could significantly push away the original bow shock wave, achieving a maximum drag reduction of 40.27% and an average drag reduction of 13.25%. A phenomenological model was used to simulate the plasma discharge process by adding an energy source term. The flow field structure and drag data obtained by this numerical simulation are in good agreement with the experimental results, demonstrating that the model can effectively provide relevant information about plasma synthetic jets.
- In the long penetration mode flow field, the increase of discharge energy is beneficial for the drag reduction characteristics of the opposing PSJ, although the efficiency remains relatively low. In the calculation cases considered in this paper, when the discharge energy is increased by a factor of 8, the average total pressure of the PSJA cavity only increases by a factor of 2, and the average drag reduction effect does not significantly improve once a certain energy threshold is reached. Increasing the nozzle diameter helps to improve the average drag reduction effect of the opposing PSJ, but it also significantly shortens the control time. Therefore, these two parameters, along with other factors, must be considered in practical applications.
- In the long penetration mode flow field, the drag reduction mechanism of the opposing PSJ is primarily driven by the combined effect of two factors. On the one hand, the original strong bow shock wave is pushed away, forming a weaker oblique shock wave, which leads to a significant pressure drop near the stagnation point and in the upstream region of the model, and the pressure drop amplitude is related to the standoff distance and the strength of the oblique shock wave. On the other hand, the formation of the reattached shock wave generates a peak pressure at the reattachment point on the surface of the model, which is determined by the strength of the reattached shock wave. The combined effect of these two factors determines the drag reduction performance of the opposing PSJ.
Author Contributions
Methodology, H.D. and Y.Z.; validation, X.Z., X.C. and W.X.; formal analysis, X.Z.; investigation, X.Z., Y.Z. and W.X; resources, H.D., W.S. and Y.W.; data curation, W.S. and Y.W.; writing—original draft preparation, X.Z., H.D. and X.C.; writing—review and editing, X.Z., H.D. and X.C.; supervision, H.D.; project administration, H.D., W.S. and Y.W. All authors have read and agreed to the published version of the manuscript.
Funding
This research was supported by the Fund for Distinguished Young Scholars of Jiangsu Province (BK20230030) and Fundamental Research Funds for the Central Universities (ILB23013).
Data Availability Statement
The original contributions presented in this study are included in the article. Further inquiries can be directed to the corresponding author.
Conflicts of Interest
The authors declare no conflicts of interest.
References
- Engblom, W.A.; Goldstein, D.B.; Ladoon, D.; Schneider, S.P. Fluid Dynamics of Hypersonic Forward-Facing Cavity Flow. J. Spacecr. Rocket. 1997, 34, 437–444. [Google Scholar] [CrossRef]
- Saravanan, S.; Jagadeesh, G.; Reddy, K.P.J. Investigation of Missile-Shaped Body with Forward-Facing Cavity at Mach 8. J. Spacecr. Rocket. 2009, 46, 577–591. [Google Scholar] [CrossRef]
- Ahmed, M.Y.M.; Qin, N. Recent advances in the aerothermodynamics of spiked hypersonic vehicles. Prog. Aerosp. Sci. 2011, 47, 425–449. [Google Scholar] [CrossRef]
- Fan, B.; Huang, J. Coupled Fluid-Thermal Investigation on Drag and Heat Reduction of a Hypersonic Spiked Blunt Body with an Aerodisk. Aerospace 2022, 9, 19. [Google Scholar] [CrossRef]
- Knight, D. Survey of Aerodynamic Drag Reduction at High Speed by Energy Deposition. J. Propuls. Power 2008, 24, 1153–1167. [Google Scholar] [CrossRef]
- Azarova, O.A. Supersonic Flow Control Using Combined Energy Deposition. Aerospace 2015, 2, 118–134. [Google Scholar] [CrossRef]
- Finley, P.J. The flow of a jet from a body opposing a supersonic free stream. J. Fluid Mech. 1966, 26, 337–368. [Google Scholar] [CrossRef]
- Deng, F.; Xie, F.; Huang, W.; Zhang, D.; Jiao, Z.H.; Chen, J.; Liu, S. Applications of counterflowing jet technology in hypersonic vehicle. Acta Aerodyn. Sin. 2017, 35, 485–495. (In Chinese) [Google Scholar]
- Deng, F.; Xie, F.; Huang, W.; Dong, H.; Zhang, D. Numerical exploration on jet oscillation mechanism of counterflowing jet ahead of a hypersonic lifting-body vehicle. Sci. China Technol. Sci. 2018, 61, 1056–1071. [Google Scholar] [CrossRef]
- Dong, H.; Zhang, X.D.; Liu, S.C.; Cheng, K.M.; Zhao, W. Numerical and experimental study on opposing jet in hypersonic flow. Acta Aerodyn. Sin. 2022, 40, 101–109. (In Chinese) [Google Scholar]
- Zhang, W.; Wang, X.; Zhang, Z.; Su, T. Numerical Investigation on the Jet Characteristics and the Heat and Drag Reductions of Opposing Jet in Hypersonic Nonequilibrium Flows. Aerospace 2022, 9, 554. [Google Scholar] [CrossRef]
- Wang, Z.; Zhang, X. Parametric research on drag reduction and thermal protection of blunt-body with opposing jets of forward convergent nozzle in supersonic flows. Acta Astronaut. 2022, 190, 218–230. [Google Scholar] [CrossRef]
- Lu, H.B.; Liu, W.Q. Research on thermal protection mechanism of forward-facing cavity and opposing jet combinatorial thermal protection system. Heat Mass Transf. 2014, 50, 449–456. [Google Scholar] [CrossRef]
- Sun, X.; Guo, Z.; Huang, W.; Li, S.; Yan, L. Drag and heat reduction mechanism induced by a combinational novel cavity and counterflowing jet concept in hypersonic flows. Acta Astronaut. 2016, 126, 109–119. [Google Scholar] [CrossRef]
- Deng, F.; Xie, F.; Qin, N.; Huang, W.; Wang, L.; Chu, H. Drag reduction investigation for hypersonic lifting-body vehicles with aerospike and long penetration mode counterflowing jet. Aerosp. Sci. Technol. 2018, 76, 361–373. [Google Scholar] [CrossRef]
- Zhang, R.; Dong, M.; Huang, W.; Li, S.; Du, Z.; Liao, J. Drag and heat flux reduction mechanism induced by the combinational forward-facing cavity and pulsed counterflowing jet configuration in supersonic flows. Acta Astronaut. 2019, 160, 62–75. [Google Scholar] [CrossRef]
- Huang, W.; Chen, Z.; Yan, L.; Yan, B.; Du, Z. Drag and heat flux reduction mechanism induced by the spike and its combinations in supersonic flows: A review. Prog. Aerosp. Sci. 2019, 105, 31–39. [Google Scholar] [CrossRef]
- Zhang, J.; Ma, H.; Qin, Y. Experimental Investigation on Flow Characteristic of Combination of Forward-facing Jet and Spike. In Proceedings of the 21st AIAA International Space Planes and Hypersonics Technologies Conference, American Institute of Aeronautics and Astronautics, Xiamen, China, 6–9 March 2017. [Google Scholar] [CrossRef]
- Meng, Y.; Yan, L.; Huang, W.; Wang, Z. Fluid-thermal coupled investigation on the combinational spike and opposing/lateral jet in hypersonic flows. Acta Astronaut. 2021, 185, 264–282. [Google Scholar] [CrossRef]
- Sudarshan, B.; Rao, S.M.V.; Jagadeesh, G.; Saravanan, S. Effect of the axial cavity with an opposing high-pressure jet combination in a Mach 6 flow condition. Acta Astronaut. 2021, 178, 335–348. [Google Scholar] [CrossRef]
- Zhou, Y.; Luo, Z.B.; Wang, L.; Xia, Z.X.; Gao, T.X.; Xie, W.; Deng, X.; Peng, W.Q.; Cheng, P. A Review on Plasma Synthetic Jet Actuator for Flow control. Acta Aeronaut. Astronaut. Sin. 2022, 43, 98–140. (In Chinese) [Google Scholar]
- Caruana, D.; Barricau, P.; Hardy, P. The “Plasma Synthetic Jet” Actuator. Aero-thermodynamic Characterization and First Flow Control Applications. In Proceedings of the 47th AIAA Aerospace Sciences Meeting Including The New Horizons Forum and Aerospace Exposition, American Institute of Aeronautics and Astronautics, Orlando, FL, USA, 5–8 January 2009. [Google Scholar] [CrossRef]
- Zong, H. Influence of Nondimensional Heating Volume on Efficiency of Plasma Synthetic Jet Actuators. AIAA J. 2018, 56, 2075–2078. [Google Scholar] [CrossRef]
- Sary, G.; Dufour, G.; Rogier, F.; Kourtzanidis, K. Modeling and Parametric Study of a Plasma Synthetic Jet for Flow Control. AIAA J. 2014, 52, 1591–1603. [Google Scholar] [CrossRef]
- Gao, T.; Luo, Z.; Zhou, Y.; Yang, S.; Peng, W.; Deng, X.; Cheng, P. Experimental investigation on ice-breaking performance of a novel plasma striker. Chin. J. Aeronaut. 2022, 35, 307–317. [Google Scholar] [CrossRef]
- Watanabe, Y.; Houpt, A.; Leonov, S.B. Plasma-Assisted Control of Supersonic Flow over a Compression Ramp. Aerospace 2019, 6, 35. [Google Scholar] [CrossRef]
- Zhang, Z.; Zhang, X.; Wu, Y.; Jia, M.; Jin, D.; Sun, Z.; Li, Y. Experimental research on the shock wave control based on one power supply driven plasma synthetic jet actuator array. Acta Astronaut. 2020, 171, 359–368. [Google Scholar] [CrossRef]
- Narayanaswamy, V.; Raja, L.L.; Clemens, N.T. Control of unsteadiness of a shock wave/turbulent boundary layer interaction by using a pulsed-plasma-jet actuator. Phys. Fluids 2012, 24, 076101. [Google Scholar] [CrossRef]
- Wang, P.; Shen, C. Characteristics of mixing enhancement achieved using a pulsed plasma synthetic jet in a supersonic flow. J. Zhejiang Univ. Sci. A 2019, 20, 701–713. [Google Scholar] [CrossRef]
- Wang, H.; Li, J.; Jin, D.; Tang, M.; Wu, Y.; Xiao, L. High-frequency counter-flow plasma synthetic jet actuator and its application in suppression of supersonic flow separation. Acta Astronaut. 2018, 142, 45–56. [Google Scholar] [CrossRef]
- Erofeev, A.; Lapushkina, T.; Poniaev, S.; Kurakin, R.; Zhukov, B. Flow Around Different Bodies at the Pellet or Plasma Jet Injection. In Proceedings of the 50th AIAA Aerospace Sciences Meeting Including the New Horizons Forum and Aerospace Exposition, American Institute of Aeronautics and Astronautics, Nashville, TN, USA, 9–12 January 2012. [Google Scholar] [CrossRef]
- Chen, J.Z.; Hu, G.T.; Fan, G.C.; Chen, W.F. Research on controlling bow shock wave and drag reduction by plasma synthetic jet. Acta Aeronaut. Astronaut. Sin. 2021, 42, 124773. (In Chinese) [Google Scholar]
- Zhang, X.D.; Li, Z.; Dong, H.; Gao, S.Y.; Bi, Z.J. Investigation on drag reduction characteristics of opposing plasma synthetic jet in hypersonic flow. Acta Aeronaut. Astronaut. Sin. 2022, 43, 118–126. (In Chinese) [Google Scholar]
- Xie, W.; Luo, Z.; Zhou, Y.; Peng, W.; Liu, Q.; Wang, D. Experimental and numerical investigation on opposing plasma synthetic jet for drag reduction. Chin. J. Aeronaut. 2022, 35, 75–91. [Google Scholar] [CrossRef]
- Xie, W.; Luo, Z.; Hou, L.; Zhou, Y.; Liu, Q.; Peng, W. Characterization of plasma synthetic jet actuator with Laval-shaped exit and application to drag reduction in supersonic flow. Phys. Fluids 2021, 33, 096104. [Google Scholar] [CrossRef]
- Xie, W.; Luo, Z.; Zhou, Y.; Cheng, P.; Liu, Q.; Peng, W.; Deng, X. Influence of volume and frequency parameters on opposing plasma synthetic jet for drag reduction in supersonic flow. Aerosp. Sci. Technol. 2024, 146, 108971. [Google Scholar] [CrossRef]
- Dong, H.; Liu, S.; Geng, X.; Liu, S.; Yang, L.; Cheng, K. Numerical and experimental investigation into hypersonic boundary layer transition induced by roughness elements. Chin. J. Aeronaut. 2019, 32, 559–567. [Google Scholar] [CrossRef]
- Xie, W.; Luo, Z.; Zhou, Y.; Xie, X.; Wu, J.; Bai, G.; Li, Z.; Dong, H.; Zhang, X. Experimental Study on Plasma Synthetic Jet for Drag Reduction in Hypersonic Flow. AIAA J. 2023, 61, 1428–1434. [Google Scholar] [CrossRef]
- Belinger, A.; Hardy, P.; Gherardi, N.; Naude, N.; Cambronne, J.P.; Caruana, D. Influence of the Spark Discharge Size on a Plasma Synthetic Jet Actuator. IEEE Trans. Plasma Sci. 2011, 39, 2334–2335. [Google Scholar] [CrossRef]
- Rong, Y. Drag reduction research in supersonic flow with opposing jet. Acta Astronaut. 2013, 91, 1–7. [Google Scholar] [CrossRef]
Disclaimer/Publisher’s Note: The statements, opinions and data contained in all publications are solely those of the individual author(s) and contributor(s) and not of MDPI and/or the editor(s). MDPI and/or the editor(s) disclaim responsibility for any injury to people or property resulting from any ideas, methods, instructions or products referred to in the content. |
© 2024 by the authors. Licensee MDPI, Basel, Switzerland. This article is an open access article distributed under the terms and conditions of the Creative Commons Attribution (CC BY) license (https://creativecommons.org/licenses/by/4.0/).