Fixed-Time Anti-Saturation Tracking Control for Agile Missiles with Multiple Actuators
Abstract
1. Introduction
- (1)
- A new combination scheme of multiple heterogeneous actuators, including FCS, RCS, and aerodynamic control, for agile missiles is introduced in this paper. FCS is responsible for decelerating and supplying lateral aerodynamic control force, while RCS is utilized for precision attitude control. The coordination of different actuators can significantly reduce the turning radius, thereby expanding the application space for agile missiles;
- (2)
- A novel fixed-time anti-saturation controller with an auxiliary system based on NTSMC is proposed for the first time to ensure that errors of the control system converge to zero within a fixed time and to counteract the detrimental effect of input saturation;
- (3)
- The control accuracy is improved by designing a fixed-time disturbance observer to handle uncertainties and external disturbances in the agile turn, effectively alleviating the chattering problem.
2. Mathematical Model and Preliminaries
2.1. Notations
2.2. Relative Lemmas
2.3. Problem Statement
2.3.1. Agile Missile Dynamics
2.3.2. Effect of FCS
2.4. Control Scheme and Design Objectives
- (a)
- The closed-loop control system exhibits global fixed-time stability, and system errors converge to zero within a fixed time;
- (b)
- The turning radius of the missile with multiple heterogeneous actuators decreases significantly during agile turning;
- (c)
- The designed scheme must be robust in the presence of unknown lumped disturbances.
3. Anti-Saturation Fixed-Time NTSMC
3.1. Anti-Saturation Error System
3.2. Fixed-Time Disturbance Observer Design
3.3. Fixed-Time Anti-Saturation Controller Design
3.4. Control Allocation
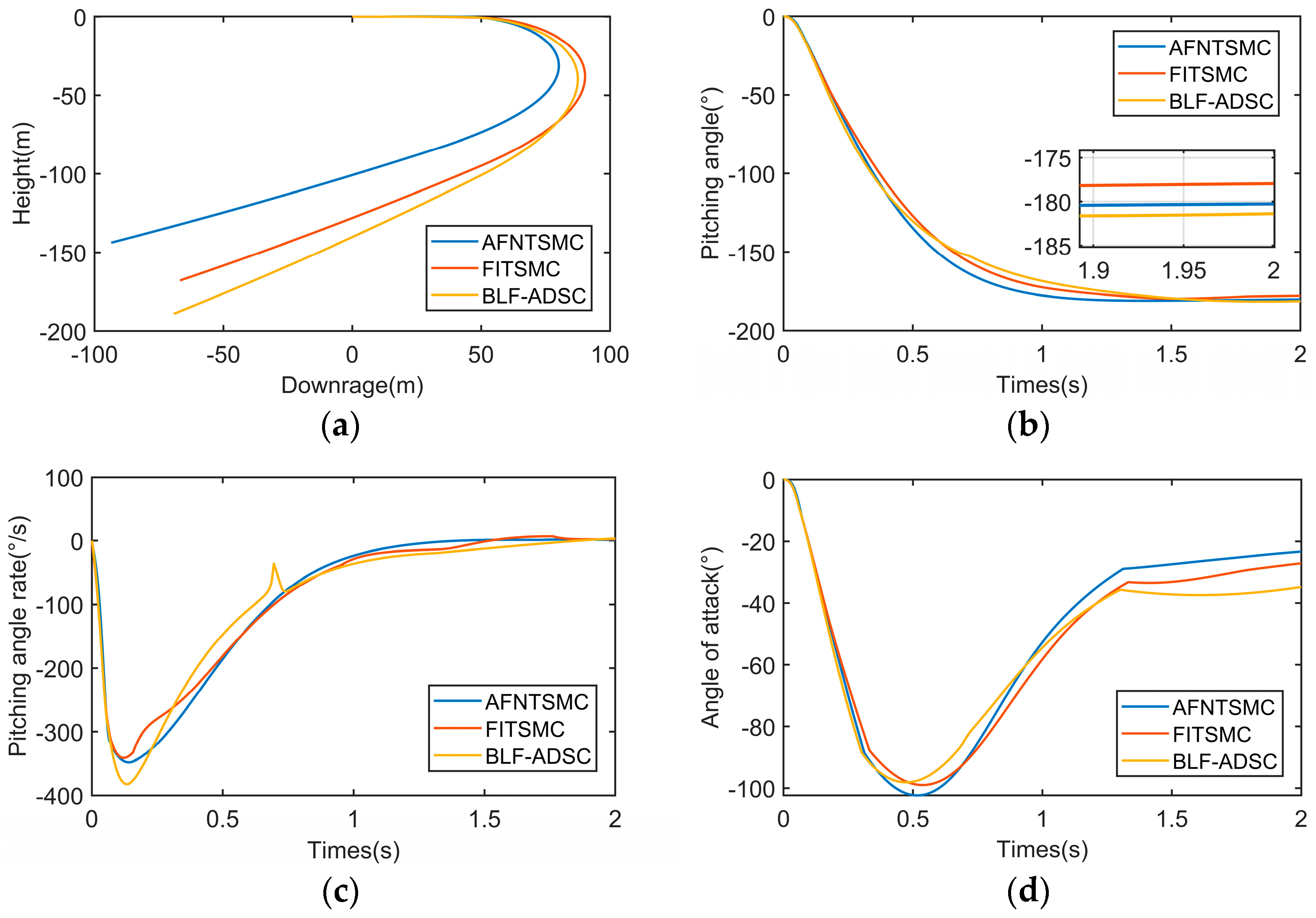
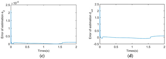
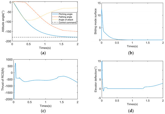
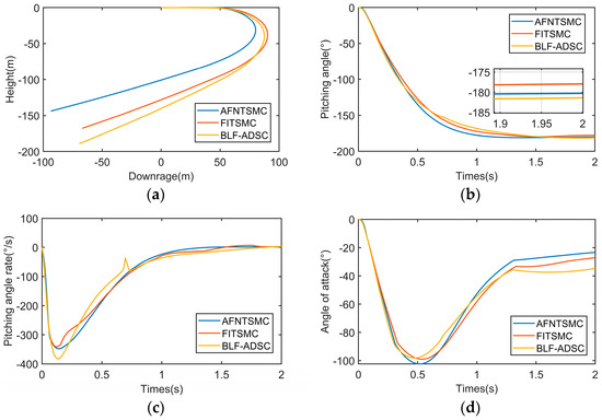
4. Results and Discussion
5. Conclusions
Author Contributions
Funding
Data Availability Statement
Conflicts of Interest
Nomenclature
| Missile velocity | Pitching moment of inertia | ||
| Angle of attack | Reference length of the missile | ||
| Pitch angle | Distance between RCS and the mass center | ||
| Pitch rate | Distance between the mass center and the aerodynamic pressure center | ||
| Dynamic pressure | Thrust force of the main engine | ||
| Aerodynamic drag coefficient | Reference area of the missile | ||
| Aerodynamic lift coefficient | Elevator deflection angle | ||
| Control moment from FCS | Lateral force | ||
| Control moment from RCS | Aerodynamic control moment | ||
| , , | Partial derivative of the pitching moment coefficient | , | Control force from FCS on the body coordinate system |
References
- Guo, Y.; Guo, J.; Liu, X.; Li, A.; Wang, C. Finite-time blended control for air-to-air missile with lateral thrusters and aerodynamic surfaces. Aerosp. Sci. Technol. 2020, 97, 105638. [Google Scholar] [CrossRef]
- Yan, Y.; Yang, J.; Liu, C.; Coombes, M.; Li, S.; Chen, W.H. On the Actuator Dynamics of Dynamic Control Allocation for a Small Fixed-Wing UAV with Direct Lift Control. IEEE Trans. Control. Syst. Technol. 2020, 28, 984–991. [Google Scholar] [CrossRef]
- Hou, Y.; Lv, M.; Liang, X.; Yang, A. Fuzzy adaptive fixed-time fault-tolerant attitude tracking control for tailless flying wing aircrafts. Aerosp. Sci. Technol. 2022, 130, 107950. [Google Scholar] [CrossRef]
- Dellicker, S.; Benney, R.; Patel, S.; Williams, T.; Hewgley, C.; Yakimenko, O.; Howard, R.; Kaminer, I. Performance, control, and simulation of the Affordable Guided Airdrop System. In Proceedings of the Modeling & Simulation Technologies Conference, Denver, CO, USA, 14–17 August 2000. [Google Scholar]
- Yakimenko, O.; Dobrokhodov, V.; Johnson, J.; Kaminer, I.; Delliker, S.; Benney, R. Guidance and control of affordable guided airdrop system-science direct. IFAC Proc. Vol. 2002, 35, 13–18. [Google Scholar] [CrossRef]
- Wei, H.; Xu, C.; Zhang, Z. The Development of Inflatable Entry Decelerator Technology. Spacecr. Recovery Remote Sens. 2019, 40, 14–24. [Google Scholar]
- Favini, E.; Niezrecki, C.; Chen, J.; Willis, D.; Niemi, E.; Desabrais, K. Review of smart material technologies for active parachute applications. Act. Passiv. Smart Struct. Integr. Syst. 2010, 7643, 764310. [Google Scholar]
- Zhu, H.; Sun, Q.; Tao, J.; Chen, Z.; Dehmer, M.; Xie, G. Flexible modeling of parafoil delivery system in wind environments. Commun. Nonlinear Sci. Numer. Simul. 2021, 108, 106210. [Google Scholar] [CrossRef]
- Lee, C.H.; Kim, T.H.; Tahk, M.J. Agile Missile Autopilot Design using Nonlinear Backstepping Control with Time-Delay Adaptation. Trans. Jpn. Soc. Aeronaut. Space Sci. 2014, 57, 9–20. [Google Scholar] [CrossRef]
- Gong, X.; Chen, W.; Chen, Z. All-aspect attack guidance law for agile missiles based on deep reinforcement learning. Aerosp. Sci. Technol. 2022, 127, 107677. [Google Scholar] [CrossRef]
- Han, S.; Bai, J.H.; Hong, S.M.; Roh, H.; Tahk, M.J.; Yun, J.; Park, S. Guidance Law for Agile Turn of Air-to-Air Missile during Boost Phase. Int. J. Aeronaut. Space Sci. 2017, 18, 709–718. [Google Scholar] [CrossRef]
- Zheng, Z.; Xie, L. Finite-time path following control for a stratospheric airship with input saturation and error constraint. Int. J. Control. 2019, 92, 368–393. [Google Scholar] [CrossRef]
- Li, G.; Xin, M.; Miao, C. Finite-Time Input-to-State Stability Guidance Law. J. Guid. Control. Dyn. 2018, 41, 2199–2213. [Google Scholar] [CrossRef]
- Sun, S.; Zhou, D.; Hou, W.T. A guidance law with finite time convergence accounting for autopilot lag. Aerosp. Sci. Technol. 2013, 25, 132–137. [Google Scholar] [CrossRef]
- Ni, J.; Liu, L.; Liu, C.; Liu, J. Fixed-Time Leader-Following Consensus for Second-Order Multiagent Systems with Input Delay. IEEE Trans. Ind. Electron. 2017, 64, 8635–8646. [Google Scholar] [CrossRef]
- ECruz-Zavala, J.A.; Moreno, L.M. Fridman, Uniform robust exact differentiator. IEEE Trans. Autom. Control 2011, 56, 2727–2733. [Google Scholar] [CrossRef]
- Fang, X.; Zhong, Q.; Liu, F.; Ding, Z.; Yang, T. Fixed-time nonsingular terminal sliding mode control for a class of nonlinear systems with mismatched disturbances and its applications. Nonlinear Dyn. 2023, 111, 21065–21077. [Google Scholar] [CrossRef]
- Zhang, H.; Wang, P.; Tang, G.; Bao, W. Fixed-time sliding mode control for hypersonic morphing vehicles via event-triggering mechanism. Aerosp. Sci. Technol. 2023, 140, 108458. [Google Scholar] [CrossRef]
- Kang, Z.; Shen, Q.; Wu, S.; Damaren, C.J. Prescribed Performance-Based Fixed-Time Adaptive Control Allocation for Overactuated Spacecraft. J. Guid. Control Dyn. 2023, 46, 390–400. [Google Scholar] [CrossRef]
- Truong, T.N.; Vo, A.T.; Kang, H.J. A model-free terminal sliding mode control for robots: Achieving fixed-time prescribed performance and convergence. ISA Trans. 2024, 144, 330–341. [Google Scholar] [CrossRef]
- Liang, X.; Hou, M. Adaptive Dynamic Surface Control for Integrated Missile Guidance and Autopilot in the Presence of Input Saturation. J. Aerosp. Eng. 2015, 28, 04014121. [Google Scholar] [CrossRef]
- Guo, J.; Peng, Q.; Guo, Z. SMC-based Integrated Guidance and Control for Beam Riding Missiles with Limited LBPU. IEEE Trans. Aerosp. Electron. Syst. 2021, 57, 2969–2978. [Google Scholar] [CrossRef]
- Zhou, Q.; Wang, L.; Wu, C.; Li, H.; Du, H. Adaptive fuzzy control for nonstrict-feedback systems with input saturation and output constraint. IEEE Trans. Syst. Man Cybern. Syst. 2017, 47, 1–12. [Google Scholar] [CrossRef]
- Sun, L.; Zheng, Z. Disturbance-observer-based robust backstepping attitude stabilization of spacecraft under input saturation and measurement uncertainty. IEEE Trans. Ind. Electron. 2017, 64, 7994–8002. [Google Scholar] [CrossRef]
- Gong, X.P.; Chen, W.C.; Chen, Z.Y. Fixed-time formation control for spacecraft with prescribed performance guarantee under input saturation. Aerosp. Sci. Technol. 2021, 119, 107176. [Google Scholar]
- Liu, K.; Yang, P.; Jiao, L.; Wang, R.; Yuan, Z.; Dong, S. Antisaturation fixed-time attitude tracking control based low-computation learning for uncertain quadrotor UAVs with external disturbances. Aerosp. Sci. Technol. 2023, 142, 108668. [Google Scholar] [CrossRef]
- Gao, H.; Xia, Y.Q.; Zhang, X.P.; Zhang, G. Distributed fixed-time attitude coordinated control for multiple spacecraft with actuator saturation. Chin. J. Aeronaut. 2022, 35, 292–302. [Google Scholar] [CrossRef]
- Liu, Z.J.; Meng, Z.J. Fixed-time attitude control for aircraft with strongly constrained actuators. Aerosp. Sci. Technol. 2023, 141, 108532. [Google Scholar] [CrossRef]
- Ma, Y.; Guo, J.; Tang, S. High angle of attack command generation technique and tracking control for agile missiles. Aerosp. Sci. Technol. 2015, 45, 324–334. [Google Scholar] [CrossRef]
- Gómez-Peñate, S.; López-Estrada, F.R.; Valencia-Palomo, G.; Rotondo, D.; Guerrero-Sánchez, M.E. Actuator and sensor fault estimation based on a proportional multiple-integral sliding mode observer for linear parameter varying systems with inexact scheduling parameters. Int. J. Robust Nonlinear Control 2021, 31, 8420–8441. [Google Scholar] [CrossRef]
- Zhang, L.J.; Xia, Y.Q.; Shen, G.H.; Cui, B. Fixed-time attitude tracking control for spacecraft based on a fixed-time extended state observer. Sci. China-Inf. Sci. 2021, 064, 150–166. [Google Scholar] [CrossRef]
- Ai, X.; Yu, J. Fixed-time trajectory tracking for a quadrotor with external disturbances: A flatness-based sliding mode control approach. Aerosp. Sci. Technol. 2019, 89, 58–76. [Google Scholar] [CrossRef]
- Wang, T.; Liu, Y.; Zhang, X. Extended state observer-based fixed-time trajectory tracking control of autonomous surface vessels with uncertainties and output constraints. ISA Trans. 2022, 128, 174–183. [Google Scholar] [CrossRef] [PubMed]
- Fan, Y.S.; Qiu, B.B.; Liu, L.; Yang, Y. Global fixed-time trajectory tracking control of underactuated USV based on fixed-time extended state observer. ISA Trans. 2023, 132, 267–277. [Google Scholar] [CrossRef] [PubMed]
- Xu, J.; Wang, Y.; Yin, L.A. Practical fixed-time observer-based generalized cascade predictor design for synchronization of integrator systems with delays and complex unknowns. ISA Trans. 2023, 135, 159–172. [Google Scholar] [CrossRef] [PubMed]
- Wu, R.; Wei, C.; Yan, F.; Cui, N.; Zhang, L. FxTDO-Based Non-Singular Terminal Sliding Mode Control for Second-Order Uncertain Systems. IET Control Theory Appl. 2018, 12, 2459–2467. [Google Scholar] [CrossRef]
- Li, H.; Cai, Y. On SFTSM control with fixed-time convergence. IET Control Theory Appl. 2017, 11, 766–773. [Google Scholar] [CrossRef]
- Shen, G.H.; Xia, Y.Q.; Sun, H.R. A 6DOF mathematical model of parachute in Mars EDL. Adv. Space Res. 2015, 55, 1823–1831. [Google Scholar] [CrossRef]
- Sun, R.; Shan, A.; Zhang, C.; Wu, J.; Jia, Q. Quantized Fault-Tolerant Control for Attitude Stabilization with Fixed-Time Disturbance Observer. J. Guid. Control Dyn. 2021, 44, 229–255. [Google Scholar] [CrossRef]








| Signal | Values | Signal | Values |
|---|---|---|---|
| 20 | 1.4 | ||
| 10 | 0.01 | ||
| 0.6 |
| Signal | Values | Signal | Values |
|---|---|---|---|
| 1 | 1.1 | ||
| 1 | 2.2 | ||
| 1.4 | 1.1 | ||
| 1.2 | 2.2 | ||
| 1.4 | 1 | ||
| 0.6 | 1 | ||
| 0.02 | 3 | ||
| 1.3 | 0.02 |
| Method | |
|---|---|
| Proposed approach | 0.27° |
| FITSMC | 2.05° |
| BLF-ADSC | 1.38° |
Disclaimer/Publisher’s Note: The statements, opinions and data contained in all publications are solely those of the individual author(s) and contributor(s) and not of MDPI and/or the editor(s). MDPI and/or the editor(s) disclaim responsibility for any injury to people or property resulting from any ideas, methods, instructions or products referred to in the content. |
© 2024 by the authors. Licensee MDPI, Basel, Switzerland. This article is an open access article distributed under the terms and conditions of the Creative Commons Attribution (CC BY) license (https://creativecommons.org/licenses/by/4.0/).
Share and Cite
Li, J.; Yu, J. Fixed-Time Anti-Saturation Tracking Control for Agile Missiles with Multiple Actuators. Aerospace 2024, 11, 779. https://doi.org/10.3390/aerospace11090779
Li J, Yu J. Fixed-Time Anti-Saturation Tracking Control for Agile Missiles with Multiple Actuators. Aerospace. 2024; 11(9):779. https://doi.org/10.3390/aerospace11090779
Chicago/Turabian StyleLi, Jiaxun, and Jianqiao Yu. 2024. "Fixed-Time Anti-Saturation Tracking Control for Agile Missiles with Multiple Actuators" Aerospace 11, no. 9: 779. https://doi.org/10.3390/aerospace11090779
APA StyleLi, J., & Yu, J. (2024). Fixed-Time Anti-Saturation Tracking Control for Agile Missiles with Multiple Actuators. Aerospace, 11(9), 779. https://doi.org/10.3390/aerospace11090779

