Incidence Adaptation to the Influence of Wake Sweeps on the Aerodynamic Performance of a Low-Pressure Turbine Cascade
Abstract
1. Introduction
2. Experimental Methods
2.1. Experiment Facility
2.2. Rresearch Object
2.3. Experimental Acquisition Method and Uncertainty
3. Numerical Method
3.1. Calculation Model
3.2. Numerical Calculation and Data Processing
3.3. Numerical Method Verification
4. Results and Discussion
4.1. Overall Performance Analysis
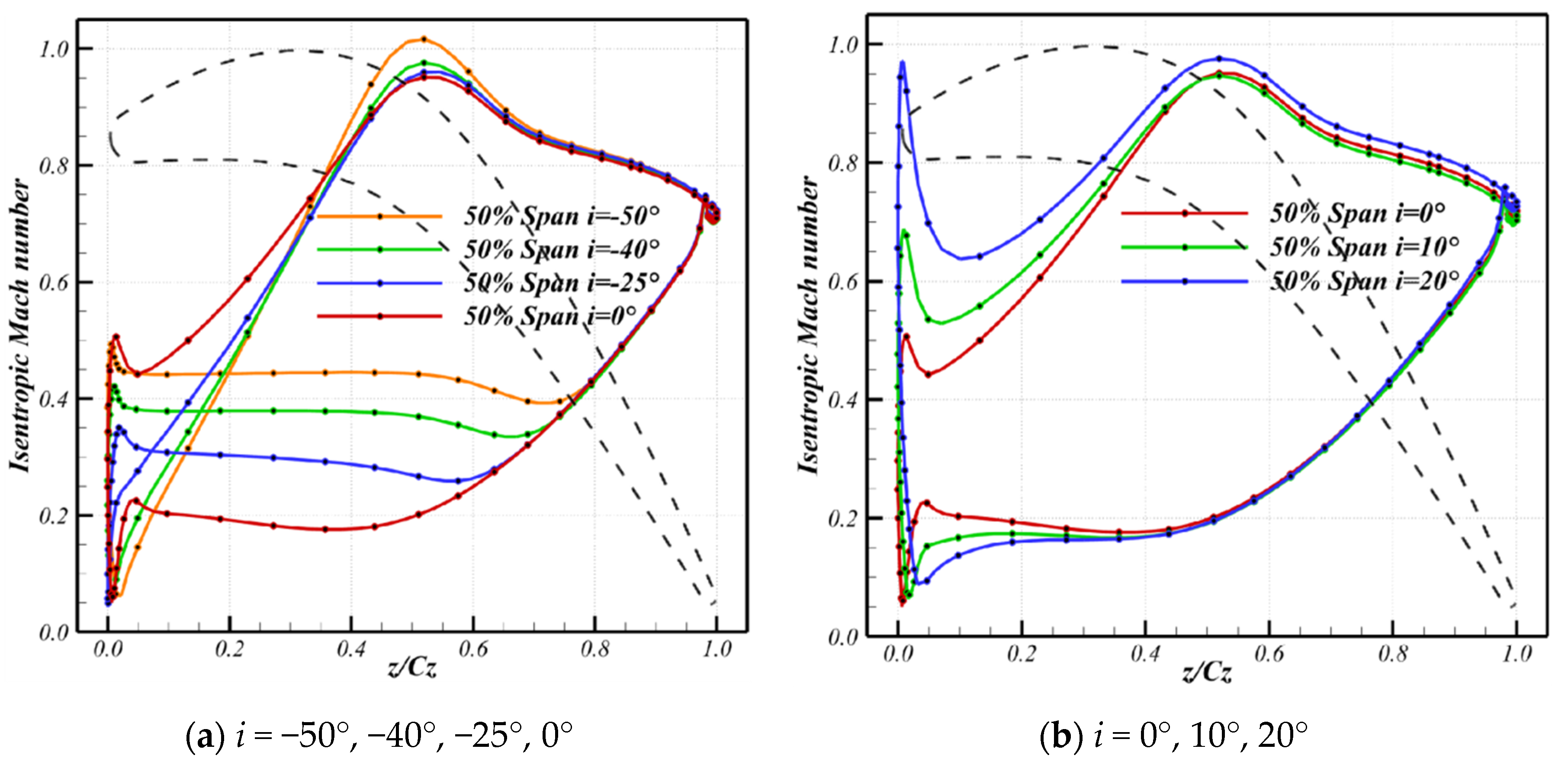
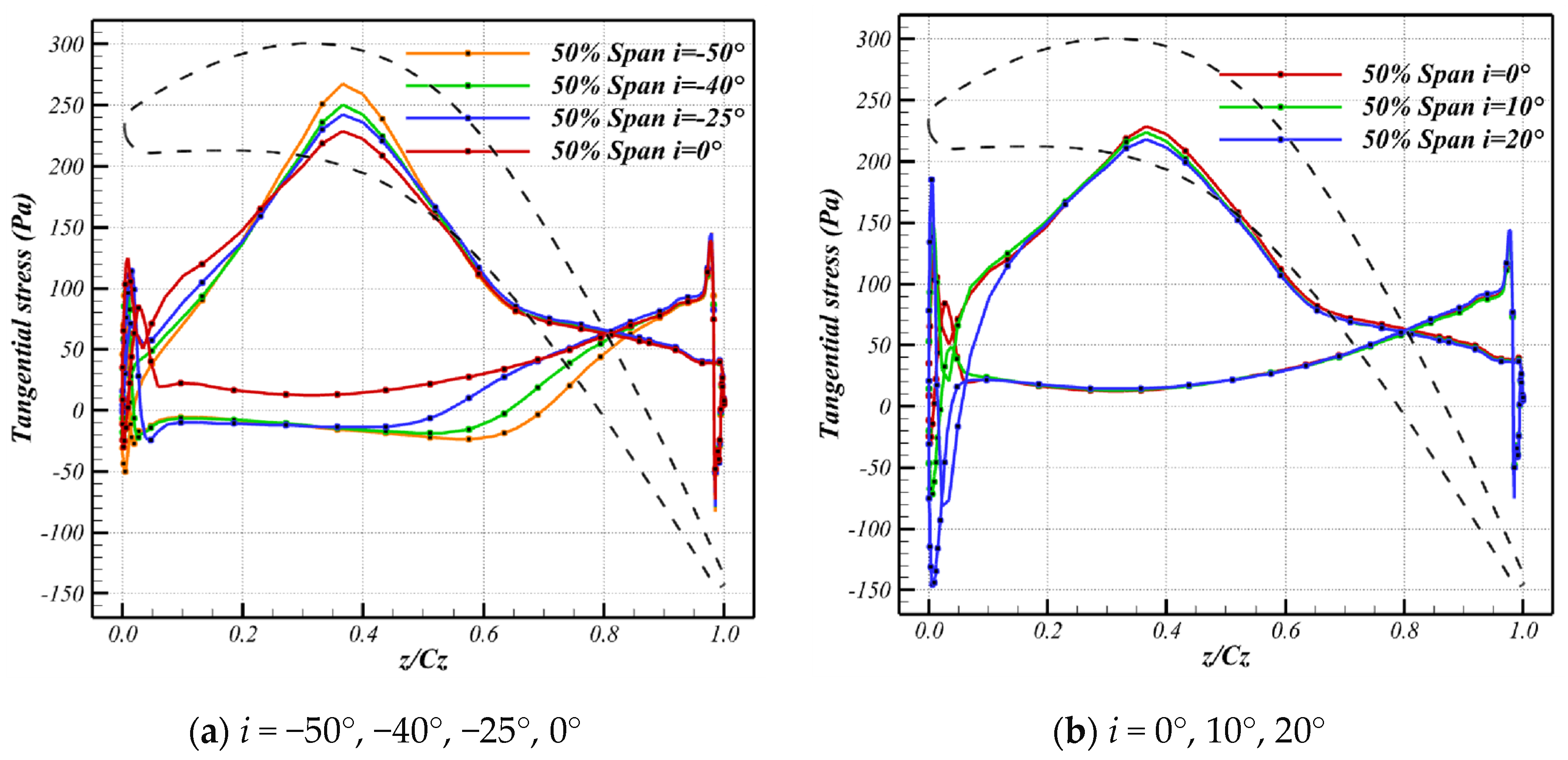
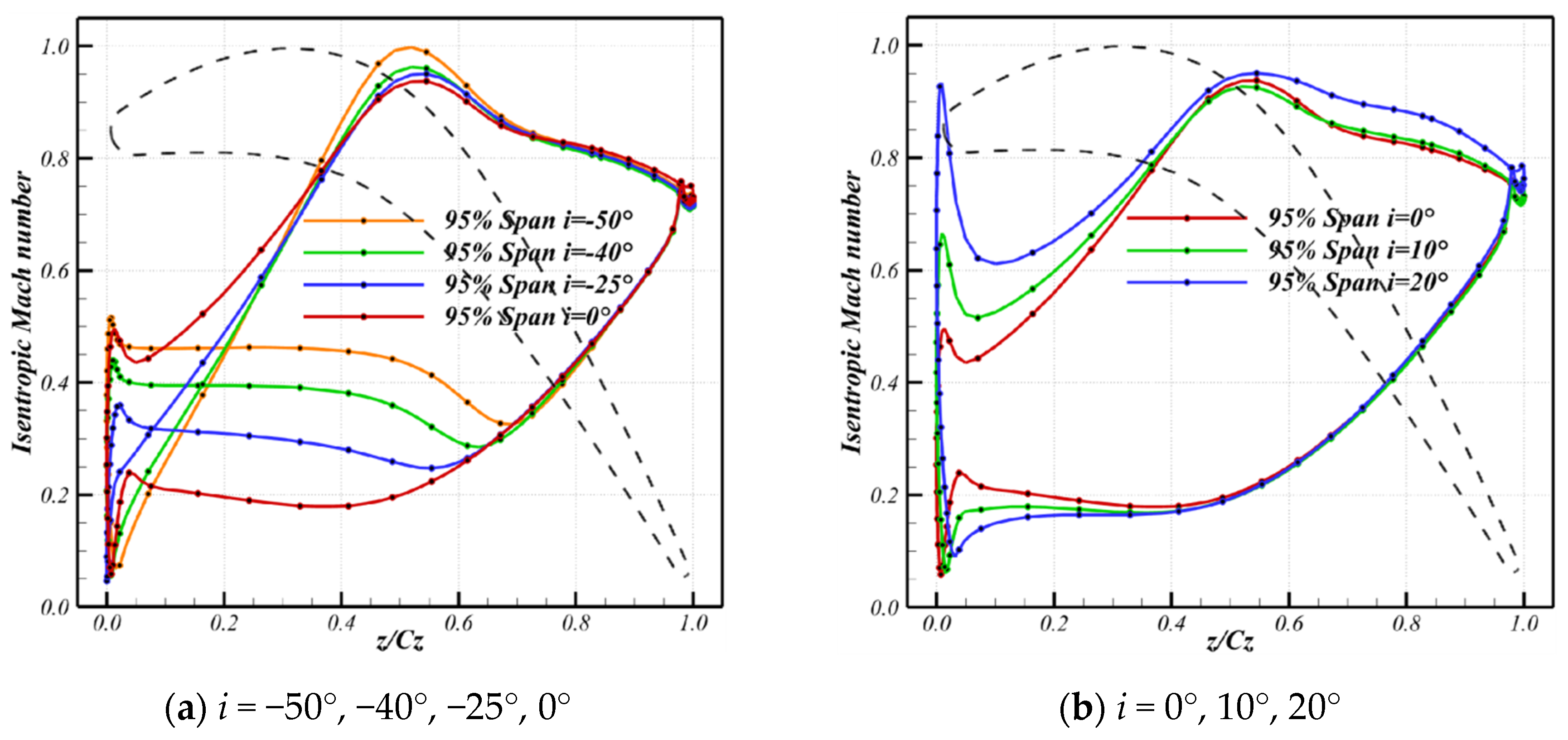
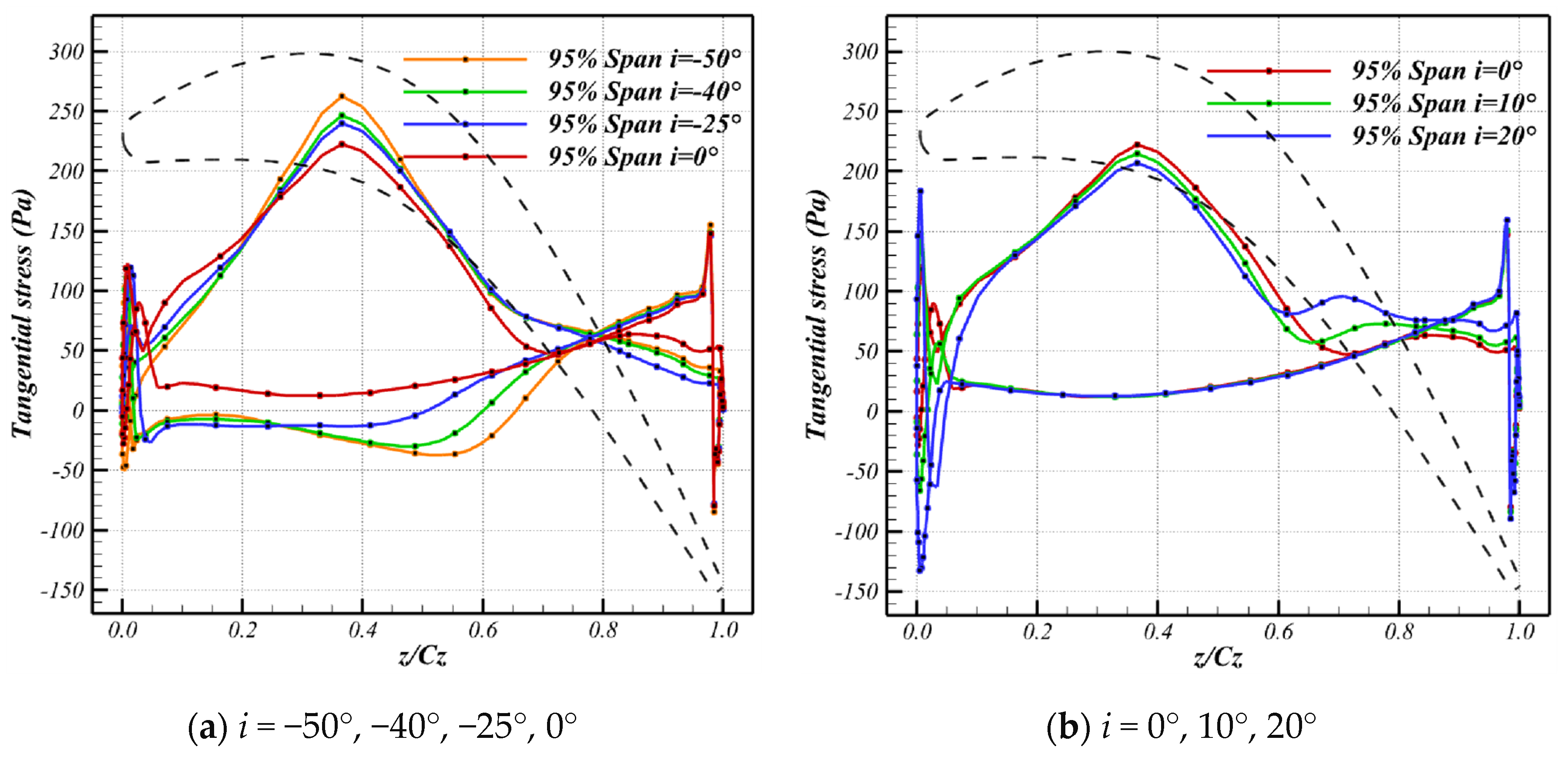
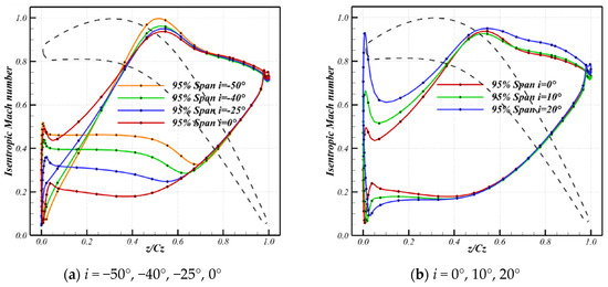
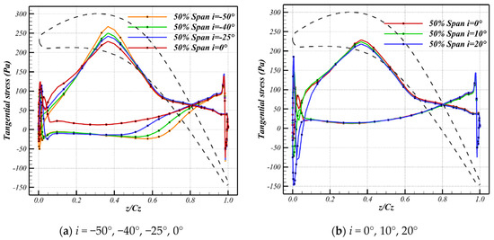
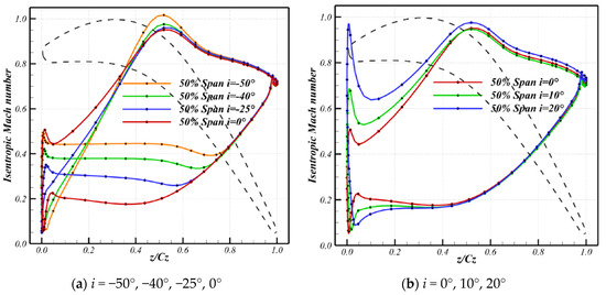
4.2. Flow Characteristics of Cascade Midsection under Wake Sweep
4.3. Flow Characteristics of End Wall Region under Wake Sweep
5. Conclusions
- (1)
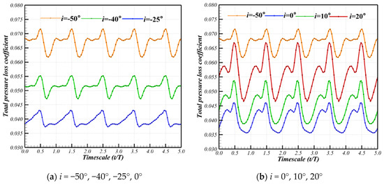
- The experimental results show that the cascade’s total pressure loss coefficient decreased first and then increased as the inflow incidence increased from −50° to 20°, and the loss was the least when the inflow incidence is −25°. In the whole experimental inflow incidence range, there was no separation on the cascade suction surface. In particular, when the inflow incidence was 20°, the blade surface still did not separate. Therefore, this blade profile shows good flow characteristics. Thus, the cascade can be considered to be adaptable to the inflow incidence.
- (2)
- Through the numerical calculation, it was found that the unsteady upstream wake flow law is basically the same in the cascade channel when the incoming flow is in the negative incidence range, and the same is true when the incoming flow is in the non-negative incidence range. When the unsteady upstream wake is transported downstream in the cascade channel, the wake near the suction surface departs and hardly interacts with the suction surface’s mainstream fluid. This occurs because the blade suction surface does not separate in all incidences.
- (3)
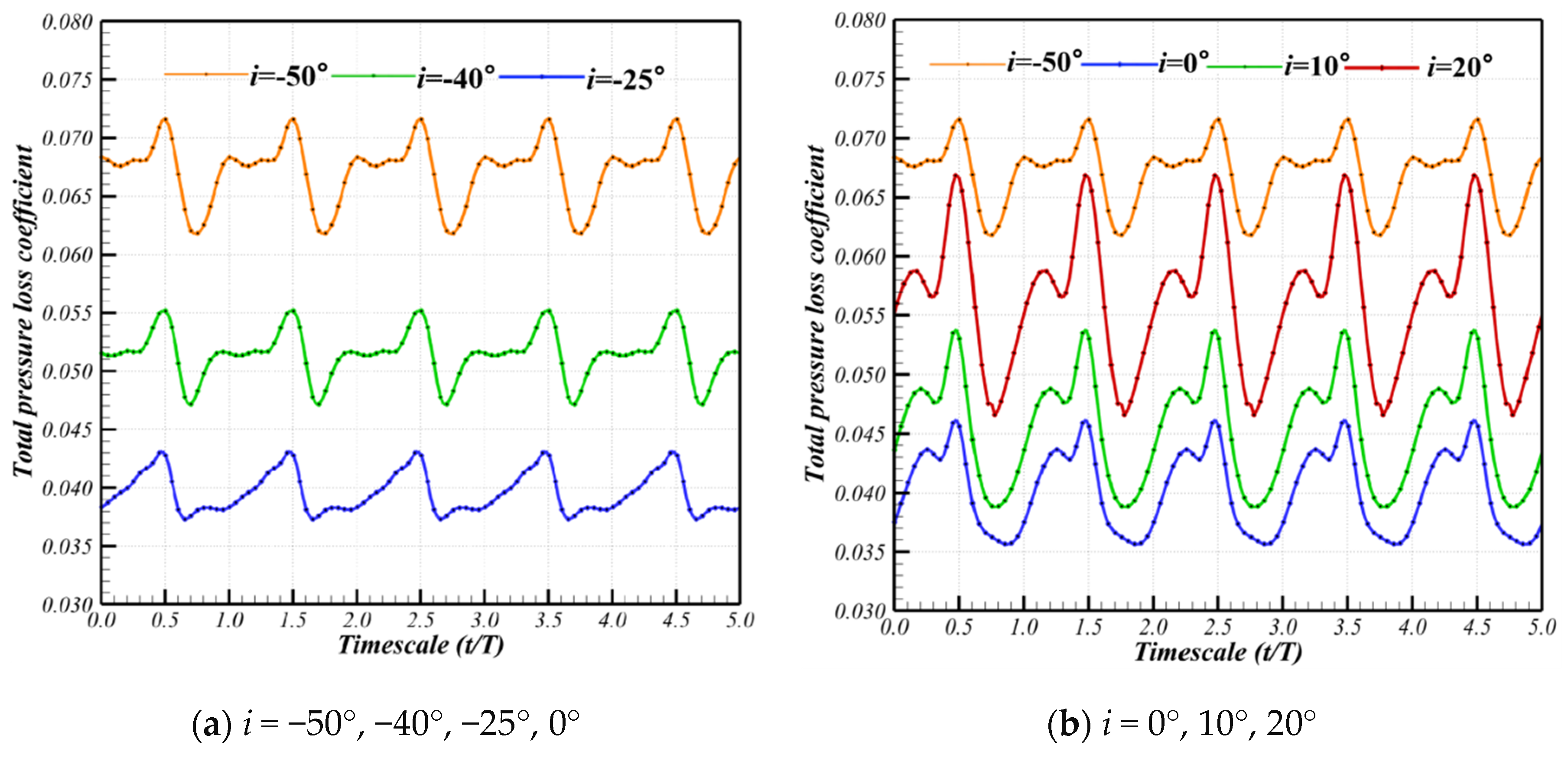
- The cascade calculation results showed good periodicity in each working condition, which indicates that the unsteady cascade effect was very obvious under the upstream wake sweep. At the same time, it was found that the loss fluctuation range and the incidence characteristic curve in one period showed the same law.
- (4)
- The test results show that the passage vortex losses were almost nonexistent in the negative inflow incidence range. As a result, the losses were mainly concentrated in the wake and the end wall region. In the positive inflow incidence range, with an increase in the inflow incidence, the passage vortex scale gradually increased, and the loss area of the passage vortex increased sharply.
Author Contributions
Funding
Institutional Review Board Statement
Informed Consent Statement
Data Availability Statement
Conflicts of Interest
References
- Woinowsky-Krieger, M.; Lavoie, J.P.; Vlasic, E.P.; Moustapha, H.S. Off-design performance of a single-stage transonic turbine. J. Turbomach. 1999, 121, 177–183. [Google Scholar] [CrossRef]
- Jouini, D.B.M.; Sjolander, S.A.; Moustapha, H.S. Midspan flow-field measurements for two transonic linear turbine cascadesat off-design conditions. J. Turbomach. 2002, 124, 176–186. [Google Scholar] [CrossRef]
- Benner, M.W.; Sjolander, S.A.; Moustapha, S.H. Measurements of secondary flows in turbine cascade at off-design incidence. In Proceedings of the ASME 1997 International Gas Turbine and Aeroengine Congress and Exhibition, Orlando, FL, USA, 2–5 June 1997. [Google Scholar] [CrossRef]
- Benner, M.W.; Sjolander, S.A.; Moustapha, S.H. Measurements of secondary flows downstream of a turbine cascade at off-design incidence. In Proceedings of the ASME Turbo Expo 2004: Power for Land, Sea, and Air, Vienna, Austria, 14–17 June 2004; pp. 1299–1311. [Google Scholar] [CrossRef]
- Pesation, E.; D’Ippolito, G.; Ippolito, G. Staggers angle and pitch-chord ratio effects on secondary flows downstream of a turbine cascade at several off-design conditions. In Proceedings of the ASME Turbo Expo 2004: Power for Land, Sea, and Air, Vienna, Austria, 14–17 June 2004; pp. 1429–1437. [Google Scholar] [CrossRef]
- Gallus, H.E.; Grollius, H.W.; Lambertz, J. The influence of blade number ratio and blade row spacing on axial-flow compressor stator blade dynamic load and stage sound pressure level. J. Eng. Power 1982, 104, 633–641. [Google Scholar] [CrossRef]
- Rhee, D.H.; Cho, H.H. Effect of vane/blade relative position on heat transfer characteristics in a stationary turbine blade: Part 1. Tip and shroud. Int. J. Therm. Sci. 2008, 47, 1528–1543. [Google Scholar] [CrossRef]
- Li, W.; Ouyang, H.; Du, Z. Numerical simulation of clocking effect on wake transportation and interaction in a 1.5-stage axial turbine. In Proceedings of the ASME Turbo Expo 2010: Power for Land, Sea, and Air, Glasgow, UK, 14–18 June 2010; pp. 1381–1389. [Google Scholar] [CrossRef]
- Touil, K.; Ghenaiet, A. Simulation and analysis of vane-blade interaction in a two-stage highpressure axial turbine. Energy 2019, 172, 1291–1311. [Google Scholar] [CrossRef]
- Bohn, D.; Ren, J.; Sell, M. Influence of stator clocking on the unsteady three-dimensional flow in a two-stage turbine. J. Turbomach. 2005, 127, 156–163. [Google Scholar] [CrossRef]
- Batailly, A.; Agrapart, Q.; Millecamps, A.; Brunel, J.F. Experimental and numerical simulation of a rotor/stator interaction event localized on a single blade within an industrial high-pressure compressor. J. Sound Vib. 2016, 375, 308–331. [Google Scholar] [CrossRef]
- Meyer, R.X. The Effect of wakes on the transient pressure and velocity distributions in turbomachines. Trans. ASME 1958, 80, 1544–1552. [Google Scholar] [CrossRef]
- Ning, W.; He, L. Some Modelling Issues on Trailing Edge Vortex Shedding. In Proceedings of the ASME 1999 International Gas Turbine and Aeroengine Congress and Exhibition, Indianapolis, IN, USA, 7–10 June 1999. [Google Scholar] [CrossRef]
- Pfeil, H.; Herbst, R. Transition procedure of instationary boundary layers. In Proceedings of the ASME 1979 International Gas Turbine Conference and Exhibit and Solar Energy Conference, San Diego, CA, USA, 12–15 March 1979. [Google Scholar] [CrossRef]
- Schulte, V.; Hodson, H.P. Unsteady wake- induced boundary layer transition in high lift LP Turbines. J. Turbomach. 1998, 120, 28–35. [Google Scholar] [CrossRef]
- Ladwig, M.; Fottner, L. Experimental investigations of the influence of incoming wakes on the losses of a linear turbine cascade. In Proceedings of the ASME 1993 International Gas Turbine and Aeroengine Congress and Exposition, Cincinnati, OH, USA, 24–27 May 1993. [Google Scholar] [CrossRef]
- Howell, R.J.; Ramesh, O.N.; Hodson, H.P.; Harvey, N.W.; Schulte, V. High lift and aft-loaded profiles for low-pressure turbines. J. Turbomach. 2001, 123, 181–188. [Google Scholar] [CrossRef]
- Michelassi, V.; Chen, L.W.; Pichler, R.; Sandberg, R.D. Compressible direct numerical simulation of low-pressure turbines—Part II: Effect of inflow disturbances. J. Turbomach. 2015, 137, 071005. [Google Scholar] [CrossRef]
- Vincentiis, L.D.; Ðurović, K.; Lengani, D.; Simoni, D.; Pralits, J.; Henningson, D.S.; Hanifi, A. Effects of upstream wakes on the boundary layer over a low-pressure turbine blade. J. Turbomach. 2023, 145, 051011. [Google Scholar] [CrossRef]
- Kodama, H.; Funazaki, K. Experimental investigation of additional loss associated with incoming wakes in low-pressure turbine cascades. J. Turbomach. 2024, 146, 051013. [Google Scholar] [CrossRef]
- Zhengshuai, D.; Le, C.; Jun, Z.; Yingjie, C.; Xun, Z.; Songtao, W. Experimental and numerical investigation on turbine flow control through integrating endwall contouring with section profiling at different Mach numbers. Aerosp. Sci. Technol. 2024, 151, 109318. [Google Scholar] [CrossRef]
- Chen, Y.; Jiang, D.; Du, Z.; Wang, S. Experimental and numerical investigation of high load turbine blade tip cavity structures. J. Turbomach. 2023, 145, 061008. [Google Scholar] [CrossRef]
- She, Z.S.; Chen, X.; Hussain, F. Quantifying wall turbulence via a symmetry approach: A lie group theory. J. Fluid Mech. 2017, 827, 322–356. [Google Scholar] [CrossRef]
- Shabbir, A.; Zhu, J.; Celestina, M. Assessment of three turbulence models in a compressor rotor. In Proceedings of the ASME 1996 International Gas Turbine and Aeroengine Congress and Exhibition, Birmingham, UK, 10–13 June 1996. [Google Scholar] [CrossRef]
- Wilcox, D.C. Multiscale model for turbulent flows. AIAA J. 1998, 26, 1311–1320. [Google Scholar] [CrossRef]
- Yakhot, V.; Orszag, S.A.; Thangam, S.; Gatski, T.B.; Speziale, C.G. Development of turbulence models for shear flows by a double expansion technique. Phys. Fluids 1992, 4, 1510–1520. [Google Scholar] [CrossRef]
- Muth, B.; Niehuis, R. Axial loss development in low pressure turbine cascades. J. Turbomach. 2013, 135, 041024. [Google Scholar] [CrossRef]
- Menter, F.R. Two-equation eddy-viscosity turbulence models for engineering applications. AIAA J. 1994, 32, 1598–1605. [Google Scholar] [CrossRef]
























| Parameters | Units | Values |
|---|---|---|
| Moving-bar diameter | [mm] | 3 |
| Moving-bar span | [mm] | 140 |
| Moving-bar pitch | [mm] | 40.87 |
| Number of moving bars | - | 63 |
| Motor’s rated power | [W] | 70 |
| Motor’s rated voltage | [V] | 380 |
| Motor’s maximum speed | [r/min] | 2600 |
| Motor’s frequency | [Hz] | 50 |
| Parameters | Units | Values |
|---|---|---|
| Chord, C | [mm] | 50.54 |
| Axial chord, Caz | [mm] | 40.60 |
| Pitch, P | [mm] | 40.87 |
| Blade span, H | [mm] | 100 |
| Inlet blade angle | [degree] | 19 |
| Outlet blade angle | [degree] | 63 |
| Parameter Name | Symbol | Error Value |
|---|---|---|
| Exit’s isentropic Mach number | Ma,iso | 0.14% |
| Total inlet pressure | Ptotal,inlet | 0.07% |
| Outlet’s static pressure | Pstatic,outlet | 0.07% |
| Mainstream temperature | Tmainstream | 0.32% |
| Total pressure loss coefficient | Y | 3.6% |
| Parameter Name | Units | Value |
|---|---|---|
| Blade pitch | [mm] | 40.87 |
| Moving-bar pitch | [mm] | 40.87 |
| Moving-bar movement speed | [m/s] | 20 |
| Exit’s isentropic Mach number | - | 0.75 |
| Sweep frequency | - | 0.17 |
| Cycle count | - | 120 |
| The number of iterations | - | 20 |
| Time step | [s] | 1.70 × 10−5 |
| Case 1 | Case 2 | Case 3 | Case 4 | Case 5 | |
|---|---|---|---|---|---|
| Level | Extremely coarse | Coarse | Medium | Fine | Extremely fine |
| Total number of mesh/(million) | 0.80 | 1.71 | 2.73 | 3.48 | 4.44 |
Disclaimer/Publisher’s Note: The statements, opinions and data contained in all publications are solely those of the individual author(s) and contributor(s) and not of MDPI and/or the editor(s). MDPI and/or the editor(s) disclaim responsibility for any injury to people or property resulting from any ideas, methods, instructions or products referred to in the content. |
© 2024 by the authors. Licensee MDPI, Basel, Switzerland. This article is an open access article distributed under the terms and conditions of the Creative Commons Attribution (CC BY) license (https://creativecommons.org/licenses/by/4.0/).
Share and Cite
Li, X.; Fang, X.; Cai, L.; Wang, L.; Hu, X.; Chen, Y.; Wang, S. Incidence Adaptation to the Influence of Wake Sweeps on the Aerodynamic Performance of a Low-Pressure Turbine Cascade. Aerospace 2024, 11, 569. https://doi.org/10.3390/aerospace11070569
Li X, Fang X, Cai L, Wang L, Hu X, Chen Y, Wang S. Incidence Adaptation to the Influence of Wake Sweeps on the Aerodynamic Performance of a Low-Pressure Turbine Cascade. Aerospace. 2024; 11(7):569. https://doi.org/10.3390/aerospace11070569
Chicago/Turabian StyleLi, Xuejian, Xinglong Fang, Le Cai, Lan Wang, Xinlei Hu, Yingjie Chen, and Songtao Wang. 2024. "Incidence Adaptation to the Influence of Wake Sweeps on the Aerodynamic Performance of a Low-Pressure Turbine Cascade" Aerospace 11, no. 7: 569. https://doi.org/10.3390/aerospace11070569
APA StyleLi, X., Fang, X., Cai, L., Wang, L., Hu, X., Chen, Y., & Wang, S. (2024). Incidence Adaptation to the Influence of Wake Sweeps on the Aerodynamic Performance of a Low-Pressure Turbine Cascade. Aerospace, 11(7), 569. https://doi.org/10.3390/aerospace11070569
