Fluid–Structure Interactions between Oblique Shock Trains and Thin-Walled Structures in Isolators
Abstract
1. Introduction
2. Numerical Method and Verification
2.1. CFD Method
2.2. Coupled CFD/CSD Method
2.3. Verification Cases
- Verification of the CFD method
- 2.
- Verification of the coupled CFD/CSD method
3. Computational Configuration and Setup
3.1. Computational Configuration
3.2. Grid Convergence Study
4. Flow Structures of Oblique Shock Train under Rigid Wall Conditions
5. Influence of Thin-Walled Panels on Oblique Shock Train Structures and the Isolator Performance
5.1. The Structural Model of Thin-Walled Panels
5.2. Definitions of Monitored Parameters
5.3. Analysis of the Influence of the Thin-Walled Panel
- Structure
- 2.
- Separation
- 3.
- Shock structures
- 4.
- Flow symmetry
- 5.
- Performance
6. Comparisons of the Influence of Thin-Walled Panels on Oblique and Normal Shock Trains
- Structure
- 2.
- Separation
- 3.
- Shock structures
- 4.
- Flow symmetry
- 5.
- Performance
7. Conclusions
- (1)
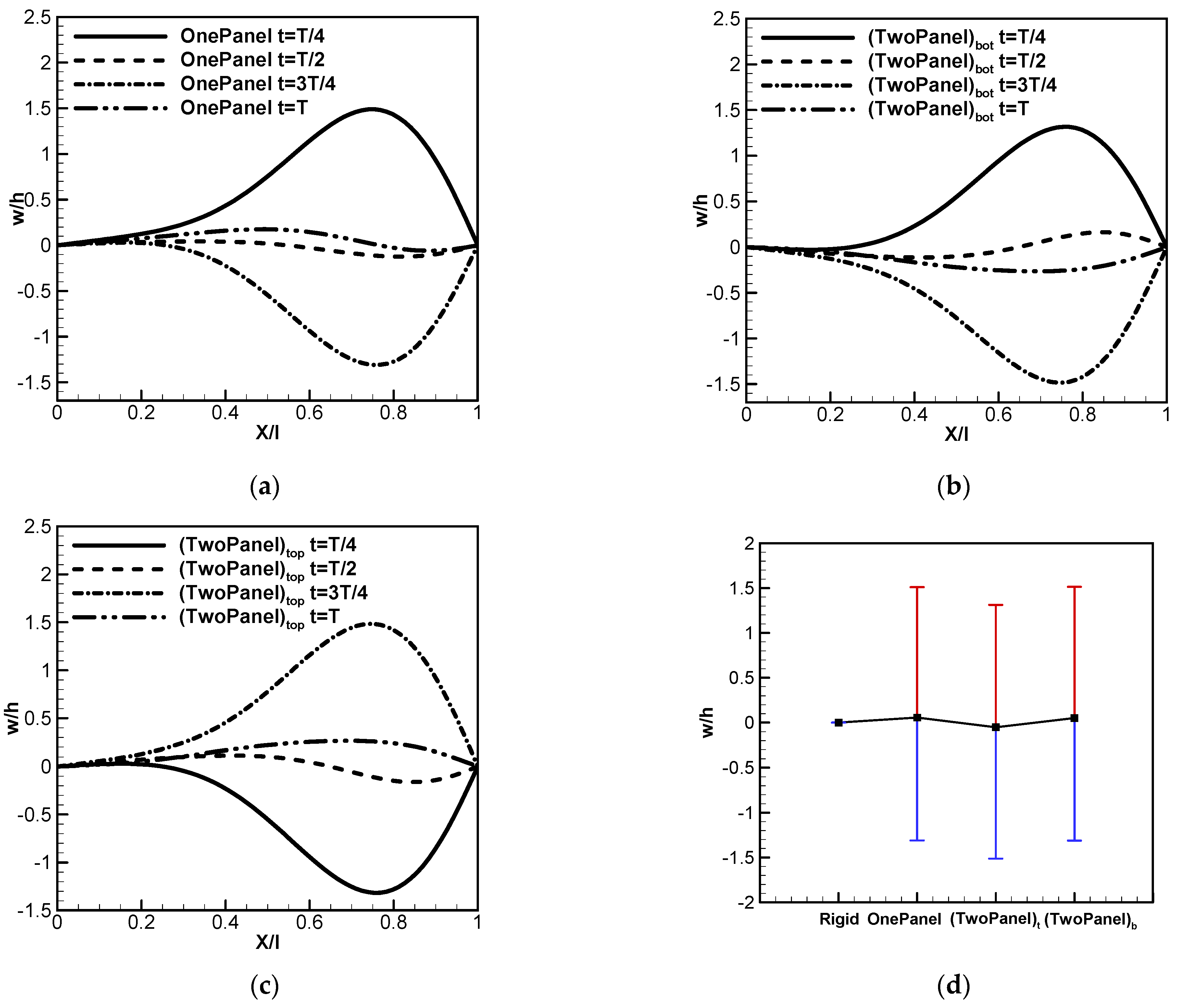
- The FSI between thin-walled panels and oblique shock trains induces the LCO of panel structures, with the structural responses exhibiting similar equilibrium positions and flutter amplitudes for all the cases. The panel shapes predominantly manifest as a combination of first- and second-mode responses, with the maximum deflection occurring at 0.75l.
- (2)
- In Case 1, where one thin-walled panel is positioned at the bottom wall upstream of the oblique shock train, the separation zones and shock structures shift downstream with the decreasing length compared to the rigid wall conditions. While the local flow symmetry level decreases with minor transient fluctuations, the overall flow symmetry level exhibits minor changes with larger transient fluctuations. The isolator performance experiences minor alterations with transient fluctuations.
- (3)
- In Case 2, with panels at the top and bottom walls upstream of the oblique shock train, the separation zones and shock train structures slightly shift upstream compared to Case 1 but remain downstream of the rigid wall conditions. Although the separation length and shock distance are slightly affected, the transient fluctuations in the separation and shock parameters intensify. The local flow asymmetry increases with more drastic transient fluctuations, while the overall flow symmetry remains similar to Case 1. The isolator performance averages almost the same, with slightly more violent transient fluctuations.
- (4)
- The FSI effects under normal shock train conditions exert a larger influence on the structural response and isolator flow compared to oblique shock train conditions. The LCO is triggered under normal shock train conditions, with the panel shapes dominated by the first-order mode response, exhibiting larger flutter amplitudes and frequencies. The effects of FSIs under normal shock train conditions on the averaged separation characteristics, shock characteristics, and isolator performance are the opposite (with larger influence) to those under oblique shock train conditions, with significantly more drastic transient fluctuations.
Author Contributions
Funding
Data Availability Statement
Conflicts of Interest
References
- Gnani, F.; Zare-Behtash, H.; Kontis, K. Pseudo-shock waves and their interactions in high-speed intakes. Prog. Aerosp. Sci. 2016, 82, 36–56. [Google Scholar] [CrossRef]
- Xu, K.; Chang, J.; Li, N.; Zhou, W.; Yu, D. Preliminary investigation of limits of shock train jumps in a hypersonic inlet-isolator. Eur. J. Mech. 2018, 72, 664–675. [Google Scholar] [CrossRef]
- Urzay, J. Supersonic Combustion in Air-Breathing Propulsion Systems for Hypersonic Flight. Annu. Rev. Fluid Mech. 2018, 50, 593–627. [Google Scholar] [CrossRef]
- Im, S.K.; Do, H. Unstart phenomena induced by flow choking in scramjet inlet-isolators. Prog. Aerosp. Sci. 2018, 97, 1–21. [Google Scholar] [CrossRef]
- Hunt, R.L.; Gamba, M. Shock train unsteadiness characteristics, oblique-to-normal transition, and three-dimensional leading shock structure. AIAA J. 2018, 56, 1569–1587. [Google Scholar] [CrossRef]
- Wang, Z.; Xin, X.; Guo, J.; Yue, L.; Kong, C.; Huang, R.; Chang, J. Hysteresis behavior of shock train driven by continuous incoming Mach number variation in an isolator with background waves. Eur. J. Mech. 2023, 101, 42–58. [Google Scholar] [CrossRef]
- Zheng, K.; Tian, W.; Qin, J.; Zhang, S.; Hu, H. Effect of film cooling injection on aerodynamic performances of scramjet isolator. Aerosp. Sci. Technol. 2019, 94, 150383. [Google Scholar] [CrossRef]
- Vanstone, L.; Hashemi, K.E.; Lingren, J.; Akella, M.R.; Clemens, N.T.; Donbar, J.; Gogineni, S. Closed-loop control of shock-train location in a combusting scramjet. J. Propuls. Power 2018, 34, 660–667. [Google Scholar] [CrossRef]
- Xing, F.; Ruan, C.; Huang, Y.; Fang, X.; Yao, Y. Numerical investigation on shock train control and applications in a scramjet engine. Aerosp. Sci. Technol. 2017, 60, 162–171. [Google Scholar] [CrossRef]
- McNamara, J.J.; Friedmann, P.P. Aeroelastic and Aerothermoelastic Analysis in Hypersonic Flow: Past, Present, and Future. AIAA J. 2011, 49, 1089–1122. [Google Scholar] [CrossRef]
- Liguore, S.; Tzong, G. Identification of Knowledge Gaps in the Predictive Capability for Response and Life Prediction of Hypersonic Vehicle Structures. In Proceedings of the 52nd AIAA/ASME/ASCE/AHS/ASC Structures, Structural Dynamics and Materials Conference, Denver, CO, USA, 4–7 April 2011; pp. 1–9. [Google Scholar] [CrossRef]
- Meng, X.; Ye, Z.; Hong, Z.; Ye, K. Influences of wall vibration on shock train structures and performance of two-dimensional rectangular isolators in scramjet engine. Acta Astronaut. 2020, 166, 180–198. [Google Scholar] [CrossRef]
- Meng, X.; Ye, Z.; Hong, Z.; Ye, K. Impacts of panel vibration on shock train structures and performance of two-dimensional isolators. Aerosp. Sci. Technol. 2020, 104, 105978. [Google Scholar] [CrossRef]
- Meng, X.; Ye, Z.; Ye, K. Effects of flexible panels on normal shock trains and performance of scramjet isolators. Aerosp. Sci. Technol. 2021, 110, 106455. [Google Scholar] [CrossRef]
- Ye, K.; Ye, Z.; Zhang, Q.; Qu, Z. Effects of aeroelasticity on the performance of hypersonic inlet. Proc. Inst. Mech. Eng. Part G J. Aerosp. Eng. 2018, 232, 2108–2121. [Google Scholar] [CrossRef]
- Ye, K.; Ye, Z.; Li, C.; Wu, J. Effects of the aerothermoelastic deformation on the performance of the three-dimensional hypersonic inlet. Aerosp. Sci. Technol. 2019, 84, 747–762. [Google Scholar] [CrossRef]
- Ye, K.; Feng, Z.; Liu, X.; Ye, Z. Numerical investigation of the influence of aerothermoelastic dynamic response on the performance of the three-dimensional hypersonic inlet. Proc. Inst. Mech. Eng. Part G J. Aerosp. Eng. 2022, 236, 2131–2147. [Google Scholar] [CrossRef]
- Matsuo, K.; Miyazato, Y.; Kim, H.D. Shock train and pseudo-shock phenomena in internal gas flows. Prog. Aerosp. Sci. 1999, 35, 33–100. [Google Scholar] [CrossRef]
- Carroll, B.F.; Dutton, J.C. Characteristics of Multiple Shock Wave/Turbulent Boundary-Layer Interactions in Rectangular Ducts. J. Propuls. Power 1989, 6, 186–193. [Google Scholar] [CrossRef]
- Nill, L.; Mattick, A. An experimental study of shock structure in a normal shock train. In Proceedings of the 34th Aerospace Sciences Meeting and Exhibit, Reno, NV, USA, 15–18 January 1996; p. 799. [Google Scholar]
- Miyazato, Y.; Matsuo, K.; Kasada, R. Experimental and Theoretical Investigations of Normal Shock Wave/Turbulent Boundary-Layer Interactions at Low Mach Numbers in a Square Straight Duct. In Proceedings of the 47th AIAA Aerospace Sciences Meeting including the New Horizons Forum and Aerospace Exposition, Orlando, FL, USA, 5–8 January 2009; p. 925. [Google Scholar]
- Ikui, T.; Matsuo, K.; Nagai, M.; Honjo, M. Oscillation phenomena of pseudo-shock waves. Bull. JSME 1974, 17, 1278–1285. [Google Scholar] [CrossRef]
- Klomparens, R.L.; Driscoll, J.F.; Gamba, M. Unsteadiness characteristics and pressure distribution of an oblique shock train. In Proceedings of the 53rd AIAA Aerospace Sciences Meeting, Kissimmee, FL, USA, 5–9 January 2015. [Google Scholar]
- Seleznev, R.K.; Surzhikov, S.T.; Shang, J.S. A review of the scramjet experimental data base. Prog. Aerosp. Sci. 2019, 106, 43–70. [Google Scholar] [CrossRef]
- Eason, T.G.; Spottswood, S. A Structures Perspective on the Challenges Associated with Analyzing a Reusable Hypersonic Platform. In Proceedings of the 54th AIAA/ASME/ASCE/AHS/ASC Structures, Structural Dynamics, and Materials Conference, Boston, MA, USA, 8–11 April 2013. [Google Scholar] [CrossRef]
- Dowell, E.H. Nonlinear oscillations of a fluttering plate. AIAA J. 1966, 4, 1267–1275. [Google Scholar] [CrossRef]
- Dowell, E.H. Nonlinear oscillations of a fluttering plate. II. AIAA J. 1967, 5, 1856–1862. [Google Scholar] [CrossRef]
- Dowell, E.H. Panel flutter—A review of the aeroelastic stability of plates and shells. AIAA J. 1970, 8, 385–399. [Google Scholar] [CrossRef]
- Mei, C.; Abdel-Motagaly, K.; Chen, R. Review of Nonlinear Panel Flutter at Supersonic and Hypersonic Speeds. Appl. Mech. Rev. 1999, 52, 321–332. [Google Scholar] [CrossRef]
- Meng, X.; Ye, Z.; Liu, C. Nonlinear Analysis on Piston Theory. AIAA J. 2019, 57, 4583–4587. [Google Scholar] [CrossRef]
- Meng, X.; Ye, Z.; Ye, K.; Liu, C. Aerodynamic Nonlinearity of Piston Theory in Surface Vibration. J. Aerosp. Eng. 2020, 33, 04020035. [Google Scholar] [CrossRef]
- Meng, X.; Ye, Z.; Ye, K.; Liu, C. Analysis on location of maximum vibration amplitude in panel flutter. Proc. Inst. Mech. Eng. Part G J. Aerosp. Eng. 2020, 234, 457–469. [Google Scholar] [CrossRef]
- Spottswood, S.M.; Eason, T.G.; Beberniss, T. Influence of shock-boundary layer interactions on the dynamic response of a flexible panel. In Proceedings of the International Conference on Noise and Vibration Engineering 2012, Leuven, Belgium, 17–19 September 2012; pp. 603–616. [Google Scholar]
- Spottswood, S.M.; Beberniss, T.J.; Eason, T.G.; Perez, R.A.; Donbar, J.M.; Ehrhardt, D.A.; Riley, Z.B. Exploring the response of a thin, flexible panel to shock-turbulent boundary-layer interactions. J. Sound Vib. 2019, 443, 74–89. [Google Scholar] [CrossRef]
- Daub, D.; Willems, S.; Gülhan, A. Experimental results on unsteady shock-wave/boundary-layer interaction induced by an impinging shock. CEAS Space J. 2016, 8, 3–12. [Google Scholar] [CrossRef]
- Willems, S.; Gülhan, A.; Esser, B. Shock induced fluid-structure interaction on a flexible wall in supersonic turbulent flow. Prog. Flight Phys. 2013, 5, 285–308. [Google Scholar] [CrossRef]
- Daub, D.; Willems, S.; Gulhan, A. Experiments on the interaction of a fast-moving shock with an elastic panel. AIAA J. 2016, 54, 670–678. [Google Scholar] [CrossRef]
- Visbal, M. Viscous and inviscid interactions of an oblique shock with a flexible panel. J. Fluids Struct. 2014, 48, 27–45. [Google Scholar] [CrossRef]
- Ye, L.-Q.; Ye, Z.-Y. Effects of Shock Location on Aeroelastic Stability of Flexible Panel. AIAA J. 2018, 56, 3732–3744. [Google Scholar] [CrossRef]
- Ye, L.; Ye, Z. Aeroelastic Stability Analysis of Heated Flexible Panel in Shock-Dominated Flows. Chin. J. Aeronaut. 2018, 31, 1650–1666. [Google Scholar] [CrossRef]
- Quan, E.; Xu, M.; Yao, W.; Cheng, X. Analysis of the post-flutter aerothermoelastic characteristics of hypersonic skin panels using a CFD-based approach. Aerosp. Sci. Technol. 2021, 118, 107076. [Google Scholar] [CrossRef]
- Daub, D.; Willems, S.; Gülhan, A. Experiments on aerothermoelastic fluid–structure interaction in hypersonic flow. J. Sound Vib. 2022, 531, 116714. [Google Scholar] [CrossRef]
- Yao, C.; Zhang, G.H.; Liu, Z.S. Forced shock oscillation control in supersonic intake using fluid-structure interaction. AIAA J. 2017, 55, 2580–2596. [Google Scholar] [CrossRef]
- Liu, W.; Wu, Y.; Li, Y.; Chen, X. Effect of cavity pressure on shock train behavior and panel aeroelasticity in an isolator. Phys. Fluids 2022, 34, 126101. [Google Scholar] [CrossRef]
- Thompson, M.K.; Thompson, J.M. ANSYS Mechanical APDL for Finite Element Analysis; Butterworth-Heinemann: Oxford, UK, 2017. [Google Scholar]
- Gaitonde, D.V. Progress in shock wave/boundary layer interactions. Prog. Aerosp. Sci. 2015, 72, 80–99. [Google Scholar] [CrossRef]
- Gnani, F.; Zare-Behtash, H.; White, C.; Kontis, K. Numerical investigation on three-dimensional shock train structures in rectangular isolators. Eur. J. Mech. B Fluids 2018, 72, 586–593. [Google Scholar] [CrossRef]
- Sun, L.; Sugiyama, H.; Mizobata, K.; Minato, R.; Tojo, A. Numerical and Experimental Investigation on Shock Wave and Turbulent Boundary Layer Interactions in a Square Duct at Mach 2 and 4. Japan Soc. Aeronaut. Sp. Sci. 2004, 47, 124–130. [Google Scholar]
- Li, N. Response of Shock Train to Fluctuating Angle of Attack in a Scramjet Inlet-Isolator. Acta Astronaut. 2022, 190, 430–443. [Google Scholar] [CrossRef]
- Zhou, H.; Wang, G.; Li, Q.; Liu, Y. Numerical Study on the Nonlinear Characteristics of Shock Induced Two-Dimensional Panel Flutter in Inviscid Flow. J. Sound Vib. 2023, 117893. [Google Scholar] [CrossRef]
- Boyer, N.R.; McNamara, J.J.; Gaitonde, D.V.; Barnes, C.J.; Visbal, M.R. Features of Panel Flutter Response to Shock Boundary Layer Interactions. J. Fluids Struct. 2021, 101, 103207. [Google Scholar] [CrossRef]
- Gordnier, R.E.; Visbal, M.R. Development of a Three-Dimensional Viscous Aeroelastic Solver for Nonlinear Panel Flutter. J. Fluids Struct. 2002, 16, 497–527. [Google Scholar] [CrossRef]

























| M | P0,in (kPa) | Tin (K) | Pout (kPa)t | T0,out (K) | δ (mm) | Re* (m−1) |
|---|---|---|---|---|---|---|
| 2.45 | 309 | 134 | 107.5 | 295 | 3 |
| M | P0 (KPa) | PAB (KPa) | PCD (kPa) | TAB (K) | TCD (K) | δ (mm) |
|---|---|---|---|---|---|---|
| 2.45 | 309 | 48.5 | 285.5 | 195 | 295 | 3 |
| M | P0 (KPa) | PAB (KPa) | PCD (KPa) | TAB (K) | TCD (K) | δ (mm) |
|---|---|---|---|---|---|---|
| 1.6 | 206 | 48.466 | 195.106 | 195 | 295 | 3 |
| Average Increase by the Thin-Walled Panel | Vibration Amplitude | |||||
|---|---|---|---|---|---|---|
| Δ(Ave)O | Δ(Ave)N | Rave | (Amp)O | (Amp)N | Ramp | |
| w/h | N/A | N/A | N/A | 1.41 | 3.72 | 0.38 |
| Frequency (Hz) | N/A | N/A | N/A | 1215 | 1448 | 0.84 |
| Xt,sep | 1.11 | −7.30 | −0.15 | 0.23 | 6.27 | 0.04 |
| Lt,sep | −0.78 | 0.87 | −0.89 | 3.38 | 10.92 | 0.31 |
| Xb,sep | 0.55 | −4.74 | −0.12 | 0.47 | 4.18 | 0.11 |
| Lb,sep | −0.09 | −4.10 | 0.02 | 0.47 | 6.27 | 0.07 |
| Xshock | 0.65 | −6.81 | −0.10 | 0.18 | 0.65 | 0.28 |
| Lshock | −0.36 | 1.31 | −0.27 | 0.15 | 1.26 | 0.12 |
| Lsym | −0.08 | −0.09 | 0.89 | 0.00 | 0.18 | 0.01 |
| cl | 0.007 | 0.000 | N/A | 0.12 | 0.00 | 115.04 |
| σ | −0.00002 | −0.00008 | 0.25 | 0.002 | 0.002 | 1.00 |
| Dρ | −0.00046 | 0.00179 | −0.25 | 0.002 | 0.004 | 0.56 |
Disclaimer/Publisher’s Note: The statements, opinions and data contained in all publications are solely those of the individual author(s) and contributor(s) and not of MDPI and/or the editor(s). MDPI and/or the editor(s) disclaim responsibility for any injury to people or property resulting from any ideas, methods, instructions or products referred to in the content. |
© 2024 by the authors. Licensee MDPI, Basel, Switzerland. This article is an open access article distributed under the terms and conditions of the Creative Commons Attribution (CC BY) license (https://creativecommons.org/licenses/by/4.0/).
Share and Cite
Meng, X.; Zhao, R.; Wang, Q.; Zhang, Z.; Wang, J. Fluid–Structure Interactions between Oblique Shock Trains and Thin-Walled Structures in Isolators. Aerospace 2024, 11, 482. https://doi.org/10.3390/aerospace11060482
Meng X, Zhao R, Wang Q, Zhang Z, Wang J. Fluid–Structure Interactions between Oblique Shock Trains and Thin-Walled Structures in Isolators. Aerospace. 2024; 11(6):482. https://doi.org/10.3390/aerospace11060482
Chicago/Turabian StyleMeng, Xianzong, Ruoshuai Zhao, Qiaochu Wang, Zebin Zhang, and Junlei Wang. 2024. "Fluid–Structure Interactions between Oblique Shock Trains and Thin-Walled Structures in Isolators" Aerospace 11, no. 6: 482. https://doi.org/10.3390/aerospace11060482
APA StyleMeng, X., Zhao, R., Wang, Q., Zhang, Z., & Wang, J. (2024). Fluid–Structure Interactions between Oblique Shock Trains and Thin-Walled Structures in Isolators. Aerospace, 11(6), 482. https://doi.org/10.3390/aerospace11060482

