A Survey of Flow Field and Combustion Characteristics under Subatmospheric Pressure
Abstract
1. Introduction
2. Subatmospheric Combustion in Aerospace
2.1. Subatmospheric Flow Field and Fuel Atomization
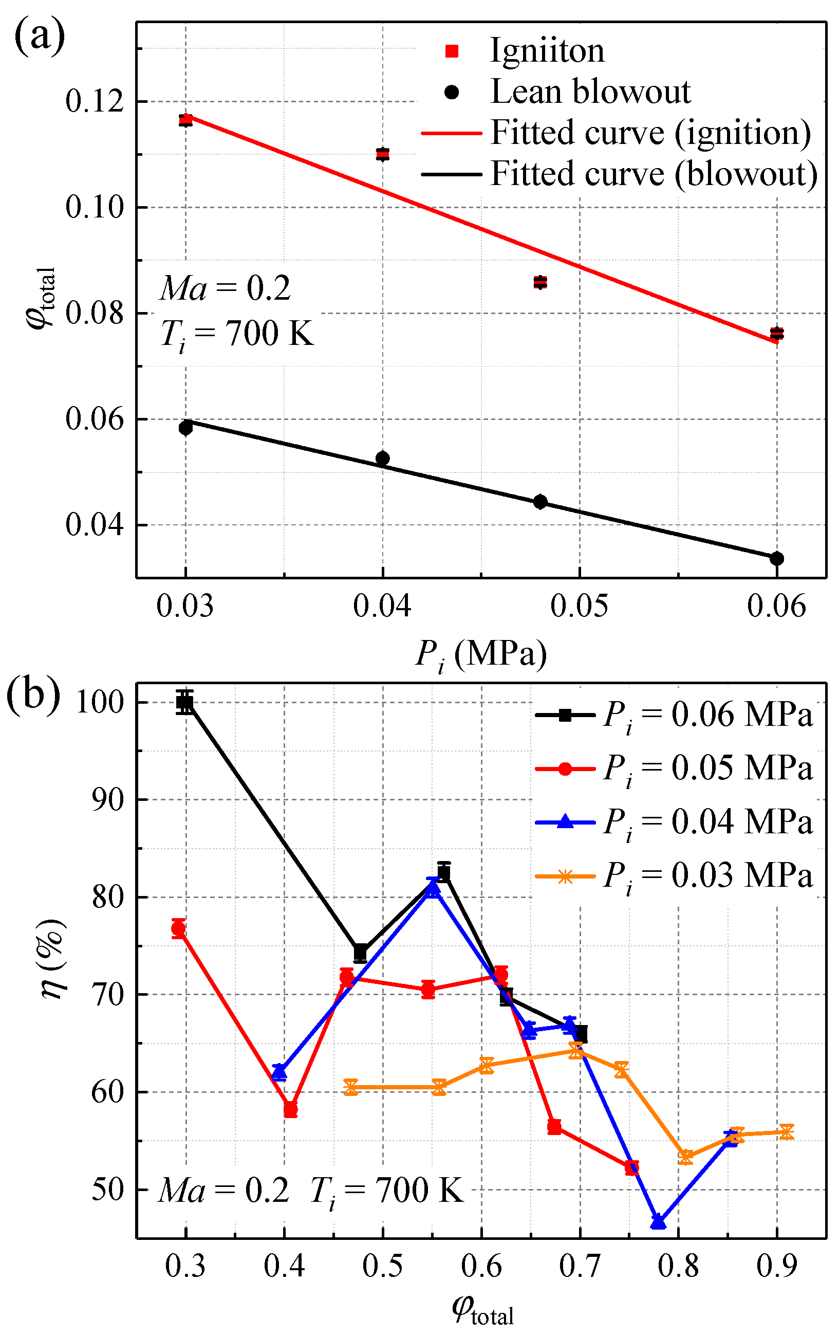
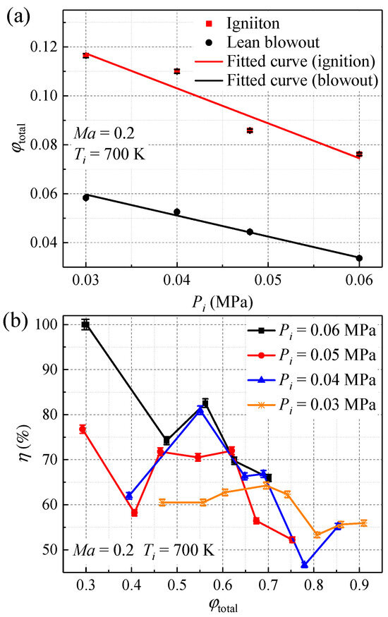
2.2. Subatmospheric Combustion
3. Subatmospheric Combustion in Plateau Fire
4. Conclusions
Author Contributions
Funding
Data Availability Statement
Conflicts of Interest
References
- Choubey, G.; Devarajan, Y.; Huang, W.; Mehar, K.; Tiwari, M.; Pandey, K.M. Recent Advances in Cavity-Based Scramjet Engine—A Brief Review. Int. J. Hydrogen Energy 2019, 44, 13895–13909. [Google Scholar] [CrossRef]
- Li, G.; Ma, D.; Yang, M. Research of near Space Hybrid Power Airship with a Novel Method of Energy Storage. Int. J. Hydrogen Energy 2015, 40, 9555–9562. [Google Scholar] [CrossRef]
- Cecere, D.; Giacomazzi, E.; Ingenito, A. A Review on Hydrogen Industrial Aerospace Applications. Int. J. Hydrogen Energy 2014, 39, 10731–10747. [Google Scholar] [CrossRef]
- Li, Z.; Moradi, R.; Marashi, S.M.; Babazadeh, H.; Choubey, G. Influence of Backward-Facing Step on the Mixing Efficiency of Multi Microjets at Supersonic Flow. Acta Astronaut. 2020, 175, 37–44. [Google Scholar] [CrossRef]
- Hu, X.; He, Y.; Li, Z.; Wang, J. Combustion Characteristics of N-Heptane at High Altitudes. Proc. Combust. Inst. 2011, 33, 2607–2615. [Google Scholar] [CrossRef]
- Krishnan, S.; Swami, R.D. Effect of Catalyst Mixing Procedure on Subatmospheric Combustion Characteristics of Composite Propellants. J. Propuls. Power 1997, 13, 207–212. [Google Scholar] [CrossRef]
- Åkerblom, A.; Passad, M.; Ercole, A.; Zettervall, N.; Nilsson, E.J.K.; Fureby, C. Numerical Modeling of Chemical Kinetics, Spray Dynamics, and Turbulent Combustion towards Sustainable Aviation. Aerospace 2023, 11, 31. [Google Scholar] [CrossRef]
- Jiusheng, Y.; Wei, Y.; Quanyi, L.; Nan, W.; Zhihui, Z.; Yi, W.; Hui, Z. Experimental Study of N-Heptane Pool Fire Behaviors under Dynamic Pressures in an Altitude Chamber. Procedia Eng. 2013, 52, 548–556. [Google Scholar] [CrossRef]
- Yao, W.; Hu, X.; Rong, J.; Wang, J.; Zhang, H. Experimental Study of Large-Scale Fire Behavior under Low Pressure at High Altitude. J. Fire Sci. 2013, 31, 481–494. [Google Scholar] [CrossRef]
- Jiao, Y.; Liu, R.; Zhang, Z.; Yang, C.; Zhou, G.; Dong, S.; Liu, W. Comparison of Combustion and Emission Characteristics of a Diesel Engine Fueled with Diesel and Methanol-Fischer-Tropsch Diesel-Biodiesel-Diesel Blends at Various Altitudes. Fuel 2019, 243, 52–59. [Google Scholar] [CrossRef]
- Sánchez, A.L.; Williams, F.A. Recent Advances in Understanding of Flammability Characteristics of Hydrogen. Prog. Energy Combust. Sci. 2014, 41, 1–55. [Google Scholar] [CrossRef]
- Xing, F.; Kumar, A.; Huang, Y.; Chan, S.; Ruan, C.; Gu, S.; Fan, X. Flameless Combustion with Liquid Fuel: A Review Focusing on Fundamentals and Gas Turbine Application. Appl. Energy 2017, 193, 28–51. [Google Scholar] [CrossRef]
- Zhao, D.; Gutmark, E.; de Goey, P. A Review of Cavity-Based Trapped Vortex, Ultra-Compact, High-g, Inter-Turbine Combustors. Prog. Energy Combust. Sci. 2018, 66, 42–82. [Google Scholar] [CrossRef]
- Li, G.; Wang, J. Experimental Investigation on Flow Characteristics of the Recirculation Zone behind V-Gutter Flameholder. Acta Aeronaut. Astronaut. Sin. 1989, 10, 447–449. [Google Scholar]
- Huang, Y.; Yao, Z.; Zhu, Z.; He, X. Effect of Inlet Pressure on Flow Characteristics in Cavity-Based Flameholder under Subatmospheric Pressure. J. Therm. Sci. 2023, 32, 278–285. [Google Scholar] [CrossRef]
- Zhang, Y.; He, X.; Zhong, S.; Deng, Y.; Wang, J.; Zhang, F. Influence of Incoming Flow Parameters on the Flow Field in a Trapped Vortex Cavity with Radial Bluff-Body. Aerosp. Sci. Technol. 2023, 132, 108050. [Google Scholar] [CrossRef]
- Hill, H.; Ding, C.P.; Baum, E.; Böhm, B.; Dreizler, A.; Peterson, B. An Application of Tomographic PIV to Investigate the Spray-Induced Turbulence in a Direct-Injection Engine. Int. J. Multiph. Flow 2019, 121, 103116. [Google Scholar] [CrossRef]
- Kim, H.; Tongchai, S.; Lim, O. A Study on the Particle Size and Velocity Profile on a Gasoline Port Injector Using a Phase Doppler Particle Analyzers (PDPA). Energy Procedia 2018, 145, 374–380. [Google Scholar] [CrossRef]
- Wu, H.; Zhang, F.; Zhang, Z. Fundamental Spray Characteristics of Air-Assisted Injection System Using Aviation Kerosene. Fuel 2021, 286, 119420. [Google Scholar] [CrossRef]
- Tambe, S.B.; Elshamy, O.M.; Jeng, S.M. Liquid Jets Injected Transversely into a Shear Layer. In Proceedings of the 43rd AIAA/ASME/SAE/ASEE Joint Propulsion Conference, Cincinnati, OH, USA, 8–11 July 2007; Volume 7, pp. 6765–6774. [Google Scholar]
- Xu, P.; Wang, J. Experimental Study on Atomization Characteristics of Plain Orifice at Subatmospheric Pressure. J. Aerosp. Power 1996, 11, 51–54+109. [Google Scholar]
- Tang, X. Study on the Mechanism of Effervescent Atomization and the Effect of Ambient Pressure on the Spray Characteristics. Ph.D. Thesis, Huazhong University of Science and Technology, Wuhan, China, 2015. [Google Scholar]
- Guo, Z.; Jin, Y.; Zhang, K.; Yao, K.; Wang, Y.; Wu, D.; He, X.; Zheng, M. Effect of Low Ambient Pressure on Spray Cone Angle of Pressure Swirl Atomizer. Int. J. Aerosp. Eng. 2021, 2021, 102104. [Google Scholar] [CrossRef]
- Zhao, L.; Fan, W.; Fan, Z.; Song, H. Experimental Investigation on Spray Characteristics from Superheated Liquid Jets under Low Pressure. J. Propuls. Technol. 2012, 33, 771–778. [Google Scholar]
- Li, L.; Chi, B.; Yang, W.; Hong, L. Experimental Study on Atomization Characteristic of Liquid Jet in Vacuum Environment. J. Rocket Propuls. 2010, 36, 27–30. [Google Scholar]
- Liu, W.; Bi, Q.; Liu, L.; Ji, Y. Study on the Shape and Temperature Variations within Droplet in Low Pressure Environment. J. Eng. Thermophys. 2007, 6, 957–960. [Google Scholar]
- Bai, Y. Characterization of Atomization and Vaporization for Flash-Boiling Sprays in Vacuum Condition. Ph.D. Thesis, Beijing University of Chemical Technology, Beijing, China, 2013. [Google Scholar]
- Chen, P.; Zhou, C.; Xu, Y.; Hong, L. Modelling and Simulation of Bubble Growth Dynamicsin Vacuum Jet. Chin. J. Vac. Sci. Technol. 2016, 36, 753–759. [Google Scholar]
- Li, J.; Li, H.; Sun, Y.; Ba, D. Simulation of Cavitation Flow inside Plain-Orifice Nozzle at Low Outlet Pressure. Chin. J. Vac. Sci. Technol. 2013, 33, 277–283. [Google Scholar]
- Messing, W.E.; Black, D.O. Subsonic Flight Investigation of Rectangular Ram Jet over Range of Altitudes. NASA RM E7H26, 1948. [Google Scholar]
- Tausz, J.; Sohulte, F. Determination of Ignition Points of Liquid Fuels under Pressure. Fiber 1925, 57, 291–297. [Google Scholar]
- Black, D.O.; Messing, W.E. Effect of Three Flame-Holder Configurations on Subsonic Flight Performance of Rectangular Ram Jet over Range of Altitudes. NASA RM E8I01, 1948. [Google Scholar]
- Bents, J.; Mockler, T. Propulsion Subsonic System Unmanned for Very High Aircraft Altitude. NASA TM206636, 1998. [Google Scholar]
- Vetter, N.R.; Franklin, D.E.; Muse, W.W. Altitude Development Testing of the J-2 Rocket Engine in Propulsion Engine Test Cell (J-4). AEDC TR 67-209, 1971. [Google Scholar]
- Mastromonico, C. Altitude Ignition Studies. AFRPL TR 71-70, 1971. [Google Scholar]
- Smolak, G.R.; Wentworth, C.B. Altitude Investigation of Can-Type Flame Holder in 20-Inch-Diameter Ramjet Combustor. NASA RM E54D08, 1954. [Google Scholar]
- Jones, W.C.; Shillito, T.B.; Henzel, J.G. Altitude-Test-Chamber Investigation of Performance of a 28-Inch Ram-Jet Engine Combustion and Operational Performance of Four Combustion-Chamber Configurations. NASA RM E50F16, 1950. [Google Scholar]
- Kerslake, W.R. Combustion of Gaseous Hydrogen at Low Pressures in a 35 Deg Sector of a 28-Inch-Diameter Ramjet Combustor. NASA RM E58A21a, 1958. [Google Scholar]
- Drabble, J.S. Investigation into the Performance of a “REID” Forced Air Blast Ramjet Combustion Chamber on a Low Pressure Combustion. NASA TN G.W.227, 1953. [Google Scholar]
- Chen, N. Investigation of High-Altitude Ignition Performance of Several Chinese Jet Fuels with Different Properties. J. Propuls. Technol. 1987, 6, 44–50+90. [Google Scholar]
- Wang, Y.; Lin, Y.; Li, L.; Xue, X. Experimental Investigation on Ignition Performance of Internally-Staged Combustor. J. Propuls. Technol. 2016, 37, 98–104. [Google Scholar]
- Zhang, X.; Xu, P.; Zhang, Y.; Wang, J. Impact of Low Pressure on Pressure Fluctuations and Heat Release Pulsations of an Afterburner. J. Aerosp. Power 1996, 84–87. [Google Scholar]
- Nguyen, D.N.; Ishida, H.; Shioji, M. Ignition and Combustion Characteristics of Gas-to-Liquid Fuels for Different Ambient Pressures. Energy Fuels 2010, 24, 365–374. [Google Scholar] [CrossRef]
- Okai, K.; Himeno, T.; Watanabe, T.; Kobayashi, H.; Taguchi, H. Investigation of Combustion and Altitude-Ignition Performance of a Small Hydrogen-Fueled Reversed-Flow Turbine Combustor. In Proceedings of the 52nd Aerospace Sciences Meeting, National Harbor, MA, USA, 13–17 January 2014; p. 1514. [Google Scholar]
- Drell, I.L.; Belles, F.E. Survey of Hydrogen Combustion Properties. NACA RM E57D24, 1957. [Google Scholar]
- Fine, B. Further Experiments on the Stability of Laminar and Turbulent Hydrogen-Air Flames at Reduced Pressures. NACA TN 3977, 1957. [Google Scholar]
- Xiao, X.; Wang, D.; Wang, H. Experimental Study of Pre-Combustion Flameholder under High Altitude and Low Pressure. Aeroengine 1999, 31, 22–30. [Google Scholar]
- Chen, N.; Zhou, Y. Effect of Advanced Fuel Temperature on the High Altitude Ignition Performance. J. Propuls. Technol. 1996, 17, 69–72. [Google Scholar]
- Zheng, D.; Zhang, H.; Lin, W.; Wang, J. Experimental Investigation on Performance of Vapor Flame Holder at Normal and Low Pressure. J. Harbin Inst. Technol. 2004, 12, 1724–1728. [Google Scholar]
- Han, Q.; Wang, J. Experimental Investigation on Performance of Vapor Barchane Dune Vortex Flameholder at Low Pressure. J. Propuls. Technol. 2001, 22, 40–42+76. [Google Scholar]
- Liu, H.; Wang, F.; Wang, J. Experimental Study on Low Pressure Performance of a Special Vapor Flameholder. J. Chang. Univ. Sci. 2004, 16, 12–14. [Google Scholar]
- Cheng, X.; Fan, Y. Experimental Study of Lean Ignition and Lean Blowout Performance Improvement Using an Evaporation Flameholder. Int. J. Heat Mass Transf. 2016, 103, 319–326. [Google Scholar] [CrossRef]
- Wang, J.; Zhang, L.; Su, X. Experimental Investigation of Vaporizing Flameholder at Low Pressure and High Temperature. J. Propuls. Technol. 2006, 27, 208–210. [Google Scholar]
- Niu, Z.; Fei, L.; Feng, S.; He, X. Experiment on Combustion Performance of a Ramjet Prototype Combustor in Low Pressure Condition. J. Propuls. Technol. 2011, 32, 509–511+524. [Google Scholar]
- Zhu, Z.; Huang, Y.; Zhang, H.; He, X. Combustion Performance in a Cavity-Based Combustor under Subatmospheric Pressure. Fuel 2021, 302, 121115. [Google Scholar] [CrossRef]
- Zhang, R.; Zhang, Y.; Ling, W. Research on Numerical Simulation of Oxygen-Rich Combustion in a Ramjet Combustor. Tactical Missile Technol. 2015, 1, 64–68+101. [Google Scholar]
- Luo, W.; Pan, Y.; Tan, J.; Wang, Z. Experimental Investigation on Combustion Efficiency of the Ramjet Model at Low Pressure. J. Propuls. Technol. 2010, 31, 270–275. [Google Scholar]
- Xi, W. Numerical and Experimental Research on the Ramjet Combustor Based on Cavity. Master’s Thesis, National University of Defense Technology, Changsha, China, 2008. [Google Scholar]
- Chen, L.; Ling, W. Influence of Vaporizing Flame Holder Structure on Combustion Efficiency at Low Pressure. Tactical Missile Technol. 2013, 6, 66–73. [Google Scholar]
- Read, R.W.; Rogerson, J.W.; Hochgreb, S. Relight Imaging at Low Temperature, Low Pressure Conditions. In Proceedings of the 46th AIAA Aerospace Sciences Meeting and Exhibit, Reno, NV, USA, 7–10 January 2008. [Google Scholar] [CrossRef]
- Linassier, G.; Viguier, C.; Verdier, H.; Lecourt, R.; Heid, G.; Lavergne, G. Experimental Investigations of the Ignition Performances on a Multi-Sector Combustor under High Altitude Conditions. In Proceedings of the 50th AIAA Aerospace Sciences Meeting including the New Horizons Forum and Aerospace Exposition, Nashville, TN, USA, 9–12 January 2012; pp. 1–9. [Google Scholar] [CrossRef]
- Giusti, A.; Sitte, M.P.; Borghesi, G.; Mastorakos, E. Numerical Investigation of Kerosene Single Droplet Ignition at High-Altitude Relight Conditions. Fuel 2018, 225, 663–670. [Google Scholar] [CrossRef]
- Chen, G.; Wang, X.; Lin, B. Experimental Study on Blowout Characteristics of Aeroengine Combustor under High Altitude Low Pressure and Low Temperature Condition. Phys. Gases 2019, 4, 43–51. [Google Scholar]
- Chen, J.; Li, J.; Yuan, L. Effects of Inlet Pressure on Ignition of Spray Combustion. Int. J. Aerosp. Eng. 2018, 2018, 3847264. [Google Scholar] [CrossRef]
- Zhang, H.; Wang, Z.; He, Y.; Xia, J.; Zhang, J.; Zhao, H.; Cen, K. Ignition, Puffing and Sooting Characteristics of Kerosene Droplet Combustion under Sub-Atmospheric Pressure. Fuel 2021, 285, 119182. [Google Scholar] [CrossRef]
- Zhang, H.; Wang, Z.; He, Y.; Huang, J.; Cen, K. Interactive Effects in Two-Droplets Combustion of Rp-3 Kerosene under Sub-Atmospheric Pressure. Processes 2021, 9, 1229. [Google Scholar] [CrossRef]
- Chen, B.H.; Liu, J.Z.; Yao, F.; He, Y.; Yang, W.J. Ignition Delay Characteristics of RP-3 under Ultra-Low Pressure (0.01–0.1 MPa). Combust. Flame 2019, 210, 126–133. [Google Scholar] [CrossRef]
- Zhang, J. Study on the Laminar Combustion Characteristics of Domestic Kerosene RP-3 under Atmospheric Pressure. Ph.D Thesis, Zhejiang University, Hangzhou, China, 2021. [Google Scholar]
- Huang, Y.; He, X.; Zhu, Z.; Zhu, H. Inlet Pressure Effects on Subatmospheric Flame Stabilization with an Optimum Size of a Cavity-Based Combustor. Int. J. Aerosp. Eng. 2020, 2020, 4126753. [Google Scholar] [CrossRef]
- Huang, Y.; He, X.; Zhang, H.; Wei, J.; Sng, D.W.M. Spark Ignition and Stability Limits of Spray Kerosene Flames under Subatmospheric Pressure Conditions. Aerosp. Sci. Technol. 2021, 114, 106734. [Google Scholar] [CrossRef]
- Hirst, R.; Sutton, D. The Effect of Reduced Pressure and Airflow on Liquid Surface Diffusion Flames. Combust. Flame 1961, 5, 319–330. [Google Scholar] [CrossRef]
- De Ris, J.; Murty Kanury, A.; Yuen, M.C. Pressure Modeling of Fires. Symp. Combust. 1973, 14, 1033–1044. [Google Scholar] [CrossRef]
- Alpert, R.L. Pressure Modeling of Fires Controlled by Radiation. Symp. Combust. 1977, 16, 1489–1500. [Google Scholar] [CrossRef]
- De Ris, J.L.; Wu, P.K.; Heskestad, G. Radiation Fire Modeling. Proc. Combust. Inst. 2000, 28, 2751–2759. [Google Scholar] [CrossRef]
- Kleinhenz, J.; Feier, I.I.; Hsu, S.Y.; T’ien, J.S.; Ferkul, P.V.; Sacksteder, K.R. Pressure Modeling of Upward Flame Spread and Burning Rates over Solids in Partial Gravity. Combust. Flame 2008, 154, 637–643. [Google Scholar] [CrossRef]
- Jun, F.; Yu, C.Y.; Ran, T.; Qiao, L.F.; Zhang, Y.M.; Wang, J.J. The Influence of Low Atmospheric Pressure on Carbon Monoxide of N-Heptane Pool Fires. J. Hazard. Mater. 2008, 154, 476–483. [Google Scholar] [CrossRef]
- Lastrina, F.A.; Magee, R.S.; McAlevy, R.F. Flame Spread over Fuel Beds: Solid-Phase Energy Considerations. Symp. Combust. 1971, 13, 935–948. [Google Scholar] [CrossRef]
- Gohari Darabkhani, H.; Bassi, J.; Huang, H.W.; Zhang, Y. Fuel Effects on Diffusion Flames at Elevated Pressures. Fuel 2009, 88, 264–271. [Google Scholar] [CrossRef]
- Most, J.M.; Mandin, P.; Chen, J.; Joulain, P.; Durox, D.; Carlos Fernande-Pello, A. Influence of Gravity and Pressure on Pool Fire-Type Diffusion Flames. Symp. Combust. 1996, 26, 1311–1317. [Google Scholar] [CrossRef]
- Chen, J.; Zhao, Y.; Bi, Y.; Li, C.; Kong, D.; Lu, S. Effect of Initial Pressure on the Burning Behavior of Ethanol Pool Fire in the Closed Pressure Vessel. Process Saf. Environ. Prot. 2021, 153, 159–166. [Google Scholar] [CrossRef]
- Wieser, D.; Jauch, P.; Willi, U. The Influence of High Altitude on Fire Detector Test Fires. Fire Saf. J. 1997, 29, 195–204. [Google Scholar] [CrossRef]
- Li, Z.; He, Y.; Zhang, H.; Wang, J. Combustion Characteristics of N-Heptane and Wood Crib Fires at Different Altitudes. Proc. Combust. Inst. 2009, 32, 2481–2488. [Google Scholar] [CrossRef]
- Li, Z. Research on the Fuel Combustion Characteristics and the Flue Gas Characteristics under the Tibetan Plateau Environment of Hyperpiesia and Hypoxia. Ph.D. Thesis, University of Science and Technology of China, Hefei, China, 2009. [Google Scholar]
- Yan, Z.G.; Guo, Q.H.; Zhu, H. hua Full-Scale Experiments on Fire Characteristics of Road Tunnel at High Altitude. Tunn. Undergr. Sp. Technol. 2017, 66, 134–146. [Google Scholar] [CrossRef]
- Zhang, X.; Hu, L.; Wu, L.; Kostiuk, L.W. Flame Radiation Emission from Pool Fires under the Influence of Cross Airflow and Ambient Pressure. Combust. Flame 2019, 202, 243–251. [Google Scholar] [CrossRef]
- Liu, J.; Zhou, Z.; Chen, M. Experimental Investigation on the Effect of Ambient Pressure on Entrainment Coefficient of Pool Fires. Appl. Therm. Eng. 2019, 148, 939–943. [Google Scholar] [CrossRef]
- Liu, J.; Zhou, Z. Examination of Radiative Fraction of Small-Scale Pool Fires at Reduced Pressure Environments. Fire Saf. J. 2019, 110, 102894. [Google Scholar] [CrossRef]
- Zhao, J.; Zhang, Q.; Zhang, X.; Zhang, J.; Yang, R.; Lu, Y. Experimental Study and Thermal Hazard Analysis of Large-Scale n-Heptane Pool Fires under Sub-Atmospheric Pressure. Process Saf. Environ. Prot. 2022, 166, 279–289. [Google Scholar] [CrossRef]
- Zhu, P.; Tao, Z.X.; Li, C.; Liu, Q.Y.; Shao, Q.; Yang, R.; Zhang, H. Experimental Study on the Burning Rates of Ethanol-Gasoline Blends Pool Fires under Low Ambient Pressure. Fuel 2019, 252, 304–315. [Google Scholar] [CrossRef]
- Meng, D.; Wang, X.; Li, H.; Wang, J. Experimental Study on Spreading and Burning Characteristics of Continuous Spill Fire under Low Pressure. Fire Saf. J. 2022, 134, 103704. [Google Scholar] [CrossRef]
- Fang, J.; Tu, R.; Guan, J.F.; Wang, J.J.; Zhang, Y.M. Influence of Low Air Pressure on Combustion Characteristics and Flame Pulsation Frequency of Pool Fires. Fuel 2011, 90, 2760–2766. [Google Scholar] [CrossRef]
- Chen, J.; Tam, W.C.; Tang, W.; Zhang, C.; Li, C.; Lu, S. Experimental Study of the Effect of Ambient Pressure on Oscillating Behavior of Pool Fires. Energy 2020, 203, 117783. [Google Scholar] [CrossRef]
- Zhao, L.; Zhang, Q.; Wang, X.; Yang, J.; Zhao, J.; Huang, H. Experimental Study on Burning Characteristics of Ethanol Pool Fire in Plateau. J. Saf. Sci. Technol. 2022, 18, 66–71. [Google Scholar]
- Tang, Y.; Niu, Y.; Yin, L.; Zhou, D.; Wang, J. Experiment Studies on the Effect of Altitude on Jet A’s Flash Point. Fire Mater. 2012, 37, 474–481. [Google Scholar] [CrossRef]
- Ding, C.; Yao, W.; Zhou, D.; Rong, J.; Zhang, Y.; Zhang, W.; Wang, J. Experimental Study and Hazard Analysis on the Flash Point of Flammable Liquids at High Altitudes. J. Fire Sci. 2013, 31, 469–477. [Google Scholar] [CrossRef]
- Ding, C.; Yao, W.; Tang, Y.; Rong, J.; Zhou, D.; Wang, J. Experimental Study of the Flash Point of Flammable Liquids under Different Altitudes in Tibet Plateau. Fire Mater. 2014, 38, 241–246. [Google Scholar] [CrossRef]
- Ding, C.; He, Y.; Yin, J.; Yao, W.; Zhou, D.; Wang, J. Study on the Pressure Dependence of Boiling Point, Flashpoint, and Lower Flammability Limit at Low Ambient Pressure. Ind. Eng. Chem. Res. 2015, 54, 1899–1907. [Google Scholar] [CrossRef]
- Ding, C. Experimental Research on the Flashpoing-Boiling Point of Flammable Liquid and Their Applications under Low Pressure. Ph.D. Thesis, University of Science and Technology of China, Hefei, China, 2016. [Google Scholar]
- Chen, Q. Experimental and Theoretical Study on the Influence of Water Content on Liquid Fuel Fire Hazard under Normal and Low Pressures. Ph.D. Thesis, University of Science and Technology of China, Hefei, China, 2018. [Google Scholar]
- Wu, Z. Study of the Ignition and Combustion Intensification of Liquid Fuels in Reduced Pressure at High Altitudes. Ph.D. Thesis, University of Science and Technology of China, Hefei, China, 2017. [Google Scholar]
- Jia, X.; Ma, J.; Tao, W.; Yang, X. Progress in the Study of Combustion Characteristics of Solid Materials under Low Pressure Environment. Fire Sci. Technol. 2022, 41, 174–179. [Google Scholar]
- Hirsch, D.; Williams, J.; Beeson, H. Pressure Effects on Oxygen Concentration Flammability Thresholds of Polymeric Materials for Aerospace Applications. J. Test. Eval. 2008, 36, 69–72. [Google Scholar] [CrossRef]
- McAllister, S.; Fernandez-Pello, C.; Urban, D.; Ruff, G. Piloted Ignition Delay of PMMA in Space Exploration Atmospheres. Proc. Combust. Inst. 2009, 32, 2453–2459. [Google Scholar] [CrossRef]
- Jia, X.; Ma, J.; Tang, J.; Liu, Q.; Zhu, X.; Zhu, Y.; He, Y. Experimental Study on the Fire Behavior of the Corrugated Cartons under Low-Pressure Environment with Oxygen-Enriched. Int. J. Therm. Sci. 2023, 193, 108450. [Google Scholar] [CrossRef]
- Thomsen, M.; Fernandez-Pello, C.; Olson, S.L.; Ferkul, P.V. Downward Burning of PMMA Cylinders: The Effect of Pressure and Oxygen. Proc. Combust. Inst. 2021, 38, 4837–4844. [Google Scholar] [CrossRef]
- Thomsen, M.; Murphy, D.C.; Fernandez-Pello, C.; Urban, D.L.; Ruff, G.A. Flame Spread Limits (LOC) of Fire Resistant Fabrics. Fire Saf. J. 2017, 91, 259–265. [Google Scholar] [CrossRef]
- Zarzecki, M.; Quintiere, J.G.; Lyon, R.E.; Rossmann, T.; Diez, F.J. The Effect of Pressure and Oxygen Concentration on the Combustion of PMMA. Combust. Flame 2013, 160, 1519–1530. [Google Scholar] [CrossRef]
- He, H.; Zhang, Q.X.; Zhao, L.Y.; Liu, J.; Wang, J.J.; Zhang, Y.M. Flame Propagation over Energized Pe-Insulated Wire under Low Pressure. Int. J. Comput. Methods Exp. Meas. 2017, 5, 87–95. [Google Scholar] [CrossRef]
- Ding, C.; Yan, Z.; Li, Y.; He, L.; Ma, S.; Wang, X.; Huang, Q.; Jiao, Y.; Liu, C. Effect of Pressure and Stacking Method on Combustion Characteristics of Paper Stacks. Case Stud. Therm. Eng. 2022, 38, 102375. [Google Scholar] [CrossRef]
- Feng, R.; Tian, R.; Zhang, H.; Zheng, L.; Yang, R. Experimental Study on the Burning Behavior and Combustion Toxicity of Corrugated Cartons under Varying Sub-Atmospheric Pressure. J. Hazard. Mater. 2019, 379, 120785. [Google Scholar] [CrossRef]
- Ma, Q.; Shao, J.; Wan, M.; Liu, Q.; Zhang, H. Experimental Study on the Burning Behavior of Cardboard Box Fire under Low Air Pressure. Fire Mater. 2021, 45, 273–282. [Google Scholar] [CrossRef]
- Zhao, K.; Yang, L.; Tang, W.; Liu, Q.; Ju, X.; Gong, J. Effect of Orientation on the Burning and Flame Characteristics of PMMA Slabs under Different Pressure Environments. Appl. Therm. Eng. 2019, 156, 619–626. [Google Scholar] [CrossRef]
- Huang, X.; Chen, G.; Zhou, Z.; Hu, J.; Wang, C.; Chen, D. Experimental and Numerical Study of Upward Flame Spread and Heat Transfer over Expanded Polystyrene at Different Altitudes. Case Stud. Therm. Eng. 2021, 28, 101623. [Google Scholar] [CrossRef]
- Wang, Z.; Wang, J. Experimental Study on Flame Propagation over Horizontal Electrical Wires under Varying Pressure. Int. J. Therm. Sci. 2020, 156, 106492. [Google Scholar] [CrossRef]
- Dai, J.; Yang, L.; Zhou, X.; Wang, Y.; Zhou, Y.; Deng, Z. Experimental and Modeling Study of Atmospheric Pressure Effects on Ignition of Pine Wood at Different Altitudes. Energy Fuels 2010, 24, 609–615. [Google Scholar] [CrossRef]
- Jiakun, D.; Delichatsios, M.A.; Lizhong, Y. Piloted Ignition of Solid Fuels at Low Ambient Pressure and Varying Igniter Location. Proc. Combust. Inst. 2013, 34, 2497–2503. [Google Scholar] [CrossRef]
- Yafei, W.; Lizhong, Y.; Xiaodong, Z.; Jiakun, D.; Yupeng, Z.; Zhihua, D. Experiment Study of the Altitude Effects on Spontaneous Ignition Characteristics of Wood. Fuel 2010, 89, 1029–1034. [Google Scholar] [CrossRef]
- Wang, Y. Research on Influence of Flowing Characteristics of Pyrolysis Gas on Pyrolysis and Ignition Process of Charring Materials. Ph.D Thesis, University of Science and Technology of China, Hefei, China, 2011. [Google Scholar]
- McAllister, S.; Fernandez-Pello, C.; Urban, D.; Ruff, G. The Combined Effect of Pressure and Oxygen Concentration on Piloted Ignition of a Solid Combustible. Combust. Flame 2010, 157, 1753–1759. [Google Scholar] [CrossRef]
- Qie, J.; Yang, L.; Wang, Y.; Dai, J.; Zhou, X. Experimental Study of the Influences of Orientation and Altitude on Pyrolysis and Ignition of Wood. J. Fire Sci. 2011, 29, 243–258. [Google Scholar] [CrossRef]
- Fereres, S.; Lautenberger, C.; Fernandez-Pello, C.; Urban, D.; Ruff, G. Mass Flux at Ignition in Reduced Pressure Environments. Combust. Flame 2011, 158, 1301–1306. [Google Scholar] [CrossRef]
- Fereres, S.; Lautenberger, C.; Fernandez-Pello, A.C.; Urban, D.L.; Ruff, G.A. Understanding Ambient Pressure Effects on Piloted Ignition through Numerical Modeling. Combust. Flame 2012, 159, 3544–3553. [Google Scholar] [CrossRef]
- Huang, S. Study on Combustion Properties of Typical Interior Materials of Aircraft under Low Ambient Pressure. Ph.D. Thesis, Civil Aviation Flight University of China, Deyang, China, 2019. [Google Scholar]
- Ren, B.; Li, Y.; Xu, B.; Tu, R. Study on the Influence of Atmospheric Pressure on the Ignition Model of Wood. In Proceedings of the China National Symposium on Combustion, Heifei, China; 2009; pp. 1–11. [Google Scholar]
- Peng, F. Experimental and Theoretical Study on Effect of Radiation and Covection of Ceiling on Pyrolysis, Ignition and Flame Spread of PMMA. Ph.D. Thesis, University of Science and Technology of China, Hefei, China, 2016. [Google Scholar]
- Wang, W.; Wang, L.; Yang, R.; Zhang, H.; Ren, C.; Yang, J. Investigation of the Effect of Low Pressure on Fire Hazard in Cargo Compartment. Appl. Therm. Eng. 2019, 158, 113775. [Google Scholar] [CrossRef]
- Li, H. Study on Combustion Characteristics and Flame Morphologies of Gas Jets at Subatmospheric Pressures. Ph.D. Thesis, University of Science and Technology of China, Hefei, China, 2014. [Google Scholar]
- Zeng, Y. Influence of Sub-Atmospheric Pressure on Jet Diffusion Flame’s Combustion Characteristics and Image Parameters. Ph.D. Thesis, University of Science and Technology of China, Hefei, China, 2013. [Google Scholar]













Disclaimer/Publisher’s Note: The statements, opinions and data contained in all publications are solely those of the individual author(s) and contributor(s) and not of MDPI and/or the editor(s). MDPI and/or the editor(s) disclaim responsibility for any injury to people or property resulting from any ideas, methods, instructions or products referred to in the content. |
© 2024 by the authors. Licensee MDPI, Basel, Switzerland. This article is an open access article distributed under the terms and conditions of the Creative Commons Attribution (CC BY) license (https://creativecommons.org/licenses/by/4.0/).
Share and Cite
Ding, G.; Yao, Z.; Zhu, Z.; Huang, Y. A Survey of Flow Field and Combustion Characteristics under Subatmospheric Pressure. Aerospace 2024, 11, 387. https://doi.org/10.3390/aerospace11050387
Ding G, Yao Z, Zhu Z, Huang Y. A Survey of Flow Field and Combustion Characteristics under Subatmospheric Pressure. Aerospace. 2024; 11(5):387. https://doi.org/10.3390/aerospace11050387
Chicago/Turabian StyleDing, Guoyu, Zhaohui Yao, Zhixiang Zhu, and Yakun Huang. 2024. "A Survey of Flow Field and Combustion Characteristics under Subatmospheric Pressure" Aerospace 11, no. 5: 387. https://doi.org/10.3390/aerospace11050387
APA StyleDing, G., Yao, Z., Zhu, Z., & Huang, Y. (2024). A Survey of Flow Field and Combustion Characteristics under Subatmospheric Pressure. Aerospace, 11(5), 387. https://doi.org/10.3390/aerospace11050387

