Analysis of Blade Aspect Ratio’s Influence on High-Speed Axial Compressor Performance
Abstract
1. Introduction
2. Compressor Specification Description
Blade and Endwall Parametrization
3. Numerical Methodology
3.1. Approach
3.2. Mesh Study
3.3. Numerical Settings
- Inlet: total pressure P0 = 47.9 kPa (in relation to the static reference frame—stator), total temperature T0 = 282.4 K (also in relation to the static reference frame—stator), turbulence intensity = 5% and the turbulent length scale = 1 mm;
- Outlet: average static pressure outlet (static reference frame);
- Mixing plane: interface between rotating and stationary planes. In this interface type, circumferential averages of the flow properties are calculated at various sections along the blade span. These averages are then communicated to the inlet of the downstream domain;
- Periodic: we applied periodic boundary conditions;
- Adiabatic wall: a non-slip wall condition, the wall velocity is zero for all walls (relative to the walls themselves) and counter-rotating for the rotor shroud and there is no shroud tip clearance for the rotor;
- Interface: the General Grid Interface (GGI) method is used for the connection between the interfaces.
3.4. Aerodynamic Parameters
4. Results and Discussion
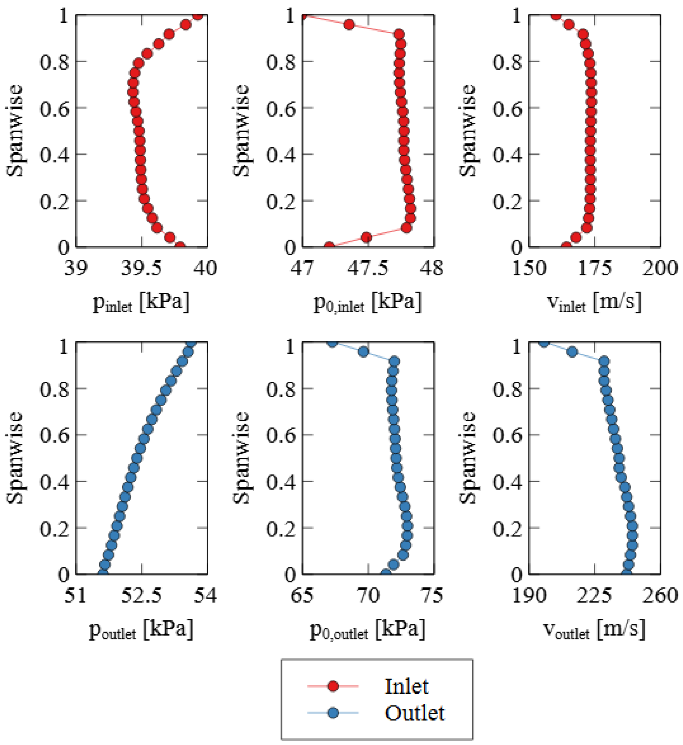
4.1. Design Parameter Independence of Aspect Ratio
4.2. Influence of Aspect Ratio
4.3. Aspect Ratio Variation and Blade-to-Blade Flow
4.4. Aspect Ratio and Multi-Objective Optimality for High-Speed Compressors

5. Conclusions
Supplementary Materials
Author Contributions
Funding
Data Availability Statement
Acknowledgments
Conflicts of Interest
References
- Dickens, T.; Day, I. The Design of Highly Loaded Axial Compressors. J. Turbomach. 2011, 133, 031007. [Google Scholar] [CrossRef]
- Lieblein, S. Aerodynamic Design of Axial-Flow Compressors. VI-Experimental Flow in Two-Dimensional Cascades. In Re-printed NASA SP-36: Aerodynamic Design of Axial Compressors; NASA: Washington, DC, USA, 1965; pp. 183–226. [Google Scholar]
- Zhou, S.; Zhao, S.; Zhou, C.; Wu, Y.; Yuan, H.; Lu, X. Optimal Design and Analysis of a High-Load Supersonic Compressor Based on a Surrogate Model. Aerospace 2023, 10, 364. [Google Scholar] [CrossRef]
- Olmedo, L.; Liu, W.; Gjika, K.; Schiffmann, J. Thermal management for gas lubricated, high-speed turbomachinery. Appl. Therm. Eng. 2023, 218, 119229. [Google Scholar] [CrossRef]
- Szymanski, A.; Igie, U.; Hamilton, K.A.E.R. Aerodynamic limits of gas turbine compressor during high air offtakes for minimum load extension. Appl. Therm. Eng. 2021, 189, 116697. [Google Scholar] [CrossRef]
- Wennerstrom, A.J. Highly Loaded Axial Flow Compressors: History and Current Development. J. Turbomach. 1990, 112, 567–578. [Google Scholar] [CrossRef]
- Wennerstrom, A.J. Low Aspect Ratio Axial Flow Compressors: Why and What It Means. J. Turbomach. 1989, 111, 357–365. [Google Scholar] [CrossRef]
- Smith, L.H. Axial compressor Aerodesign Evolution at General Electric. J. Turbomach. 2002, 124, 321–330. [Google Scholar] [CrossRef]
- Koch, C.C. Stalling Pressure Rise Capability of Axial Flow Compressors. J. Eng. Power 1981, 103, 645–656. [Google Scholar] [CrossRef]
- Britsch, W.; Osborn, W.; Laessig, M. Effects of Diffusion Factor, Aspect Ratio, and Solidity on Overall Performance of 14 Compressor Middle Stages; Technical Paper 1523; NASA: Washington, DC, USA, 1979. [Google Scholar]
- Wang, H.; Wu, Y.; Wang, Y.; Deng, S. Evolution of the flow instabilities in an axial compressor rotor with large tip clearance: An experimental and URANS study. Aerosp. Sci. Technol. 2020, 96, 13. [Google Scholar] [CrossRef]
- Chen, S.; Zeng, Y.G.E.C. Pulsed suction towards unsteady active flow control in an axial compressor cascade including clearance leakage effects. Appl. Therm. Eng. 2023, 219, 119654. [Google Scholar] [CrossRef]
- Schönenborn, H.; Junge, M.; Retze, U. Contribution to Free and Forced Vibation Analysis of an Intentionally Mistuned Blisk. In Proceedings of the ASME Turbo Expo 2012, Copenhagen, Denmark, 11–15 June 2012. [Google Scholar] [CrossRef]
- Schmidt, T.; Peters, M.; Jeschke, P.; Matzgeller, R.; Hiller, S.J. High aspect ratio blading in an axial compressor stage. In Proceedings of the ASME Turbo Expo 2017: Turbomachinery Technical Conference & Exposition, Charlotte, NC, USA, 26–30 June 2017. [Google Scholar] [CrossRef]
- Wang, Z.; Qi, L.; Liu, S.; Wang, W.H.E.S. The influence of component parameters on cycle characteristic in rotating detonation gas turbine. Appl. Therm. Eng. 2023, 119716, 220. [Google Scholar] [CrossRef]
- Neumann, N.; Asli, M.; Garan, N.; Stathopoulos, D.P.E. A fast approach for unsteady compressor performance simulation under boundary condition caused by pressure gain combustion. Appl. Therm. Eng. 2021, 196, 117223. [Google Scholar] [CrossRef]
- Alfredsson, N.D. The Impact of the Blade Aspect Ratio on Axial Compressor Efficiency and Stability and Its Correlation to the Skoch Parameter. Master’s Thesis, Lund University, Lund, Sweden, 2018. [Google Scholar]
- Peters, M.; Schmidt, T.; Jeschke, P. Influence of Blade Aspect Ratio on Axial Compressor Efficiency. J. Glob. Power Propuls. Soc. 2019, 3, 639–652. [Google Scholar] [CrossRef]
- To, H.O.; Miller, R.J. The Effect Aspect Ratio on Compressor Performance. J. Turbomach. 2019, 141, 081011. [Google Scholar] [CrossRef]
- Lejon, M.; Grönstedt, T.; Glodic, N.; Petrie-Repar, P.; Genrup, M.; Mann, A. Multidisciplinary Design of a Three Stage High Speed Booster. In Proceedings of the ASME Turbo Expo 2017: Turbomachinery Technical Conference, Charlotte, NC, USA, 26–30 June 2017. [Google Scholar] [CrossRef]
- Andersson, N. GitHub Repository for VINK. 19 September 2017. Available online: https://github.com/nikander/VINK (accessed on 12 October 2019).
- PCA Engineers. SC90C a Stream Line Curvature. 2014. Available online: https://www.pcaeng.co.uk/vista-software (accessed on 12 October 2019).
- Skärnell, H. Parameterization and Design of Transonic Compressor Blades. Master’s Thesis, Department of Applied Mechanics, Chalmers University of Technology, Gothenburg, Sweden, 2013. [Google Scholar]
- Goodhand, M.N.; Miller, R.J. Compressor Leading Edge Spikes: A New Performance Criterion. J. Turbomach. 2011, 133, 021006. [Google Scholar] [CrossRef]
- Zhang, X.; Ju, Y.; Zhang, C. Geometry scaling technique and application to aerodynamic redesign of multi-stage transonic axial-flow compressors. Aerosp. Sci. Technol. 2022, 121, 17. [Google Scholar] [CrossRef]
- Silva, L.M.; Tomita, J.T.; Barbosa, J.R. A study of the influence of the tip-clearance on the tip-leakage flow using CFD techniques. In Proceedings of the Brazilian Congress of Mechanical Engineering—COBEM, Natal, RN, Brazil, 24−28 October 2011. [Google Scholar]
- Lejon, M. Simulation and Optimization of an Axial Compressor Considering Tip Clearance Flow. Ph.D. Thesis, Chalmers University of Technology, Gothenburg, Sweden, 2016. [Google Scholar]
- Lejon, M.; Grönstedt, T.; Andersson, N.; Ellbrant, E.; Mårtensson, H. On Improving the Surge Margin of a Tip-Critical Axial Compressor Rotor. In Proceedings of the ASME Turbo Expo 2017: Turbomachinery Technical Conference and Exposition, Charlotte, NC, USA, 26–30 June 2017. [Google Scholar] [CrossRef]
- Pan, T.; Wu, W.; Li, Q. Effect of casing treatment to switch the type of instability inception in a high-speed axial compressor. Aerosp. Sci. Technol. 2021, 115, 11. [Google Scholar] [CrossRef]
- Jung, Y.J.; Jeon, H.; Jung, Y.; Lee, K.J.; Choi, M. Effects of recessed blade tips on stall margin in a transonic axial compressor. Aerosp. Sci. Technol. 2016, 54, 41–48. [Google Scholar] [CrossRef]
- Li, H.; Zheng, Q.; Chen, Z.; Duan, Y.; Jiang, B.; Benini, E. The role of radial secondary flow in the process of rotating stall for a 1.5-stage axial compressor. Aerosp. Sci. Technol. 2021, 115, 24. [Google Scholar] [CrossRef]
- Lejon, M. Aerodynamic Design Framework for low-Pressure Compression Systems. Ph.D. Thesis, Chalmers University of Technology, Gothenburg, Sweden, 2018. [Google Scholar]
- ANSY. ANSYS TurboGrid Tutorial. Release 15.0; ANSYS, Inc.: Canonsburg, PA, USA, 2018. [Google Scholar]
- ANSYS. CFX-Pre User’s Guide. Release 19.1; ANSYS, Inc.: Canonsburg, PA, USA, 2018. [Google Scholar]
- Menter, F.R. Two-Equation Eddy-Viscosity Turbulence Models for Engineering Applications. AIAA J. 1994, 32, 1595–1605. [Google Scholar] [CrossRef]
- Díaz, R.B. Circumferential Grooves Passive Wall Treatment in a Transonic Axial Compressor. Master’s Thesis, Aeronautics Institute of Technology, São José dos Campos, Brazil, 2018. [Google Scholar]
- Xu, D.; Dong, X.; Zhou, C.; Sun, D.; Gui, X.; Sun, X. Effect of rotor axial blade loading distribution on compressor stability. Aerosp. Sci. Technol. 2021, 119, 18. [Google Scholar] [CrossRef]
- Reid, L.; Moore, R.D. Performance of a Single-Stage Axial-Flow Transonic Compressor with Rotor and Stator Aspect Ratios of 1.19 and 1.26, Respectively, and with Design Pressure Ratio of 1.82; NASA Technical Paper 1338; NASA: Washington, DC, USA, 1978. [Google Scholar]
- Li, Z.; Zhang, P.; Yang, D.; Zhang, J. Numerical investigations on the key contributing factor and flow features of compressor stall hysteresis. Aerosp. Sci. Technol. 2022, 121, 9. [Google Scholar] [CrossRef]
- Wang, D.; Huang, X. A complete rotor–stator coupling method for frequency domain analysis of turbomachinery unsteady flow. Aerosp. Sci. Technol. 2017, 70, 367–377. [Google Scholar] [CrossRef]
- Liu, A.; Ju, Y.; Zhang, C. Parallel rotor/stator interaction methods and steady/unsteady flow simulations of multi-row axial compressors. Aerosp. Sci. Technol. 2021, 116, 106859. [Google Scholar] [CrossRef]
- Li, J.; Dong, X.; Sun, D.; Wang, Y.; Geng, C.; Sun, X. Stability Enhancement and Noise Reduction of an Axial Compressor with Foam Metal Casing Treatment. Aerospace 2022, 9, 628. [Google Scholar] [CrossRef]
- da Silva, L.M.; Grönstedt, T.; Whitaker, L.H.L.; Tomita, J.T.A.M.; Martins, V.A.C. Comparison of Different CFD Unsteady Methods for the Performance Analysis of a Transonic Axial Compressor. In Proceedings of the 25th ISABE Conference, Ottawa, ON, Canada, 25−30 September 2022. [Google Scholar]
- Smith, L.H. Casing Boundary Layers in Multistage Axial Flow Compressors. Flow Res. Bl. 1970, 106, 635–647. [Google Scholar]












| Parameter | Value |
|---|---|
| Design rotational speed | 6242 rpm |
| Design rotor blade velocity | 402.00 m/s |
| Design point pressure ratio | 1.51 |
| Design point corrected mass flow | 89.5 kg/s |
| Design point polytropic efficiency | 91.0% |
| Surge margin at design point 1 | 19.1% |
| De Haller Number 2 | 0.74 and 0.92 (stator) |
| Parameter | Inlet Guide Vane (IGV) | Rotor |
|---|---|---|
| Blade count | 76 | 51 |
| Chord at mean radius | 50.4 mm | 98.3 mm |
| Axial chord at mean radius | 49.8 mm | 54.7 mm |
| Rotor AR | - | 1.37 |
| Rotor hub-to-tip ratio | - | 0.80 |
Disclaimer/Publisher’s Note: The statements, opinions and data contained in all publications are solely those of the individual author(s) and contributor(s) and not of MDPI and/or the editor(s). MDPI and/or the editor(s) disclaim responsibility for any injury to people or property resulting from any ideas, methods, instructions or products referred to in the content. |
© 2024 by the authors. Licensee MDPI, Basel, Switzerland. This article is an open access article distributed under the terms and conditions of the Creative Commons Attribution (CC BY) license (https://creativecommons.org/licenses/by/4.0/).
Share and Cite
Silva, L.; Grönstedt, T.; Xisto, C.; Whitacker, L.; Bringhenti, C.; Lejon, M. Analysis of Blade Aspect Ratio’s Influence on High-Speed Axial Compressor Performance. Aerospace 2024, 11, 276. https://doi.org/10.3390/aerospace11040276
Silva L, Grönstedt T, Xisto C, Whitacker L, Bringhenti C, Lejon M. Analysis of Blade Aspect Ratio’s Influence on High-Speed Axial Compressor Performance. Aerospace. 2024; 11(4):276. https://doi.org/10.3390/aerospace11040276
Chicago/Turabian StyleSilva, Lucilene, Tomas Grönstedt, Carlos Xisto, Luiz Whitacker, Cleverson Bringhenti, and Marcus Lejon. 2024. "Analysis of Blade Aspect Ratio’s Influence on High-Speed Axial Compressor Performance" Aerospace 11, no. 4: 276. https://doi.org/10.3390/aerospace11040276
APA StyleSilva, L., Grönstedt, T., Xisto, C., Whitacker, L., Bringhenti, C., & Lejon, M. (2024). Analysis of Blade Aspect Ratio’s Influence on High-Speed Axial Compressor Performance. Aerospace, 11(4), 276. https://doi.org/10.3390/aerospace11040276

