Next Article in Journal
Predicting Wall Pressure Fluctuations on Aerospace Launchers Through Machine Learning Approaches
Previous Article in Journal
Long-Baseline Real-Time Kinematic Positioning: Utilizing Kalman Filtering and Partial Ambiguity Resolution with Dual-Frequency Signals from BDS, GPS, and Galileo
 
 
Font Type:
Arial Georgia Verdana
Font Size:
Aa Aa Aa
Line Spacing:
Column Width:
Background:
Article

Effects of Propeller Distribution on the Aeroelastic Characteristics of Large-Deformation Wings

1
College of Aeronautics, Northwestern Polytechnical University, Xi’an 710072, China
2
National Key Laboratory of Aircraft Configuration Design, Xi’an 710072, China
*
Author to whom correspondence should be addressed.
Aerospace 2024, 11(12), 971; https://doi.org/10.3390/aerospace11120971
Submission received: 5 September 2024 / Revised: 23 November 2024 / Accepted: 24 November 2024 / Published: 26 November 2024
(This article belongs to the Section Aeronautics)

Abstract

Considering the large-deformation and multi-propeller characteristics of very flexible aircraft, propeller effects are introduced and accessed in the wing static and dynamic aeroelastic analysis and different propeller distributions are utilized to obtain more aeroelastic benefits. The propeller–wing aeroelastic interactions are innovatively modeled in the paper. For propeller–wing aerodynamic interaction, propeller-induced velocities are considered and added in the nonplanar steady and unsteady vortex lattice methods. For propeller–wing structural interaction, the conversion of loads and displacements between attached propellers and the large-deformation wing is derived. Static aeroelastic cases indicate that thrust can reduce structural deformation and slipstream can cause considerable lift increment. Dynamic cases indicate that thrust can reduce the wing’s maximum response to gust and bring an improvement of 9.4% in the wing’s critical velocity, while slipstream can reduce the gust response amplitude. In addition, using smaller and more propellers is recommended instead of an individual larger propeller. Decreasing and increasing propeller speeds toward the wingtip is more beneficial for cruise status and gust alleviation, respectively.

1. Introduction

With the rapid development of the aviation industry, the concept of green aviation, including low fuel consumption, low noise, low pollution and high sustainability, is getting more and more attention [1,2,3]. The high-altitude long-endurance (HALE) solar-powered aircraft with distributed electric propulsion (DEP) [4,5,6,7] shows obvious development potential under these requirements. The Helios prototypes HP01 and HP03 [8,9] are representative examples of such a vehicle, using 14 and 10 distributed front propellers, respectively.
Such vehicles have two common characteristics: on the one hand, due to the multiple propellers distributed along the spanwise direction, the wing is in a large range of propeller slipstream and the aerodynamic and propulsive efficiency are improved; on the other hand, the high aspect ratio wing configuration and flexible structural design strategy are usually adopted to pursue longer endurance, resulting in significant structural deformation during flight. The DEP configuration is coupled with the wing’s large deformation and this not only brings aerodynamic benefits but may also bring new aeroelastic challenges [10,11].
Many scholars have carried out a lot of research on propeller effects on the aeroelasticity of flexible aircrafts. Hodges et al. [12] investigated the effect of thrust, which was modeled as a follower force of prescribed magnitude, on the flutter of a high-aspect-ratio wing. Results showed that the effect of thrust could be either stabilizing or destabilizing, depending on the value of this parameter. However, the effect of slipstream was not considered. Liu et al. [13] used the blade element theory coupled with a lifting line method to rapidly study the aerodynamic interference between propellers and the deformed wing. Results demonstrated that the distribution of wing flow field was significantly influenced by propellers. A gradient-based optimization framework for DEP aircraft was developed by An [14] to minimize wing weight using structural and flutter constraints. It was found that a larger aspect ratio or more propellers could lead to a more flexible structure or larger aerodynamic loading, and it was not beneficial for wing flutter. Teixeira and Cesnik [15,16,17] incorporated propeller aerodynamics and inertial effects into a coupled nonlinear aeroelastic-flight dynamics framework. The results showed that the presence of propellers could influence the aeroelastic static and dynamic responses of a very flexible aircraft, as well as modify the aeroelastic modes and affect flutter onset.
It can be seen that propeller slipstream and thrust have a non-negligible impact on the wing’s static and dynamic aeroelastic characteristics. Therefore, it is necessary to consider the coupling analysis and design between distributed propellers and the large-deformation wing. Wang et al. [18] developed and validated a new multi-propeller–wing integrated aerodynamic design philosophy and methodology. The core of the presented design philosophy was to make good use of the coupling effects between two adjacent propellers to improve the aerodynamic performance. Xue et al. [19,20,21] developed a propeller inverse design method based on slipstream characteristics. The method was used to design propellers with different induced velocity distributions to achieve different aerodynamic gains of the wing. Rakshith et al. [22] proposed several novel wing planforms to reduce induced drag by exploiting the propeller slipstream. A general feature of the optimal wing planforms so generated was that the chords were shorter within the slipstream and longer on either side of it. Results showed that an optimal planform could reduce induced drag by about 9.15%, with a maximum local wing chord variation of about 37% over a conventional reference wing. Stoll et al. [23] performed aerodynamic simulations on various wing and propeller configurations to investigate the effect of several design variables on augmented maximum lift at takeoff and landing. With the distributed propulsion system, the effective maximum lift coefficient at takeoff was increased from 3.4 to 5.2 and the maximum lift-to-drag ratio was increased from 11 to 20.
The current research focused on the mutual aerodynamic effects between wings and propellers and the geometric dimensions were designed and optimized to achieve better wing aerodynamic performance, such as reducing induced drag, increasing lift-to-drag ratio, etc. However, as the wing deformation increases, the traditional propeller–wing design will not produce the expected aerodynamic benefits and may even cause aerodynamic losses. Further research is needed to investigate propeller effects on the aeroelastic behavior of the large-deformation wing, and the aeroelasticity is not negligible in the designing process. In addition, distributed propellers can play an important role in the deformation control and load alleviation of the large-deformation wing [24,25]. Further research is needed on utilizing the potential of distributed propellers to improve the aeroelastic characteristics of such aircraft.
In view of the above issues, the first objective of this paper is to model the coupling of aerodynamics, propeller propulsion and structural deformation of the large-deformation wing with distributed propellers attached. Then, the effects of propeller thrust and slipstream on the wing’s static and dynamic aeroelastic characteristics are investigated and verified. Finally, the paper tries to utilize different propeller distributions to improve the wing aerodynamic efficiency and obtain more aeroelastic gains in gust alleviation and flutter suppression.
The remaining sections are organized in the following order. The propeller–wing aerodynamic and structural interactions are modeled in Section 2 and verified in Section 3. After that, the static and dynamic aeroelastic analyses of different propeller–wing configurations are performed in Section 4 and Section 5, respectively. Finally, the main contributions and conclusions of the paper are presented in Section 6.

2. Propeller–Wing Modeling

In order to introduce propeller thrust and slipstream into traditional nonlinear static and dynamic aeroelastic analyses of flexible aircraft, the aerodynamic and structural interactions between distributed propellers and the large-deformation wing are innovatively modeled in this section. First, a brief introduction of the models and methods used in this paper is provided as follows.
For propeller aerodynamics, the commonly used blade element momentum theory (BEMT) and skewed vortex cylinder model (SVCM) proposed in this paper are employed. BEMT is used to quickly calculate the propeller loads and circulation distribution. The aerodynamic coefficients of the blade airfoil necessary for BEMT are taken from the XFOIL code [26] and the stall equation is taken from ref. [27]. Additionally, if the local Mach number M of the blade element exceeds 0.3, the compressibility corrections to the aerodynamic coefficients c l and c d of the blade airfoil will be made based on the equations c l = c l / 1 M 2 and c d = c d / 1 M 2 . To obtain the propeller-induced velocities more efficiently, SVCM is proposed based on the conventional vortex cylinder model (VCM), considering the skewed inflow revision. More details about SVCM can be found in Section 2.1.
For wing aerodynamics under propeller slipstream, Section 2.2 focuses on modeling the propeller–wing aerodynamic interaction. The vortex lattice method (VLM) is employed to evaluate the wing aerodynamic loads. How the propeller-induced velocities are brought to the steady and unsteady vortex lattice method is introduced in detail. The principle and solution of VLM are not the focus of our research, and they will not be expressed in this paper.
For the wing structure experiencing large deformation but small strains during flight, spatial beams based on the co-rotational (CR) formulations [28,29,30,31] are used to simulate the wing’s static and dynamic geometrically nonlinear behavior. Applying the co-rotational beams to research the structural static and dynamic characteristics of large flexible wings has been conducted by the author’s team before [32,33]. Due to space limitations, the corresponding formulations are not presented in this paper. On the basis of our team’s existing research, the propeller–wing structural interaction is modeled and introduced into the aeroelastic analysis framework as shown in Section 2.3.
Finally, the above methods and models are integrated into an aeroelastic analysis framework and the aeroelastic analysis procedure is given.

2.1. Propeller Aerodynamic Modeling

In the simulation of flexible aircraft, which involves the solution of multiple disciplines for deformed structures and multiple propellers, computationally inefficient models are unacceptable.
Conventionally, vortex lattice methods are used for both propeller and wing unsteady aerodynamic calculation. In this way, more wake panels and smaller time steps are required to express the propeller’s high-speed rotation, resulting in too much computing cost. Because the wing inflow velocity is much smaller than that of blades and the vibration frequencies of wing structure are relatively lower compared with the propeller rotating frequency, the propeller aerodynamics is assumed to be quasi steady.
The same assumption for very flexible aircraft with distributed propellers was also proposed by Otsuka et al. [34,35]. In ref. [34], the assumption was verified in an unsteady aerodynamic analysis of the propeller–wing system and results showed that the assumption was reasonable and more useful from the viewpoint of its computational efficiency. The propeller–wing configuration studied in this paper is similar to that in ref. [34], so the quasi-steady assumption for propeller aerodynamics is directly used in this paper. It should be noted that the degree of accuracy of this assumption depends on the specific configuration examined. Additionally, in all cases in this paper, the motion velocity of the propeller induced by wing motion is also much lower than the rotational velocity of blades, so the effect of the wing kinematics on propeller loads is ignored to save computing costs.
Concerning the propeller wake, as described by Veldhuis [36] under the assumption of quasi-steady flow, continuous circulation distribution Γ(r), an infinite number of blades, an un-expanding wake shape, and a finite tip-speed ratio, the wake vortex cylinder is composed of the tangential vorticity γ t and the longitudinal vorticity γ l . When the inflow is skewed, the cross-section of the vortex cylinder is no longer a standard circle (see Figure 1), and γ t and γ l at (r, φ) can be given by the following expressions [37]:
{ γ t = Π N B u f r e e cos ϒ d Γ d r γ l = N B 2 π r · 1 1 ( 1 cos 2 ϒ ) sin 2 φ d Γ d r
where Π is the rotating speed of the propeller, NB is the blade number, u f r e e is the freestream velocity, Υ is the skewed angle of the vortex cylinder, Γ(r) is the radial circulation distribution, which can be calculated by the blade element momentum theory [38] and (r, φ) is the coordinate of the propeller’s local cylindrical system (introduced later).
At any point P(rpcosφp, rpsinφp, zp) in space, the aerodynamic-induced velocity v P t produced by the tangential vorticity is calculated by integrating Equation (1) along the radial r, circumference φ and longitudinal z using the Biot–Savart Law. Equation (2) provides the corresponding expressions of the different components ( v P ,   x t   v P ,   y t   v P ,   z t ), which include integration along the z-direction.
v P , * t ( r P , φ P , z P ) = 0 R γ t 4 π 0 2 π 2 ( a * c + b * a ) a ( 2 a c + b ) d φ d r
with
{ ( a , b , c ) = ( r 2 + r P 2 + z P 2 2 r r P cos ( φ φ P ) , 2 m r cos φ 2 m r P cos φ P 2 z P , 1 + m 2 ) ( a x , b x ) = ( r z P cos φ , r cos φ ) ( a y , b y ) = ( r z P sin φ , r sin φ ) ( a z , b z ) = ( r 2 r r P cos ( φ φ P ) , r m cos φ ) m = tan ϒ
with the mark * representing the variables of x, y and z.
At the same time, the induced velocity v P l produced by the longitudinal vorticity is defined as follows:
v P l = ( 0 R γ l 4 π 0 2 π sin φ + r ˜ sin φ P D d φ d r 0 R γ l 4 π 0 2 π cos φ + r ˜ cos φ P m z ˜ D d φ d r 0 R γ l 4 π 0 2 π m sin φ + m r ˜ sin φ P D d φ d r )
with
{ D = D 1 ( D 2 + 1 + m 2 D 1 ) D 1 = 1 + r ˜ 2 + z ˜ 2 2 r ˜ cos ( φ φ P ) D 2 = m cos φ m r ˜ cos φ P z ˜ r ˜ = r P / r ,   z ˜ = z P / r
Therefore, the total induced velocity of a vortex cylinder at P is defined as follows:
v P = v P t + v P l

2.2. Propeller–Wing Aerodynamic Interaction Model

In this section, the nonplanar vortex lattice method is applied for the aerodynamic calculation of the large-deformation wing. The influence of propeller slipstream on the wing aerodynamics is focused on in this paper, so the propeller-induced velocities are added in the steady and unsteady vortex lattice methods as follows.

2.2.1. Steady Vortex Lattice Method with Propeller Effects

In aerodynamic calculation, the new lifting surface of the large-deformation wing can be determined by the current structural displacements via spatial spline interpolation. As shown in Figure 2, the lifting surface is taken and discretized into N vortex lattices along the spanwise and chordwise directions.
Each vortex lattice is arranged with a vortex ring and the midpoint of the quarter chord is selected as the collocation point. The free vortex is pulled out from the trailing edge vortex lattices and parallel to the direction of the incoming flow.
According to Neumann boundary conditions, the normal impenetrable boundary condition at the collocation point of all vortex rings can be expressed as follows:
[ Γ 1 Γ 2 Γ N ] = C 1 [ v 1 T n 1 v 2 T n 2 v N T n N ]
with
v i = u f r e e + v i w a k e + v i p r o p
where Γi is the wing circulation distribution, ni is the normal vector, C is the aerodynamic coefficient matrix and vi is the sum of the induced velocities, including the freestream velocity u free , the wake induced velocity v i wake and the propeller-induced velocity v i prop from Equation (6).
According to the Kutta–Joukowski theory, the aerodynamic force at the vortex ring i is as follows:
f i = ρ Γ i ( u f r e e × b i )
where ρ is the air density and bi is the quarter-chord vector of the vortex ring.

2.2.2. Unsteady Vortex Lattice Method with Propeller Effects

Compared with the steady circumstance, this section mainly derives the motion velocity of the collocation point when dealing with the unsteady aerodynamic force. In the structural local section, the structural node on the elastic axis is assumed as the origin of the aerodynamic local body-fixed system (the x-axis oriented along the chord direction and the y-axis oriented along the span direction) as shown in Figure 3.
Let (x, y, z) denote the aerodynamic body-fixed coordinate system, while (X, Y, Z) represents the inertial coordinate system. At any time, the coordinates (X0, Y0, Z0) and the Euler angles (θ1, θ2, θ3) of the structural node corresponding to the origin of the aerodynamic system can be obtained from the solution of the aeroelastic response.
Observed in the aerodynamic local system, the velocity v 0 of the origin is
v 0 = R ( θ 1 , θ 2 , θ 3 ) [ X ˙ Y ˙ Z ˙ ]
with
R = [ 1 0 0 0 cos θ 1 sin θ 1 0 sin θ 1 cos θ 1 ] [ cos θ 2 0 sin θ 2 0 1 0 sin θ 2 0 cos θ 2 ] [ cos θ 3 sin θ 3 0 sin θ 3 cos θ 3 0 0 0 1 ]
Then, the velocity of the collocation point i observed in the aerodynamic local system is given by
v i m o t i o n = ( v 0 + ω 0 × ξ i )
where ξi = (xi, yi, zi) is the position vector from the origin to the collocation point i and ω 0 is the rate of rotation of the aerodynamic local system as follows:
ω 0 = [ 1 0 sin θ 2 0 cos θ 1 sin θ 1 cos θ 2 0 sin θ 1 cos θ 1 cos θ 2 ] · [ θ ˙ 1 θ ˙ 2 θ ˙ 3 ]
At the same time, Equation (12) can also be used to calculate the motion velocity of the blade element induced by wing motion. The effect of the wing kinematics on propeller loads can be considered by adding the motion velocity of the blade element to BEMT.
Finally, Equation (8) can be written as follows:
v i = u f r e e + v i w a k e + v i p r o p + v i m o t i o n
For the wing with low-frequency motion, the unsteady aerodynamic force at the vortex ring i can be approximately calculated by the first-order unsteady version of the Kutta–Joukowski theorem as in [39]. The general extension of the Kutta–Joukowski theorem to unsteady aerodynamics can be found in ref. [40].
f i = ρ Γ i ( v i × b i ) + ρ c i Γ i t n i + ρ c i Γ i d n i d t
where c i is the chord length of the vortex ring.

2.3. Propeller–Wing Structural Interaction Model

In this section, the propeller cylinder coordinate system is defined to complete the conversion of loads and displacements between attached propellers and the large-deformation wing. The propeller cylindrical coordinate system is presented as shown in Figure 4. For the propeller cylindrical coordinate system, the center of the propeller disk o P is regarded as the origin, and the polar coordinates r(r, φ) are defined on the plane of the propeller disk. z and the thrust direction are in opposite directions. δTL is defined as the unit vector along the thrust direction.
In the undeformed configuration, the initial position of the structural node o s corresponding to the propeller installation section is ( X S , 0 , Y S , 0 , Z S , 0 ). In the deformed configuration, the displacement ( d x , d y , d z , θ S , 1 , θ S , 2 , θ S , 3 ) of o s can be obtained from the solution of the aeroelastic response. Then, the new position ( X P , Y P , Z P ) of the center of the propeller disk o P is calculated by
[ X P Y P Z P ] = [ X S , 0 + d x Y S , 0 + d y Z S , 0 + d z ] + R ( θ S , 1 , θ S , 2 , θ S , 3 ) ξ P
where R is the same as in Equation (11) and ξP is the known installation vector of the propeller relative to the elastic axis.
In Section 2.1, the propeller-induced velocities are calculated in the propeller cylindrical coordinate system. For any point (X, Y, Z) in space, the corresponding coordinate (r, z) in the propeller cylindrical coordinate system can be given by the following:
{ r = | δ TL × ( [ X Y Z ] [ X P Y P Z P ] ) | z = | δ TL T · ( [ X Y Z ] [ X P Y P Z P ] ) |
Then, the propeller-induced velocities of the point can be obtained by bringing Equation (17) into Equation (5).
Similarly, the propeller aerodynamic loads, including the force t p and the torque m p , can be converted into the loads t s and m s of the structural node:
{ t S = t P δ TL m S = t P ( [ X S , 0 + d x Y S , 0 + d y Z S , 0 + d z ] [ X P Y P Z P ] ) × δ TL + m P δ TL

2.4. Aeroelastic Analysis Procedure

Considering the introduction of propeller effects and the characteristics of large deformation, an enhanced nonlinear aeroelastic analysis framework is presented in this section as shown in Figure 5.
The specific aeroelastic analysis procedure is shown below:
(1)
Firstly, based on the current design parameters and applied loads, structural equilibrium equations of the co-rotational beams with two nodes and twelve degrees of freedom per element are derived. The static algebraic equations are solved iteratively by the Newton–Raphson method and the nonlinear dynamic equations are solved in the time domain.
(2)
Secondly, the structural displacements are converted into propeller cylindrical coordinates and aerodynamic deformation of vortex lattices. The propeller geometric configurations and the aerodynamic grids are updated.
(3)
Then, the propeller–wing aerodynamic loads are calculated. The propeller loads are further converted into structural loads through Equation (18), and the wing aerodynamic loads are converted by the spatial spline interpolation [41].
(4)
For static aeroelastic analysis, the above process is repeated until the displacements converge. For dynamic aeroelastic analysis, the above process occurs at each time step until the predetermined calculating time is reached.
The framework is then employed to investigate the influence of propellers on the static and dynamic aeroelastic characteristics of the large-deformation wing. Additionally, the wing aeroelastic characteristics are improved by changing the size, number and speed distributions of propellers rather than the wing geometric distribution or stiffness distribution.

3. Verification Cases

In this section, the propeller–wing interaction models and the aeroelastic framework established above are verified from two aspects. On the one hand, the thrust characteristics and the induced velocity distributions of an isolated propeller are verified by calculating the propeller with experimental data. On the other hand, the static aeroelastic displacements and the dynamic aeroelastic response of a propeller–wing configuration are verified.

3.1. Verification of Propeller Aerodynamics

In this section, the comparisons of thrust characteristics and induced velocities of an isolated propeller with results in the literature are carried out. The object propeller is called APC 11 × 5.5E and selected from ref. [42], which provided a large number of thrust and power characteristic analysis results and corresponding experimental test data for small low-speed propellers. This propeller was also analyzed in ref. [15].
The propeller consists of two blades and the blade geometric data are actually measured in ref. [42]. The distributions of the blade chord and twist are shown in Figure 6 and the analysis conditions and other parameters of the propeller are listed in Table 1.
The thrust and thrust coefficient calculated from this paper are T = 1.70 N and CT = 0.227. These values agree well with T = 1.68 N and CT = 0.224 calculated in ref. [15]. The small discrepancy is attributed to the difference between the aerodynamic coefficients of the airfoil used in both methods.
The profiles of axial and tangential propeller-induced velocities along the horizontal symmetric axis at a distance of one radius behind the rotor disk plane are compared in Figure 7. The profiles calculated from this paper show good agreement with the results of ref. [15], which were evaluated by the lifting line theory coupled with the viscous vortex particle method. It can also be observed that the induced velocities near the propeller hub and outside the blade tip are close to zero. The axial-induced velocities inside the propeller radius can significantly accelerate the local flow [43], thereby improving the aerodynamic efficiency of the wing behind. In addition, the tangential-induced velocities can trigger upwash on the side where blades go up and downwash on the other side.
In order to validate the thrust characteristics under different freestream velocities, the propeller speed is kept unchanged at 6000 rpm and the propeller advance ratio J varies from 0.1 to 0.6. Figure 8 presents the comparison curves of the thrust coefficient versus the advance ratio. Under different advance ratios, the thrust coefficients calculated in this paper agree well with the experimental results in ref. [42] and the maximum error is within 1.5%. From Figure 7 and Figure 8, it is proved that the propeller aerodynamic model proposed in this paper can effectively capture the thrust characteristics and the induced effects of slipstream.

3.2. Verification of the Propeller–Wing Aeroelasticity

In this section, the static aeroelastic displacements and the dynamic aeroelastic response of a large-deformation wing with propeller slipstream considered are verified. The object propeller–wing system is selected from ref. [34] and consists of a high-aspect-ratio wing and 10 propellers symmetrically attached at ±3/8, ±4/8, ±5/8, ±6/8 and ±7/8 of the semispan.
As shown in Figure 9, the wing is a rectangular wing with a span of 32 m and a chord of 1 m. The root of the wing is clamped and the propeller–wing system is actually calculated in a wind tunnel state. The chord and twist distribution of the propeller is the same as that in Section 3.1 and installed at 1 m ahead of the elastic axis and 0 m above the wing. The propellers on the left and right wings rotate in opposite directions, but all toward the wingtip. Other specific parameters of the propeller–wing system are shown in Table 2.
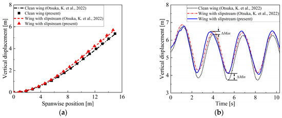
The static aeroelastic deformation is calculated iteratively and the equilibrium displacements are obtained; then, to verify the wing dynamic aeroelastic response, the wing is artificially forced to experience a bending oscillation motion by applying a vertical lumped force Fz = 100sin(2.24t) N on the wingtip. The results of static aeroelastic displacements and dynamic aeroelastic response from this paper and the literature are shown in Figure 10.
In Figure 10a, a comparison of vertical displacements is given for the clamped wing with and without slipstream. As one can see, there is a slight increase in wing deflection for the case with slipstream. Compared to the clean wing, the wingtip vertical displacement has increased by 5.8% due to the presence of a slipstream, corresponding to a displacement of 2% of the semispan. Additionally, the total lift of the wing has increased by 5.2% due to the acceleration effect of the slipstream. In addition, one can observe quite good agreement between the present results and the results of ref. [34], where the averaged vortex cylinder method coupled with the vortex lattice method was applied for the propeller–wing aerodynamics and the multi-body dynamic theory was used for structural modeling.
Figure 10b gives the time histories of the wingtip vertical displacements with and without propeller slipstream. It can be observed that the overall displacement response is shifted along the increasing direction by the propeller slipstream. In the process of dynamic response, slipstream also increases wing lift and bending deformation. This phenomenon is consistent with the static aeroelastic analysis. We can also see that the discrepancy ΔMin in the local minimum displacement is larger than ΔMax in the local maximum displacement. It indicates that in this case, slipstream not only increases the bending deformation, but also decreases the bending response amplitude. There is good agreement between the results with a slight difference that can be attributed to the difference between the aerodynamic coefficients of airfoil used for both methods. In ref. [34], the aerodynamic coefficients of NACA4412 were calculated by the approximated equations = 0.10 α + 0.315 and =0, while the coefficients in this paper were taken from the XFOIL code [26] and the stall equation [27]. Additionally, the averaged vortex cylinder method coupled with BEMT was used in ref. [34], where the circulation distribution of the propeller was averaged.

4. Static Aeroelastic Analysis

This section mainly completes two tasks. First, the static aeroelastic analysis is conducted to identify the propeller-induced deformation and propeller-induced aerodynamic force of the large-deformation wing. Then, the aerodynamic force changes caused by distributed propellers are assessed for different propeller–wing cases, including (1) flexible and rigid wing configurations, (2) wing configurations with different propeller numbers and sizes and (3) wing configurations with different propeller speed distributions.

4.1. Propeller-Induced Deformation

To investigate propeller effects on the static displacements of the large-deformation wing, the propeller–wing system used in Section 3.2 is also selected as the analysis object in this section. However, the size and number of propellers are changed. As shown in Figure 11, 14 propellers are evenly and symmetrically distributed on the left and right wings along the spanwise direction.
The propeller used in this section has the same normalized chord and twist distribution as that in Section 3, but the radius is set to 0.5 m. The parameters of the wing structure are consistent with those in Table 2, and the calculation conditions are presented in Table 3. All propeller speeds are set to 3200 rpm.
The final static aeroelastic deformation is shown in Figure 12. From Figure 12a, it can be observed that propeller thrust reduces the wing aeroelastic deformation and the vertical displacement and torsion of the wingtip are reduced by 21.4% and 73.6%, respectively. This is mainly due to the coupling of thrust and nonlinear bending deformation, resulting in additional nose-down torsion moments and negative torsion deformation. The local angle of attack and the wing lift will be further reduced as a result.
From Figure 12b, we can see that the propeller slipstream increases the wing deflection and the wingtip vertical displacement by 7.9% when compared with the clean wing. This is also attributed to the slipstream acceleration effect, which is illustrated in Section 3. In addition, it is found that slipstream can reduce wing torsion and the reason will be investigated in the following section.

4.2. Propeller-Induced Aerodynamic Force

In order to further identify propeller effects on the aerodynamic characteristics of the large-deformation wing, three propeller–wing configurations with different propeller numbers and radii are proposed as shown in Figure 13. To ensure the same wing area under slipstream, the propeller numbers are 30, 14 and 6, and the radii are 0.25 m, 0.5 m and 1 m, respectively. The propellers are evenly distributed along the spanwise direction with a distance of two radii from each other.
In each configuration, all propellers have the same rotating speed. Under total thrusts of 20 N, 40 N, 60 N and 80 N, the aerodynamics of each configuration is calculated. Under different total thrusts, the propeller speed of each configuration is shown in Table 4. The parameters of the propeller–wing system and the calculation conditions are kept unchanged.
The total lift and total pitching moment of different configurations are calculated. Figure 14 illustrates, compared with the clean wing, the lift and pitching moment increments induced by propellers of different configurations as a function of the total thrust. The results of configurations with only thrust considered show that thrust reduces the wing lift and causes additional positive pitching moments (or nose-up pitching moments). From the results of configurations with only slipstream considered, we can see that slipstream increases the wing lift and causes additional negative pitching moments (or nose-down pitching moments). This explains the phenomenon discussed in Section 4.1, that slipstream can increase thrust-induced negative torsional deformation at the inboard wing.
Comparing the results of Configurations A, B and C indicates that under the same total thrust, the aerodynamic effects caused by slipstream become more evident with the decrease in propeller size. Additionally, the aerodynamic increments caused by thrust change little with the size and number of distributed propellers. In the coupling design of the large-deformation wing and propellers, using smaller but more distributed propellers instead of the individual larger propeller can achieve more lift increment.
To investigate the influence of structural deformation on slipstream effects, the wings of the above three configurations are set to be rigid. Additionally, all rigid and flexible configurations are calculated with only slipstream considered. Figure 15 shows the aerodynamic increments induced by slipstreams of different flexible and rigid configurations. It is found that compared with the rigid configurations, the large bending deformation reduces the lift increments and the absolute value of pitch moment increments. In other words, the large bending deformation of wings weakens the aerodynamic effects of slipstream, which cannot be ignored in the wing–propeller design.

4.3. Effects of Different Spanwise Distributions of Propeller Speeds

This section focuses on improving the aerodynamic characteristics of the large-deformation wing by changing the spanwise distribution of propeller speeds rather than changing the wing geometric dimensions or stiffness distributions. Configuration B is studied here. The parameters of the propeller–wing system and the calculation conditions are still kept unchanged.
Three different distributions of propeller speeds are proposed and calculated: (1) speeds distributed equally along the spanwise direction, (2) speeds increasing linearly toward the wingtip and (3) speeds decreasing linearly toward the wingtip. Under total thrusts of 20 N, 40 N, 60 N and 80 N, the propeller speed distributions of the seven propellers (half model) along the spanwise direction are shown in Figure 16.
The configurations with different distributions of propeller speeds are calculated with both slipstream and thrust considered. Figure 17 illustrates the lift and pitching moment increments with regard to the clean wing under different total thrusts. The wingtip torsional displacements of different configurations are shown in Figure 18. It can be seen that due to the negative torsion deformation caused by the propeller, the wing lift in all cases decreases compared with the clean wing. Additionally, decreasing propeller speeds toward the wingtip results in minimum lift loss, while increasing thrust toward the wingtip causes maximum lift loss. When the propeller speed near the wing tip is increased, the negative torsional effect caused by thrust becomes more evident due to the large wingtip deflection, resulting in more lift loss. When the propeller speed near the wing root is increased, the acceleration effect of slipstream is more significant and more lift increment is caused; additionally, it can be seen in Figure 17b that the pitch moment increment is almost not affected by the propeller speed distribution.
Higher aerodynamic efficiency can be achieved by exploiting wing flexibility and the distribution of propellers. It also suggests that distributed propellers can potentially be used for load and gust alleviation of the large-deformation wing when encountering disturbances. Therefore, propeller effects on the dynamic aeroelastic characteristics of the large-deformation wing will be explored in the next section.

5. Dynamic Aeroelastic Analysis

Recognizing the potential in load alleviation of distributed propellers for the large-deformation wing, this section first identifies the influence of propeller thrust and slipstream on the wing dynamic response to 1-cos discrete gust. The gust alleviation effect of different spanwise distributions of propeller speeds is also evaluated. Finally, propeller effects on the wing aeroelastic stability are briefly investigated.

5.1. Propeller Effects on the Gust Response

Gust excitation is often encountered during the flight of very flexible aircraft, and the gust response is of key concern to researchers. Configuration B of the propeller–wing systems in Section 4.2 is selected as the research object. The air density, the freestream velocity and the angle of attack are 0.0889 kg/m3, 25 m/s and 4 degrees, respectively.
The propeller–wing system is put under the 1-cos discrete gust, which is frequently employed to examine an aircraft’s gust load. As shown in Figure 19, the velocity profile vgust of 1-cos gust is expressed in Equation (19). The gust velocity amplitude vg and the gust periodic time tg are set to 1 m/s and 2/3 s.
To consider the propeller inertial effects in gust response, the inertial terms of the propeller (each weighing 0.25 kg) are added to the total mass matrix of the structure. In addition, results of the similar aeroelastic cases in ref. [15] indicated that the gyroscopic effects of the lightweight propeller presented a negligible influence on the aeroelastic response of high-altitude long-endurance aircraft, so no gyroscopic effects are considered in the following cases investigated.
v g u s t = { v g 2 ( 1 cos 2 π t t g ) 0 < t < t g 0 t > t g
The wingtip vertical displacement responses of the wing with thrust only and the wing with thrust and slipstream under different total thrusts are presented in Figure 20. Figure 21 gives the corresponding maximum values and maximum amplitudes (maximum values minus minimum values) of the wingtip vertical displacements under different propeller effects.
From Figure 20, it can be seen that thrust decreases the wingtip maximum displacement and the final equilibrium deformation with the increase in the total propeller thrust. Meanwhile, slipstream increases wingtip displacement and equilibrium deformation. This phenomenon is consistent with that of Section 4.2, where slipstream increases the aerodynamic lift and thrust reduces the lift.
Figure 21a shows that, compared with the wing with thrust only, the slipstream increases the maximum displacement values by 1.4%, 5.2%, 7.3% and 9.8%, respectively. It indicates that in the gust response of the large-deformation wing, thrust can effectively reduce the structural maximum displacements and further reduce the structural maximum internal stress, while slipstream may cause adverse effects.
From Figure 21b, we can see that the maximum amplitude of the displacement gradually increases with the increase in total thrust. Additionally, compared with the wing with thrust only, the slipstream reduces the maximum amplitude by 2.5% to 3.8%. This is mainly because the nonlinear structural stiffness of the wing with different propeller effects will vary with wing deformation. Comparing Figure 21a,b, it can also be observed that the propeller effects on the dynamic response (amplitude of response) are much lower than those on the static response (related to the maximum value of response).

5.2. Gust Alleviation Effects of Different Spanwise Distributions of Propeller Speeds

In order to evaluate the gust alleviation effects of different spanwise distributions of propeller speeds, three-speed distributions in Figure 16 are still applied: (1) speeds distributed equally along the spanwise direction, (2) speeds increasing linearly toward the wingtip and (3) speeds decreasing linearly toward the wingtip. The propeller–wing system remains unchanged and the total thrust is 40 N. The freestream conditions, such as the angle of attack, the freestream velocity and the air density, are kept unchanged.
The gust velocity amplitude vg is set to 1 m/s and the gust periodic time tg is set to 2 s, 1 s and 2/3 s (the corresponding gust frequencies fg are 0.5 Hz, 1.0 Hz and 1.5 Hz) in sequence. Figure 22 shows the gust responses of the wingtip vertical displacements of the wing with propeller speed distributed equally at different gust frequencies. It can be seen that both the maximum displacement and the response amplitude decrease with the increase in gust frequency. Figure 23 shows the wingtip vertical displacement responses of the wing with different propeller speed distributions at a gust frequency of 1.5 Hz. The corresponding maximum displacement and maximum amplitude of different propeller speed distributions at different gust frequencies are shown in Figure 24. Compared with the cases with propeller speed distributed equally, increasing propeller speed linearly toward the wingtip will decrease the vertical displacement and increase the response amplitude, while decreasing propeller speeds linearly toward the wingtip has the opposite effect. From Figure 23 and Figure 24a, results show that the perturbation caused by the gust is almost the same for the cases with different propeller speed distributions. The propeller speed distribution mainly affects the static response of the large-deformation wing. Additionally, with the increase in gust frequency, the difference between the maximum response amplitude of the cases with different propeller speed distributions is gradually reduced.

5.3. Propeller Effects on the Dynamic Aeroelastic Stability

In this section, propeller effects on the dynamic aeroelastic stability of the large-deformation wing are briefly checked. The propeller–wing system remains the same as that in Section 5.1. All propellers have the same thrust and the total thrust is 20 N (half model). The air density is 0.0889 kg/m3 and the angle of attack is two degrees. Beginning from the zero displacements and after 8 s of simulation, the transient responses of the clamped propeller–wing system at different freestream velocities are simulated.
The time histories of the wingtip vertical displacements with different propeller effects at the freestream velocities of 30.7 m/s and 33.6 m/s are given in Figure 25 and Figure 26, respectively. From the time histories of the wingtip displacements in Figure 25, it is possible to see that the dynamic response of the clean wing without propeller effects is close to the stability boundary. However, with the introduction of propeller thrust and slipstream, the wingtip vertical displacement response gradually converges. It indicates that the inclusion of propeller thrust can cause a stabilizing effect for the dynamic aeroelastic stability of the large-deformation wing. When the freestream velocity increases to 33.6 m/s, the dynamic response of the wing with thrust only is close to the stability boundary as shown in Figure 26. However, with the additional introduction of a propeller slipstream, the wingtip vertical displacement response gradually diverges. For the calculation of aeroelastic stability of the wing under a large-scale slipstream, the influence of the slipstream must be considered; otherwise, it will cause significant errors.

6. Conclusions

This paper introduced the effects of distributed propellers into the nonlinear static and dynamic aeroelastic analysis of the large-deformation wing, and those effects were assessed to improve the wing’s aerodynamic and aeroelastic characteristics.
The aerodynamic and structural interactions between the follower propellers and the large-deformation wing were innovatively modeled. The aerodynamic effect of propeller slipstream was considered in the nonplanar steady and unsteady vortex lattice methods, and the follower loads of propellers were attached to the wing’s large-deformation structure. Additionally, verification was performed against those in the published literature, and it demonstrated that the proposed models showed good agreement with other low-fidelity models and could capture the aeroelastic interactions of the propeller–wing system.
From the static aeroelastic cases investigated, propellers were found to influence the equilibrium shape and aerodynamic distribution of the large-deformation wing. It was observed that thrust could reduce the structural deformation and aerodynamic lift, while slipstream caused considerable lift increment. Under the same total thrust, the smaller size and the larger the number of distributed propellers caused more lift increment, while the wing’s large deformation weakened the propeller effects. Additionally, decreasing propeller speeds toward the wingtip instead of uniformly distributing them was more effective in improving wing aerodynamic efficiency during cruise.
From the dynamic aeroelastic cases investigated, results showed that thrust could reduce the maximum structural response displacements and slipstream could decrease the bending response amplitude. Additionally, increasing propeller speed linearly toward the wingtip will further decrease the vertical displacement and increase the response amplitude, while decreasing propeller speeds linearly toward the wingtip has the opposite effect. The stability study showed an improvement of about 9.4% in the wing’s critical velocity with the influence of thrust and a decrease in the wing’s critical velocity caused by the slipstream.
The proposed propeller–wing interaction aerodynamic model is a low-fidelity model and only suitable for the rapid analysis of such aircraft in the initial design stage. The degree of accuracy of the quasi-steady assumption for propeller aerodynamics depends on the specific configuration examined. More accurate results can be pursued by applying higher-fidelity aerodynamic models, particularly those dealing with unsteady aerodynamic effects of propellers. It should also be noted that the effect of the propellers on wing aeroelastic response is unaffected by the wing’s motion, and no gyroscopic effects due to blade rotation are considered in this paper. Although all the numerical cases and conclusions summarized previously are related to a particular propeller–wing system, it demonstrates that distributed propellers play an important role in the analysis and design of the large-deformation wing. More aeroelastic benefits can be obtained by designing and optimizing the various modeling parameters: position, speed, number and size of distributed propellers; stiffness, flexibility and geometry of wing structure; etc. This is also the key point of our future research.

Author Contributions

Conceptualization, Z.Z. and X.W.; methodology, X.W.; software, X.W.; validation, X.W. and Z.W.; investigation, X.W. and Z.W.; writing—original draft preparation, X.W.; writing—review and editing, Z.Z. and Z.W.; project administration, Z.Z. All authors have read and agreed to the published version of the manuscript.

Funding

This research was funded by the Key Research and Development Program of Shaanxi (Grant No. 2023-YBGY-373) and the Natural Science Basic Research Program of Shaanxi (Grant No. 2023-JC-QN-0043).

Data Availability Statement

The original contributions presented in the study are included in the article, further inquiries can be directed to the corresponding author.

Conflicts of Interest

The authors declare no conflicts of interest.

References

  1. Xu, T.; Zhao, Y.; Deng, H.; Guo, S.; Li, D.; Lin, F. Integrated optimal control of distributed in-wheel motor drive electric vehicle in consideration of the stability and economy. Energy 2023, 282, 128990. [Google Scholar] [CrossRef]
  2. Vries, R.; Arnhem, N.; Sinnige, T.; Vos, R.; Veldhuis, L.L. Aerodynamic interaction between propellers of a distributed-propulsion system in forward flight. Aerosp. Sci. Technol. 2021, 118, 107009. [Google Scholar] [CrossRef]
  3. Kim, H.D. Distributed propulsion vehicles. In Proceedings of the 27th Congress of the International Council of the Aeronautical Sciences, Nice, France, 19–24 September 2010. [Google Scholar]
  4. Brelje, B.J.; Martins, J.R.R.A. Electric, hybrid, and turboelectric fixed-wing aircraft: A review of concepts, models, and design approache. Prog. Aerosp. Sci. 2019, 104, 1–19. [Google Scholar] [CrossRef]
  5. Borer, N.K.; Patterson, M.D.; Viken, J.K.; Moore, M.D.; Bevirt, J.; Stoll, A.M.; Gibson, A.R. Design and performance of the NASA SCEPTOR distributed electric propulsion flight demonstrator. In Proceedings of the 16th AIAA Aviation Technology, Integration, and Operations Conference, Washington, DC, USA, 13–17 June 2016. [Google Scholar]
  6. Leifsson, L.; Ko, A.; Mason, W.H.; Schetz, J.A.; Grossman, B.; Haftka, R.T. Multidisciplinary design optimization of blended-wing-body transport aircraft with distributed propulsion. Aerosp. Sci. Technol. 2013, 25, 16–28. [Google Scholar] [CrossRef]
  7. Wu, J.; Gao, F.; Li, S.; Yang, F. Conceptual design and optimization of distributed electric propulsion general aviation aircraft. Aerospace 2023, 10, 387. [Google Scholar] [CrossRef]
  8. Donohue, C.J.; Wright, P.T. Meteorological Support of the Helios World Record High Altitude Flight to 96863 Feet. In Proceedings of the 10th Conference on Aviation, Range, and Aerospace Meteorology, Portland, OR, USA, 13–16 May 2002. [Google Scholar]
  9. Noll, T.E.; Brown, J.M.; Perez-davis, M.E.; Ishmael, S.D.; Tiffany, G.C.; Gaier, M. Investigation of the Helios Prototype Aircraft Mishap Volume I Mishap Report; Technology Report; NASA Langley Research Center: Hampton, VA, USA, 2004.
  10. Gohardani, A.S.; Doulgeris, G.; Singh, R. Challenges of future aircraft propulsion: A review of distributed propulsion technology and its potential application for the all electric commercial aircraft. Prog. Aerosp. Sci. 2011, 47, 369–391. [Google Scholar] [CrossRef]
  11. Sahoo, S.; Zhao, X.; Kyprianidis, K. A Review of Concepts, Benefits, and Challenges for Future Electrical Propulsion-Based Aircraft. Aerospace 2020, 7, 44. [Google Scholar] [CrossRef]
  12. Hodges, D.H.; Patil, M.J.; Chae, S. Effect of Thrust on Bending-Torsion Flutter of Wings. J. Aircr. 2002, 39, 371–376. [Google Scholar] [CrossRef]
  13. Liu, C.; Agostinelli, C.; Allen, C.B.; Rampurawala, A.; Ferraro, G. Propeller-Flexible Wing Interaction using Rapid Computational Methods. In Proceedings of the 16th Proceedings International Forum on Aeroelasticity and Structural Dynamics, Bristol, UK, 24–26 June 2013. [Google Scholar]
  14. An, S. Aeroelastic Design of a Lightweight Distributed Electric Propulsion Aircraft with Flutter and Strength Requirements. Master’s Thesis, Georgia Institute of Technology, Atlanta, GA, USA, 2015. [Google Scholar]
  15. Teixeira, P.C.; Cesnik, C.E.S. Propeller effects on the response of high-altitude long-endurance aircraft. AIAA J. 2019, 57, 4328–4342. [Google Scholar] [CrossRef]
  16. Teixeira, P.C.; Cesnik, C.E.S. Propeller effects on the dynamic response of hale aircraft. In Proceedings of the 2018 AIAA/ASCE/AHS/ASC Structures, Structural Dynamics, and Materials Conference, Kissimmee, FL, USA, 8–12 January 2018. [Google Scholar]
  17. Teixeira, P.C.; Cesnik, C.E.S. Propeller influence on the aeroelastic stability of high altitude long endurance aircraft. Aeronaut. J. 2020, 124, 703–730. [Google Scholar] [CrossRef]
  18. Wang, K.; Zhou, Z.; Zhu, X.; Xu, X. Aerodynamic design of multi-propeller/wing integration at low Reynolds numbers. Aerosp. Sci. Technol. 2019, 84, 1–17. [Google Scholar] [CrossRef]
  19. Xue, C.; Zhou, Z. Inverse aerodynamic design for DEP propeller based on desired propeller slipstream. Aerosp. Sci. Technol. 2020, 102, 105820. [Google Scholar] [CrossRef]
  20. Chen, X.; Zhou, Z.; Hongbo, W. Investigation on Approach to Control Lift Distribution of Wing by Distributed Propellers. In Proceedings of the 31st Congress of the International Council of the Aeronautical Sciences, Belo Horizonte, Brazil, 9–14 September 2018. [Google Scholar]
  21. Xue, C.; Zhou, Z. Propeller-wing coupled aerodynamic design based on desired propeller slipstream. Aerosp. Sci. Technol. 2020, 97, 105556. [Google Scholar] [CrossRef]
  22. Rakshith, B.R.; Deshpande, S.M.; Narasimha, R.; Praveen, C. Optimal Low-Drag Wing Planforms for Tractor-Configuration Propeller-Driven Aircraft. J. Aircr. 2015, 52, 1791–1801. [Google Scholar] [CrossRef]
  23. Stoll, A.M.; Bevirt, J.B.; Moore, M.D.; Fredericks, W.J.; Borer, N.K. Drag reduction through distributed electric propulsion. In Proceedings of the 14th AIAA Aviation Technology, Integration, and Operations Conference, Atlanta, GA, USA, 16–20 June 2014. [Google Scholar]
  24. Nguyen, N.T.; Reynolds, K.; Ting, E.; Nguyen, N. Distributed propulsion aircraft with aeroelastic wing shaping control for improved aerodynamic efficiency. J. Aircr. 2018, 55, 1122–1140. [Google Scholar] [CrossRef]
  25. Wang, X.; Zhou, W.; Mu, R.; Wu, Z. A new deformation control approach for flexible wings using moving masses. Aerosp. Sci. Technol. 2020, 106, 106118. [Google Scholar] [CrossRef]
  26. Morgado, J.; Vizinho, R.; Silvestre, M.A.R.; Páscoa, J.C. XFOIL vs CFD performance predictions for high lift low Reynolds number airfoils. Aerosp. Sci. Technol. 2016, 52, 207–214. [Google Scholar] [CrossRef]
  27. Spera, D.A. Models of Lift and Drag Coefficients of Stalled and Unstalled Airfoils in Wind Turbines and Wind Tunnels; Contractor Report (CR); Glenn Research Center: Cleveland, OH, USA, 2008.
  28. Cao, S.; Huo, M.; Qi, N.; Zhao, C.; Zhu, D.; Sun, L. Extended continuum model for dynamic analysis of beam-like truss structures with geometrical nonlinearity. Aerosp. Sci. Technol. 2020, 103, 105927. [Google Scholar] [CrossRef]
  29. Crisfield, M.A.; Galvanetto, U.; Jelenic, G. Dynamics of 3D Co-Rotational Beams. Comput. Mech. 1997, 20, 507–519. [Google Scholar] [CrossRef]
  30. Cho, H. Efficient Semi-Implicit Coupling Fluid-Structure Interaction Analysis via Model-Order Reduction of Dynamic Grids. Aerosp. Sci. Technol. 2022, 121, 107356. [Google Scholar] [CrossRef]
  31. Vanzulli, M.C.; Zerpa, J.M.P. A co-rotational formulation for quasi-steady aerodynamic nonlinear analysis of frame structures. Heliyon 2023, 9, 19990. [Google Scholar] [CrossRef] [PubMed]
  32. Zhang, C.; Zhou, Z.; Zhu, X.; Qiao, L. A comprehensive framework for coupled nonlinear aeroelasticity and flight dynamics of highly flexible aircrafts. Appl. Sci. 2020, 10, 949. [Google Scholar] [CrossRef]
  33. Wang, W.; Zhu, X.; Zhou, Z.; Duan, J. A method for nonlinear aeroelasticity trim and stability analysis of very flexible aircraft based on co-rotational theory. J. Fluid. Struct. 2016, 62, 209–229. [Google Scholar] [CrossRef]
  34. Otsuka, K.; Carre, A.D.; Palacios, R. Nonlinear Aeroelastic Analysis of High-Aspect-Ratio Wings with a Low-Order Propeller Model. J. Aircr. 2022, 59, 293–306. [Google Scholar] [CrossRef]
  35. Otsuka, K.; Carre, A.D.; Palacios, R. Nonlinear static and dynamic analysis framework for very flexible multibody aircraft with propellers. In Proceedings of the AIAA Scitech 2021 Forum, Online Event, 11–15 and 19–21 January 2021. [Google Scholar]
  36. Veldhuis, L.L. Propeller Wing Aerodynamic Interference. Ph.D. Thesis, Technische Universiteit Delft, Delft, The Netherlands, 2005. [Google Scholar]
  37. Branlard, E.; Gaunaa, M. Cylindrical vortex wake model: Skewed cylinder, application to yawed or tilted rotors. Wind Energy 2016, 19, 345–358. [Google Scholar] [CrossRef]
  38. Loureiro, E.V.; Oliveira, N.L.; Hallak, P.H.; de Souza Bastos, F.; Rocha, L.M.; Delmonte, R.G.P.; de Castro Lemonge, A.C. Evaluation of low fidelity and CFD methods for the aerodynamic performance of a small propeller. Aerosp. Sci. Technol. 2021, 108, 106402. [Google Scholar] [CrossRef]
  39. Sugar-Gabor, O. A general numerical unsteady non-linear lifting line model for engineering aerodynamics studies. Aeronaut. J. 2018, 122, 1199–1228. [Google Scholar] [CrossRef]
  40. Gennaretti, M.; Giansante, R. Kutta–Joukowski theorem for unsteady linear aerodynamics. AIAA J. 2022, 60, 5779–5790. [Google Scholar] [CrossRef]
  41. Xie, C.; Yang, C. Surface splines generalization and large deflection interpolation. J. Aircr. 2015, 44, 1024–1026. [Google Scholar]
  42. Brandt, J.B. Small-Scale Propeller Performance at Low Speeds. Master’s Thesis, University of Illinois, Champaign, IL, USA, 2005. [Google Scholar]
  43. Khan, W.; Nahon, M. Development and Validation of a Propeller Slipstream Model for Unmanned Aerial Vehicles. J. Aircr. 2015, 52, 1985–1994. [Google Scholar] [CrossRef]
Figure 1. Propeller skewed vortex cylinder.
Figure 1. Propeller skewed vortex cylinder.
Aerospace 11 00971 g001
Figure 2. Lifting surface of the large-deformation wing under propeller slipstream.
Figure 2. Lifting surface of the large-deformation wing under propeller slipstream.
Aerospace 11 00971 g002
Figure 3. Aerodynamic local system.
Figure 3. Aerodynamic local system.
Aerospace 11 00971 g003
Figure 4. Representation of the propeller cylindrical coordinate system.
Figure 4. Representation of the propeller cylindrical coordinate system.
Aerospace 11 00971 g004
Figure 5. Enhanced aeroelastic analysis framework of the large-deformation wing with propellers.
Figure 5. Enhanced aeroelastic analysis framework of the large-deformation wing with propellers.
Aerospace 11 00971 g005
Figure 6. Chord and twist distributions of APC 11 × 5.5 E.
Figure 6. Chord and twist distributions of APC 11 × 5.5 E.
Aerospace 11 00971 g006
Figure 7. Profiles of propeller-induced velocities [15]: (a) axial components; (b) tangential components.
Figure 7. Profiles of propeller-induced velocities [15]: (a) axial components; (b) tangential components.
Aerospace 11 00971 g007
Figure 8. Thrust characteristics of APC 11 × 5.5E [42].
Figure 8. Thrust characteristics of APC 11 × 5.5E [42].
Aerospace 11 00971 g008
Figure 9. Top view of the verified propeller–wing system.
Figure 9. Top view of the verified propeller–wing system.
Aerospace 11 00971 g009
Figure 10. Verification of the propeller–wing system [34]: (a) static aeroelastic displacements; (b) dynamic aeroelastic response.
Figure 10. Verification of the propeller–wing system [34]: (a) static aeroelastic displacements; (b) dynamic aeroelastic response.
Aerospace 11 00971 g010
Figure 11. Top view of the propeller–wing system in the aeroelastic analysis.
Figure 11. Top view of the propeller–wing system in the aeroelastic analysis.
Aerospace 11 00971 g011
Figure 12. Aeroelastic displacement distributions: (a) vertical displacements; (b) torsion.
Figure 12. Aeroelastic displacement distributions: (a) vertical displacements; (b) torsion.
Aerospace 11 00971 g012
Figure 13. Propeller–wing configurations with different propeller numbers and radii.
Figure 13. Propeller–wing configurations with different propeller numbers and radii.
Aerospace 11 00971 g013
Figure 14. Propeller-induced aerodynamic force of configurations with different propeller effects: (a) lift increment; (b) pitching moment increment.
Figure 14. Propeller-induced aerodynamic force of configurations with different propeller effects: (a) lift increment; (b) pitching moment increment.
Aerospace 11 00971 g014
Figure 15. Aerodynamic increments of different configurations with respect to the clean wing configuration: (a) lift increment; (b) pitching moment increment. (with only slipstream considered).
Figure 15. Aerodynamic increments of different configurations with respect to the clean wing configuration: (a) lift increment; (b) pitching moment increment. (with only slipstream considered).
Aerospace 11 00971 g015
Figure 16. Three different distributions of propeller speeds under different total thrusts (half model).
Figure 16. Three different distributions of propeller speeds under different total thrusts (half model).
Aerospace 11 00971 g016
Figure 17. Aerodynamic increments with regard to the clean wing of cases with different propeller speed distributions: (a) lift increment; (b) pitching moment increment.
Figure 17. Aerodynamic increments with regard to the clean wing of cases with different propeller speed distributions: (a) lift increment; (b) pitching moment increment.
Aerospace 11 00971 g017
Figure 18. Wingtip torsional displacements of different configurations with different propeller speed distributions.
Figure 18. Wingtip torsional displacements of different configurations with different propeller speed distributions.
Aerospace 11 00971 g018
Figure 19. Velocity profile of 1-cos gust.
Figure 19. Velocity profile of 1-cos gust.
Aerospace 11 00971 g019
Figure 20. Gust responses of wingtip vertical displacements under different propeller effects.
Figure 20. Gust responses of wingtip vertical displacements under different propeller effects.
Aerospace 11 00971 g020
Figure 21. Response characteristics of wingtip vertical displacements with different propeller effects: (a) maximum values; (b) maximum amplitudes.
Figure 21. Response characteristics of wingtip vertical displacements with different propeller effects: (a) maximum values; (b) maximum amplitudes.
Aerospace 11 00971 g021
Figure 22. Gust responses of the wingtip vertical displacements of the wing with propeller speed distributed equally at different gust frequencies: fg = 0.5 Hz, 1.0 Hz and 1.5 Hz.
Figure 22. Gust responses of the wingtip vertical displacements of the wing with propeller speed distributed equally at different gust frequencies: fg = 0.5 Hz, 1.0 Hz and 1.5 Hz.
Aerospace 11 00971 g022
Figure 23. Gust responses of the wingtip vertical displacements of the wing with different propeller speed distributions: fg = 1.5 Hz.
Figure 23. Gust responses of the wingtip vertical displacements of the wing with different propeller speed distributions: fg = 1.5 Hz.
Aerospace 11 00971 g023
Figure 24. Response characteristics of wingtip vertical displacements with different propeller speed distributions: (a) maximum values; (b) maximum amplitudes.
Figure 24. Response characteristics of wingtip vertical displacements with different propeller speed distributions: (a) maximum values; (b) maximum amplitudes.
Aerospace 11 00971 g024
Figure 25. Time history of wingtip vertical displacements with different propeller effects: = 30.7 m/s.
Figure 25. Time history of wingtip vertical displacements with different propeller effects: = 30.7 m/s.
Aerospace 11 00971 g025
Figure 26. Time history of wingtip vertical displacements with different propeller effects: = 33.6 m/s.
Figure 26. Time history of wingtip vertical displacements with different propeller effects: = 33.6 m/s.
Aerospace 11 00971 g026
Table 1. Parameters of APC 11 × 5.5E.
Table 1. Parameters of APC 11 × 5.5E.
ParametersValue
Blade airfoilNACA 4412
Blade number2
Blade radius0.14 m
Propeller speed6000 rpm
Freestream velocity14 m/s
Air density1.225 kg/m3
Table 2. Parameters of the verified propeller–wing system.
Table 2. Parameters of the verified propeller–wing system.
ParametersValue
Chord and twist distribution of the propellerAPC 11 × 5.5E
Blade radius0.7 m
Propeller speed2143 rpm
Wing airfoilNACA 0012
Elastic axis position50% of the chord
Gravity axis position50% of the chord
Chordwise bending stiffness4 × 106 N·m2
Spanwise bending stiffness2 × 104 N·m2
Torsion stiffness1 × 104 N·m2
Linear density0.75 kg/m
Moment of inertia0.1 kg·m
Freestream velocity25 m/s
Angle of attack4 degrees
Air density0.0889 kg/m3
Table 3. Parameters for calculation conditions.
Table 3. Parameters for calculation conditions.
ParametersValue
Freestream velocity25 m/s
Air density0.0889 kg/m3
Angle of attack4 degrees
Table 4. Propeller speeds of different configurations under different total thrusts.
Table 4. Propeller speeds of different configurations under different total thrusts.
Total Thrust20 N40 N60 N80 N
Configuration A6033 rpm6997 rpm7812 rpm8560 rpm
Configuration B2751 rpm3054 rpm3320 rpm3570 rpm
Configuration C1303 rpm1402 rpm1491 rpm1577 rpm
Disclaimer/Publisher’s Note: The statements, opinions and data contained in all publications are solely those of the individual author(s) and contributor(s) and not of MDPI and/or the editor(s). MDPI and/or the editor(s) disclaim responsibility for any injury to people or property resulting from any ideas, methods, instructions or products referred to in the content.

Share and Cite

MDPI and ACS Style

Wu, X.; Zhou, Z.; Wang, Z. Effects of Propeller Distribution on the Aeroelastic Characteristics of Large-Deformation Wings. Aerospace 2024, 11, 971. https://doi.org/10.3390/aerospace11120971

AMA Style

Wu X, Zhou Z, Wang Z. Effects of Propeller Distribution on the Aeroelastic Characteristics of Large-Deformation Wings. Aerospace. 2024; 11(12):971. https://doi.org/10.3390/aerospace11120971

Chicago/Turabian Style

Wu, Xuan, Zhou Zhou, and Zhengping Wang. 2024. "Effects of Propeller Distribution on the Aeroelastic Characteristics of Large-Deformation Wings" Aerospace 11, no. 12: 971. https://doi.org/10.3390/aerospace11120971

APA Style

Wu, X., Zhou, Z., & Wang, Z. (2024). Effects of Propeller Distribution on the Aeroelastic Characteristics of Large-Deformation Wings. Aerospace, 11(12), 971. https://doi.org/10.3390/aerospace11120971

Note that from the first issue of 2016, this journal uses article numbers instead of page numbers. See further details here.

Article Metrics

Back to TopTop