Next Article in Journal
An Optimization Method for Manned/Unmanned Aerial Vehicle Collaborative Operation System Architecture Based on PGQNSGA-II
Previous Article in Journal
Characterization of an Ignition System for Nitromethane-Based Monopropellants
 
 
Correction published on 5 September 2025, see Aerospace 2025, 12(9), 801.
Font Type:
Arial Georgia Verdana
Font Size:
Aa Aa Aa
Line Spacing:
Column Width:
Background:
Article

Unified Assessment of Open and Ducted Propulsors

by
Rainer Schnell
* and
Maximilian Mennicken
German Aerospace Center DLR, Institute of Propulsion Technology, Linder Hoehe, 51147 Cologne, Germany
*
Author to whom correspondence should be addressed.
Aerospace 2024, 11(12), 1002; https://doi.org/10.3390/aerospace11121002
Submission received: 29 October 2024 / Revised: 29 November 2024 / Accepted: 2 December 2024 / Published: 3 December 2024 / Corrected: 5 September 2025
(This article belongs to the Section Aeronautics)

Abstract

This paper reconciles the assessment of fan and propeller performance by deriving common metrics that describe their design and operational characteristics and applies them to real-world design examples. Historically, various applications with large differences in flight Mach number and thrust requirements have led to different design methodologies and performance descriptors for ducted and unducted propulsors, making direct comparisons between these propulsion concepts challenging until today. One of the limitations of conventional propeller design methods is the difficulty in isolating the aerodynamic performance of blade sections from the overall design concept. The overall efficiency is largely impacted by top-level design parameters, while the aerodynamic quality is determined by the shaping and spanwise stacking of blade profiles. In contrast, turbomachinery design focuses primarily on the efficiency of the compression process and their respective efficiency metrics. This paper addresses these issues by systematically breaking down propeller efficiency into contributions commonly used in turbomachinery design. By applying consistent methodologies, we thereby enable a fair and quantitative comparison of the potential performance benefit of each concept. Furthermore, using common performance metrics simplifies the design process, making it more accessible to less experienced designers and facilitating the exploration of alternative design approaches for unducted propulsors.

1. Introduction

Both open and ducted propulsor are viable alternatives for propelling current and future civil aircraft, with each concept having its own individual drawbacks and advantages depending on the mission profile targeted. Although the decision about a propulsion concept is taken at a system level, taking into consideration weight, drag, module complexity and costs, the efficiency level and off-design performance is a strong driver in choosing one propulsion concept over another; this however depends on the mission profile and, in particular, the flight Mach number at cruise or design conditions. At flight Mach numbers in the high subsonic regime, the efficiencies of ducted and open propulsors are close, and the accurate demarcation of high-speed propellers, open fans and ducted propulsors is not so obvious anymore; it is also associated with a great deal of uncertainty as indicated in Figure 1 by the colored bands. This uncertainty is further enhanced by the different nature of the performance metrics used for open and ducted propulsors, and often it is not even clear what exact metric or control volume was used when results are compared.
In the scope of this paper, we will review metrics commonly used for both, open and ducted, configurations and derive new metrics that allow for a direct and fair comparison of component performance; since propellers are traditionally considered as rotating wings using their own non-dimensional parameters, this is not straight forward and using the same efficiencies in a stringent way seems mandatory. This difference already starts with the very basic representation of velocity triangles as shown in Figure 2. Both plots describe the same kinematics in a very different way, complicating any direct comparison or cross reading of results and metrics. It is not the intention of this paper to review or even question propeller fundamentals; they have been successfully developed for many decades, and their design methods underwent a continuous development from the first theoretical analysis reported by Goldstein [1], refined by Theodorsen [2] and comprehensibly described and extended by Wald [3]. A practical and easy-to-code summary of the main equations governing propeller performance based on blade momentum theory is also given by Giannakakis et al. [4], where a map scaling procedure is presented based on the given ideal efficiencies and viscous blade losses. In this paper, traditional propeller performance metrics such as power and thrust coefficient cp and ct as well as advance ratio J are used. The blade profile aerodynamics are described in terms of activity factors and lift and drag coefficients. One drawback of this classical approach is that focusing on the overall efficiency, as all analysis is targeting because it relates the work input to the usable propulsive power, does not allow for assessing the blade row performance and hence the aerodynamic quality of the profile sections separately from the overall design concept; the latter of which is defined by top-level design parameters, cp and J, and the former by the shaping and stacking of the individual profiles along the span.
Fan and compressor designs on the other hand have been focusing on flow turning and profile losses rather than lift and drag, obviously with the same underlaying principles; yet it is difficult to relate due to inherently different control volumes and respective measurement principles. The most basic equation in this context is the Euler work equation, relating the total enthalpy rise to the change in swirl over a blade row times the circumferential velocity (see, e.g., [5] for an overview of compressor fundamentals); this is equivalent to the change in momentum as used in classical blade element momentum theory (BEMT) methods. The main non-dimensional metrics characterizing a fan or compressor blade row or stage are the enthalpy rise or work coefficient ψ and the flow coefficient φ, both reflecting simple flow kinematics and having a clear visual representation in the velocity diagrams, which make them easy to grasp and apply. All aforementioned principles and metrics are still in use to drive and explain major design decisions during conceptual phase, e.g., [6] or [7].
Figure 1. Efficiencies for different open and ducted propulsion concepts (reproduced from [8]).
Figure 1. Efficiencies for different open and ducted propulsion concepts (reproduced from [8]).
Aerospace 11 01002 g001
Figure 2. Common velocity triangle representation for propellers (from Goldstein [1], (left)) and in a fan or compressor context (right).
Figure 2. Common velocity triangle representation for propellers (from Goldstein [1], (left)) and in a fan or compressor context (right).
Aerospace 11 01002 g002
In summary, the present paper aims to answer the following questions:
  • How can open and ducted propulsors be characterized and compared in a coherent way;
  • What are the relevant performance metrics; how can they be related and, if existing, what are their theoretical limits;
  • What are the sensitivities and absolute values of those metrics for real-world applications and by discussing those, provide orientation for upcoming designs.
It will become apparent that this paper is written from a component designer’s perspective and as such it aims at giving orientation by discussing non-dimensional design parameters which can be used as simple design correlations at a conceptual level, quantifying performance levels and highlighting theoretical limitations.
The paper is organized into the following three main parts: In the first part, we will review common and derive new metrics to be applied in both an open and ducted propulsor context. We will start with work, power and flow coefficients and their respective counterparts. Then, we will break down the overall efficiency, as a metric used in almost all propeller analysis, into propulsive and transfer efficiency in order to make it relatable to typical fan and compressor applications. In the next chapter, different open and ducted test cases are introduced with a focus on one specific propeller design and a subsequent Mach-number stratified design study, taking advantage of a global 3D-RANS-based optimization approach. The final chapter analyses the results, starting with the operational and non-dimensional top-level design parameters, relating power coefficient cp and advance ratio with work coefficient ψ and flow coefficient ϕ, followed by a discussion on the efficiency breakdown. This was carried out for the given examples as well as for the propeller and contra-rotating open rotor (CROR) optimizations, which allows for reviewing Figure 1 in the concluding part of this paper.

2. Performance Metrics and Control Volumes

The power consumption for any given thrust requirements are the main metrics to evaluate any propulsion concept, independent of whether it is ducted or unducted. Of utmost importance in this context is a clearly defined bookkeeping and control volume definition, for which a power based approach, as introduced in [9] seems most adequate due to its universal applicability and stringency, in particular in the context of highly integrated propulsors. Here, we will use the control volumes as shown in Figure 3, covering an isolated propeller completely decoupled from the airframe with the flight velocity u , viscous dissipation generated inside the control volume ϕ , shaft power of the propulsor Ps and jet velocity u j e t , leaving the control volume and resulting in jet mechanical energy deposit rate ε ˙ . For the sake of brevity, we consider average and constant velocities entering and leaving the control volume. Note that applying adequate averaging techniques is a topic of its own and will not be discussed in this paper, although it might have an impact quantitatively (see, e.g., [10] or [11] for more details). Furthermore, in the scope of this paper, only the thrust generation efficiency of the bypass is considered, neglecting contributions from the core engine and leading to different metrics or more specific efficiency definitions when compared with classical engine cycle analysis.

2.1. Efficiency

As introduced in [9], the general equation of the streamwise forces is given by the following equation:
F x = p p + ρ u ( u + u ) d C S ρ u v n d C S .
Here u = u j e t u is the mean perturbation velocity relative to the values at control volume inlet. In the following considerations, pressure terms are neglected, assuming a placement of the control volume outside the influence of the potential field of the blading, or at least in a region where values thereof are much smaller than the kinetic energy of the jet. This leads to the following form of the streamwise force equation as also given in [9]:
( ) F x = ρ 2 ( u 2 x + u 2 θ u 2 ) j e t   k i n e t i c   e n e r g y ρ 2 u x u 2 e x c e s s   k i n e t i c   e n e r g y ρ 2 u θ 2 s w i r l   k i n e t i c   e n e r g y .
The equation uses identities explained in [9] and helps to break down the resulting force into contributions from the total jet mechanical energy flux ε ˙ , the excess kinetic energy, which is needed to generate thrust ϕ j e t , and the swirl ϕ s w i r l resulting from the angular momentum of the flow leaving the control volume. Since the last two terms do not contribute to generating thrust, they are treated as loss terms, although technically still constituting kinetic energy. Note that in the given equation and also in the following, any radial velocity components are also neglected, as are any contributions perpendicular to the control surface ρ u v n ; the remaining velocity components considered in Equation (2) are the axial ux and circumferential uθ ones.
Based on the streamwise force decomposition, the mechanical energy deposit rate of the jet ε ˙ can be expressed as follows:
ε ˙ = p p + ρ 2 ( u 2 x + u 2 θ u 2   )   u + u m e c h a n i c a l   e n e r g y   d e p o s i t i o n   r a t e > 0   d C V .
Balancing all power terms leads to the general expression
P s = ε ˙ +   ϕ ,
with Ps being the shaft power as introduced by the propulsor. The assumption in the following is that no other power sources or sinks are present within the control volume other than the propulsor itself. Considering only the streamwise components leads to the definition of the thrust power written as
P s , x = ( F x , F r , F θ ) · ( u , 0 , 0 ) = F x u + u .
Using the previous relations, Equation (4) defining the net shaft power can be written as
P s = P s , x t h r u s t     +   ϕ j e t + ϕ s w i r l e x c e s s   k i n e t i c   e n e r g y   = ε k i n e t i c   e n e r g y   ˙ + ϕ v i s c + ϕ s h o c k v i s c o u s   d i s s i p a t i o n .
Here, swirl and excess kinetic energy are considered losses since they do not contribute to thrust and in the end will be dissipated by mixing with the ambience. The total dissipation rate ϕ can then be defined as
ϕ = ϕ v i s c + ϕ s h o c k ϕ j e t ϕ s w i r l
which is <0 when no viscous dissipation is present. With the jet excess kinetic energy deposition rate written as
ϕ j e t = ρ u 2 ( u x u ) 2 >   0
and the swirl kinetic energy deposition rate written as
ϕ s w i r l = ρ u 2 u 2 θ > 0 .
These equations and the definition of Ps and ε ˙ with no viscous dissipation lead to jet excess loss ϕ j e t + ϕ s w i r l = −(thrust power Psx − jet power ε ˙   ) = (jet − thrust) > 0 comprising swirl losses and jet dissipation from excess kinetic energy not translating into thrust. Note that in the original formulation given in [9], the terms ϕ s w i r l and ϕ j e t are treated as part of the total kinetic energy ε ˙ = E ˙ a + E ˙ v with E ˙ v being the transverse kinetic energy deposition rate and E ˙ a being the streamwise one also including the jet excess kinetic energy deposition; this is equivalent to the given formulation though.
To determine the efficiency metrics for propulsive and transfer efficiency, we can further develop the given relations and define the overall efficiency η o v as
η o v = t h r u s t   p o w e r   P s , x s h a f t   p o w e r = j e t   p o w e r   ε ˙   s h a f t   p o w e r + l o s s   p o w e r   ϕ   s h a f t   p o w e r = η t r a n s + ε * = η t r a n s η p r o p .
Dividing Equation (6) by the net shaft power introduced by the propulsor leads to
j e t   p o w e r   ε ˙ + l o s s e s   ϕ   ˙ t h r u s t   s h a f t   p o w e r = j e t   p o w e r   s h a f t   p o w e r   · t h r u s t   p o w e r   j e t   p o w e r =   η t r a n s η p r o p .
If the relation
ε * = ϕ v i s c + ϕ s h o c k   ϕ j e t ϕ s w i r l s h a f t   p o w e r .  
is introduced (which is < 0   f o r   ϕ v i s c = 0 ), the propulsive efficiency can then be written as
η p r o p = 1 + ε * η t r a n s = 1 + l o s s e s   s h a f t   p o w e r ϵ *   ·   s h a f t   p o w e r j e t   p o w e r 1 / η t r a n s = j e t + l o s s e s   t h r u s t   j e t   p o w e r
which also follows directly from Equation (6) and expresses the relation jet + loss = thrust. Note that, by definition, losses < 0 in the absence of viscous dissipation ϕ v i s c .
It is important to highlight again that because the total power is conserved, the overall efficiency as defined by Equation (6) is constant and independent from the placement of the control volume. Typically, in a propeller context, it is quantified based on the integration of the blade forces and moments and expressed by the power and thrust coefficient, together with the advance ratio:
η o v = J   c t c p = η p r o p   ·   η t r a n s = c o n s t .
The propulsive and transfer efficiencies, however, depend on the placement of the control volume. Shifting the outflow plane further downstream increases the viscous dissipation inside the control volume, hence decreases transfer efficiency and, because of the reduced total pressure and outflow velocities in the jet, increases the propulsive efficiency. Only when axial outflow is assumed and no swirl component is accounted for in the jet kinetic energy, the equation of the propulsive efficiency in its most simple form as can be found in most textbooks is valid:
η p r o p = t h r u s t   p o w e r j e t   p o w e r = 2 1 + u j e t / u   .
Transfer efficiency reflects the conversion of shaft power into kinetic energy and accounts for viscous losses in the blade boundary layers, shock and mixing losses and other forms of viscous dissipation within the control volume. It is directly related to the isentropic efficiency
η i s = h 02 s 01 h 02 01 = π t γ 1 γ 1 τ 1
as a quantity that is often used to characterize the quality of a blade row or turbomachinery; if the pressure ratio increases one might replace isentropic by polytropic efficiency. The relation between isentropic and transfer efficiency can be expressed as follows:
η t r a n s = u j e t 2 u 2 2   · c p , a i r · T 0 · ( π t γ 1 γ 1 )   · η i s
Note that ambient conditions and flight Mach number are necessary, together with the FPR, to relate the inflow velocity with the resulting nozzle pressure ratio and respective kinetic energy using simple gas dynamic relations.

2.2. Power-, Work- and Flow-Coefficient

Apart from the efficiencies as a main design target and performance metric, there are several performance-related, non-dimensional quantitates to characterize a blade row or propulsor at a top level. In this context, the commonly used flow coefficient φ f l o w can be directly related to advance ratio J as follows:
φ f l o w = u x , m e a n u t i p = J / ( π     ( 1 + ν 2 ) / 2 )
where in a turbomachinery context, the average axial velocity u x , m e a n is defined as the fan face or blade row inlet. The flow coefficient and the effective advance ratio are directly (linearly) correlated and hence reflect identical (design) trends and respective sensitivities. Another commonly used parameter in a turbomachinery context is the enthalpy rise coefficient (see, e.g., [5])
ψ = Δ h t u m e a n 2 = 2 c p T 0   ( π t γ 1 γ 1 ) η i s 1 + ν 2 u t i p 2   c u , 2 , m e a n u m e a n
relating the mean flow turning to the circumferential velocity (note that in the given equation an adiabatic process with zero inlet swirl is assumed). This simple yet very helpful parameter, with a direct visual representation in the velocity triangles, is documented in almost every textbook about turbomachinery fundamentals. It can be used directly during conceptual design to easily estimate the tip speed for a given target pressure ratio [12]. Note that this parameter is not only used in diffusing turbomachinery but also in turbines. Most non-dimensional maps, even for compressible flow and transonic fans, are given in a ψ -   φ   representation, in addition to typical flow-capacity-FPR dependencies used in any cycle tool to describe a fan or compressor component. The specific mechanical work input a, relating the total shaft power P to the mass flow rate w, equals the change in specific enthalpy Δ h t assuming an adiabatic process and can be expressed as
a = P / w = Δ h t = c p , a i r T t = u 2 c u , 2 = 4   c p   ( n D ) 2 / ( J π )
The last term in Equation (20) can be derived when introducing the definitions of power coefficient cp and the effective advance ratio J ,   which is used to calculate a mass flow rate equivalent quantity in the propeller plane. The propeller correspondence to Ψ is the power coefficient cp, although it is actually a combination of both, the work coefficient Ψ and the effective advance ratio J′. Using effective values of velocity or induced velocities, respectively, the power coefficient can be expressed as a combination of Ψ and the advance ratio as follows:
c p = π 2 ρ A   v f l i g h t ( 1 + w )   c p , a i r T ( 1 + ν 2 ) / 2   u t i p D 2   = ψ J   π 3 / 8   ( 1 + ν 2 )   .
Since the power coefficient by definition uses blade tip speed (or rather nD) in the denominator and ψ commonly uses the area mean, the hub–tip–tip ratio ν needs to be introduced in Equation (21). Almost every propeller map is based on power coefficient and advance ratio (with the following third dimension: the pitch angle), which makes this parameter essential, yet not having the intuitive meaning and stringency as ψ. Before moving on with analyzing the different metrics in the next chapter, it is important to conclude that there is no limitation to applying one or the other definition in any particular context.

3. Test Cases

3.1. Overview

Three propulsor concepts will be focused upon as shown in Figure 4: one high speed propeller aiming for a medium-cruise Mach numbers of 0.62 (referred to as PROP in the following sections), one high-speed propeller (either contra-rotating open rotor (CROR) or single rotating, unducted/open fan (USF)) and one typical turbofan for future ultra-high bypass ratio (UHBR) applications. Different metrics to compare open and ducted propulsors will be discussed in the following chapter, putting them into perspective with theoretically achievable values. At this stage, the most common and conventional performance metrics as given in Table 1 are used to characterize the different designs.
As for the ducted cases, three designs for turbofan applications are considered in the present study with the respective performance parameters given in Table 1. All those designs, including their respective design strategy, are described in detail in the given references. The open or unducted configurations comprise one propeller at medium flight speed of Maflight = 0.62, one high speed propeller operating at a cruise speed of Mafligh = 0.8 and one example from past CROR design exercises reported in the literature. The top-level parameters of those designs are given in Table 1 using common metrics such as overall efficiency as defined in Equation (14), along with advance ratio and power coefficient, as well as design pressure ratio.

3.2. Propeller Design

Since the propeller design PROP-ADAPT has not been reported previously, its design shall be discussed in some more detail. The initial design M1.0 stems from a conventional blade element momentum theory (BEMT) approach with given profile lift and drag polars. Based on the initial BEMT results, the baseline NACA-like profiles were reproduced with a 3D blade parameterization described in [20]. In a subsequent step, a simple 3D-RANS-based optimization engaging a genetic optimization algorithm as given in [17] was then carried out in order to recover the targeted performance at frozen top-level parameters, such as RPM and diameter, whilst keeping the original geometric profile characteristics the same. The resulting initial design named M1.1 was unswept, with a constant chord distribution also stemming from the BEMT-based conceptual design. In a second optimization, the major profile parameters such as inlet and outlet metal and wedge angles and camber distribution were varied and optimized relative to the baseline profiles from the BEMT database, resulting in M1.2 with an increase in overall efficiency by +1.4% at iso-thrust. This moderate improvement was achieved mainly by adjusting incidence and flow turning at design conditions, which was the primary design target. The impact of introducing sweep was then investigated yielding another relative gain of approximately +0.5% in efficiency of design M1.3 relative to the pre-optimized baseline M1.2 as shown in Figure 5. The chord sensitivity was then investigated for design M1.3, showing an approximate sensitivity of +0.5% for 10% chord reduction (M1.3-1) and −1.3% for a 10% chord increase (M1.3-2); note that in the end, off-design will drive the minimum chord. Finally, the optimized performance characteristics were again compared with the initial design intention from the BEMT analysis in Figure 6. The reason for providing these details are mainly to highlight the potential in improving propeller performance via a detailed profile design optimization, in relation to the efficiency variations introduced by the choice of cp and J at top level, which will be further discussed in the next chapter.

3.3. Unducted Propulsor Global Optimization

Apart from one specific propeller design complying with a given specification as reported in the previous section, a generalized, 3D-RANS-based optimization was launched covering a wide range of flight Mach numbers. This was conducted for one propeller and one contra-rotating open rotor in order to reproduce and discuss the plot shown in the beginning of the paper (Figure 1). Different strategies were realized in this flight Mach-number stratified optimization as shown in Figure 7: one was to keep the thrust coefficient ct and advance ratio J constant, the other one was to vary the power coefficient cp proportional to ~(Maflight)2. The first strategy (Opt1) was applied to the propeller and CROR cases, the latter (Opt3) for the propeller case only. Both optimizations allowed for variable RPM and a great flexibility of all major profile parameters (blade metal and stagger angles for all five profiles along the span), as well as 3D stacking introducing arbitrary sweep and allowing for a highly optimized blade geometry for each flight Mach number. The only parameter fixed was the blade number, limiting the generality of the study towards very-low flight Mach numbers, where a lower number of blades would have been more favorable (see discussion in the next chapter). In all optimizations, an evolutionary generic algorithm with extensive surrogate model support was applied using DLR’s optimizer AutoOpti. The objective function was always to maximize overall efficiency from Equation (15), which was evaluated based on integrated blade forces and moments, with simple geometric constraints applied, ensuring a feasible geometry. The intention was purely to explore the overall efficiency potential at cruise conditions, which obviously will be compromised by considering off-design performance and structural aspects. The results of this optimization will be discussed in the next chapter.

4. Results and Discussion

4.1. Design and Operational Metrics

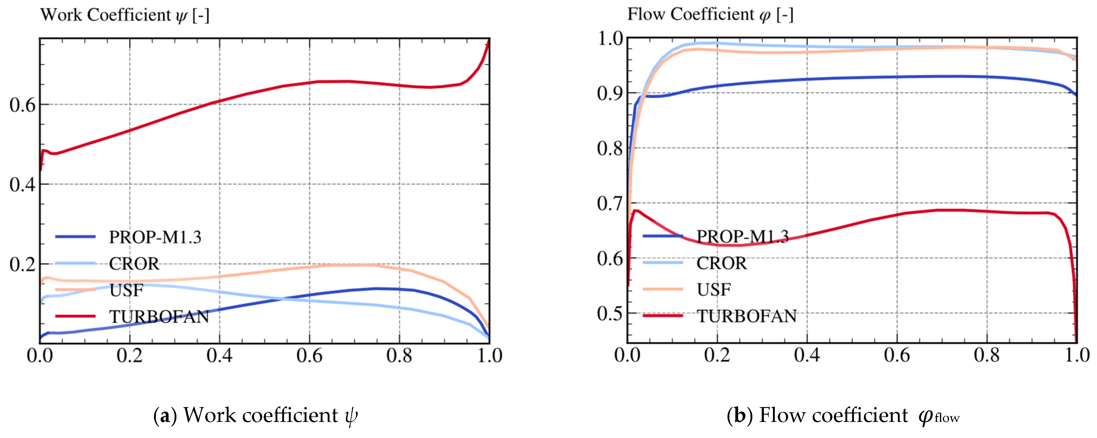
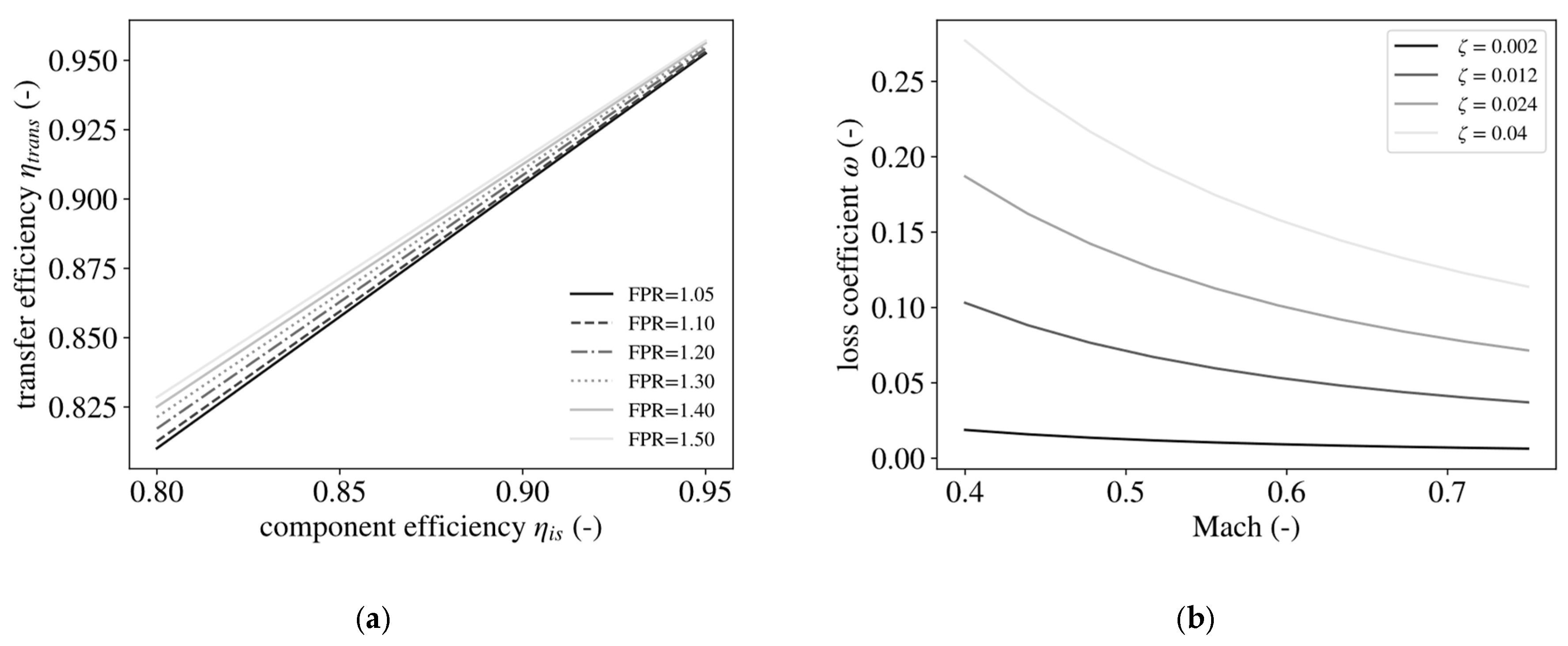
Now we will discuss the major non-dimensional and top-level design parameters based on the examples provided in Table 1 and the previously introduced metrics. Figure 8 shows the dependence of blade tip speed on FPR on the main axes according to [12] for a constant work coefficient of ψ = 0.45. Note that this is a common plot used in almost any turbomachinery context. The two examples from Table 1 are indicated by the circles, one at FPR = 1.3 and another one at FPR = 1.4. In addition to the classical utip/FPR representation, the effective advance ratio J′ as well as the power coefficient cp are plotted as well on secondary axes. The power coefficients for the given examples are between three and four and hence substantially higher than for open configurations, an obvious result since increased swirl losses are not present, and compactness dominates the design. For the calculation of the effective advance ratio J′, a typical and constant fan-face Mach number of 0.62 was assumed (see, e.g., [12]), hence this can directly translated to the commonly used flow coefficient φflow using Equation (18); for unducted configurations, one would calculate the advance ratio based on the actual flight velocity. A similar representation of the given open configurations is shown in the next Figure 9, translating the common propeller metrics cp to FPR (solid lines) and work coefficient ψ (dashed lines). Sensitivities are plotted for the three given open configurations from Table 1, with fixed values of advance ratio J and blade tip speed and a (generic) variation of cp. Note the very low resulting values of equivalent work coefficient ψ, reflecting a low change in average swirl or circumferential velocity in relation to the tip speed. On the other hand, when considering turbofan-like fan pressure ratios between 1.3 and 1.5, the respective power coefficients and work coefficient are again consistent with the plot shown in Figure 8. Finally, the given analytical trends shall be complemented with CFD results for all different configurations listed in Table 1. Therefore, spanwise distributions of flow and work coefficients are shown in Figure 10, confirming again the low values of work coefficient ψ for the open configuration in comparison with the turbofan. On the other hand, the resulting flow coefficient or similarly the advance ratio of the unducted cases are substantially higher by a factor of two due to the absence of intake diffusion and respective reduction in fan-face velocity or Mach number.

4.2. Efficiency and Loss Breakdown

According to Equations (10) and (11), the overall efficiency is the product of propulsive and transfer efficiency; hence, both terms shall be discussed in the following. Figure 11a shows the dependence of the (uninstalled) propulsive efficiency from Equation (15) in the absence of swirling flow for different FPR as it can also be found in most textbooks. Current turbofan engines yield a FPR between 1.4 and 1.6 and are operating in the marked region at flight Mach numbers around 0.8, resulting in propulsive efficiencies of around 80%, with the next generation of turbofans at decreased FPR of 1.32 having an improved uninstalled and ideal propulsive efficiency of up to 85% at a constant flight Mach number. Note the rather strong drop in propulsive efficiency towards lower flight Mach number which is driven by the larger difference between jet and flight velocity, generating higher excess kinetic energy not translated into thrust (at constant FPR). The second plot with dashed lines in Figure 11 shows again the propulsive efficiency according to Equation (15), only in this case dependent on the power coefficient cp and for different advance ratios and flight Mach numbers. Note that FPR can be expressed by cp (see Equation (21)) assuming constant ambient conditions at flight altitude (FL350) and a blade tip speed which can be estimated from Equation (19). Also, Figure 11b shows the ideal propeller efficiencies evaluated using the method from [4]. The efficiency difference between both dashed and solid lines at a given cp is the additional potential Δη that could be gained by recovering the swirl. In the context of any CROR or open fan design, two opposing trends need to be highlighted:
  • For high propeller efficiencies small values of power coefficients cp (=high tip speeds) are favorable;
  • Higher power coefficients increase the potential for swirl recovery, with decreasing levels of propulsive efficiency.
Obviously off-design considerations and viscous effects may shift the top-level design parameters for optimal efficiency, but the given ideal considerations can well be used with good accuracy at a conceptual design level.
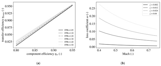
The other relevant efficiency, apart from propulsive efficiency, is the transfer efficiency as introduced in Equations (10) and (11). Transfer efficiency, in our case defined as the effectiveness of translating shaft power to jet kinetic energy, is driven by viscous forces in the blade boundary layers as well as shock losses and mixing processes within the control volume. It yields an almost linear dependence on isentropic efficiency over a rather wide range as shown in Figure 12a, with little sensitivity of the slope on FPR. Note that the total pressure loss coefficient ω is dependent on Mach number, and the relation between ω and the total pressure losses ς is also shown in Figure 12b. When comparing values of isentropic efficiency in relation to a respective loss-free reference, the fan pressure ratio and corresponding loss coefficients have a significant impact thereon as can be seen in Figure 13b. To explain those trends, Figure 13a shows two compression processes in the h–s diagram at given and constant pressure losses or entropy change Δ s , both starting from state 1 with a high pressure ratio (state 2,hpr) or a low fan pressure ratio (state 2,lpr), respectively. As discussed in [21], pressure losses and changes in entropy can be used synonymously according the following equation:
Δ s = R   l n   ( p 02 / p 01 ) R Δ p 0 / p 01 = R   ζ .
Isobars are diverging towards higher pressure levels, which can be seen by the different slopes h / s at state 2 for both pressure ratios lpr and hpr; they lead to the isentropic temperature at given pressure ratio and pressure losses   ζ . The isentropic efficiency according to Equation (16) is then determined by the relation between isentropic (h02s- h01) and real temperature (h02- h01) or enthalpy rise, respectively. The relative temperature or enthalpy difference is decreasing as FPR increases, which directly translates into increased isentropic efficiency levels at constant total pressure losses. A similar tendency can be observed when considering the work potential towards a given ambience, which due to the effect of viscous reheat, increases more, at higher pressure levels [22]. Comparing typical values of isentropic efficiency for both, ducted and unducted configurations, one can observe that typical isentropic efficiencies of a rotor are in the region of >95% for typical turbofan applications and close to 90% for the given high-speed propeller (see Figure 13b). Although open configurations tend to have significantly lower loss coefficients due to lower relative Mach numbers and fewer blades with smaller chord and hence wetted areas, this translates to rather low values of isentropic efficiency compared with turbofans due to the much greater sensitivity towards stagnation pressure losses at FPR between 1.02 and 1.10 for typical unducted configurations. Note again that the overall efficiency is a product of both, propulsive and transfer efficiency, and often it is not clear which efficiency is provided. Including transfer efficiency in the given overall efficiency levels for some given open configurations results in values as marked in Figure 11b. In the same way, it needs to be stressed that further decreasing the fan pressure ratio of turbofans to enhance propulsive efficiency leads to a much greater pressure loss sensitivity and potentially decreased transfer efficiency. One can use the following linearization
π t = F P R 1 ( 1 ζ 1 ) F P R 2 ( 1 ζ 2 )   F P R 1 F P R 2 [ 1 ( ζ 1 + ζ 2 ) ]
to estimate the effective pressure ratio by simply adding the stagnation pressure loss coefficients of the different blade rows (e.g., a downstream OGV or the bypass channel with struts and bifurcation) before multiplication with a given (ideal) FPR. Technically, polytropic efficiency aims at leveling out the impact of the diverging isobars and might be a more stringent measure of the aerodynamic quality of the blading. However, isentropic efficiency here is used due to its simplicity since it directly uses the real amount of energy of the compression process, so that efficiency is proportional to the power required by the fan or compressor; this might also be considered as a measure of the (aerodynamic) quality of the blade profiles.
The momentum conservation Equation (2) can now be used to relate the total pressure loss coefficient ω commonly used in turbomachinery with the profile section drag coefficient as used for propellers or wings. Note that here the reference area in the denominator is based on the blade pitch t, leading to the following definition of the section drag coefficient:
c d , x =   F x t   c t q
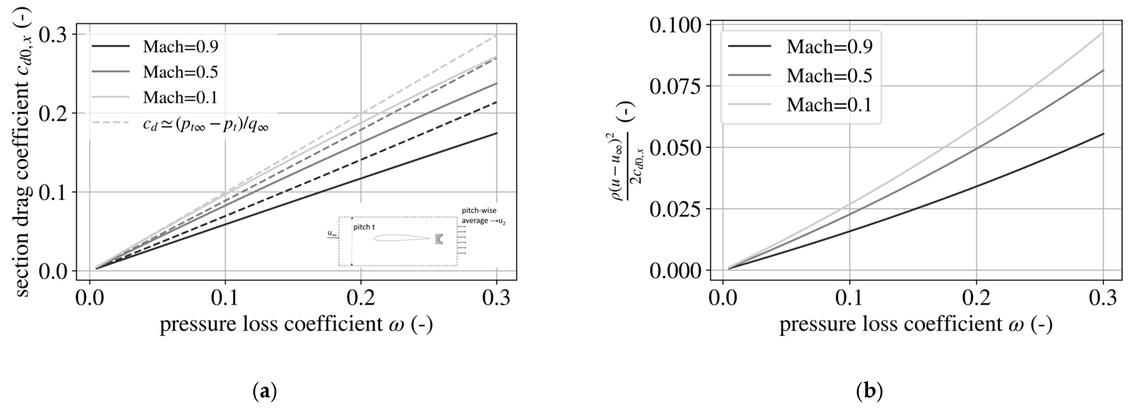
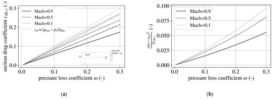
For an isolated profile, the definition is also valid and consistent with existing values when using chord only as the reference length. For a cascade with a finite pitch the pitch-to-chord ratio is needed to translate the non-dimensional value to the actual force. An example for an isolated, non-lifting and symmetric cascade is given in Figure 14a, relating the pitch-wise averaged loss coefficient to the section drag coefficient. Equation (2) has been used to compute the force on a control surface downstream the cascade, allowing for a decomposition of the momentum flux into its kinetic energy and excess velocity contribution. The cascade operates at a constant static pressure. The dependence between loss coefficient and profile section drag coefficient is quasi-linear yet yielding a strong dependence on the slope with inlet Mach number. Towards lower Mach numbers, a compressible assumption is valid only for low values of ω as indicated by dashed lines. This is due to the increasing and non-linear contribution of the excess kinetic energy, and the relative contribution of which in relation to the total momentum flux is shown in Figure 14b; the reason for higher levels of excess kinetic energy at lower Mach numbers is compressibility effects, translating the given momentum directly into velocity rather than density. One of the conclusions is that exactly translating a given loss coefficient, typically measured by pitot-probes downstream of the profile, into profile drag, is only possible within a very limited range of small Mach numbers and ω. Also, a measured total pressure loss coefficient depends on the location of the traversing plane and hence the downstream dissipation in the wake region, although it allows for a distinction between losses in the profile wake and shock losses in the passage. An exact determination of the profile forces based on total pressure loss measurements is only possible when the entire flow vector, including its thermodynamic state is measured, which is often not the case during classical wake traverses. It is, however, as opposed to the drag coefficient, a scalar quantity.
Lift coefficients in an open and wing-like scenario are typically given by loss polars yielding the dependence of the lift force over the angle-of-attack to the profile. For design purposes, performance prediction methods based on thin airfoil theory or linking lift and circulation have been applied with good accuracy even at higher Mach number with corresponding corrections for compressibility. Those methods however lose their validity for cascades with finite pitch-to-chord ratios, in particular at higher subsonic or transonic inflow and in the presence of diffusion with a rise in static pressure over the blade row. Respective turbomachinery profile characteristics to be used in a design context hence typically are formulated based on flow turning, deviation and streamtube contraction with a corresponding pressure rise. Apart from the necessity to know the outflow in order to design the downstream blade row, this also stems from experimentally deriving loss and turning characteristics aerodynamically rather than force measurements of the profile itself. Lift forces can be calculated as well based on pitch-wise or angular momentum conservation if the whole outflow is measured or characterized; an example for expressing the profile lift coefficient by varying outflow angles and static pressure ratios is given in Figure 15, yielding a quasi-linear dependence for moderate outflow angles below 20° and a strong dependence on static pressure rise.
Some of the aforementioned relations shall now be further substantiated and quantified by the examples introduced in the previous chapter. This will be conducted by means of spanwise distributions of circumferentially averaged quantities at a position close to the blade row leading and trailing edge. In Figure 16a the relative Mach number distribution is shown for the given configurations at design (typically cruise) conditions. In general, those levels are quite comparable, with the propeller staying subsonic over the entire span in order for the profiles to stay sub-critical as opposed to the ducted configuration which are slightly transonic. The corresponding fan pressure ratios are plotted in Figure 16b. The propeller configuration yields the maximum pressure ratio at around 80% span, with FPR levels decreasing quite strongly towards the hub because of the rather low hub-to-tip ratio. The resulting rotor isentropic efficiency is shown Figure 17a. The highest levels of around 95% on average are reached by the ducted configurations which are all designed for the highest FPR. The propeller shows a very strong decrease in efficiency towards the hub from about mid span, despite rather constant levels of blade profile losses as shown in the right plot of Figure 17b. This is driven by the aforementioned increased sensitivity of efficiency at lower fan pressure ratio as seen in Figure 13b, and it is further underlined by the much higher average values of the pressure loss coefficient for the ducted configurations (which is predominantly driven by larger blade numbers and wetted areas compared with typically ducted scenarios). Those low levels of pressure losses however do not translate into lower efficiencies, but the mere opposite. The open fan (USF) shows the lowest average values of isentropic efficiency almost over the entire span, resulting from the comparably large profile pressure losses due to high inflow Mach numbers, which are the highest of all configurations almost over the entire span. This trend is further emphasized by the design intent, which was to limit the overall size of the configuration, resulting in a relatively high tip speed which is needed according to Figure 12b to reduce cp and maximize propeller efficiency of the rotor. While the absolute levels for all configurations might vary slightly depending on the design philosophy and maturity of the design, the described trends are very typical and reflect the very nature of each configuration. Before discussing again the global efficiency trends from the beginning of the paper, Figure 18a shows the individual efficiency breakdown for the previously discussed configurations at design conditions, together with the resulting operational metrics and non-dimensional design-specific parameters as summarized in Figure 18b. Note that the efficiency levels may depend on the specific design task and requirements; it is however believed that they reflect realistically achievable and typical values of each concept with sufficient levels of design maturity.
To finally put results into perspective with Figure 1 and hence with the main objective of this paper, Figure 19a shows the overall efficiency trends obtained from the generalized 3D-RANS-based propeller and CROR optimizations for different flight Mach numbers. The starting point for the two optimizations was the previously introduced propeller design optimized for a flight Mach number of 0.62 and the CROR configuration at flight Mach number of 0.73, respectively. Both designs were consolidated with experimental data, hence their levels of efficiency have little uncertainty and lie well within the uncertainty range based on the literature. Both, propeller and CROR optimization show the expected drop in efficiency towards higher flight Mach numbers, with the overall levels of the CROR design being some 5% higher because of the swirl recovery, despite the viscous losses of the additional blade row. This advantage is present over the entire range of Mach numbers. Note that as mentioned before, towards lower Mach numbers, efficiencies flatten out because of the aforementioned limitations of the optimizations. In Figure 19b, the overall efficiency is broken down into contributions from transfer and propulsive efficiency. This is performed by example of the propeller optimization study, with the main conclusion being valid for the CROR setup in a similar (qualitative) manner. The ideal propeller efficiency, as shown by yellow dashed lines and as also discussed in Figure 11b, is calculated based on optimized cp and J for each Mach number. This efficiency is almost constant, with smaller deviations at Ma = 0.75 resulting presumably from a not optimally converged optimization. The resulting transfer efficiency as indicated by the dashed blue line shows, as expected, the strong drop towards higher flight Mach numbers which is due to increased shock and viscous losses; this dominates (and limits) the achievable efficiency levels. Towards lower Mach numbers, the transfer efficiency continuously rises because of the reduced Mach number levels and viscous losses, respectively. Apart from the (ideal) propeller efficiency, the propulsive efficiency is also plotted, calculated from the given cp and J and with no swirl. The results are in line with the theoretically achievable values as discussed in Figure 11 and show almost constant values over the entire considered Mach range. As an orientation, the propulsive efficiency for a constant pressure ratio of 1.035 (which corresponds roughly to the average FPR) is also plotted by the solid line. This only slightly decreases towards lower Mach numbers in the given range as discussed in Figure 11a, with the average level already being close to the theoretically achievable limit. This suggests that the biggest potential for improvement towards lower flight Mach is by further increasing transfer efficiency, e.g., by reducing blade numbers or chord. These observations are of enormous importance for any designer in order to identify the main leverage for further improving her or his design, and only the suggested efficiency breakdown enables this.
Apart from the unducted configurations, an average level of overall efficiency as product of transfer (or given isentropic) efficiency and propulsive efficiency based on given FPR is also provided (see Table 1). Note that this does not include intake and duct losses, which would further decrease the effective overall efficiency. However, all configurations now reflect a similar bookkeeping strategy and metric definition and hence are directly relatable.

5. Conclusions

In the present study, unified metrics to assess unducted propellers and open fans as well as ducted propulsors were introduced and discussed. This analysis framework goes well beyond textbook knowledge, and it was applied to different existing designs yielding a high technological maturity. As was shown in this paper, using those common metrics in both, a fan and propeller context, has a number of advantages, and the following conclusions can be drawn:
  • Systematically breaking down overall efficiency which is commonly used in all propeller analysis into transfer and propulsive efficiency helps better understanding the aerodynamic quality of the blading separate from the conceptual parameters at a top level;
  • During design of ducted turbomachinery, often only isentropic efficiency is considered. For overall efficiency, loss generation in the intake and bypass duct needs to be considered, with increasing sensitivity towards low fan pressure ratios. In the same way that overall and component efficiency is different, blade row loss coefficients and lift and drag coefficients are in most cases not relatable since they inherently include different loss terms;
  • The efficiency breakdown was discussed based on concrete design examples as well as for a 3D-RANS-based global optimization, helping designers to better understand design limitations and identify potentials for further improvements at both, conceptual and detailed design level;
  • By example of a concrete propeller design for a flight Mach number of 0.62, the impact of detailed design parameters such as chord and profile shaping on overall efficiency was quantified. This impact was in the order of less than 1.5% relative to the BEMT-based reference. Those results were discussed and put into perspective with the impact of global conceptual parameters such as tip speed or propeller diameter;
  • Non-dimensional and top-level design parameters commonly used in both, a ducted and an unducted propulsor context, were combined and directly related to each other. The focus here was on power coefficient and advance ratio as used in an unducted context vs. work coefficient and flow coefficient commonly used in fan and compressor design;
  • Respective trends of those parameters were discussed generically, as well as for concrete examples. This again helps designers assess their own design, and the trends provided can also be used at a conceptual level to design propulsors independent of their concept by fixing top-level parameters based on the given values.

Author Contributions

Conceptualization, R.S.; methodology, R.S. and M.M.; formal analysis, R.S. and M.M.; Writing: R.S. All authors have read and agreed to the published version of the manuscript.

Funding

The generalized optimization study has received funding from the European Union’s Horizon Europe research and innovation program under grant agreement Id 101101955 (doi 10.3030/101101955) in the context of the “SMR Aircraft Architecture and Technology Integration” (SMR-ACAP) project within Clean Aviation. All other contributions have not received external funding. The propeller design stems from DLR internal project ADAPT—Assessment and digitalization of forthcoming propulsion technologies.

Data Availability Statement

Parts of the data may be made available upon request.

Acknowledgments

A number of process-wise contributions from Lionel Meillard from the DLR Fan and Compressor department for the generalized optimizations are gratefully acknowledged.

Conflicts of Interest

The authors declare no conflicts of interest.

Nomenclature

Abbreviations and Acronyms
BEMTBlade Element Momentum Theroy
CSControl surface
FPRFan pressure ratio (rotor only, lossless)
CRORCounter Rotating Open Rotor
CRTFCounter Rotating Turbofan
LPR/MPR/HPRLow/medium/high pressure ratio
PROPPropeller
OFOpen Fan
USFUnducted Single Fan
UHBRUltra-High Bypass Ratio
Latin Symbols
aSpecific work input (W/kg)
AArea (m2)
DDiameter (m)
cVelocity (m/s)
cBlade chord (m)
cpPower coefficient = P/ρn3D5 (-)
cp,airSpecific heat (J/(kg K))
ctThrust coefficient = T/ρn2D4 (-)
clProfile lift coefficient per unit span
cdProfile drag coefficient (per unit span)
FThrust (N)
hSpecify enthalpy (J/kg)
JAdvance ratio = vflight/nD (-)
JPropeller wake advance ratio = J (1+w′) (-)
MaMach number (-)
nRotational speed (1/s)
TThrust (N)
PPower (W)
pPressure (Pa)
qDynamic head = ρ u2/2
RGas constant (J/(kg K))
rRadius (m)
tBlade pitch (m)
uVelocity (m/s)
u′Perturbation velocity = u-u (m/s)
TTemperature (K)
wVelocity in relative system (m/s)
w′Axial displacement velocity of helical vortex sheets far behind the propeller (m/s)
wMass flow rate (kg/s)
VVelocity (m/s)
Greek Symbols
α, βFlow angle absolute, relative (°)
ε ˙ Kinetic energy deposit rate (kgm2/s3)
γRatio of specific heats (-)
ηEfficiency (-)
ψWork or enthalpy rise coefficient = Δht/umean2 (-)
φ flowFlow coefficient = vax/umean (-)
ϕVicous dissipation rate ()
ΔϕPitch angle (°)
πPressure ratio (-)
ρDensity (kg/m3)
ωStagnation pressure loss coefficient = (p02-p01)/q (-)
ξStagnation pressure loss = p02-p01/p01 (-)
νHub-to-tip ratio = rhub/rtip (-)
τTotal temperature ratio T02/T01 (-)
ζ Total pressure losses (-)
Subscripts
0Total conditions
1, 2Blade row entry (1) and exit (2)
axAxial
flightFlight
ffFan face
isIsentropic
jetJet property at control volume exit plane
lpr, hprLow/high pressure ratio
sIsentropic process
tTotal
meanArea mean
NNet
ovOverall
transTransfer
uCircumferential direction
propPropulsive
tipAt blade tip
xAxial
θCircumferential/Swirl component
Quantity far upstream of propulsor

References

  1. Goldstein, S. On the Vortex Theory of Screw Propellers. Proc. R. Soc. Lond. Ser. Contain. Pap. Math. Phys. Character 1929, 123, 440–465. [Google Scholar] [CrossRef]
  2. Theodorsen, T. Theory of Propellers; McGraw–Hill Publications in Aeronautical Science: New York, NY, USA, 1954. [Google Scholar]
  3. Wald, Q.R. The Aerodynamics of Propellers. Prog. Aerosp. Sci. 2006, 42, 85–128. [Google Scholar] [CrossRef]
  4. Giannakakis, P.; Goulos, I.; Laskaridis, P.; Pilidis, P.; Kalfas, A.I. Novel Propeller Map Scaling Method. J. Propuls. Power 2016, 32, 1325–1332. [Google Scholar] [CrossRef]
  5. Cumpsty, N.A. Compressor Aerodynamics; Krieger Pub: Malabar, FL, USA, 2004. [Google Scholar]
  6. Auchoybur, K.; Miller, R.J. Design of Compressor Endwall Velocity Triangles. J. Turbomach. 2017, 139, 061005. [Google Scholar] [CrossRef]
  7. Crichton, D. Fan Design and Operation for Ultra Low Noise; University of Cambridge: Cambridge, UK, 2007. [Google Scholar]
  8. Baert, L.; Grasso, G.; Sainvitu, C.; Lepot, I. From Concept to Wind Tunnel Model: Efficient Design Methodology for Innovative Low-Noise Propellers. In Proceedings of the ASME Turbo Expo 2022: Turbomachinery Technical Conference and Exposition, Rotterdam, The Netherlands, 13–17 June 2022; p. 14. [Google Scholar]
  9. Drela, M. Power Balance in Aerodynamic Flows. AIAA J. 2009, 47, 1761–1771. [Google Scholar] [CrossRef]
  10. Cumpsty, N.A.; Horlock, J.H. Averaging Nonuniform Flow for a Purpose. J. Turbomach. 2005, 128, 120–129. [Google Scholar] [CrossRef]
  11. Frey, C.; Ashcroft, G.; Müller, M.; Wellner, J. Analysis of Turbomachinery Averaging Techniques. In Proceedings of the ASME Turbo Expo 2022: Turbomachinery Technical Conference and Exposition, Rotterdam, The Netherlands, 13–17 June 2022. [Google Scholar] [CrossRef]
  12. Schnell, R.; Goldhahn, E.; Julian, M. Design and Performance of a Low Fan-Pressure-Ratio Propulsion System. In Proceedings of the Internationl Society for Air Breathing Engine—ISABE Concference, Canberra, Australia, 22–27 September 2019; Volume ISABE-2019-24017, p. 16. [Google Scholar]
  13. Schnell, R.; Yin, J.; Voss, C.; Nicke, E. Assessment and Optimization of the Aerodynamic and Acoustic Characteristics of a Counter Rotating Open Rotor. J. Turbomach. 2012, 134, 061016. [Google Scholar] [CrossRef]
  14. Ziemiansk, J.A.; Whitlow, J.B., Jr. NASA/Industry Advanced Turboprop Technology Program. In Proceedings of the 16th Congress of the International Council of Aeronautical Sciences—ICAS’88, Jerusalem, Israel, 28 August–2 September 1988; NASA: Washington, WA, USA, 1988. [Google Scholar]
  15. Stefko, G.L.; Jeracki, R.J. Vind-Tunnel Results of Advanced HighSpeed Propellers at Takeoff, Climb, and Landing Mach Numbers, NASA Technical Memorandum NASA-TM-87030; November 1985. Available online: https://ntrs.nasa.gov/citations/19890009894 (accessed on 8 October 2024).
  16. Van Zante, D.E. Progress in Open Rotor Research: A U.S. Perspective. In Proceedings of the ASME Turbo Expo 2015: Turbine Technical Conference and Exposition, Montreal, QC, Canada, 15–19 June 2015. [Google Scholar] [CrossRef]
  17. Lengyel-Kampmann, T.; Voß, C.; Nicke, E.; Rüd, K.-P.; Schaber, R. Generalized Optimization of Counter-Rotating and Single-Rotating Fans. In Proceedings of the ASME Turbo Expo 2014: Turbine Technical Conference and Exposition, Düsseldorf, Germany, 16–20 June 2014. [Google Scholar] [CrossRef]
  18. Grubert, J.; Brunow, P.; Friedrichs, J.; Meillard, L.; Schnell, R.; Winkelmann, P.; Ortmanns, J. Design and Development of a Combined Intake Fan Test Rig to Enable Investigations of Stable Operating ranges. In Proceedings of the 25th ISABE, International Society of Air Breathing Engines, Ottawa, ON, Canada, 25–30 September 2022. [Google Scholar]
  19. Lengyel-Kampmann, T.; Karboujian, J.; Charroin, G.; Winkelmann, P. Experimental investigation of an efficient and lightweight designed counter-rotating shrouded fan stage. Int. J. Turbomach. Propuls. Power 2024, 9, 26. [Google Scholar] [CrossRef]
  20. Voß, C.; Backhaus, J.; Siggel, M.; Pahs, A. A Differentiated Geometry Bladeparameterization Methodology for Gasturbines. Res. Sq. 2023. [Google Scholar] [CrossRef]
  21. Denton, J.D.; Cumpsty, N.A. Loss Mechanisms in Turbomachines. ASME J. Turbomach. 1993, 115, 621–656. [Google Scholar] [CrossRef]
  22. Miller, R.J. Mechanical Work Potential. In Proceedings of the ASME Turbo Expo 2013: Turbine Technical Conference and Exposition, San Antonio, TX, USA, 3–7 June 2013. [Google Scholar] [CrossRef]
Figure 3. Control surfaces (CSs) used in this study.
Figure 3. Control surfaces (CSs) used in this study.
Aerospace 11 01002 g003
Figure 4. Investigated configurations are shown as follows: (a) propeller for a small/medium-range aircraft from DLR project ADAPT, (b) open fan concept based on previous CROR studies [13] and (c) turbofan with a low fan pressure ratio propulsion system [12].
Figure 4. Investigated configurations are shown as follows: (a) propeller for a small/medium-range aircraft from DLR project ADAPT, (b) open fan concept based on previous CROR studies [13] and (c) turbofan with a low fan pressure ratio propulsion system [12].
Aerospace 11 01002 g004
Figure 5. M1.0: BEMT reconstructed, M1.1: performance recovered, M1.2: profile optimization, M1.3: sweep optimization, M1.3-1: 10% less chord and M1.3-2: 10% more chord.
Figure 5. M1.0: BEMT reconstructed, M1.1: performance recovered, M1.2: profile optimization, M1.3: sweep optimization, M1.3-1: 10% less chord and M1.3-2: 10% more chord.
Aerospace 11 01002 g005
Figure 6. Propeller maps for optimized propeller version M1.3 with different rotor pitch settings Δ ϕ . (a) BEMT results with contours of overall efficiency, values thereof are given in the legend. (b) CFD results.
Figure 6. Propeller maps for optimized propeller version M1.3 with different rotor pitch settings Δ ϕ . (a) BEMT results with contours of overall efficiency, values thereof are given in the legend. (b) CFD results.
Aerospace 11 01002 g006
Figure 7. Propeller and CROR design: 3D-RANS-based design optimization strategies.
Figure 7. Propeller and CROR design: 3D-RANS-based design optimization strategies.
Aerospace 11 01002 g007
Figure 8. Corrected blade tip speed over fan pressure ratio (from Equations (19) and (21), ψ = 0.45 and ν = 0.3).
Figure 8. Corrected blade tip speed over fan pressure ratio (from Equations (19) and (21), ψ = 0.45 and ν = 0.3).
Aerospace 11 01002 g008
Figure 9. Fan pressure ratio (FPR) (solid lines) and work coefficient (ψ) (dashed lines) over power coefficient for different open configurations listed in Table 1 (left: PROP-ADAPT; middle: CROR; and right: PROP-SR3).
Figure 9. Fan pressure ratio (FPR) (solid lines) and work coefficient (ψ) (dashed lines) over power coefficient for different open configurations listed in Table 1 (left: PROP-ADAPT; middle: CROR; and right: PROP-SR3).
Aerospace 11 01002 g009
Figure 10. Spanwise distributions of work coefficient and flow coefficient for propeller M1.3, open fan, CROR and turbofan at design conditions (abscissae showing relative radius from hub to tip).
Figure 10. Spanwise distributions of work coefficient and flow coefficient for propeller M1.3, open fan, CROR and turbofan at design conditions (abscissae showing relative radius from hub to tip).
Aerospace 11 01002 g010
Figure 11. Evolution of different efficiencies. (a) Propulsive efficiency (uninstalled) over flight Mach number for different levels of fan pressure ratio. (b) Propulsive efficiency (dashed lines) and ideal propeller efficiency (solid lines) over power coefficient for different advcance ratios and flight Mach number.
Figure 11. Evolution of different efficiencies. (a) Propulsive efficiency (uninstalled) over flight Mach number for different levels of fan pressure ratio. (b) Propulsive efficiency (dashed lines) and ideal propeller efficiency (solid lines) over power coefficient for different advcance ratios and flight Mach number.
Aerospace 11 01002 g011
Figure 12. Efficiency and loss coefficient characteristics. (a) Transfer and isentropic efficiency for different FPR (example for ambient conditions p = 23843 Pa, T = 228.81 K and flight Ma = 0.6). (b) Component loss coefficient over reference Mach number for different stagnation pressure losses.
Figure 12. Efficiency and loss coefficient characteristics. (a) Transfer and isentropic efficiency for different FPR (example for ambient conditions p = 23843 Pa, T = 228.81 K and flight Ma = 0.6). (b) Component loss coefficient over reference Mach number for different stagnation pressure losses.
Aerospace 11 01002 g012
Figure 13. (a) Enthalpy–entropy diagram with isobars for a low-pressure ratio (1 → 2,lpr) and high-pressure ratio compression process (1 → 2,hpr) at given loss coefficient ζ or entropy Δs, respectively, and (b) isentropic efficiency sensitivity on stagnation pressure loss coefficient ζ at different levels of fan pressure ratio.
Figure 13. (a) Enthalpy–entropy diagram with isobars for a low-pressure ratio (1 → 2,lpr) and high-pressure ratio compression process (1 → 2,hpr) at given loss coefficient ζ or entropy Δs, respectively, and (b) isentropic efficiency sensitivity on stagnation pressure loss coefficient ζ at different levels of fan pressure ratio.
Aerospace 11 01002 g013
Figure 14. Profile loss characteristics based on simplified momentum conservation according to Equation (2) at isostatic pressure p2 = p1, constant total enthalpy or temperature and given pressure loss coefficient for different inlet Mach numbers. (a) Drag coefficient over total pressure loss coefficient. (b) Excess kinetic energy fraction in relation to the total axial force.
Figure 14. Profile loss characteristics based on simplified momentum conservation according to Equation (2) at isostatic pressure p2 = p1, constant total enthalpy or temperature and given pressure loss coefficient for different inlet Mach numbers. (a) Drag coefficient over total pressure loss coefficient. (b) Excess kinetic energy fraction in relation to the total axial force.
Aerospace 11 01002 g014
Figure 15. Profile section lift coefficient dependence on pitch-wise averaged outflow angle based on momentum conservation (baseline cases with no viscous losses ω = 0.0 and no static pressure rise p1/p = 1).
Figure 15. Profile section lift coefficient dependence on pitch-wise averaged outflow angle based on momentum conservation (baseline cases with no viscous losses ω = 0.0 and no static pressure rise p1/p = 1).
Aerospace 11 01002 g015
Figure 16. Radial distributions of inlet Mach number and FPR for propeller M1.3, USF/CROR and turbofan.
Figure 16. Radial distributions of inlet Mach number and FPR for propeller M1.3, USF/CROR and turbofan.
Aerospace 11 01002 g016
Figure 17. Radial distributions efficiencies and profile pressure losses for propeller M1.3, USF/CROR and turbofan.
Figure 17. Radial distributions efficiencies and profile pressure losses for propeller M1.3, USF/CROR and turbofan.
Aerospace 11 01002 g017
Figure 18. Efficiency breakdown (a) and performance metrics (b) for cases introduced in Table 1.
Figure 18. Efficiency breakdown (a) and performance metrics (b) for cases introduced in Table 1.
Aerospace 11 01002 g018
Figure 19. Results from generalized propeller (PROP) and CROR optimization with different strategies.
Figure 19. Results from generalized propeller (PROP) and CROR optimization with different strategies.
Aerospace 11 01002 g019
Table 1. Performance data of selected configurations at design conditions.
Table 1. Performance data of selected configurations at design conditions.
Maflightutip (m/s)JcpηovFPR
PROP-SR3 [14,15]0.802443.061.7078%1.09
CROR [13,16] 0.73207 13.43.05 285%1.08
PROP-ADAPT0.622132.790.7883%1.02
Maff ϕflowψηis
TURBOFAN-HPR [17]0.623400.600.4592%1.50
TURBOFAN-MPR [18]0.622980.650.5592%1.37
TURBOFAN-LPR [17]0.62280 0.600.4594%1.30
CRTF-R1 [19]0.69260 30.600.5094%1.15 3
1—average of both rotors. 2—power sum of both rotors. 3—rotor 1 only.
Disclaimer/Publisher’s Note: The statements, opinions and data contained in all publications are solely those of the individual author(s) and contributor(s) and not of MDPI and/or the editor(s). MDPI and/or the editor(s) disclaim responsibility for any injury to people or property resulting from any ideas, methods, instructions or products referred to in the content.

Share and Cite

MDPI and ACS Style

Schnell, R.; Mennicken, M. Unified Assessment of Open and Ducted Propulsors. Aerospace 2024, 11, 1002. https://doi.org/10.3390/aerospace11121002

AMA Style

Schnell R, Mennicken M. Unified Assessment of Open and Ducted Propulsors. Aerospace. 2024; 11(12):1002. https://doi.org/10.3390/aerospace11121002

Chicago/Turabian Style

Schnell, Rainer, and Maximilian Mennicken. 2024. "Unified Assessment of Open and Ducted Propulsors" Aerospace 11, no. 12: 1002. https://doi.org/10.3390/aerospace11121002

APA Style

Schnell, R., & Mennicken, M. (2024). Unified Assessment of Open and Ducted Propulsors. Aerospace, 11(12), 1002. https://doi.org/10.3390/aerospace11121002

Note that from the first issue of 2016, this journal uses article numbers instead of page numbers. See further details here.

Article Metrics

Back to TopTop