A Novel Approach to Ripple Cancellation for Low-Speed Direct-Drive Servo in Aerospace Applications
Abstract
1. Introduction
2. Causes of Low-Frequency Harmonic Current
2.1. DC Bias of Phase Current
2.2. Gain Error of Phase Current
2.3. Tooth Harmonic
3. Algorithms and Simulations for Suppressing Low-Frequency Harmonic Current
3.1. Principle of Low-Frequency Harmonic Current Suppression Algorithm
3.1.1. Electrical Angle Update and Mechanical Angle Assignment Algorithm for Center Current
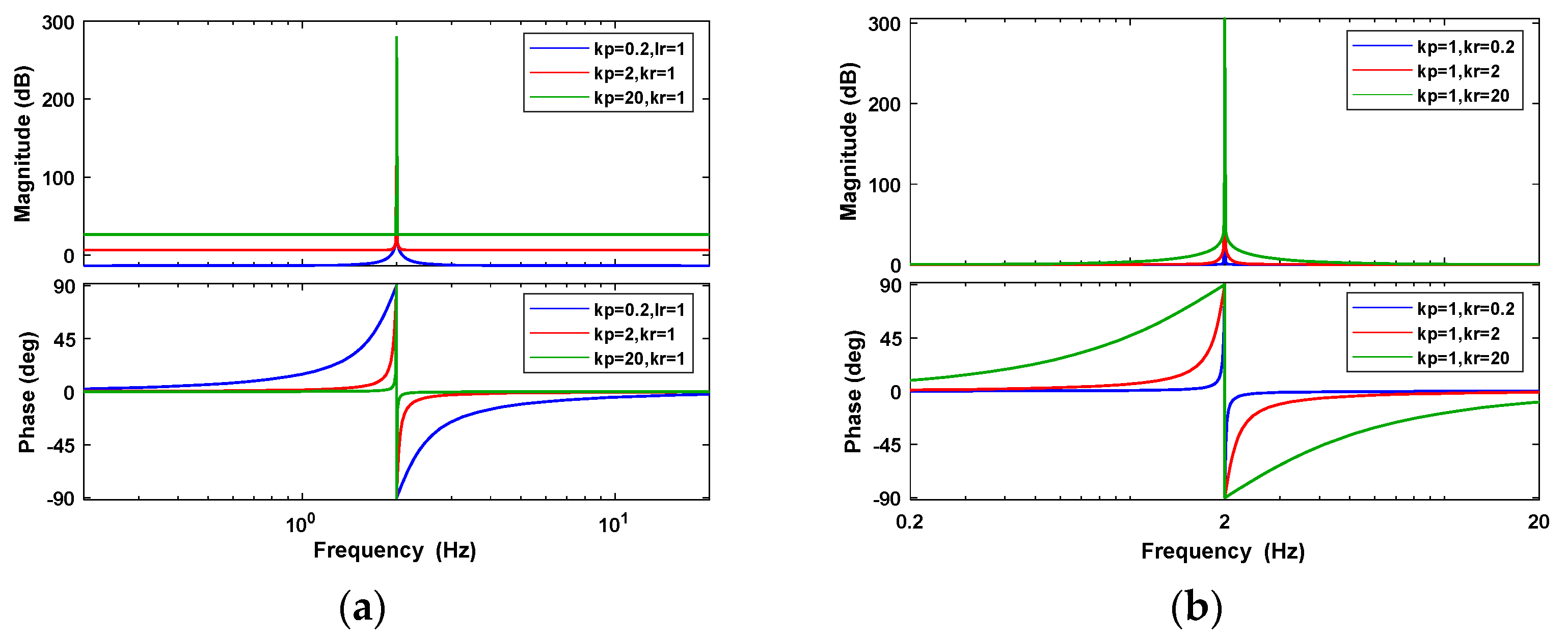
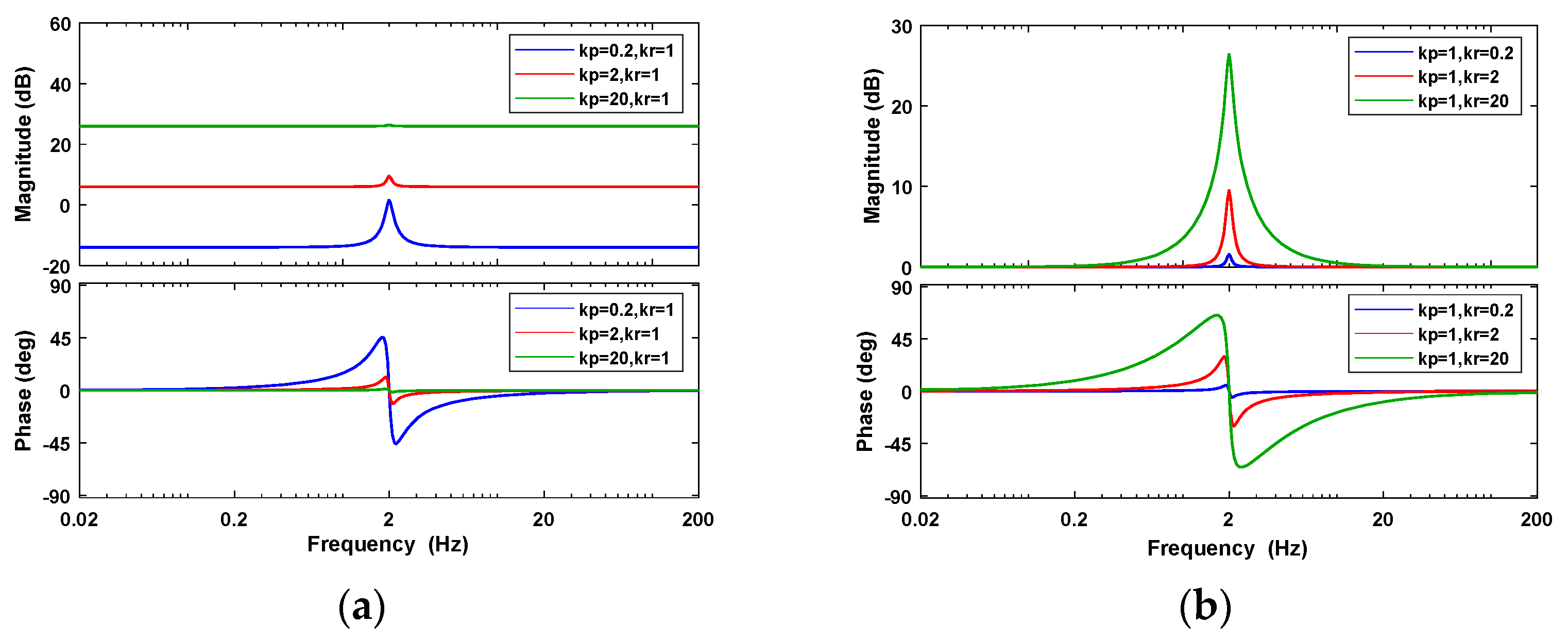
3.1.2. Double Quasi-Proportional Resonant Control Algorithm for Speed Loop
3.2. Simulation of Low-Frequency Harmonic Current Suppression Algorithm
3.2.1. Simulation of CC-EUMA
3.2.2. Simulation of SL-DQPR
4. PMSM Direct-Drive Servo System Design
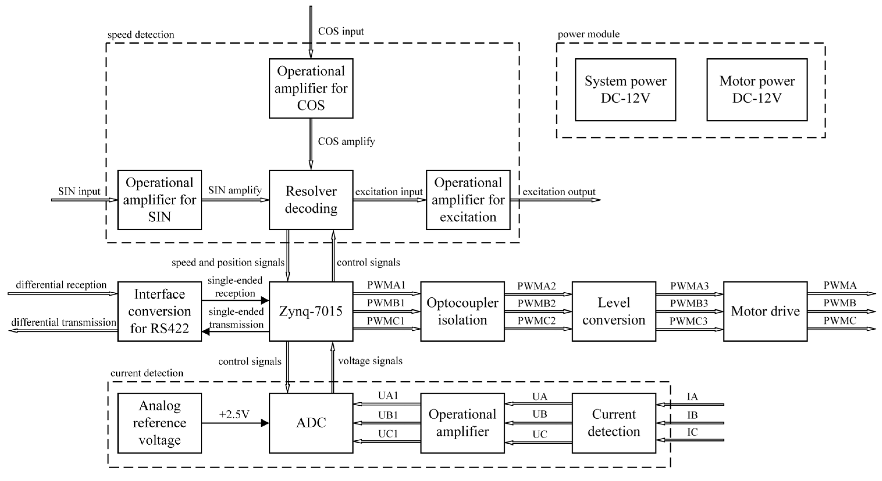
4.1. Design of the Drive Controller
4.2. Design of the Software Control System
5. Experimental Results and Discussion of the Servo System
5.1. Experimental Test Platform for the System
5.2. Experimental Results and Discussion of Harmonic Suppression Algorithms
5.2.1. Experimental Validation of CC-EUMA
5.2.2. Experimental Validation of SL-DQPR
6. Conclusions
- Output bias of current detecting elements, asymmetry of stator windings, and the cogging effect are three common phenomena in low-speed direct-drive servo systems, and even slotless motors are not immune to first and second harmonic ripples.
- The three different kinds of low-frequency harmonics are more effectively suppressed by CC-EUMA and SL-DQPR. When the motor speed is 10 rpm, after adding the two algorithms, the speed ripple suppression ratio of the system is better than 66%, i.e., the speed ripple is reduced to about one-third of the original.
- With the Zynq-7015 serving as the control core, the design maximizes the benefits of co-developing software and hardware. Our attempt provides a reference for the development of miniaturized and intelligent space low-speed scanning mechanism, which has good engineering application value.
- Conduct dynamic performance tests to analyze the dynamic performance of the system. Tests that may be performed include step response tests, motor load step change tests, and speed control response times tests. Keep track of how long it takes the motor drive to return the system to normal functioning and how it reacts to unforeseen changes in the operating environment.
- Try to adopt an AI chip combined with servo control to realize the digitalization and intelligence of servo control. With the rapid development of high-performance AI chips, the use of AI chips to realize the adaptive adjustment of optimal parameters will be considered in the future to improve the immunity of the system.
- Conduct environmental reliability experiments. Mechanical, thermal vacuum, and EMC experiments, etc., can be conducted based on the instrument’s operating environment to completely confirm the system’s dependability.
Author Contributions
Funding
Data Availability Statement
Conflicts of Interest
References
- Zhai, S.X.; Wang, C.S.; Tan, L. Driving and controlling of high accuracy scanning servo-system in space. Opt. Precis. Eng. 2016, 24, 1104–1111. [Google Scholar] [CrossRef]
- Pazdera, I.; Huták, P.; Procházka, P. Speed Estimator for Low Speed PMSM Aerospace Application. In Proceedings of the 12th International Conference on Mechatronics, Brno, Czech Republic, 6–8 September 2017; pp. 452–457. [Google Scholar]
- Fang, S.H.; Liu, H.; Wang, H.T.; Yang, H.; Lin, H.Y. High Power Density PMSM With Lightweight Structure and High-Performance Soft Magnetic Alloy Core. IEEE Trans. Appl. Supercond. 2019, 29, 0602805. [Google Scholar] [CrossRef]
- Niu, S.X.; Ho, S.L.; Fu, W.N. A Novel Direct-Drive Dual-Structure Permanent Magnet Machine. IEEE Trans. Magn. 2010, 46, 2036–2039. [Google Scholar] [CrossRef]
- Balakrishnan, J.; Govindaraju, C. Multi-Phase Permanent Magnet Generator with Halbach Array for Direct Driven Wind Turbine: A Hybrid Technique. Energy Sources Part A Recovery Util. Environ. Eff. 2022, 44, 5699–5717. [Google Scholar] [CrossRef]
- Xia, X.Q.; Zhang, B.; Li, X.T. High Precision Low-Speed Control for Permanent Magnet Synchronous Motor. Sensors 2020, 20, 1526. [Google Scholar] [CrossRef] [PubMed]
- Liu, C.; Xu, Y.; Zou, J.; Yu, G.; Zhuo, L. Permanent Magnet Shape Optimization Method for PMSM Air Gap Flux Density Harmonics Reduction. CES Trans. Electr. Mach. Syst. 2021, 5, 284–290. [Google Scholar] [CrossRef]
- Cernigoj, A.; Gasparin, L.; Fiser, R. Native and Additional Cogging Torque Components of PM Synchronous Motors—Evaluation and Reduction. Automatika 2010, 51, 157–165. [Google Scholar] [CrossRef][Green Version]
- Jianbo, C. Method of Suppressing the Periodic Disturbance of Motor Based on Repetitive Controller. Electr. Drive 2010, 40, 48–51. [Google Scholar]
- Yong, L.; Shuai, Z.; Ren, L.I.U.; Jun, Y.A.O. Torque Ripple Suppression of Permanent Magnet Synchronous Motor by the Harmonic Injection. Proc. Chin. Soc. Electr. Eng. 2011, 31, 119–127. [Google Scholar]
- Qu, J.Z.; Zhang, C.N.; Jatskevich, J.; Zhang, S. Deadbeat Harmonic Current Control of Permanent Magnet Synchronous Machine Drives for Torque Ripple Reduction. IEEE J. Emerg. Sel. Top. Power Electron. 2022, 10, 3357–3370. [Google Scholar] [CrossRef]
- Mora, A.; Orellana, A.; Juliet, J.; Cárdenas, R. Model Predictive Torque Control for Torque Ripple Compensation in Variable-Speed PMSMs. IEEE Trans. Ind. Electron. 2016, 63, 4584–4592. [Google Scholar] [CrossRef]
- Gao, Y. Research on Control Technology of Direct Drive Servo System Using Permanent Magnet Synchronous Motor under Low Speed Rang for Aerospace Application. Master’s Thesis, Nanjing University of Aeronautics and Astronautics, Nanjing, China, 2020. [Google Scholar]
- Ramagond, S.; Yellampalli, S.; Kanagasabapathi, C. A Review and Analysis of Communication Logic between PL and PS in ZYNQ AP SoC. In Proceedings of the International Conference on Smart Technologies for Smart Nation (SmartTechCon), Bengaluru, India, 17–19 August 2017; pp. 946–951. [Google Scholar]
- Cai, J.; Deng, Z.Q. Initial Rotor Position Estimation and Sensorless Control of SRM Based on Coordinate Transformation. IEEE Trans. Instrum. Meas. 2015, 64, 1004–1018. [Google Scholar] [CrossRef]
- Fu, X.H.; He, H.; Chen, W.; Zou, J.B.; He, X.K. Decoupled Vector Control of PMSM Based on Uncertainty and Disturbance Estimator. In Proceedings of the International Conference on Electrical Machines (ICEM), Gothenburg, Sweden, 23–26 August 2020; pp. 1099–1104. [Google Scholar]
- Xiao, Y. Research on Servo Motor Resolver and Sin/Cos Encoder Zero Point Calibration System. Master’s Thesis, Huazhong University of Science and Technology, Wuhan, China, 2012. [Google Scholar]
- Arand, S.J.; Ardebili, M. Cogging torque reduction in axial-flux permanent magnet wind generators with yokeless and segmented armature by radially segmented and peripherally shifted magnet pieces. Renew. Energy 2016, 99, 95–106. [Google Scholar] [CrossRef]
- Wang, C.Y.; Xia, J.K.; Sun, Y.B. Modern Control Technology for Electric Machines; China Machine Press: Beijing, China, 2014. [Google Scholar]
- Güemes, J.A.; Iraolagoitia, A.M.; Fernández, P.; Donsión, M.P. Comparative study of PMSM with integer-slot and fractional-slot windings. In Proceedings of the XIX International Conference on Electrical Machines-ICEM 2010, Rome, Italy, 6–8 September 2010; pp. 1–6. [Google Scholar]
- Zhang, W.H.; Li, J.H.; Xu, L. Experimental analysis of torque fluctuation in permanent magnet DC torque motors. Micromotors 2004, 37, 64–66. [Google Scholar] [CrossRef]
- Xia, C.L.; Ji, B.N.; Yan, Y. Smooth Speed Control for Low-Speed High-Torque Permanent-Magnet Synchronous Motor Using Proportional-Integral-Resonant Controller. IEEE Trans. Ind. Electron. 2015, 62, 2123–2134. [Google Scholar] [CrossRef]
- Francis, B.A.; Wonham, W.M. Internal Model Principle of Control-Theory. Automatica 1976, 12, 457–465. [Google Scholar] [CrossRef]































| Parameter | CC-EUMA | 50 rpm | 40 rpm | 30 rpm | 20 rpm | 10 rpm | 
|---|---|---|---|---|---|---|
| Speed variance | Before adding | 1.314 | 0.914 | 0.684 | 0.327 | 0.105 | 
| After adding | 0.336 | 0.261 | 0.247 | 0.157 | 0.074 | |
| Tracking error | Before adding | 1.892% | 1.999% | 2.235% | 2.241% | 2.553% | 
| After adding | 0.928% | 1.045% | 1.326% | 1.612% | 2.209% | |
| Speed ripple | Before adding | 5.000% | 5.352% | 6.766% | 7.865% | 10.112% | 
| After adding | 2.975% | 3.429% | 4.546% | 5.682% | 6.818% | 
| Speed | 50 rpm | 40 rpm | 30 rpm | 20 rpm | 10 rpm | 
|---|---|---|---|---|---|
| Before adding CC-EUMA | 1.388 rpm | 1.101 rpm | 0.852 rpm | 0.536 rpm | 0.242 rpm | 
| After adding CC-EUMA | 0.096 rpm | 0.034 rpm | 0.056 rpm | 0.019 rpm | 0.008 rpm | 
| Parameter | SL-DQPR | 50 rpm | 40 rpm | 30 rpm | 20 rpm | 10 rpm | 
|---|---|---|---|---|---|---|
| Speed variance | Before adding | 0.336 | 0.261 | 0.247 | 0.157 | 0.074 | 
| after adding | 0.1272 | 0.106 | 0.309 | 0.052 | 0.028 | |
| Tracking error | Before adding | 0.928% | 1.045% | 1.326% | 1.612% | 2.209% | 
| after adding | 0.591% | 0.671% | 0.666% | 0.826% | 1.429% | |
| Speed ripple | Before adding | 2.975% | 3.429% | 4.546% | 5.682% | 6.818% | 
| after adding | 1.602% | 1.994% | 2.290% | 2.857% | 3.448% | 
| Parameter | SL-DQPR | 50 rpm | 40 rpm | 30 rpm | 20 rpm | 10 rpm | 
|---|---|---|---|---|---|---|
| Second harmonic ripple | Before adding | 0.438 rpm | 0.291 rpm | 0.199 rpm | 0.133 rpm | 0.049 rpm | 
| After adding | 0.021 rpm | 0.073 rpm | 0.022 rpm | 0.027 rpm | 0.013 rpm | |
| Mth harmonic ripple | Before adding | 0.237 rpm | 0.327 rpm | 0.364 rpm | 0.335 rpm | 0.212 rpm | 
| After adding | 0.134 rpm | 0.056 rpm | 0.074 rpm | 0.039 rpm | 0.037 rpm | 
| Speed | 50 rpm | 40 rpm | 30 rpm | 20 rpm | 10 rpm | 
|---|---|---|---|---|---|
| Speed ripple Suppression ratio | 67.960% | 62.743% | 66.154% | 63.675% | 65.902% | 
| Disclaimer/Publisher’s Note: The statements, opinions and data contained in all publications are solely those of the individual author(s) and contributor(s) and not of MDPI and/or the editor(s). MDPI and/or the editor(s) disclaim responsibility for any injury to people or property resulting from any ideas, methods, instructions or products referred to in the content. | 
© 2024 by the authors. Licensee MDPI, Basel, Switzerland. This article is an open access article distributed under the terms and conditions of the Creative Commons Attribution (CC BY) license (https://creativecommons.org/licenses/by/4.0/).
Share and Cite
Zhang, X.; Wang, Z.; Bai, C.; Zhang, S. A Novel Approach to Ripple Cancellation for Low-Speed Direct-Drive Servo in Aerospace Applications. Aerospace 2024, 11, 834. https://doi.org/10.3390/aerospace11100834
Zhang X, Wang Z, Bai C, Zhang S. A Novel Approach to Ripple Cancellation for Low-Speed Direct-Drive Servo in Aerospace Applications. Aerospace. 2024; 11(10):834. https://doi.org/10.3390/aerospace11100834
Chicago/Turabian StyleZhang, Xin, Ziting Wang, Chaoping Bai, and Shuai Zhang. 2024. "A Novel Approach to Ripple Cancellation for Low-Speed Direct-Drive Servo in Aerospace Applications" Aerospace 11, no. 10: 834. https://doi.org/10.3390/aerospace11100834
APA StyleZhang, X., Wang, Z., Bai, C., & Zhang, S. (2024). A Novel Approach to Ripple Cancellation for Low-Speed Direct-Drive Servo in Aerospace Applications. Aerospace, 11(10), 834. https://doi.org/10.3390/aerospace11100834
 
        

 
       