A Generic Model for Benchmark Aerodynamic Analysis of Fifth-Generation High-Performance Aircraft
Abstract
1. Introduction
2. Model Overview
2.1. Vehicle Geometry
2.2. Vehicle Size and Scaling
3. Experimental Investigation
4. Numerical Investigation
4.1. Solver Numerics
4.2. Turbulence Modelling
4.3. Computational Domain
5. Results
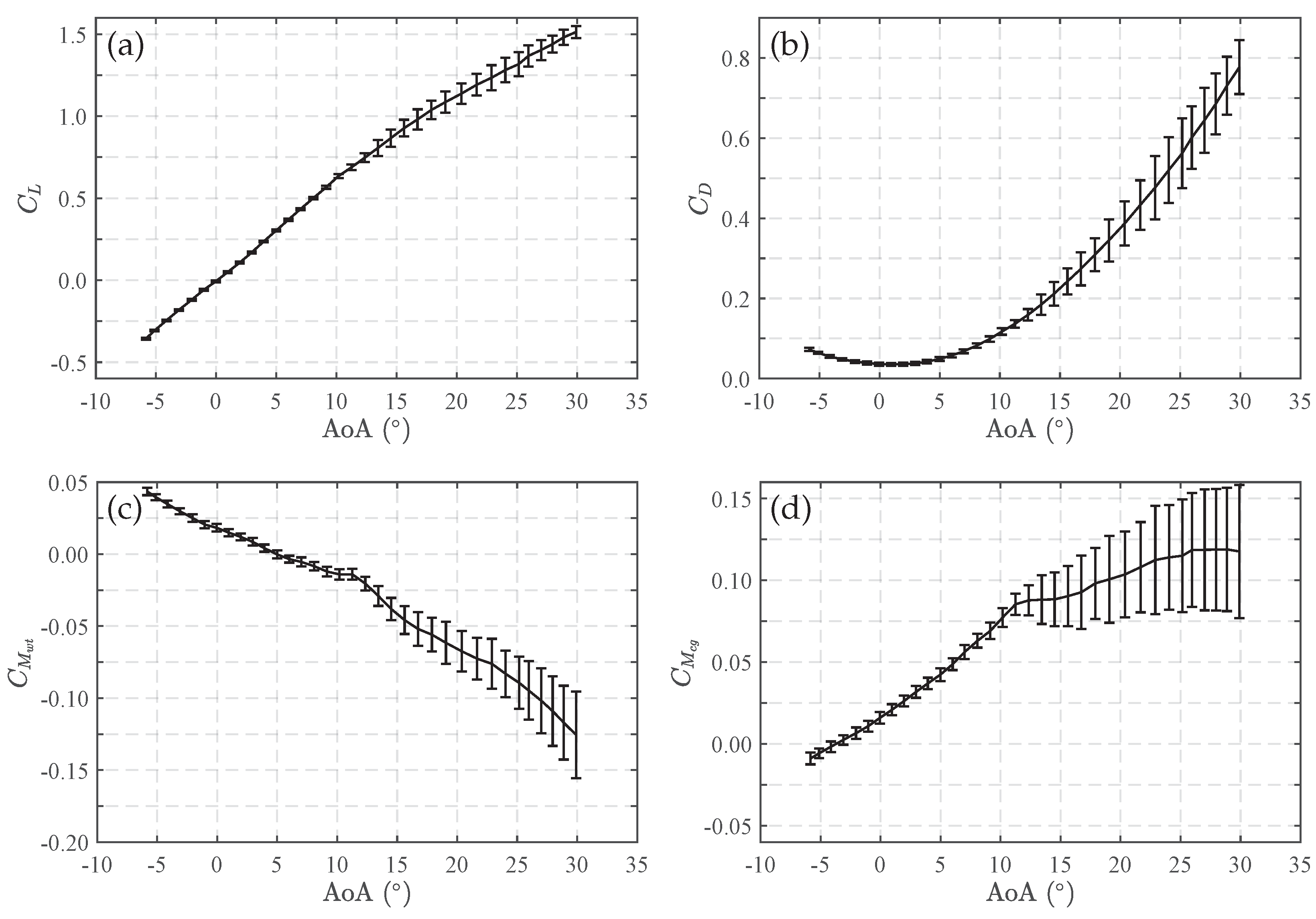
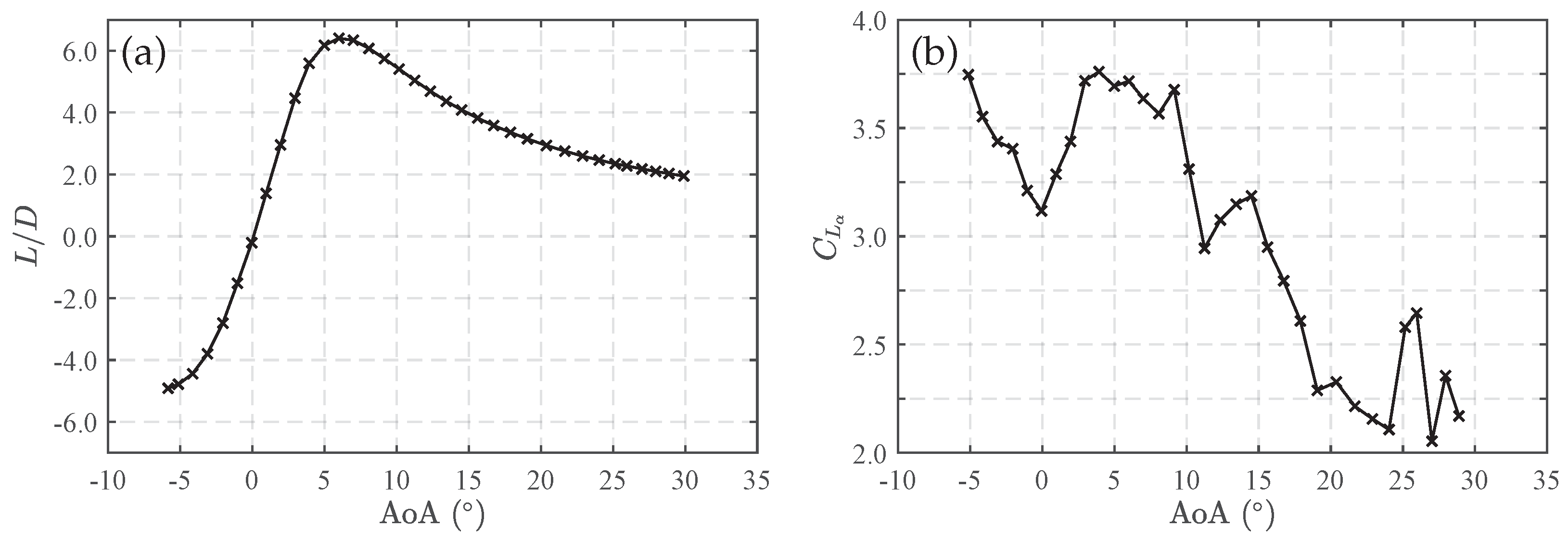
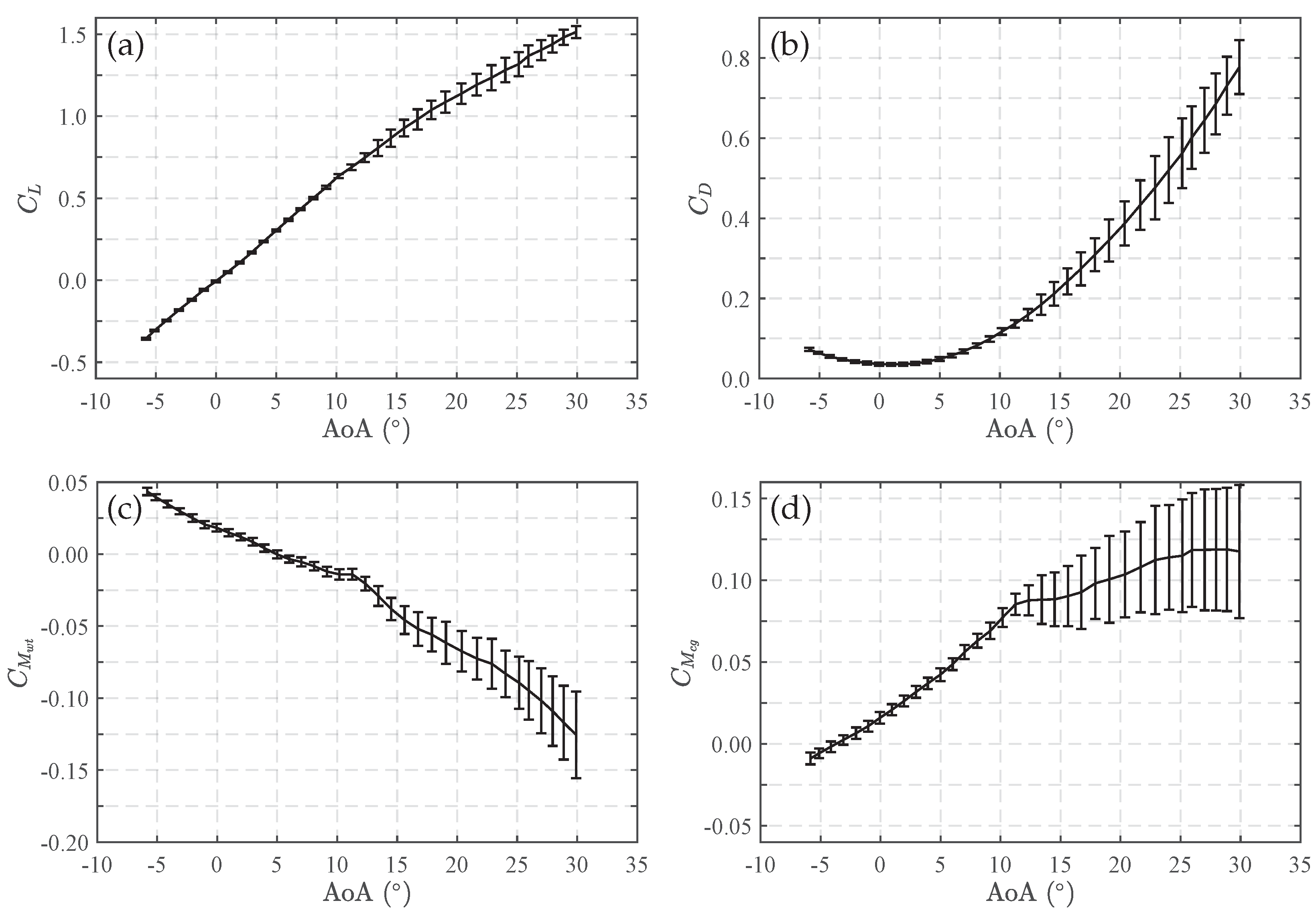
5.1. Experimental Study
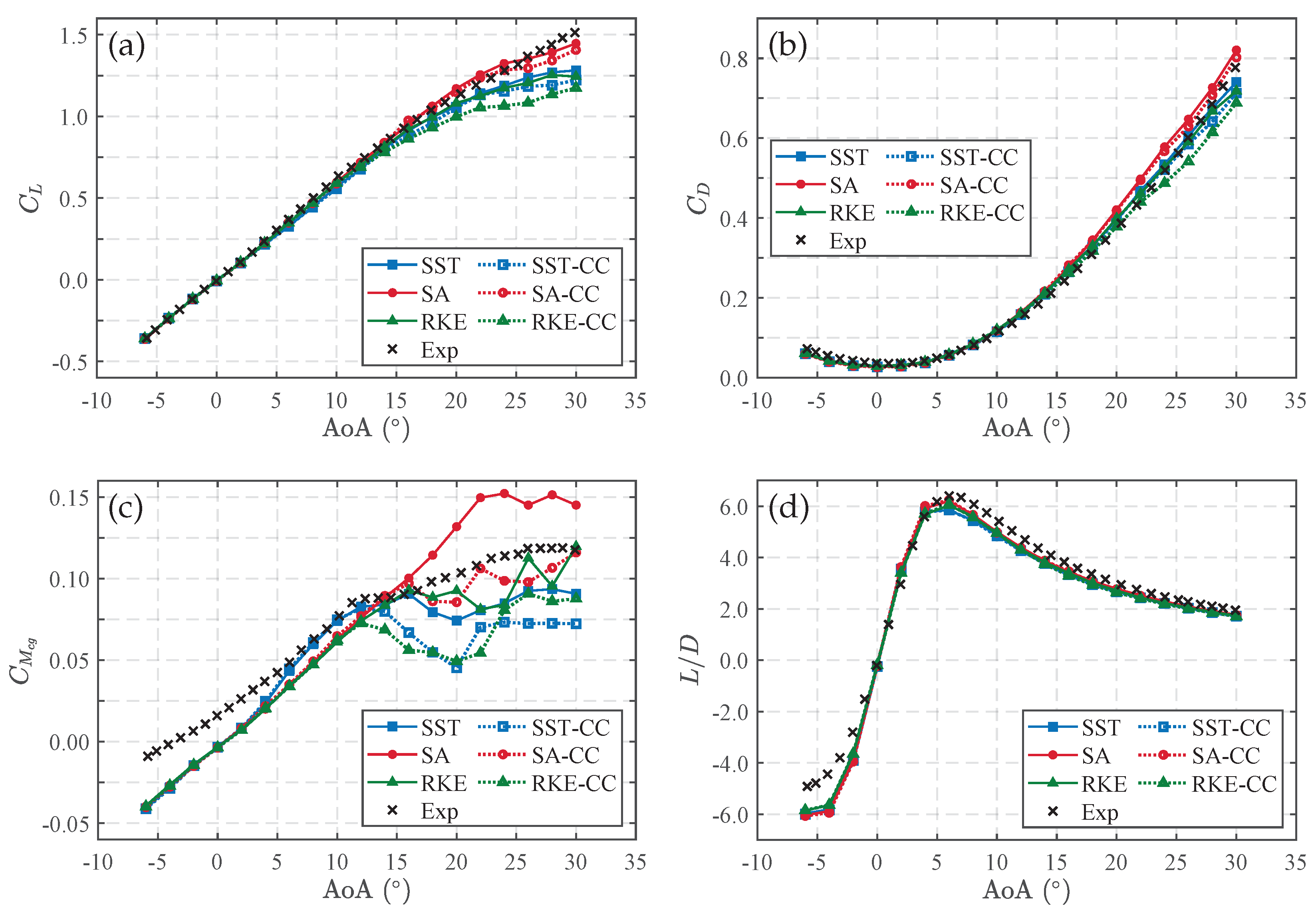
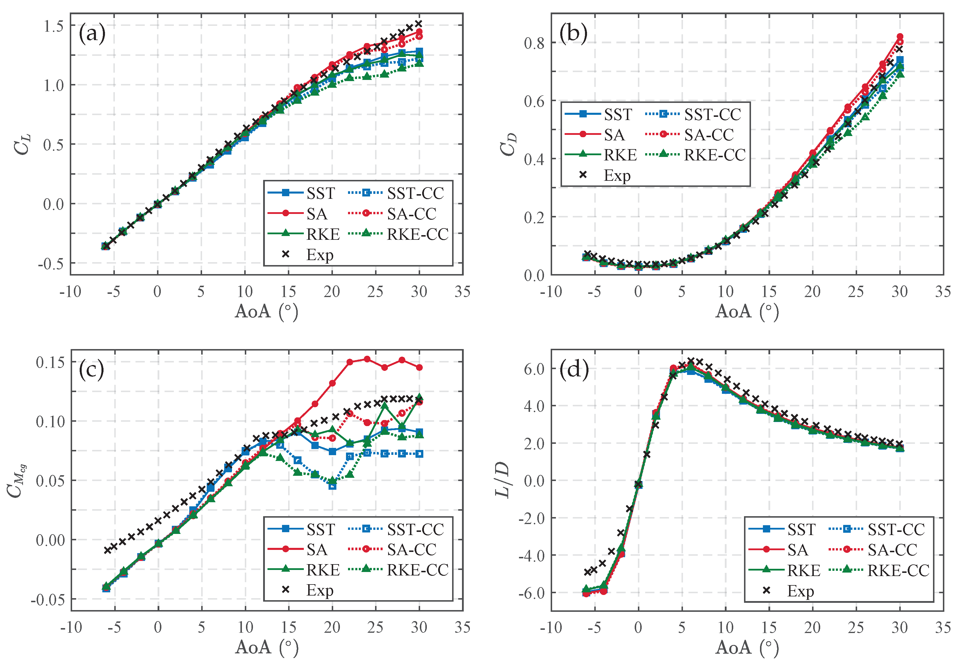
5.2. Numerical Study
5.2.1. Grid Convergence
5.2.2. Turbulence Model Sensitivity
5.2.3. Vortex Evolution
6. Conclusions
Author Contributions
Funding
Data Availability Statement
Acknowledgments
Conflicts of Interest
Abbreviations
| AIAA | American Institute of Aeronautics and Astronautics |
| AoA | Angle of Attack |
| CAWAP | Cranked Arrow Wing Aerodynamics Project |
| CC | Curvature Correction |
| CFD | Computational Fluid Dynamics |
| CoG | Centre of Gravity |
| MAC | Mean Aerodynamic Chord |
| RANS | Reynolds-Averaged Navier-Stokes |
| RKE | Realisable k- |
| SA | Spalart-Allmaras |
| SDM | Standard Dynamics Model |
| SSAM | Sydney Standard Aerodynamic Models |
| SST | Shear Stress Transport |
References
- Simms, D.; Schreck, S.; Hand, M.; Fingersh, L. NREL Unsteady Aerodynamics Experiment in the NASA-Ames Wind Tunnel: A Comparison of Predictions to Measurements; Technical Report TP-500-29494; NASA: Golden, CO, USA, 2001.
- Rivers, M.B.; Quest, J.; Rudnik, R. Comparison of the NASA Common Research Model European Transonic Wind Tunnel Test Data to NASA Test Data (Invited). In Proceedings of the 53rd AIAA Aerospace Sciences Meeting, Kissimmee, FL, USA, 5–9 January 2015. [Google Scholar]
- Daneshmand, S.; Adelnia, R.; Aghanajafi, S. Comparison between FDM Model and Steel Model as Wind Tunnel Testing Models. In Proceedings of the 6th WSEAS International Conference on Robotics, Control and Manufacturing Technology, Hangzhou, China, 16–18 April 2006. [Google Scholar]
- Kroll, E.; Artzi, D.; Ralbag, G. Structural design guidelines for wind tunnel models made by rapid prototyping. In Proceedings of the 27th International Congress of the Aeronautical Sciences, Nice, France, 19–24 September 2010. [Google Scholar]
- Quick, H.; Widjaja, R.; Anderson, B.; Woodyatt, B.; Snowden, A.D.; Lam, S. Phase I Experimental Testing of a Generic Submarine Model in the DSTO Low Speed Wind Tunnel; Technical Report DSTO-TN-1101; DST Group: Fishermans Bend, VIC, Australia, 2012.
- Khann, R.H.; Umale, S. CFD Aerodynamic Analysis of Ahmed Body. Int. J. Eng. Trends Technol. 2014, 17, 301–308. [Google Scholar] [CrossRef]
- Cermak, J.E. Wind-tunnel development and trends in applications to civil engineering. J. Wind. Eng. Ind. Aerodyn. 2003, 91, 355–370. [Google Scholar] [CrossRef]
- Damljanovic, D.; Vukovic, D.; Ocokoljic, G.; Ilic, B.; Rasuo, B. Wind Tunnel Testing of ONERA-M, AGARD-B and HB-2 Standard Models at Off-Design Conditions. Aerospace 2021, 8, 275. [Google Scholar] [CrossRef]
- Vassberg, J.; Dehaan, M.; Rivers, M.; Wahls, R. Development of a common research model for applied CFD validation studies. In Proceedings of the 26th AIAA Applied Aerodynamics Conference, AIAA-2008-6919, Honolulu, HI, USA, 18–21 August 2008. [Google Scholar]
- Beyers, M. Stability Derivatives due to Oscillation in Roll for the SDM at Mach 0.6; Technical Report LTR-UA-64; National Research Council Canada: Ottawa, ON, Canada, 1983.
- Beyers, M. Pitch and Yaw Oscillation Experiments on the SDM at Mach 0.6; Technical Report LTR-UA-76; National Research Council Canada: Ottawa, ON, Canada, 1984.
- Beyers, M.; Huang, X. Subsonic Aerodynamic Coefficients of the SDM at Angles of Attack up to 90°; Technical Report LTR-UA-93; National Research Council Canada: Ottawa, ON, Canada, 1990.
- Huang, X. Wing and Fin Buffet on the Standard Dynamics Model; Technical Report Defense Technical Information Center Compilation Part Notice ADPOI0722; Field Technology Inc.: Long Beach, CA, USA, 2000. [Google Scholar]
- Almosnino, D. Aerodynamic calculations of the standard dynamics model in pitch and roll oscillations. In Proceedings of the 32nd Aerospace Sciences Meeting and Exhibit, AIAA-94-0287, Reno, NV, USA, 10–13 January 1994. [Google Scholar]
- Alemdaroglu, N.; Iyigiin, I.; Altun, M.; Quagliotti, F.; Guglieri, G. Measurements of Dynamic Stability Derivatives using Direct Forced Oscillation Technique. In Proceedings of the ICIASF 2001 Record, 19th International Congress on Instrumentation in Aerospace Simulation Facilities, Cleveland, OH, USA, 27–30 August 2001. [Google Scholar]
- Alemdaroglu, N.; Uysal, H.; Nacakli, Y.; Şahin, T.; Quagliotti, F.; Guglieri, G. Roll oscillatory test in a low speed wind tunnel. In Proceedings of the 41st Aerospace Sciences Meeting and Exhibit, AIAA-2003-398, Reno, NV, USA, 6–9 January 2003. [Google Scholar]
- Erm, L.P. An Experimental Investigation Into the Feasibility of Measuring Static and Dynamic Aerodynamic Derivatives in the DSTO Water Tunnel. In Proceedings of the 30th AIAA Applied Aerodynamics Conference, AIAA-2012-3119, New Orleans, LA, USA, 25–28 June 2012. [Google Scholar]
- Guglieri, G.; Quagliotti, F. Determination of dynamic stability parameters in a low speed wind tunnel. In Proceedings of the 9th Applied Aerodynamics Conference, AIAA-91-3245, Baltimore, MD, USA, 23–25 September 1991. [Google Scholar]
- Polhamus, E.C. Vortex lift research: Early contributions and some current challenges. In Vortex Flow Aerodynamics; NASA: Hampton, VA, USA, 1986. [Google Scholar]
- Wu, J.; Vakili, A.; Wu, J. Review of the physics of enhancing vortex lift by unsteady excitation. Prog. Aerosp. Sci. 1991, 28, 73–131. [Google Scholar] [CrossRef]
- McKinney, L.W.; Dollyhigh, S.M. Some trim drag considerations for maneuvering aircraft. J. Aircr. 1971, 8, 623–629. [Google Scholar] [CrossRef]
- Ray, E.J.; McKinney, L.W.; Carmichael, J.G. Maneuver and Buffet Characteristics of Fighter Aircraft; Technical Report TN D-7131; NASA: Hampton, VA, USA, 1973.
- Rizzi, A.; Jirásek, A.; Lamar, J.E.; Crippa, S.; Badcock, K.J.; Boelens, O.J. Lessons learned from numerical simulations of the F-16XL aircraft at flight conditions. J. Aircr. 2009, 46, 423–441. [Google Scholar] [CrossRef][Green Version]
- Luckring, J.M.; Rizzi, A.; Davis, M.B. Toward improved predictions of slender airframe aerodynamics using the F-16XL aircraft. J. Aircr. 2017, 54, 378–387. [Google Scholar] [CrossRef]
- Delery, J.M. Aspects of vortex breakdown. Prog. Aerosp. Sci. 1994, 30, 1–59. [Google Scholar] [CrossRef]
- Nelson, R.C.; Pelletier, A. The unsteady aerodynamics of slender wings and aircraft undergoing large amplitude maneuvers. Prog. Aerosp. Sci. 2003, 39, 185–248. [Google Scholar] [CrossRef]
- Gursul, I.; Gordnier, R.; Visbal, M. Unsteady aerodynamics of nonslender delta wings. Prog. Aerosp. Sci. 2005, 41, 515–557. [Google Scholar] [CrossRef]
- Bykerk, T. USYD AMME Wind Tunnels. 2019. Available online: https://sites.google.com/view/usyd-amme-wind-tunnels/home (accessed on 20 June 2023).
- Anderson, M.J.L. A Methodology for Aerodynamic Parameter Estimation of Tail-Sitting Multi-Rotors. Ph.D. Thesis, The University of Sydney, Sydney, Australia, 2017. [Google Scholar]
- Lehmkuehler, K. A Direct Comparison of Small Aircraft Dynamics between Wind Tunnel and Flight Tests. Ph.D. Thesis, The University of Sydney, Sydney, Australia, 2016. [Google Scholar]
- Bykerk, T.; Verstraete, D.; Steelant, J. Low speed longitudinal aerodynamic, static stability and performance analysis of a hypersonic waverider. Aerosp. Sci. Technol. 2020, 96, 105531. [Google Scholar] [CrossRef]
- Giannelis, N.F.; Vio, G.A. On the effect of control surface deflections on the aeroelastic response of an aerofoil at transonic buffet conditions. In Proceedings of the 28th International Conference on Noise and Vibration Engineering, Leuven, Belgium, 17–19 September 2018. [Google Scholar]
- Amprikidis, M.; Cooper, J.; Rogerson, C.; Vio, G. On the use of adaptive internal structures for wing shape control. In Proceedings of the 46th AIAA/ASME/ASCE/AHS/ASC Structures, Structural Dynamics and Materials Conference, AIAA-2005-2042, Austin, TX, USA, 18–21 April 2005. [Google Scholar]
- Miller, S.; Cooper, J.; Vio, G. Development of an adaptive wing tip device. In Proceedings of the 50th AIAA/ASME/ASCE/AHS/ASC Structures, Structural Dynamics, and Materials Conference, AIAA-2008-2121, Denver, CO, USA, 5–7 April 2008. [Google Scholar]
- Cooper, J.; Khodaparast, H.; Ricci, S.; Georgiou, G.; Vio, G.; Trawaglini, L.; Denmer, P. Rapid prediction of worst case gust loads. In Proceedings of the 52nd AIAA/ASME/ASCE/AHS/ASC Structures, Structural Dynamics and Materials Conference, AIAA-2012-2040, Honolulu, HI, USA, 23–26 April 2012. [Google Scholar]
- Cheema, P.; Munk, D.J.; Giannelis, N.F.; Vio, G.A. Experimental validation of polynomial chaos theory on an aircraft t-tail. In Proceedings of the 18th AIAA Non-Deterministic Approaches Conference, AIAA-2016-0953, San Diego, CA, USA, 4–8 January 2016. [Google Scholar]
- Barlow, J.; Rae, W.; Pope, A. Low-Speed Wind Tunnel Testing, 3rd ed.; John Wiley & Sons Inc.: New York, NY, USA, 1999; p. 728. [Google Scholar]
- Bykerk, T.; Verstraete, D.; Steelant, J. Low speed lateral-directional aerodynamic and static stability analysis of a hypersonic waverider. Aerosp. Sci. Technol. 2020, 98, 105709. [Google Scholar] [CrossRef]
- Bykerk, T.; Verstraete, D.; Steelant, J. Low speed longitudinal dynamic stability analysis of a hypersonic waverider using unsteady Reynolds averaged Navier Stokes forced oscillation simulations. Aerosp. Sci. Technol. 2020, 103, 105883. [Google Scholar] [CrossRef]
- Bykerk, T.; Verstraete, D.; Steelant, J. Low speed lateral-directional dynamic stability analysis of a hypersonic waverider using unsteady Reynolds averaged Navier Stokes forced oscillation simulations. Aerosp. Sci. Technol. 2020, 106, 106228. [Google Scholar] [CrossRef]
- ANSYS. Fluent 2022 R1 Theory Guide; ANSYS Inc.: Canonsburg, PA, USA, 2022. [Google Scholar]
- Werner, M.; Schütte, A.; Weiss, S. Turbulence Model Effects on the Prediction of Transonic Vortex Interaction on a Multi-Swept Delta Wing. In Proceedings of the AIAA SciTech 2022 Forum, AIAA-2022-0295, San Diego, CA, USA, 3–7 January 2022. [Google Scholar]
- Spalart, P.R.; Allmaras, S.R. A one-equation turbulence model for aerodynamic flows. Rech. Aerosp. 1994, 1, 5–21. [Google Scholar]
- Menter, F.R. Two-equation eddy-viscosity turbulence models for engineering applications. AIAA J. 1994, 32, 1598–1605. [Google Scholar] [CrossRef]
- Shih, T.H.; Zhu, J.; Lumley, J.L. A new Reynolds stress algebraic equation model. Comput. Methods Appl. Mech. Eng. 1995, 125, 287–302. [Google Scholar] [CrossRef]
- Dacles-Mariani, J.; Zilliac, G.G.; Chow, J.S.; Bradshaw, P. Numerical/experimental study of a wingtip vortex in the near field. AIAA J. 1995, 33, 1561–1568. [Google Scholar] [CrossRef]
- Spalart, P.; Shur, M. On the sensitization of turbulence models to rotation and curvature. Aerosp. Sci. Technol. 1997, 1, 297–302. [Google Scholar] [CrossRef]
- Banks, D.W.; Fisher, D.F.; Hall, R.M.; Erickson, G.E.; Murri, D.G.; Grafton, S.B.; Sewall, W.G. The F/A-18 High Angle-of-Attack Ground-to-Flight Correlation: Lessons Learned; Technical Report TM 4783; NASA: Hampton, VA, USA, 1997.
- Lamar, J.E. Flight, Wind-tunnel, and coMputational Fluid Dynamics Comparison for Cranked Arrow Wing (F-16XL-1) at Subsonic and Transonic Speeds; Technical Report TP-2001-210629; NASA: Hampton, VA, USA, 2001.
- Pfnür, S.; Breitsamter, C. Leading-edge vortex interactions at a generic multiple swept-wing aircraft configuration. J. Aircr. 2019, 56, 2093–2107. [Google Scholar] [CrossRef]
- Moioli, M.; Breitsamter, C.; Sørensen, K.A. Turbulence Modeling for Leading-Edge Vortices: An Enhancement Based on Experimental Data. AIAA J. 2022, 60, 1382–1399. [Google Scholar] [CrossRef]
- Lei, Z. Effect of RANS turbulence models on computation of vortical flow over wing-body configuration. Trans. Jpn. Soc. Aeronaut. Space Sci. 2005, 48, 152–160. [Google Scholar] [CrossRef]
- Dikbaş, E.; Baran, Ö.U. Towards Accurate Vortex Separation Simulations with RANS Using Improved k-kL Turbulence Model. Aerospace 2023, 10, 377. [Google Scholar] [CrossRef]
- Lee, B.; Brown, D. Wind-tunnel studies of F/A-18 tail buffet. J. Aircr. 1992, 29, 146–152. [Google Scholar] [CrossRef]
- Meyn, L.A.; James, K.D. Full-scale wind-tunnel studies of F/A-18 tail buffet. J. Aircr. 1996, 33, 589–595. [Google Scholar] [CrossRef][Green Version]













| Parameter | Value | Units |
|---|---|---|
| Reference Area | 0.1091 | m2 |
| Mean Aerodynamic Chord | 0.2265 | m |
| Span | 0.5350 | m |
| −0.4065 | m | |
| 0.0000 | m | |
| −0.0076 | m | |
| −0.4385 | m | |
| 0.0000 | m | |
| 0.0000 | m |
| Sensing Range (N) | Resolution (Nm) | ||||||
|---|---|---|---|---|---|---|---|
| Fx, Fy | Fz | Mx, My | Mz | Fx, Fy | Fz | Mx, My | Mz |
| 580 | 1160 | 20 | 20 | 0.25 | 0.25 | 0.005 | 0.0027 |
| Grid | No. Cells (Mil) | Max. | Growth Rate | (% MAC) | (% MAC) |
|---|---|---|---|---|---|
| Coarse | 5.1 | 1.87 | 1.24 | 1.99 | 12.42 |
| Medium | 8.7 | 1.26 | 1.22 | 1.32 | 16.55 |
| Fine | 13.7 | 1.01 | 1.20 | 0.99 | 8.28 |
| Extra Fine | 20.7 | 0.83 | 1.18 | 0.79 | 6.21 |
Disclaimer/Publisher’s Note: The statements, opinions and data contained in all publications are solely those of the individual author(s) and contributor(s) and not of MDPI and/or the editor(s). MDPI and/or the editor(s) disclaim responsibility for any injury to people or property resulting from any ideas, methods, instructions or products referred to in the content. |
© 2023 by the authors. Licensee MDPI, Basel, Switzerland. This article is an open access article distributed under the terms and conditions of the Creative Commons Attribution (CC BY) license (https://creativecommons.org/licenses/by/4.0/).
Share and Cite
Giannelis, N.F.; Bykerk, T.; Vio, G.A. A Generic Model for Benchmark Aerodynamic Analysis of Fifth-Generation High-Performance Aircraft. Aerospace 2023, 10, 746. https://doi.org/10.3390/aerospace10090746
Giannelis NF, Bykerk T, Vio GA. A Generic Model for Benchmark Aerodynamic Analysis of Fifth-Generation High-Performance Aircraft. Aerospace. 2023; 10(9):746. https://doi.org/10.3390/aerospace10090746
Chicago/Turabian StyleGiannelis, Nicholas F., Tamas Bykerk, and Gareth A. Vio. 2023. "A Generic Model for Benchmark Aerodynamic Analysis of Fifth-Generation High-Performance Aircraft" Aerospace 10, no. 9: 746. https://doi.org/10.3390/aerospace10090746
APA StyleGiannelis, N. F., Bykerk, T., & Vio, G. A. (2023). A Generic Model for Benchmark Aerodynamic Analysis of Fifth-Generation High-Performance Aircraft. Aerospace, 10(9), 746. https://doi.org/10.3390/aerospace10090746

