Numerical Study of Nonadiabatic Wall Effects on Aerodynamic Characteristics of CHN-T1 Standard Model
Abstract
1. Introduction
2. Computation Framework
2.1. Governing Equations and Discrete Scheme
2.2. Turbulent and Transition Model
3. Model and Grids
3.1. Model
3.2. Grid Independence Study
4. Results and Discussion
4.1. Computational Validation with Wind Tunnel Test Results
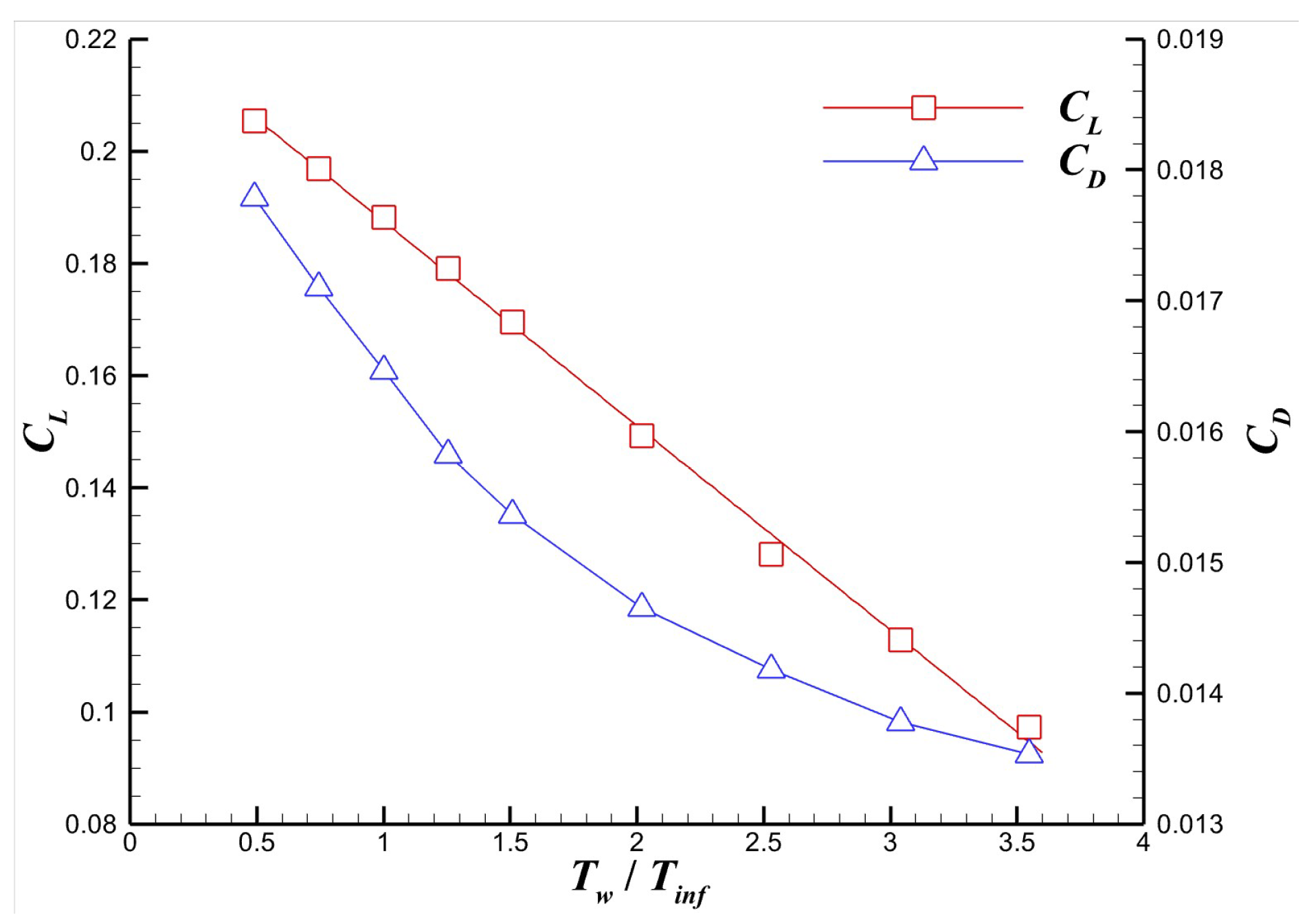
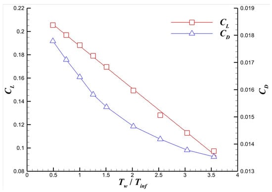
4.2. Influence of Temperature Gradient on Aerodynamic Characteristics
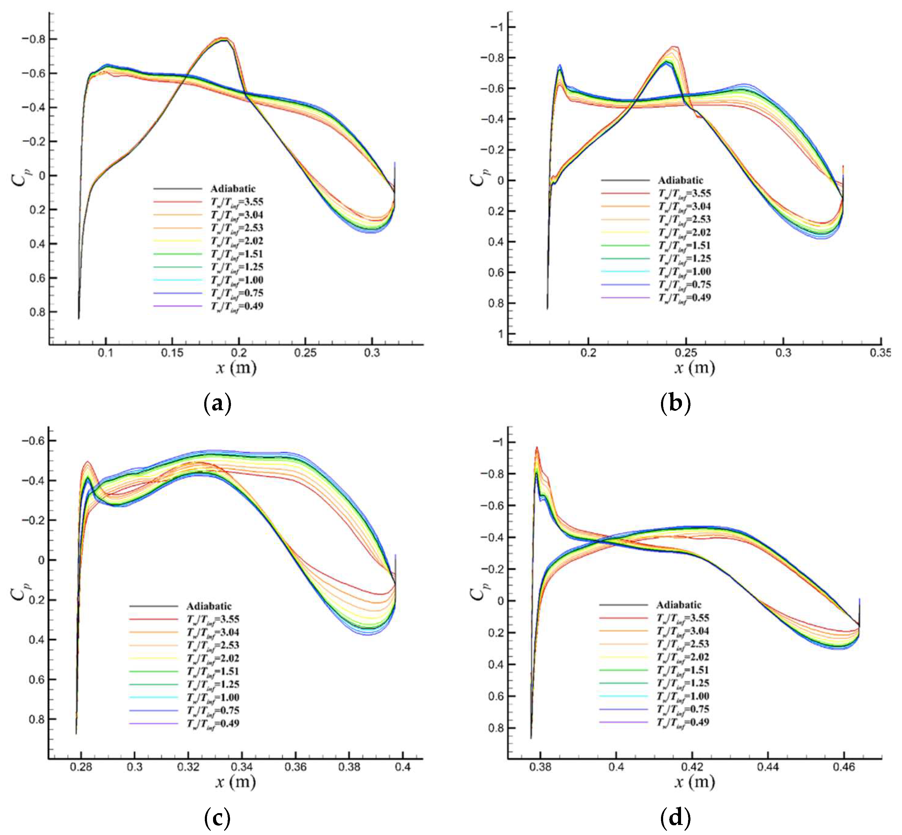
4.3. Influence of Temperature Gradient on Flow Characteristics of Model Surface
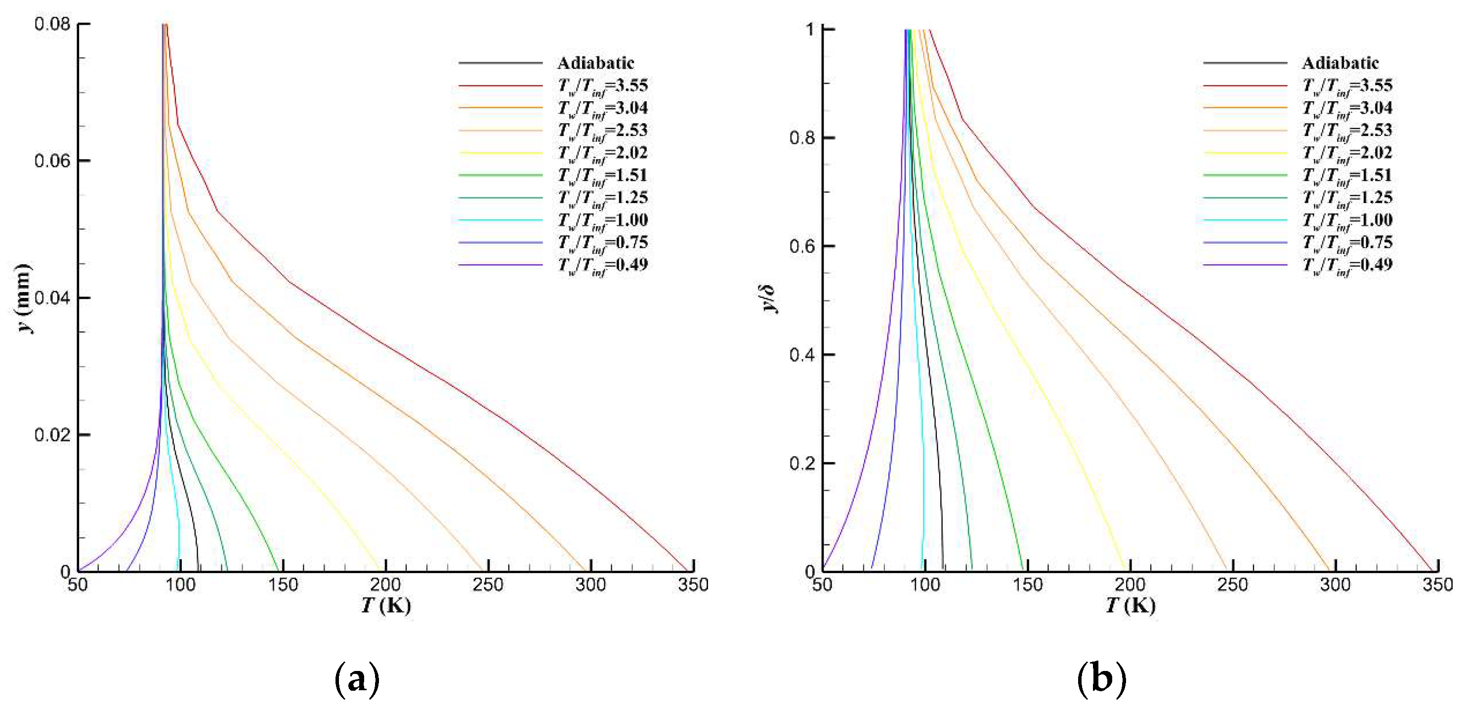
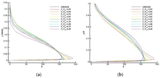
4.4. Influence of Temperature Gradient on Boundary Layer Characteristics
5. Conclusions
Author Contributions
Funding
Data Availability Statement
Conflicts of Interest
References
- Johnson, C.B. A study of nonadiabatic boundary-layer stabilization time in a cryogenic tunnel for typical wind and fuselage models. J. Aircr. 1980, 18, 16–23. [Google Scholar]
- Macha, J.; Landrum, D.; Pare, L.; Johnson, C. Heating requirements and nonadiabatic surface effects for a model in the NTF cryogenic wind tunnel. Phys. Environ. Sci. 1988, 372–381. [Google Scholar] [CrossRef]
- Mabey, D.G. Heat transfer effects on aerodynamics and implications for wind-tunnel tests. J. Aircr. 1992, 29, 224–230. [Google Scholar] [CrossRef]
- VanDriest, E.R. Convective heat transfer in gases. In Turbulent Flows and Heat Transfer in High Speed Aerodynamics and Jet Propulsion; Oxford University Press: Oxford, UK, 1959; Volume 5, pp. 339–427. [Google Scholar]
- Macha, J.M.; Norton, D.J.; Young, J.C. Surface temperature effect on subsonic stall. J. Spacecr. Rocket. 1973, 10, 581–587. [Google Scholar]
- Lynch, F.T.; Fancher, M.F.; Patel, D.R.; Inger, G.R. Nonadiabatic model wall effects on transonic airfoil performance in a cryogenic wind tunnel. In AGARD CP-348; 1984; pp. 14-1–14-11. [Google Scholar]
- Feiler, C. Drag coefficient reduction in the presence of pressure gradients by heat transfer. AIAA J. 2001, 39, 2262–2267. [Google Scholar] [CrossRef]
- Lee, L. The stability of the laminar boundary layer in a compressible fluid. NACA Rep. 1947, 876. [Google Scholar]
- Boehman, L.I.; Mariscalco, M.G. The stability of highly cooled compressible laminar boundary layers. ADA036210 1976, 76–148. [Google Scholar]
- Potter, J.L. Review of the influence of cooled walls on boundary-layer transition. AIAA J. 1980, 18, 1010–1012. [Google Scholar] [CrossRef]
- Dong, P.; Yan, P.G.; Huang, H.Y.; Feng, G.T. Numerical simulation of temperature gradient influence on flat plate boundary layer transition. J. Propuls. Technol. 2008, 29, 527–532. (In Chinese) [Google Scholar]
- Wu, Y.P. Numerical simulation of wall temperature control influence on flat plate boundary layer. Acta Aerodyn. Sin. 2016, 34, 674–679. (In Chinese) [Google Scholar]
- Costantini, M.; Hein, S.; Henne, U.; Klein, C.; Koch, S.; Schojda, L.; Ondrus, V.; Schröder, W. Pressure Gradient and Nonadiabatic Surface Effects on Boundary Layer Transition. AIAA J. 2016, 54, 3465–3480. [Google Scholar] [CrossRef]
- Menter, F.R. Two-equation eddy-viscosity turbulence models for engineering applications. AIAA J. 1994, 32, 1598–1605. [Google Scholar] [CrossRef]
- Menter, F.; Rumsey, C. Assessment of two-equation turbulence models for transonic flows. In Proceedings of the AIAA, Colorado Springs, CO, USA, 20–23 June 1994. [Google Scholar]
- Menter, F.R.; Langtry, R.; Völker, S. Transition Modelling for General Purpose CFD Codes. Flow, Turbul. Combust. 2006, 77, 277–303. [Google Scholar] [CrossRef]
- Yu, Y.G.; Zhou, Z.; Huang, J.T.; Mou, B.; Huang, Y.; Wang, Y. Aerodynamic design of a standard model CHN-T1 for single-aisle passenger aircraft. Acta Aerodyn. Sin. 2018, 36, 505–513. (In Chinese) [Google Scholar]
- Li, Q.; Liu, D.W.; Xu, X.; Chen, D.H. Experimental study of aerodynamic characteristics of CHN-T1 standard model in 2.4 m transonic wind tunnel. Acta Aerodyn. Sin. 2019, 37, 337–344. (In Chinese) [Google Scholar]
- Li, Q.; Liu, D.W.; Chen, D.H.; Wei, Z. The study of interference characteristics of typical support struts on large aircraft in high-speed wind tunnels. Acta Aerodyn. Sin. 2019, 37, 68–74. (In Chinese) [Google Scholar]
- White, F.M.; Corfield, I. Viscous Fluid Flow; McGraw-Hill: New York, NY, USA, 2006; Volume 3. [Google Scholar]






















| Grid | OCeNo. (in Million) | LCeNo. | LSC.min | LSC.max | LSS.min | LSS.max |
|---|---|---|---|---|---|---|
| Coarse grid | 6.15 | 11 | 0.36% | 3.10% | 0.06% | 1.66% |
| Medium grid | 12.08 | 17 | 0.23% | 2.07% | 0.04% | 1.15% |
| Fine grid | 23.95 | 23 | 0.16% | 1.21% | 0.03% | 0.83% |
| Scheme | CL | CD | Cm |
|---|---|---|---|
| CFD (Coarse Grid) | 0.4202 | 0.0265 | 0.0624 |
| CFD (Medium Grid) | 0.4517 | 0.0243 | 0.0461 |
| CFD (Fine Grid) | 0.4552 | 0.0241 | 0.0425 |
| Experiment | 0.4454 | 0.0247 | 0.0024 |
| M | Re | α | Tinf | Wall Boundary Condition |
|---|---|---|---|---|
| 0.78 | 3.3 × 106 | −2°, 0°, 2°, 4° | 256.3K | adiabatic |
| M | Re | α | Tinf | Tw/Tinf |
|---|---|---|---|---|
| 0.78 | 5.0 × 107 | 0° | 98.1K | 0.49~3.55 |
Disclaimer/Publisher’s Note: The statements, opinions and data contained in all publications are solely those of the individual author(s) and contributor(s) and not of MDPI and/or the editor(s). MDPI and/or the editor(s) disclaim responsibility for any injury to people or property resulting from any ideas, methods, instructions or products referred to in the content. |
© 2023 by the authors. Licensee MDPI, Basel, Switzerland. This article is an open access article distributed under the terms and conditions of the Creative Commons Attribution (CC BY) license (https://creativecommons.org/licenses/by/4.0/).
Share and Cite
Wang, X.; Wu, J.; Chen, J.; Li, Y.; Zhao, Z.; Liu, G.; Tao, Y.; Xiong, N. Numerical Study of Nonadiabatic Wall Effects on Aerodynamic Characteristics of CHN-T1 Standard Model. Aerospace 2023, 10, 372. https://doi.org/10.3390/aerospace10040372
Wang X, Wu J, Chen J, Li Y, Zhao Z, Liu G, Tao Y, Xiong N. Numerical Study of Nonadiabatic Wall Effects on Aerodynamic Characteristics of CHN-T1 Standard Model. Aerospace. 2023; 10(4):372. https://doi.org/10.3390/aerospace10040372
Chicago/Turabian StyleWang, Xiaobing, Junqiang Wu, Jianzhong Chen, Yuping Li, Zhongliang Zhao, Guangyuan Liu, Yang Tao, and Neng Xiong. 2023. "Numerical Study of Nonadiabatic Wall Effects on Aerodynamic Characteristics of CHN-T1 Standard Model" Aerospace 10, no. 4: 372. https://doi.org/10.3390/aerospace10040372
APA StyleWang, X., Wu, J., Chen, J., Li, Y., Zhao, Z., Liu, G., Tao, Y., & Xiong, N. (2023). Numerical Study of Nonadiabatic Wall Effects on Aerodynamic Characteristics of CHN-T1 Standard Model. Aerospace, 10(4), 372. https://doi.org/10.3390/aerospace10040372
