Abstract
We present a method for generating feedback and controlling multi-coil linear electromagnetic actuators for flapping wing systems. This has been achieved with a system capable of self-lifting, constructed using 3D-printed structures and miniaturised electromagnetic actuators with a combined weight of 3.07 g. Combining multiple magnets and coils into a single actuator with onboard feedback sensors has improved power densities upon existing linear electromagnetic systems present in the literature. The use of closed-loop control of the dynamics of the flapping profile allows for independent control of both flapping frequency and amplitude, which is differentiated from open-loop and resonance-based systems. This change will allow relatively precise control over the flapping dynamics of future systems while improving actuation efficiency.
1. Introduction
Dragonflies and other flying insects demonstrate the promise of agile and efficient flight that flapping wing drones will offer in the future by combining the desired traits of both fixed-wing and rotary-wing systems in an efficient way and at a scale that engineered systems have yet been able to achieve. Their unique direct-drive flight muscles deliver the high power required for aggressive maneuvers as well as the fine motor control required for precise motion. This is for the generation of unsteady aerodynamic phenomena [] through to sustained gliding flight under steady-state conditions []. For many engineered systems, feedback control applied to individual wing beats is not feasible, or even useful, due to mechanism design, inertia, etc. Typically, control inputs are provided at a lower rate and higher level in the control system in response to changes in aircraft attitude or position, rather than wing position or aerodynamic load on wings. Additionally, the selection of the actuator system has significant implications for the design of flapping wing systems. One of the most common sources of electromotive force is intrinsically rotary: electromagnetic motors, of either brushed or brushless design. These systems reduce the high-speed rotary motion to a high torque output through a transmission with an output stage converting the continuous rotary motion into a reciprocating motion, possibly with additional twisting motions. These mechanisms benefit from the use of traditional rotary motors that provide high power density and efficiency [,,,]. The limitation of these mechanisms stems from the fixed kinematics of the mechanism. This limits the control inputs to the wing, with it being possible to control the angular velocity of the wing but not the amplitude. Another class of actuators is fixed frequency systems that utilise resonance to improve efficiency and performance. This encompasses many actuator types but, most significantly, piezoelectric and electromagnetic motors. Piezoelectric actuator systems are designed around the resonance point of the actuator and utilise amplitude modulation and limited modulation of the stroke velocity []. A geared DC motor combined with a return spring allows for liftoff while operating at the resonant point of the actuator [,,]. Non-traditional electromagnetic systems demonstrated by Roll et al. utilised a virtual magnetic spring to reach the high frequencies required for flight [,].
Linear electromagnetic actuators have been used to generate a linear force that, in a single device, can act as an antagonistic pair of muscles. These types of actuators have been demonstrated at the insect scale [,]. The potential of these actuators to be implemented in direct wing actuation could provide high levels of control to the wing. These actuators have demonstrated their ability to achieve liftoff, yet can suffer from low efficiency []. Previous work has investigated how these actuators can improve efficiency while not increasing actuation mass. Some of these past configurations required incorporating actuator feedback to realise these benefits []. This study aims to implement the necessary actuator feedback to allow for improved actuator performance and to demonstrate how this technology enables a self-lifting, reciprocally actuated flapping configuration.
2. Design
2.1. Actuation
The design of the actuator was based on the two-magnet coil motor reported by McIvor et al. []. Previous designs have implemented actuators that use a single coil and magnet to produce force. The performance of these actuators is limited due to the zero-force that can be generated when the centres of the magnet and coil align. The common solution is to offset the magnet relative to the coil to the point at which the highest force can be generated. This limits the total magnet displacement to a fraction of the force-generating region of just a single magnetic pole. To achieve the power required to enable flight, high forces are required over the small actuator displacement, resulting in high coil currents, thus increasing the ohmic losses of the actuator. Furthermore, a significant amount of mechanical amplification is required to achieve appropriate flapping amplitudes which exacerbates the problem.
To remedy this issue, multiple coils were employed, allowing the force to be applied throughout an increased displacement. This decreases the peak current and losses while increasing the maximum energy delivered over a single stroke. The actuator was implemented with two neodymium N50 of a diameter of 3.5 mm and length of 7 mm, bonded together with opposing magnetic fields. The coils were made from 0.12 mm diameter copper wire in 32 axial turns, and 6 radial turns, giving a length of 4.5 mm, an OD of 5.4 mm and an ID of 3.6 mm. The two coils were bonded concentrically with a linear Hall effect sensor bonded externally to each coil at the midpoint of each coil as seen in Figure 1.

Figure 1.
An example of a single coil (a), a coil assembly with two hall effect sensors mounted (b), and the magnet assembly with two magnets joined with opposing magnetic poles (c).
2.2. Airframe
A simple segmented twin 4-bar mechanism was used to convert the linear motion from the actuator into the required flapping motion for two wings [,,]. This segmented structure was designed so that it could be 3D-printed, with the mechanism under test being shown in Figure 2. Utilising a lever arm of approximately 5.5 mm, the design goal was to achieve a flapping amplitude of ±60. The benefit of using 3D-printed structures was the ability to rapidly iterate the design using a single machine; however, there were obvious limitations in terms of performance due to the material stiffness and weight. On this scale and weight, friction and flexibility are unavoidable issues.

Figure 2.
Design of the 3D-printed mechanism.
The printing process for creating the primary mechanism is outlined in Figure 3. This was done by introducing a pause in the generated g-code at the required layers of the print, typically at infill layers to reduce the amount of extruded material and material compressed in the layers. A pre-cut film was then applied to the part at the pause, ensuring the film did not overlap the parallel perimeter walls to improve adhesion. For constructing flexible joints, thin adhesive tapes were applied directly across the printed structure and to the print bed to maintain the tension across the film. For thin films that are significantly thinner than print layer heights, no Z offset was required. Thicker and non-adhesive films were required to be secured to the print bed, and a Z offset is required to account for the thickness of the film. The mechanisms in this work were printed with a 0.3 mm nozzle at a layer height of 166 µm, to obtain a total thickness of approximately 1 mm. The film used in the primary mechanism was 125 µm polyimide. An additional passive wing rotation mechanism utilised a 38 µm polyvinyl chloride-backed adhesive film. This provided a flexible joint to allow for wing rotation [].

Figure 3.
The printing process for creating a mechanism: (a) the initial layers were printed onto the print bed, (b) a pause was introduced through modified g-code and the flexible layer was applied, (c) printing resumed, a Z offset can be applied to reduce interference on thick films.
Assembly of the mechanism was done with additional printing of jigs to hold the joints at the desired angle. Once assembled, adhesive was applied to fix the joint in place. The mechanism end tabs were slotted into the top and bottom end caps, to which the coil component of the actuator was attached. Finally, the magnet was mounted to the mechanism concentric to the coils.
2.3. Wings
The wings were created from 12.5 µm polyester film and a 4.3 oz/sq yd 150 µm thick unidirectional carbon fibre prepreg. A single wing weighed 160 mg and had a total length of 75 mm. The wings were prepared by sandwiching the polyester film between two layers of carbon fibre. The sandwich was mechanically compressed and heated to cure the epoxy prepreg.
3. Feedback and Control
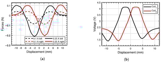
The static performance of the actuator was tested by measuring the force generated throughout the usable displacement. Figure 4 demonstrates the apparatus used to measure the static performance. The figure shows the magnetic assembly attached to an ATI Nano17 ti force-torque sensor via a non-magnetic shaft. The force-torque assembly was mounted to the movable element of a mechanical slide and the coils were fixed in place. The mechanical slide was used to move the assembly along its usable displacement in increments of 0.5 mm. An external laser displacement sensor (Keyence IL-100) was used to measure the displacement of the magnet from an attached target due to limitations in measuring the depth of small-diameter holes. At each displacement, the two coils were independently energized via a programmable DC power supply (Rigol DP832) to the desired constant current at which point the force output is measured. This process is repeated for the full displacement of the actuator. The experiment was conducted twice at a constant current of 0.1 and 0.25 A with the results shown in Figure 5a. The figure shows the two symmetrical overlapping force profiles with the centre of the symmetrical profile having a magnitude approximately double the external peaks. The overlapping profiles of the two coils allow a force to be generated at any displacement due to the sum of the magnitudes never reaching zero.

Figure 4.
The testing apparatus of the coil showing the magnet mounted to the force sensor with the displacement being measured via the laser displacement sensor and the Hall effect sensors measuring the off-axis magnetic field.

Figure 5.
The measured force generated by the two coils of 0.1 A and 0.25 A over the displacement of the actuator (a) and the output of the Hall effect sensors measuring the magnetic field over the displacement of the actuator (b).
Existing linear electromagnetic wing actuators have utilised open-loop control to achieve a flapping profile. Due to the small actuation displacement, the magnetic force had minimal variation. The use of multiple coils increases the actuation displacement range but introduces more variation in the magnetic force along the wing stroke, which requires actuator feedback for accurate control. To fulfil this need, two linear Hall effect sensors were chosen to measure the off-axis magnetic field of each coil. These sensors provide a linear analog voltage output proportional to the magnetic field that can be measured via an analog-to-digital converter (ADC). The linear Hall effect sensors (SS39ET) shown in Figure 4 output a voltage that ranges around the midpoint of the supply voltage. In this experiment, a 5 volt source was used for the hall effect sensors, resulting in readings centred around 2.5 volts. This allows the measurement of both the orientation and magnitude of the magnetic field. Figure 5b shows the voltage output of the Hall effect sensors over the displacement of the actuator. Due to placing the Hall effect sensors centrally along the length of each coil, the force profile and sensor output are both aligned and can be scaled to approximate the force output of the coils given a fixed current.
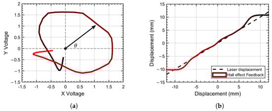
To achieve the desired position feedback from the Hall effect sensors, first, an angle needs to be calculated that is then scaled to the appropriate displacement. When two sinusoidal functions that are out of phase are plotted against each other on an XY plot, the result is a unit circle. From the data points around the circle, an inverse tangent function can be used to determine the angle. The two-argument inverse tangent (atan2), which takes both the X and Y element independently, can be used to determine the unambiguous angle based on the quadrants of the unit circle. The signals from the Hall effect sensors can be interpreted as two identical, approximately sinusoidal functions that are out of phase with one another. Figure 6a shows the XY plot of the two signal values from Figure 5b with the 2.5 V offset removed. This plot shows that a meaningful angle can be calculated for three of the quadrants before the fringe effects have an insignificant impact on the data.

Figure 6.
An X-Y plot of the Hall effect voltages after the correct offset is applied. The arrow demonstrates the unambiguous angle that can be calculated with the atan2 function (a), the scaled output of the atan2 function with appropriate wrapping calculating the magnet displacement from the Hall effect sensors compared to the ground truth of the laser displacement sensor (b).
Equation (1) is used to calculate the position of the magnet where is the voltage of the Hall effect sensor with the offset removed, is to remove the zero offset error and is to correct the slope of the output to match the appropriate displacement. The values of and are 0.806 and 2.8, respectively, and have been consistent across multiple test articles of this actuator. The calculated feedback response is plotted against the laser displacement ground truth in Figure 6b with the red-to-black shading of the two plots coinciding with the data used to calculate the displacement. A wrapping function is also used to account for the discontinuous output of the Atan2 function.
The high-level block diagram of the control system is shown in Figure 7. The PID controller was used to control the magnet position to track the reference input. The output of the PID controller is a force command that, when enacted, will cause the system to track the reference input. The force command produced by the PID controller cannot be directly used to control the plant, as the plant actually has two control inputs, the currents supplied to the electromagnetic coils. The force controller block takes the force command generated by the PID controller and determines the coil currents to produce the desired force. The force controller then determines the duty cycle of the PWM signals that produce these currents and sends them to the plant. To perform this task, the force profile of the electromagnetic actuator needs to be known, which is the force per amp that the electromagnet can supply as a function of displacement. In situations where displacement feedback is present, a lookup table can be used which utilises a precalculated inverse model of the coil force profile to determine the force coefficients of each coil. An alternative to using the lookup table method is to directly use the Hall effect sensor measurements to calculate the force coefficients of this coil. The magnetic field strength measured by the Hall effect sensor is proportional to the force profile, except for a section of the displacement where the sensors present some saturation due to the high magnetic field shown in Figure 5b. This saturation effect causes a brief underestimate of the force profile but it occurs at a point where the alternate coil cannot make a meaningful contribution to the force output, thus having minimal effect on system operation and can be solved on future versions by selecting lower sensitivity sensors. For the remainder of actuator displacement, appropriate scaling can be applied to the Hall effect output and is used to represent the force profile of each coil. We opt to use the sensor measurements directly as the process is less computationally expensive. The relationship between the force generated by a coil and the current supply is given by the following equation:
where the subscript n denotes the number of the coil, is the current supplied to the coil, is the output force, and is the force coefficient in which is a nonlinear function of displacement.

Figure 7.
Control Block.
Due to the losses of the actuator being proportional to the square of the current, it is beneficial to share the current between the coils based on the magnitude of the force coefficient of each coil. These coil currents () can be calculated for a given force (), where is the force coefficient in newtons per amp. The sign of the resulting coil currents refers to the direction of the current in the coil. Open-loop control sets the current of each coil by knowing the voltage of the supply and coil resistance. A PWM signal is used to control the voltage to the coil, and a digital line is required to indicate the direction of the current. A PWM signal is used at a high frequency to ensure that the ripple current does not allow the coil to saturate by using the inductance of the coil as a rudimentary buck converter.
To validate the feedback and control system architecture, an additional actuator was tested in a dynamic test rig, to validate the measurement during operation. The dynamic test setup was similar to that of Figure 4, but with the force torque sensor removed allowing the magnet to slide freely within the coils with no mechanical load applied to the magnet. A proportional controller was deployed to track the reference input while using the calculated position as the feedback term, with the results shown in Figure 8. The reference input in this experiment was a 20 Hz sine wave with an amplitude of mm. The laser displacement sensor provided the ground truth against the calculated magnet position using the Hall effect sensor.

Figure 8.
The plant following an oscillating reference input at 20 Hz using the calculated Hall effect Feedback compared against the laser displacement ground truth.
The incorporation of the airframe introduces nonlinearities in the system dynamics. The MATLAB system identification toolbox was used to generate a linear, second-order transfer function that captured the primary dynamics of the system. The output position of the system to a step force input was measured and used to perform the system identification. The PID controller gains were tuned in MATLAB using the identified transfer function. Figure 9a shows the measured step response for a 1 N step against the second-order transfer function that was fitted using the data. Figure 9b shows the current demand over the step response and demonstrates that as the displacement of the magnet changes, the corresponding coil currents change rapidly to generate the required force.

Figure 9.
The open-loop step response from a one Newton step input compared against the transfer function used to model the control system (a) and the individual coil currents required to meet the 1N step, continuously changing based on the Hall feedback (b).
Figure 10 shows the result of the tuned controller position tracking a sine wave at 14 Hz. The deviation observed from the reference trajectory is due to the nonlinear effects related to operating the mechanism near the full displacement range. Due to the lever arm being only 5.5 mm, when accounting for a 0.5 mm magnet offset, the reference input is approaching the kinematic limit. Footage of the mechanism operation is available in the Data Data Section.

Figure 10.
The commanded position and feedback of the actuator while running.
4. System Testing
4.1. Static Force Measurements
The block diagram in Figure 11 shows how all of the sub-systems interact with one another and how data are recorded from the system. The core of the system was a 32-bit microcontroller that received the Hall effect output and generates the control outputs sent to the motor drivers. The output control signal from the microcontroller is a PWM signal of 100 kHz and of a variable duty cycle to correspond with the force controller and the required currents of each coil. An additional digital logic output is used to control the direction of the current. The motor driver takes these two inputs and drives a H-bridge based on the logic described. Additionally, the microcontroller also outputs two analog voltages via a digital-to-analog converter (DAC) that corresponds to the controller reference position and the calculated feedback position. A data acquisition unit (NI USB-6351) measures these analog values along with the raw Hall effect output-power monitoring of the actuator, and the analog outputs of the force-torque sensor to which the plant is mounted. This allows for a time-synchronised output of all the data to be processed by the target PC. From this arrangement, static testing can occur on the system measuring the lift generated for various waveforms and the power consumption of the plant under test. The power consumption was monitored through the use of an external low-side current shunt on the return line from the motor drivers, generating differential voltage sources that were measured by the DAQ. The supply voltage on the high side of the motor drivers was also measured to allow the power consumption to be calculated for individual coils and, thus, for the entire system. Figure 12 shows the flapping wing system that was tested mounted on the Nano 17 force-torque sensor.

Figure 11.
The microcontroller unit (mcu) provides the digital and PWM signals to the motor drivers, driving the plant. The MCU measures the feedback from the plant and provides an analog of the plant state and control system command to the DAQ which also records the forces generated by the plant. The controlling PC records all the information collected.

Figure 12.
3D-printed flapping wing system mounted on a force-torque sensor.
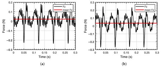
Figure 13 shows the lift force generated from two separate tests generating a mean lift of 2.24 g and 3.59 g, respectively. The mean power consumption for the plots is 4.0 W and 7.20 W, respectively. This results in an electrical power per unit thrust of 1.79–2.00 W/g. The plot of Figure 10 shows the tracking of the setpoint throughout a single flap cycle of the flapping test of Figure 13b. A displacement offset was included to account for a misalignment between the magnet position offset and wing position to allow for a symmetrical flapping amplitude.

Figure 13.
The lift force generated from the flapping wing system at 14 Hz and a 4.5 mm magnet stroke amplitude with a mean lift force of 22.0 mN (a) and 14.3 Hz and 4.5 mm magnet stroke amplitude of 5.5 mm with a mean lift force of 35.3 mN (b).
4.2. Dynamic Liftoff
From the data gained from the static test rig, an additional flapping wing system was manufactured utilising a reduced weight version of the mechanism shown in Figure 2, with the weight breakdown shown in Table 1. An unbalanced seesaw was used to mitigate the friction generated from guide rails when lateral forces are generated from the flapping system. The system under test has a total mass of 3.07 g with a full weight breakdown of subcomponents in Table 1. Once mounted, the seesaw balance was trimmed to where the force exerted at the craft was measured to that of 3.4 g. Operating the system at 15 Hz, it was able to demonstrate constrained self-lifting. This is shown in the time-lapse of Figure 14.

Table 1.
Flapping system weight breakdown.

Figure 14.
A time lapse of the system under test achieving tethered liftoff. The interval between images is approximately 80 ms.
5. Discussion
This work presents one of the few known examples of the self-lifting capability of a flapping wing system using a linear electromagnetic actuator. The only other known example achieved liftoff with an actuator-specific power-to-weight ratio of over 20 W/g [] while the actuator mass accounted for 73% of the weight of the system. The system presented in this work shows an actuator-specific power-to-thrust ratio of 4.4 W/g accounting for 53% of system weight. While it is difficult to compare the performance of these two systems directly given the significant difference in scaling, the benefit this actuator provides stems from the fact that the combination of multiple coil and magnets allows for an increased actuation displacement and a reduced peak force. To provide an equivalent of a relevant scale, further analysis was conducted utilising methods developed in previous work []. This work was to simulate the electrical performance of various actuator configurations of different numbers of coils and magnets and calculate the appropriate lever arm to maximise efficiency. This was adapted by calculating the equivalent wing torque generated from the system under test, which is a function of the actuator force output, lever arm length, and magnet position. The force output of the actuator can be calculated from the measured magnet location and coil current. An optimisation algorithm was then used to determine the ideal geometry of an actuator and lever arm to maximise efficiency. Due to the shorter available displacement of a single coil actuator and corresponding lever arm, higher forces are required to achieve the same amount of mechanical power. As a result, to achieve the same wing loading observed in Figure 13b, a single coil and magnet actuator would require approximately 48 W. The corresponding actuator-specific power-to-weight ratio would be over 29 W/g. Thus, the development of multi-coil actuation and the required feedback demonstrates a significant improvement in linear electromagnetic performance in a flight-capable configuration. While further improvement is necessary to achieve sustained flight and reach the performance of biological systems, it should be stated that the use of flight scale feedback is essential on the journey towards biomimicry. The positional feedback that can be determined from the Hall sensors is analogous to mechanosensors in biological systems that fulfil various complex functions including proprioception []. It is also suggested that such sensory information is required to effectively control flight efficiency and aerodynamic forces []. Thus, for biomimetic systems, the integration of feedback systems and a method for exploiting the feedback in a rapid manner are crucial for future developments in the control and generation of unsteady aerodynamic forces. The actuator described in this work can be presented as a useful testbed for controlling lift generation mediated by external feedback (Supplementary Materials).
6. Conclusions and Future Work
The use of multiple coils and magnets in electromagnetic actuators has successfully been demonstrated through the use of actuator sensors and control. This has all been achieved with non-contact sensors at sizes and weights compatible with flight. We have demonstrated the flight potential of linear electromagnetic systems in both static and dynamic tests with an electrical power per unit thrust of 1.82–2.04 W/g. While these power consumption levels are not practical when compared to other forms of MAVs, it does represent a significant improvement in performance when compared to other linear electromagnetic systems available in the literature. This performance has also been achieved with low-cost commercial off-the-self equipment and materials. While further work is needed to improve the efficiency of the actuator, it is suspected that significant performance improvements can be gained by employing a system-level approach to design to be able to reach the full potential of this actuator system. It is hoped that onboard-sensing and control at the actuator level will allow for improved control of the generation of non-steady state aerodynamic phenomena, with the application of actuators that can independently control flapping frequency and amplitude.
Supplementary Materials
The following supporting information can be downloaded at: https://www.mdpi.com/article/10.3390/aerospace10030259/s1.
Author Contributions
Conceptualization, B.M. and J.C.; methodology, B.M.; software, B.M.; validation, B.M. and J.M.; formal analysis, B.M. and J.M.; investigation, B.M. and J.M.; resources, J.C.; data curation, B.M.; writing—original draft preparation, B.M.; writing—review and editing, B.M., J.M. and J.C.; visualization, B.M.; supervision, J.C.; project administration, J.C. All authors have read and agreed to the published version of the manuscript.
Funding
This research received no external funding.
Institutional Review Board Statement
Not applicable.
Informed Consent Statement
Not applicable.
Data Availability Statement
Footage of system operation is publicly available. This footage can be found here: https://youtu.be/myYOX1wwIMQ (accessed on 21 February 2023).
Acknowledgments
B.M. and J.M. were supported by the Australian Government Research Training Program (RTP) Scholarship.
Conflicts of Interest
The authors declare no conflict of interest.
References
- Wakeling, J.; Ellington, C. Dragonfly flight. II. Velocities, accelerations and kinematics of flapping flight. J. Exp. Biol. 1997, 200, 557–582. [Google Scholar] [CrossRef] [PubMed]
- Wakeling, J.; Ellington, C.P. Dragonfly flight. I. Gliding flight and steady-state aerodynamic forces. J. Exp. Biol. 1997, 200, 543–556. [Google Scholar] [CrossRef] [PubMed]
- Chin, Y.W.; Ang, Z.; Luo, Y.; Chan, W.L.; Chahl, J.S.; Lau, G.K. Spring-assisted motorized transmission for efficient hover by four flapping wings. J. Mech. Robot. 2018, 10, 061014. [Google Scholar] [CrossRef]
- Keennon, M.; Klingebiel, K.; Won, H. Development of the nano hummingbird: A tailless flapping wing micro air vehicle. In Proceedings of the 50th AIAA Aerospace Sciences Meeting Including the New Horizons Forum and Aerospace Exposition, Nashville, TN, USA, 9–12 January 2012; p. 588. [Google Scholar]
- Phan, H.V.; Kang, T.; Park, H.C. Design and stable flight of a 21 g insect-like tailless flapping wing micro air vehicle with angular rates feedback control. Bioinspir. Biomim. 2017, 12, 036006. [Google Scholar] [CrossRef] [PubMed]
- De Croon, G.; Perçin, M.; Remes, B.; Ruijsink, R.; De Wagter, C. The DelFly; Springer: Dordrecht, The Netherlands, 2016; Volume 10, pp. 978–994. [Google Scholar]
- Ma, K.Y.; Chirarattananon, P.; Fuller, S.B.; Wood, R.J. Controlled flight of a biologically inspired, insect-scale robot. Science 2013, 340, 603–607. [Google Scholar] [CrossRef] [PubMed]
- Azhar, M.; Campolo, D.; Lau, G.K.; Hines, L.; Sitti, M. Flapping wings via direct-driving by DC motors. In Proceedings of the 2013 IEEE International Conference on Robotics and Automation, Karlsruhe, Germany, 6–10 May 2013; IEEE: Piscataway, NJ, USA, 2013; pp. 1397–1402. [Google Scholar]
- Campolo, D.; Azhar, M.; Lau, G.K.; Sitti, M. Can DC motors directly drive flapping wings at high frequency and large wing strokes? IEEE/ASME Trans. Mechatron. 2012, 19, 109–120. [Google Scholar] [CrossRef]
- Hines, L.; Campolo, D.; Sitti, M. Liftoff of a motor-driven, flapping-wing microaerial vehicle capable of resonance. IEEE Trans. Robot. 2013, 30, 220–232. [Google Scholar] [CrossRef]
- Roll, J.A.; Cheng, B.; Deng, X. An electromagnetic actuator for high-frequency flapping-wing microair vehicles. IEEE Trans. Robot. 2015, 31, 400–414. [Google Scholar] [CrossRef]
- Roll, J.A.; Bardroff, D.T.; Deng, X. Mechanics of a scalable high frequency flapping wing robotic platform capable of lift-off. In Proceedings of the 2016 IEEE International Conference on Robotics and Automation (ICRA), Stockholm, Sweden, 16–21 May 2016; IEEE: Piscataway, NJ, USA, 2016; pp. 4664–4671. [Google Scholar]
- Bontemps, A.; Vanneste, T.; Paquet, J.; Dietsch, T.; Grondel, S.; Cattan, E. Design and performance of an insect-inspired nano air vehicle. Smart Mater. Struct. 2012, 22, 014008. [Google Scholar] [CrossRef]
- Meng, K.; Zhang, W.; Chen, W.; Li, H.; Chi, P.; Zou, C.; Wu, X.; Cui, F.; Liu, W.; Chen, J. The design and micromachining of an electromagnetic MEMS flapping-wing micro air vehicle. Microsyst. Technol. 2012, 18, 127–136. [Google Scholar] [CrossRef]
- Zou, Y.; Zhang, W.; Zhang, Z. Liftoff of an electromagnetically driven insect-inspired flapping-wing robot. IEEE Trans. Robot. 2016, 32, 1285–1289. [Google Scholar] [CrossRef]
- McIvor, B.A.; Ogunwa, T.T.; Chahl, J.S. Geometry of efficient Electromagnetic Linear actuators for flapping wing MAVs. Eng. Res. Express 2020, 2, 045027. [Google Scholar] [CrossRef]
- Wood, R.J. Design, fabrication, and analysis of a 3DOF, 3cm flapping-wing MAV. In Proceedings of the 2007 IEEE/RSJ International Conference on Intelligent Robots and Systems, San Diego, CA, USA, 29 October–2 November 2007; IEEE: Piscataway, NJ, USA, 2007; pp. 1576–1581. [Google Scholar]
- Wood, R.J.; Avadhanula, S.; Sahai, R.; Steltz, E.; Fearing, R.S. Microrobot Design Using Fiber Reinforced Composites. J. Mech. Des. 2008, 130, 052304. [Google Scholar] [CrossRef]
- Whitney, J.P.; Wood, R.J. Aeromechanics of passive rotation in flapping flight. J. Fluid Mech. 2010, 660, 197–220. [Google Scholar] [CrossRef]
- Fabian, J.; Siwanowicz, I.; Uhrhan, M.; Maeda, M.; Bomphrey, R.J.; Lin, H.T. Systematic characterization of wing mechanosensors that monitor airflow and wing deformations. Iscience 2022, 25, 104150. [Google Scholar] [CrossRef] [PubMed]
- Bomphrey, R.J.; Godoy-Diana, R. Insect and insect-inspired aerodynamics: Unsteadiness, structural mechanics and flight control. Curr. Opin. Insect Sci. 2018, 30, 26–32. [Google Scholar] [CrossRef] [PubMed]
Disclaimer/Publisher’s Note: The statements, opinions and data contained in all publications are solely those of the individual author(s) and contributor(s) and not of MDPI and/or the editor(s). MDPI and/or the editor(s) disclaim responsibility for any injury to people or property resulting from any ideas, methods, instructions or products referred to in the content. |
© 2023 by the authors. Licensee MDPI, Basel, Switzerland. This article is an open access article distributed under the terms and conditions of the Creative Commons Attribution (CC BY) license (https://creativecommons.org/licenses/by/4.0/).